Abstract
The ventral scales of Dinodon rufozonatum were investigated to understand the outstanding tribological adaptability in various environments. The coefficient of friction (COF) of ventral scales was measured and changed with the contact conditions. It was discovered that the COF of scales under water-lubrication conditions (WLC) was larger than that under dry conditions (DC). More interestingly, the COF increased first and then decreased as the substrate roughness reduced. The abrasion marks on scales were then observed. The results indicated that the scales in DC wore more gently than that in WLC. Moreover, the degree of wear reduced with the decrease of substrate roughness. The frictional performance of ventral scales enabled the snakes to move more efficiently, quickly, and flexibly in multiple environments.
1. Introduction
The snake is a typical reptile distributed widely around the world. It can move in the woodlands, mountains, ponds, deserts, and other environments by ventral scales over the long-term evolution [1,2,3,4]. The ventral scales not only protect the body against external environments, but also rub with the environment substrates for constant sliding [1,5,6]. Consequently, the ventral scales possess excellent tribological properties and many scholars pay more attention to the scales of snakes [5,7,8,9,10,11]. It has been established, based on previous studies, that the epidermis of ventral scales contain six layers: the Oberhäutchen, β-layer, mesos-layer, α-layer, lacunar tissue, and clear layer from outside to inside [7,11,12,13,14,15,16,17]. Each layer of the epidermis exhibited different characteristics of materials. The Oberhäutchen and β-layer presented hard and inflexible features, while the α-layer was soft and flexible [14,18]. In addition, the microfibers were observed on the Oberhäutchen layer and contacted the environment substrates directly. Therefore, the frictional properties of ventral scales would be mainly influenced by the microstructures [14,19,20,21,22].
The microscopic morphology of scale surface has been studied by SEM (scanning electron microscopy) and AFM (atomic force microscopy) in recent years [9,10,11,23,24,25,26,27]. It has been found that the tooth-like microfibers were convex on the scale surface. The micro-convex structures were oriented along the longitudinal axis of snakes from head to tail, which showed frictional anisotropy [9,16,27,28]. The previous work with boa constrictor (Boa constrictor), ball python (Python regins), and carpet python (Morelia spilotes) indicated that the ordered microfibers on the surface of snake scales led to outstanding frictional properties. For example, Hazel found that the double-ridge microfibers could reduce the adhesion between the scale and environment substrate. In addition, the research on varieties of snakes suggested that the surface microstructures were related to the habitat environments [29,30]. However, there is a lack of study of environmental influence on the frictional properties.
In this work, we systematically studied the frictional properties of ventral scales of Dinodon rufozonatum. Based on its habitat, dry, wet, and rough contact surfaces mimicked the environmental substrates and then conditions were friction tested. Furthermore, the changes in surface microstructures were characterized by AFM and SEM. Finally, we comprehensively elaborate on the adaption of ventral scales to the environment.
2. Materials and Methods
All test results reported here were related to exuvium from the D. rufozonatum. All tests were conducted at room temperature (25 ± 1 °C) and relative humidity of 30 ± 5%. All specimens were stored in the same environment.
2.1. Animals and Specimen Preparation
D. rufozonatum spreads widely and lives near mountains, plains, forests, and waters in East Asia. In this experiment, the specimens were the exuvium from ventral scales of three adult individuals of D. rufozonatum. All three individuals were measured about 0.91 ± 0.1 m in length and 0.17 ± 0.06 kg in weight (Figure 1). When the snake moved, the contact region between the ventral scales and ground was about 15 mm in length and 4 mm in width. Thus, the specimens were cut into a shape (about 15 mm × 4 mm, Figure 2) similar to the round parallel key by using a customized punch, which mimicked the snake scale shape (Figure 2). Then, the specimens were mounted on the specimen holders by double-sided foam tape (Changdasheng Electronics Co., Ltd., Shenzhen, China) with a thickness of approximately 1 mm and acted as a cushion like snake scale issue. For the tests carried out under WLC (water-lubrication conditions), the specimens were soaked in distilled water for about half an hour before punching.
Figure 1.
D. rufozonatum and ventral scales.
Figure 2.
Schematic diagram of the process of specimen and substrate preparation.
2.2. Visualization and Topography Analyses
For exploring the influence of scale surface on frictional properties, the microstructures of the snake ventral scales were visualized and analyzed using AFM and SEM. We used AFM Tosca 200 (Anton Paar GmbH, Graz, Austria) to measure the three-dimensional profile of the microstructures on the specimen surface. The tapping mode was applied, and the scanning range was 10 μm × 10 μm. To further examine the topography and microstructure of the abrasion, the ventral scales of D. rufozonatum were observed by the LYRA3 SEM (TESCAN ORSAY HOLDING, Brno, Czech Republic) at an accelerating voltage of 5 kV. The specimens were sputter-coated with 10 nm gold using the SBC-12 Ion Sputter Coater (KYKY Technology Co., LTD., Beijing, China) in a vacuum environment to increase image quality.
2.3. Measurement of the Effective Elasticity Modulus (EES)
To examine the material properties of ventral scales (the thickness of about 30 μm) under DC (dry conditions) and WLC, the mounted specimens were measured using nanoindentation tester NHT3 (Anton Paar GmbH, Graz, Austria). A three-sided pyramid Berkovich indenter with an angle of 65.3° between the center lines of the edges was used in the nanoindentation experiments. The trapezoidal load was chosen as load method and the loading time was 30 s. After achieving the set value of 2 mN, the load was maintained for 10 s. We selected 5 points in the middle area of each scale for the test and took the average value as the measured results. According to the principle of nanoindentation, the maximum indentation depth should be less than 10% of the thickness of the specimens to eliminate the influence of the specimen holder in the test results [31].
2.4. Friction Measurements
The mounted specimens were cleaned with distilled water to remove surface impurities. Friction measurements were performed with multifunctional friction and wear testing machine MFT-5000 (Rtec Instruments, San Jose, CA, USA). The mounted specimens were the fixed upper friction pair, and the sandpaper served as the friction pair which was stuck to the reciprocating platform (stroke distance 10 cm). The external load (100 mN) was applied to keep the two friction surfaces in contact with each other. To explore the frictional properties and multi-environmental adaptability of ventral scales, we examined the specimens under DC and WLC with various sliding speeds and substrate roughness. The test conditions were classified and curtailed as described below and five types of friction tests were carried out:
- C: the condition of test environment (C0: DC, C1: WLC);
- P: the roughness characterization value of sandpaper mesh (P240, P400, P1000, P2000, P5000, P10000);
- V: the sliding speed of the specimens (V1: 1 mm/s, V3: 3 mm/s, V5: 5 mm/s).
The sandpaper (Gelier Trading Co., LTD, Anqing, China) was cut into rectangles (110 mm × 20 mm) as counterparts (Figure 2). The roughness of sandpaper decreased as the sandpaper mode increased from P240 to P10000. Among the WLC, distilled water was dropped on the surface of counterparts to maintain the water film thickness of 1 mm. Each specimen slid 10 times along the positive direction and ten specimens were repeated for each condition to reduce test errors. In this study, we designated μ to represent COF (coefficient of friction).
3. Results
3.1. Morphology of Microstructure
To characterize the microstructures on the ventral scale surface, we visualized the scales by AFM and SEM, as shown in Figure 3a,b. The dimensions of the microstructures are listed in Table 1. The dimension parameters of the ventral scale are shown in Figure 3c–f.
Figure 3.
Microstructures of ventral scales surface and definition of micro-convex body sizes. (a) AFM (10 μm × 10 μm), (b) SEM (5 kV, 10,000×), (c–f) the dimension parameters of the ventral scale. l: the length of the ridge; d: the diameter of the microstructure end; h: the height of the microstructure end; w: the distance between two adjacent microstructures.
Table 1.
Topography dimensions on microstructures of ventral scales of D. rufozonatum..
Figure 3 demonstrates that the microornamentation on the surface of ventral scales presented a triangular ridge-like microstructure. The ridge in the middle of the micro-convex was the highest point of the microstructure. Along the ridge, gradient differences in height were discovered in the cranial-caudal directions. From Table 1, we found that the length of the microstructure was about 2.854 μm. The distance between the two adjacent microstructures was about 0.916 μm, which was approximately twice the diameter of the microstructure end (0.474 μm). The height of the microstructure end was about 0.075 μm and the aspect ratio (l/d) was about 6.02. Figure 4 showed the sizes of sandpaper particles. The sizes of these particles were about 118.25 μm, 37.51 μm, 15.61 μm, 13.09 μm, 8.77 μm, and 5.89 μm from P240 to P10000, respectively.
Figure 4.
The size of sandpaper particles.
3.2. Measurement of the Effective Elasticity Modulus (EES)
The mean values of the EES and hardness for ventral scales under DC (397.085 MPa and 70.215 MPa) and WLC (238.468 MPa and 39.165 MPa) were listed in Table 2. The dry scale material was harder and exhibited higher effective elastic modulus than the wet scale.
Table 2.
Summary of elastic modulus and hardness values for the ventral scale.
3.3. Tribological Properties
The multifunctional friction and wear testing machine was used for the tribological analysis of ventral scales. To study the friction mechanism of the ventral scales, we measured the COF of ventral scales under multi-environment conditions and explored the influence of substrate roughness, lubrication conditions, and sliding speeds on the COF.
A two-way ANOVA was carried out to test differences between the condition (C), speed (V), and roughness (R). p < 0.05 indicated statistically significance. All the analyses were performed with SPSS version 24.0 software (SPSS Inc, Chicago, CA, USA). The results shown in Table 3 that C, V, and P all had significant differences of COFs. In this sense, a coupled effect among C, V, and P is expected.
Table 3.
The two-way ANOVA results of C (condition), V (speed), and R (roughness).
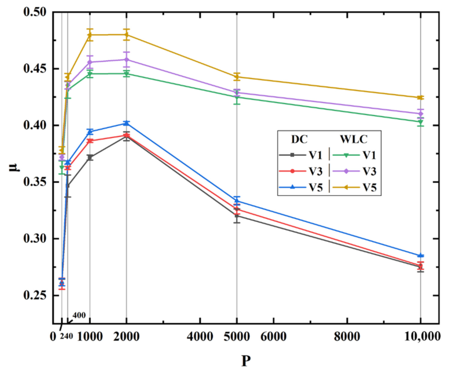
Figure 5 summarized the results of the friction test performed at the speeds of 1 mm/s, 3 mm/s, and 5 mm/s under DC and WLC. The COF increased from sandpaper size of P240 to P1000 and decreased after that of P2000. When the roughness reached to sandpaper size of P1000 to P2000, the COF reached a peak. The maximum values of the COF were 0.390, 0.391, and 0.402 (DC) and 0.446, 0.458, and 0.480 (WLC) at the sliding speed of 1 mm/s, 3 mm/s, and 5 mm/s, respectively. The minimum values of the COF appeared at P240, which were 0.390, 0.391, and 0.402 (DC) and 0.446, 0.458, and 0.480 (WLC) at the sliding speed of 1 mm/s, 3 mm/s, and 5 mm/s, respectively.
Figure 5.
The relationship between the COF and the roughness. V1: 1 mm/s; V3: 3 mm/s; V5: 5 mm/s.
Based on Figure 5, the curve indicated that the ventral scales of WLC showed higher COF compared to DC. At all the speeds, the smallest differences of COFs between DC and WLC existed in the sandpaper size of P2000 but still achieved approximately 0.055, 0.067, and 0.078 (the difference value of COF between DC and WLC), respectively. In comparison, the maximum differences could reach to 0.128, 0.134, and 0.140 in the sandpaper size of P10000, respectively. As shown in Figure 5, the sliding speed was another factor that affected the COF of ventral scales. The COF of the ventral scales elevated from 1 mm/s to 5 mm/s under all the contact conditions.
3.4. Wear Morphology
The morphology of abrasions was different among the test environments by SEM. To accurately analyze the wear mechanisms, the details of the worn surface under DC and WLC are shown in Figure 6 and Figure 7, respectively. The roughness of substrate (sandpaper paper) had a significant effect on the wear morphology of the ventral scale surface. The degree of wear decreased with the substrate roughness reducing under both DC and WLC. The specimens under DC had less abrasion than that under WLC, especially in zone II, III, and IV with the P240 and P400 substrates. The width of the wear scar under WLC was larger than that under DC on high roughness of contact surface.
Figure 6.
Comparison of wear scar in DC between (a) P240, (b) P400, (c) P1000, (d) P2000, (e) P5000, and (f) P10000 (5 kV, 5000×). The red arrow indicates the scratch direction.
Figure 7.
Comparison of wear scar in WLC between (a) P240, (b) P400, (c) P1000, (d) P2000, (e) P5000, and (f) P10000 (5 kV, 5000×). The red arrow indicates the scratch direction.
3.4.1. Wear Morphology of Ventral Scale Surface in DC
As shown in Figure 6a, the scale surface showed significant bulges under substrate roughness of P240. The boundaries of the grinding marks were obvious. The width of the wear scar was about 20 μm, and the widest part of the uplift was about 6 μm. The fatigue cracks existed on the edge of the uplift. Plastic deformation occurred in wear scar of the zone I without any material flaking off. Meanwhile, the grinding marks and scratches became deeper and deeper from the beginning to the end in zone I. However, in zone II, III, and IV, the abrasive grains of substrate grinded not only the micro-convex structures on the scale surface but also the microfibers inside the scales. The wear scar in zone V was narrowed and the degree of wear was reduced.
Under substrate roughness of P400, one side of the abrasion mark showed a distinct indentation in Figure 6b. The maximum width of the wear scar was about 10 μm in zone III and zone IV. There was plastic deformation in the zone I, which was similar to the observation under P240 condition. In zone II, the width of the mark increased and the porous structure was similarly exposed. Besides, the width of the wear scar increased gradually in zone III and reached the maximum in zone IV. The grinding mark was shallow in zone V, where only the microstructures of the surface were removed.
Tested on the substrate of the sandpaper P1000 (Figure 6c), the depth of the grinding mark was shallower than the P240 (Figure 6a) and P400 (Figure 6b) conditions. The maximum width of wear scar was about 11 μm in zone II and III. The plastic deformation of the scale surface in zone I was distinct because the micro-convex structures of the scale surface were damaged. However, it was observed that the surface material was removed partly from the ventral scale in zone II and the porous structure was exposed. The wear state in Zone III, IV and V was similar in zone I under this condition, which was dominated by plastic deformation. The ventral scale surface under substrate roughness of 2000 was worn to similar degree under the P1000 condition (Figure 6c).
The wear morphology under substrate roughness of P5000 was shown in Figure 6e. Multiple grinding marks overlapped each other, and it was difficult to extract a single grinding mark for analysis. In zone I, plastic deformation mainly existed. Meanwhile, the microstructures of the ventral scale were locally disrupted. In zone II, III, and IV, several grinding marks also overlapped each other. The microstructures of the three zones were removed and microporous structures appeared. However, the depth of wear was shallower than the corresponding zones under P240, P400, and P1000 conditions. Zone V was similar to zone I, and the plastic deformation and local damage of microstructures of the ventral scale surface could be observed.
As shown in Figure 6f, the wear scar of the surface was the shallowest under substrate roughness of P10000. The microstructure and the microporous structure were partially exposed. Furthermore, multiple grinding marks of the scale surface overlapped each other. In zone I and V, the main form of wear scar was plastic deformation. Besides, in zone II, III, and IV, the micro-convex structures on the scale surface were removed.
3.4.2. Wear Morphology of Ventral Scale Surface in WLC
For the substrate of P240 condition, serious material removal happens on the surface of the scale, and a distinct trench could be observed on the surface, as shown in Figure 7a. The widest part of the whole furrow is about 33 μm in zone III appropriately. In zone I, the grinding crack of the surface is obscure. Nevertheless, there exists an incision in zone I, and the microstructures of the surface are destroyed. In zone II, large quantities of bulky materials are removed by grinding particles. The microstructures of the scale surface and the internal microfiber structures are destroyed to expose deeper tissue. The width of the grinding crack in zone III is larger than that in zone II. In addition, the characteristics of the scale prickles are observed at the bottom of the furrow in zone II, III, and IV of the grinding cracks. The furrow of zone V is only 2 μm, in which plastic deformation and damage of microstructures also exists.
The wear scar on the surface is obvious, as shown in Figure 7b, with the substrate of P400 condition. The scale prickles exist at the bottom of abrasion marks. The severity of wear is second only to the abrasion of the surface that is under the substrate of the P240 condition (Figure 7a). In zone I, the effect of abrasive particles is less evident than in zone II, III, and IV. The surface of the ventral scale is attacked by abrasive particles. In zone II, the marks become wider. The microstructures are removed by the grinding particles, and the bottom of the scratch is rugged. The widest region of the scale surface reaches 32 μm in zone III and then the furrow is narrowed to about 10 μm in zone IV. The width of the grinding mark in zone V is about 2 μm approximately.
For the substrate of P1000 condition, the wear still exists, but is relatively mild, as shown in Figure 7c. In zone I, elastic-plastic deformation happens in the microstructures on the surface of the ventral scale. The materials of several regions have been sloughed at the end of zone I. In zone II, the micro-convex structures are removed and the microfibers inside the material of scale are cut away, with microporous structure exposed. And the maximum width of the grinding mark in zone II is about 10μm, which is also the maximum width in all zones under the substrate of P1000 condition. In zone III and IV, the degree of wear decreases from the value of zone II. The microstructures of the surface and the microfibers inside the scale in zones III and IV are damaged. In zone V, the appearance of the wear scar is similar to zone I, which is mainly caused by elastic-plastic deformation.
For the substrate of the P2000 condition, the depth of the surface of the scale is shallow, as shown in Figure 7d. Multiple scratches coincide with each other sometimes. Surface damage appears in all regions of the wear scar. In zone I, the grinding cracks of the scale surface are mainly in the form of elastic-plastic deformation. The microstructures of the scale surface are squashed by the abrasive particles, with a small amount of material detaching from the scale surface. In zone II, the portion of the heavily damaged microstructures significantly increased. The micro-convex of the ventral scale surface is cut by abrasive particles, and the microporous structure can be observed. In zone III and IV, the level of attrition of the scale surface is more moderate than the appearance in zone II. The microstructures are destroyed by abrasive particles. Nevertheless, only a few microporous structures could be observed in zone III and IV. In zone V, the width of the scratch becomes very narrow. Only elastic-plastic deformation seems to occur on the micro-convex structures of the scale surface.
The level of abrasion is moderate, as shown in Figure 7e, with the substrate of P5000 condition. The depth of the grinding mark is narrower than the depths of the marks under the substrates of P240–P2000 conditions (Figure 7a–d). In zone I, the micro-convex structures on the scale surface stand out and mainly exhibit elastic-plastic deformation, with the local microstructures peeled off. In zone II, III, and IV, the microstructures and the microfibers are all destroyed, leading to the visible microporous structure. In addition, it happens that multiple wear scars overlap each other in these three zones. As for zone V, the grinding particles of the substrate cause elastic-plastic deformation in the microstructures of the scale surface. At the same time, the abrasion marks of the scale surface in zone V become narrow and shallow.
For the substrate of P10000 condition, the characteristics for elastic-plastic deformation are found on the surface of the ventral scale, as shown in Figure 7f. In brief, the scale surface suffers from the least degree of wear under this substrate roughness, when compared with all other substrate roughness conditions in both DC and WLC. In zone I, the wear scar is shallow. There exists plastic deformation in this zone, several microstructures of the surface are damaged by grinding particles of sandpaper. In zone II, III, and IV, the destroyed amounts of microstructures of the ventral scale surface by the grinding particles increase. Meanwhile, the micro-convex is damaged and runs into failure due to fatigue. A similar phenomenon occurs in zone V. However, the degree of wear is milder.
4. Discussion
We used COF and wear morphology to analyze the tribological properties of scales. The wear mechanism of the ventral scales mainly consisted of abrasive wear and adhesion wear as shown in Figure 6 and Figure 7. It is worth highlighting that the adhesive effect and the plough effect changed with the variation of the testing environments. The ploughs on the scale surface were mainly formed by the plough effect from the grinding particles of the substrate. During sliding, the grits of abrasive paper would load and embed in the scale surface. Thereafter, the tissue of the ventral scale would be pushed and squeezed leading to the plastic deformation of the ventral scale material. Consequently, furrows would form. The furrow force was mainly affected by the furrow size and furrow range, which depended on the roughness of the abrasive paper. In addition, the adhesion effect between the scale surface and the abrasive paper could be ignored [13,32]. The adhesive resistance was defined as the tangential force caused by intermolecular forces when the two surfaces were in contact. The abrasive particles and the scale were in close contact with each other, and the intermolecular force (van der Waals force) happened. Furthermore, since the adhesion effect was greatly affected by the actual contact area between the abrasive paper and the scale, different effects in different rough states such as dry and wet states would exist. Mechanical deformation of scales by grits was one of the causes of friction resistance. The elastic-plastic deformation was formed by normal and tangential forces from both the micro-convex bodies and the abrasive particles, thus producing mechanical deformation resistance.
The influence of roughness on the COF was mainly manifested in the actual contact area of the friction pair and the effect of furrow on the scale surface. In general, the real contact area between the substrate and ventral scale was much smaller than the theoretical contact area. Plastic flow only occurred at the contact peak of the scale. Consequently, the furrow force decreased slowly when the roughness of the substrate was from P240 to P2000 because the ploughing effect was weakened. However, the actual contact area increased rapidly with the increase of P of the substrate (from P240 to P2000) as the size of abrasive particles decreased quickly. As a result, the adhesion force between the scale surface and the substrate particles was enhanced. Due to the increased adhesion, the sliding resistance of the ventral scales under both DC and WLC increased with the increment of roughness from P240 to P2000. After the roughness reached a specific value (P2000), the expansion rate of the real contact area between the ventral scale and the substrate slowed down as the P of the substrate further increases. Therefore, the real contact area was no longer the main factor affecting the COF of ventral scales. At this point, the furrow and the adhesive effects both became dominant. With the increase of P (from P2000 to P10000), the equivalent diameter of the abrasive particles decreased, which made the furrow effect on the scales gradually weaken. However, the real contact area between the friction pairs increased slowly due to the slow decrease of the abrasive particle size (Figure 4). Therefore, the COF decreased nonlinearly with the increase of P from P2000 to P10000.
Under WLC, the friction pairs underwent boundary lubrication. The state of the ion clusters inside and on the surface of the ventral scales would change due to the hygroscopicity of ventral scale material. The material of ventral scale would be softened. The hardness and elastic modulus of the hygroscopic scales obviously decreased compared with that of the dry scales. Therefore, the deformation of wet scales was more significant than that of dry scales at the same load. The scales tested in this study had a much lower elastic modulus than that of the Kenyan sand boa (5 GPa), and much lower hardness than the Kenyan sand boa (350 MPa), which may be due to the fact that the scales of boa constrictors have evolved a harder surface after living in sand for a long time [33]. The actual contact area between wet scale and the substrate was larger than that between dry scale and substrate at the same load. In turn, the adhesion force of the ventral scale surface in WLC was greater than that in DC. Furthermore, there were capillary bridges between the ventral scales and the substrate surface. The surface tension of water increased the resistance of ventral scales under WLC. Meanwhile, the wear scars on wet scale surfaces were more severe than those on dry scales. Overall, the resistance of the wet ventral scales was greater than that of dry scales.
In addition, the sliding speed of specimens also had a certain effect on COF, as shown in Figure 5. The material of ventral scales exhibited elastic-plastic behavior. Thus, elastic-plastic deformation occurred on the scale surface during sliding. At the same time, the sliding speed affected the rate of elastic-plastic deformation of the scale. Therefore, resistance increased with the growth of sliding speed and so did the COF.
Furthermore, the ventral scales contacted the substrate all the time during the sliding locomotion. Thus, the microstructures on the surface of the ventral scales touched the substrate directly. The surface of the ventral scale was divided into numerous micro-units by the micro-convex (Figure 3). As a result, the wear process of the ventral surface appeared in the form of damage of the micro-convex bodies during sliding. It was sure that the overall performance of the ventral scale would not be affected by local damage. The local damage of the ventral scale would stop expanding and growing due to the micro-units. Meanwhile, these micro-convex bodies dispersed the external load because the shape of micro-convex was narrow at the top and wide at the bottom (Figure 3d). When a normal load was exerted to the ventral scales, the highest region of the micro-convex bodies contacted the substrate first and sustained the reaction force from the substrate. Subsequently, the pressure of the reaction force would be transmitted through the top to the bottom of the micro-convex bodies. In this process, the load was dispersed due to the special structure of the micro-convex body in narrow-at-top and wide-at-bottom configurations. It allowed the material of the ventral scale to withstand a more evenly distributed load for avoiding stress concentration. In addition, the material of the ventral scale showed gradient structure features along the depth direction [14,22,33,34]. In summary, the microstructures on the surface enhance the damage resistance.
In brief, it was suggested that the ventral scales had certain adaptability to multi-environment substrates. The ventral scales could maintain better frictional characteristics in different environments, which ensured the excellent movement characteristics of D. rufozonatum in a variety of habitats. The unique tribological properties of snakes were demonstrated among various substrates in locomotion. Scales had lower COF on the rough surface, which could enable the snake to move quickly and improve movement efficiency. However, there was a frictional resistance due to the higher COF of scales on the surface with smaller roughness. It was assumed that the snake had certain stability through the smooth surface. The COF of WLC was greater than that in DC, which made the snake’s body avoid slipping on the wet substrates and provided stability for the snake’s movement. The COF of scales at high speed was greater than at low speed, so the snakes could avoid side-slip. In addition, the unique micro-convex structures of the ventral scale surface could reduce the wear of the scale and maintain the excellent tribological properties of the scale.
5. Conclusions
In this study, we analyzed the frictional adaptive characteristics of snake ventral scales in multiple environments. The key reasons for the adaptive performance of ventral scales in dry/wet/rough environments were also discussed. The results showed that the furrow force, adhesion force, and elastic-plastic deformation force formed the main friction resistances between scales and substrates. The ventral scales of D. rufozonatum had certain adaptability to multiple environments due to the special structure of micro-convex bodies and could produce corresponding response patterns to different friction substrates. This research might guide the design of bionic surfaces requiring supreme anti-abrasion and wear performance. Optimization of the snake-inspired textures for tribology will be the focus of future research.
Author Contributions
Conceptualization, S.H. and L.Z.; methodology, S.H. and L.Z.; software, S.H. and L.Z.; validation, S.H. and L.Z.; formal analysis, S.H., G.S. and L.Z.; investigation, S.H., G.S. and Q.G.; resources, L.Z.; data curation, S.H. and L.Z.; writing—original draft preparation, S.H.; writing—review and editing, S.H. and L.Z.; visualization, S.H. and L.Z.; supervision, L.Z., L.R. and C.S.; project administration, L.Z.; funding acquisition, L.Z. All authors have read and agreed to the published version of the manuscript.
Funding
This research was funded by the National Natural Science Foundation of China (51905208) and the China Postdoctoral Science Foundation (2020M670855).
Institutional Review Board Statement
Not applicable.
Informed Consent Statement
Not applicable.
Data Availability Statement
Not applicable.
Conflicts of Interest
The authors declare no conflict of interest. The funders had no role in the design of the study; in the collection, analyses, or interpretation of data; in the writing of the manuscript, or in the decision to publish the results.
References
- Marvi, H.; Cook, J.P.; Streator, J.L.; Hu, D.L. Snakes move their scales to increase friction. Biotribology 2016, 5, 52–60. [Google Scholar] [CrossRef]
- Klein, M.-C.G.; Gorb, S.N. Scratch resistance of the ventral skin surface in four snake species (Squamata, Serpentes). Zoology 2016, 119, 81–96. [Google Scholar] [CrossRef]
- Rocha-Barbosa, O.; Moraes, E.; Silva, R. Analysis of the microstructure of Xenodontinae snake scales associated with different habitat occupation strategies. Braz. J. Biol. 2009, 69, 919–923. [Google Scholar] [CrossRef] [PubMed]
- Allam, A.A.; Abo-Eleneen, R.E. Scales Microstructure of Snakes from the Egyptian Area. Zool. Sci. 2012, 29, 770–775. [Google Scholar] [CrossRef] [PubMed]
- Marvi, H.; Hu, D.L. Friction enhancement in concertina locomotion of snakes. J. R. Soc. Interface 2012, 9, 3067–3080. [Google Scholar] [CrossRef] [PubMed]
- Filippov, A.E.; Gorb, S.N. Modelling of the frictional behaviour of the snake skin covered by anisotropic surface nanostructures. Sci. Rep. 2016, 6, 23539. [Google Scholar] [CrossRef] [PubMed]
- Cuervo, P.; López, D.A.; Cano, J.P.; Sánchez, J.C.; Rudas, S.; Estupiñán, H.; Toro, A.; Abdel-Aal, H.A. Development of low friction snake-inspired deterministic textured surfaces. Surf. Topogr.-Metrol. 2016, 4, 024013. [Google Scholar] [CrossRef]
- Greiner, C.; SchäFer, M. Bio-inspired scale-like surface textures and their tribological properties. Bioinspir. Biomim. 2015, 10, 044001. [Google Scholar] [CrossRef]
- Baum, M.J.; Kovalev, A.E.; Michels, J.; Gorb, S.N. Anisotropic Friction of the Ventral Scales in the Snake Lampropeltis getula californiae. TriL 2014, 54, 139–150. [Google Scholar] [CrossRef]
- Berthé, R.A.; Westhoff, G.; Bleckmann, H.; Gorb, S.N. Surface structure and frictional properties of the skin of the Amazon tree boa Corallus hortulanus (Squamata, Boidae). J. Comp. Physiol. A 2009, 195, 311–318. [Google Scholar] [CrossRef] [PubMed]
- Baum, M.J.; Heepe, L.; Gorb, S.N. Friction behavior of a microstructured polymer surface inspired by snake skin. Beilstein J. Nanotechnol. 2014, 5, 83–97. [Google Scholar] [CrossRef] [PubMed]
- Abdel-Aal, H.A.; El Mansori, M.; Zahouani, H. A comparative study of frictional response of shed snakeskin and human skin. Wear 2017, 376, 281–294. [Google Scholar] [CrossRef]
- Hazel, J.; Stone, M.; Grace, M.S.; Tsukruk, V.V. Nanoscale design of snake skin for reptation locomotions via friction anisotropy. J. Biomech. 1999, 32, 477–484. [Google Scholar] [CrossRef]
- Klein, M.-C.G.; Gorb, S.N. Epidermis architecture and material properties of the skin of four snake species. J. R. Soc. Interface 2012, 9, 3140–3155. [Google Scholar] [CrossRef] [PubMed]
- Grützmacher, P.G.; Profito, F.J.; Rosenkranz, A. Multi-Scale Surface Texturing in Tribology—Current Knowledge and Future Perspectives. Lubricants 2019, 7, 95. [Google Scholar] [CrossRef]
- Ct, A.; Sb, B.; Sdn, C.; Sva, C.; Ama, B. Exploring Convergence of Snake-Skin-Inspired Texture Designs and Additive Manufacturing for Mechanical Traction. Procedia Manuf. 2019, 34, 640–646. [Google Scholar]
- Segu, D.Z.; Hwang, P. Effectiveness of multi-shape laser surface texturing in the reduction of friction under lubrication regime. Ind. Lubr. Tribol. 2016, 68, 116–124. [Google Scholar] [CrossRef]
- Alexander, N.J. Comparison of α and β keratin in reptiles. Cell Tissue Res. 1970, 110, 153–165. [Google Scholar]
- Baden, H.P.; Maderson, P.F.A. Morphological and biophysical identification of fibrous proteins in the amniote epidermis. J. Exp. Zool. 1970, 174, 225–232. [Google Scholar] [CrossRef]
- Landmann, L. Keratin formation and barrier mechanisms in the epidermis of Natrix natrix (Reptilia: Serpentes): An ultrastructural study. J. Morphol. 1979, 162, 93–125. [Google Scholar] [CrossRef]
- Baio, J.E.; Spinner, M.; Jaye, C.; Fischer, D.A.; Gorb, S.N.; Weidner, T. Evidence of a molecular boundary lubricant at snakeskin surfaces. J. R. Soc. Interface 2015, 12, 20150817. [Google Scholar] [CrossRef]
- Klein, M.-C.G.; Gorb, S.N. Ultrastructure and wear patterns of the ventral epidermis of four snake species (Squamata, Serpentes). Zoology 2014, 117, 295–314. [Google Scholar] [CrossRef] [PubMed]
- Abdel-Aal, H.A. Surface structure and tribology of legless squamate reptiles. J. Mech. Behav. Biomed. Mater. 2018, 79, 354–398. [Google Scholar] [CrossRef] [PubMed]
- Abdel-aal, H. Functional Surfaces for Tribological Applications: Inspiration and Design. Surf. Topogr.-Metrol. 2016, 4. [Google Scholar] [CrossRef]
- Kovalev, A.; Filippov, A.; Gorb, S.N. Correlation analysis of symmetry breaking in the surface nanostructure ordering: Case study of the ventral scale of the snake Morelia viridis. Appl. Phys. A 2016, 122, 253. [Google Scholar] [CrossRef]
- Baum, M.J.; Heepe, L.; Fadeeva, E.; Gorb, S.N. Dry friction of microstructured polymer surfaces inspired by snake skin. Beilstein J. Nanotechnol. 2014, 5, 1091–1103. [Google Scholar] [CrossRef]
- Wu, W.; Yu, S.; Schreiber, P.; Dollmann, A.; Lutz, C.; Gomard, G.; Greiner, C.; Hölscher, H. Variation of the frictional anisotropy on ventral scales of snakes caused by nanoscale steps. Bioinspir. Biomim. 2020, 15, 056014. [Google Scholar] [CrossRef]
- Abdel-Aal, H.A.; Vargiolu, R.; Zahouani, H.; El Mansori, M. Preliminary investigation of the frictional response of reptilian shed skin. Wear 2012, 290–291, 51–60. [Google Scholar] [CrossRef][Green Version]
- Beyerlein, P. Studies on the significance of microdermatoglyphics in viperid systematics. I. The microdermatoglyphics of desert vipers. Herpetozoa 1998, 11, 79–86. [Google Scholar]
- Allen, W.L.; Baddeley, R.; Scott-Samuel, N.E.; Cuthill, I.C. The evolution and function of pattern diversity in snakes. Behav. Ecol. 2013, 24, 1237–1250. [Google Scholar] [CrossRef]
- Bhushan, B.; Kulkarni, A.V.; Bonin, W.; Wyrobek, J.T. Nanoindentation and picoindentation measurements using a capacitive transducer system in atomic force microscopy. Philos. Mag. A 1996, 74, 1117–1128. [Google Scholar] [CrossRef]
- Liu, Z.; Yin, W.; Tao, D.; Tian, Y. A glimpse of superb tribological designs in nature. Biotribology 2015, 1–2, 11–23. [Google Scholar] [CrossRef]
- Klein, M.-C.G.; Deuschle, J.K.; Gorb, S.N. Material properties of the skin of the Kenyan sand boa Gongylophis colubrinus (Squamata, Boidae). J. Comp. Physiol. A 2010, 196, 659–668. [Google Scholar] [CrossRef] [PubMed]
- Abdel-Aal, H.A. On surface structure and friction regulation in reptilian limbless locomotion. J. Mech. Behav. Biomed. Mater. 2013, 22, 115–135. [Google Scholar] [CrossRef]
Publisher’s Note: MDPI stays neutral with regard to jurisdictional claims in published maps and institutional affiliations. |
© 2021 by the authors. Licensee MDPI, Basel, Switzerland. This article is an open access article distributed under the terms and conditions of the Creative Commons Attribution (CC BY) license (https://creativecommons.org/licenses/by/4.0/).






