Abstract
Herein, a simple and environment-friendly method of coupling agent treatment of APP (ammonium polyphosphate) is provided and an optimum process of modification via coupling agent is identified. The effects of coupling agent type, dosage, modification time, and modification temperature on the modification of ammonium polyphosphate (APP) were investigated using an orthogonal experimental design. The modified ammonium polyphosphate (KAPP) was characterized under optimal process conditions using Fourier Transform Infrared (FT-IR), X-ray Diffraction (XRD), Thermogravimetry (TG), and Scanning Electron Microscope (SEM) analysis. The treatment greatly improved the water solubility, dispersibility, and thermal stability of KAPP; and the application of KAPP in polypropylene (PP) was investigated. The flexural properties, thermal stability, and flame retardancy were studied using mechanical testing, thermogravimetric analysis, oxygen index, and UL-94 vertical combustion. The results show that the KAPP-added polypropylene composites have better bending properties when compared with the APP-added PP composites. SEM analysis suggests that the surface of KAPP became smoother and flat; dispersion was better, compatibility with the PP matrix was improved, and there were no prominent voids and gaps in the cross-section. A different degree of improvement in flame retardancy was also observed as per the LOI and vertical combustion results, wherein the PP composites prepared by adding 20% KAPP achieved the LOI of 27.6% and passed the UL-94 test with V-0 rating.
1. Introduction
With the rapid development of polymers and chemicals, plastic products are widely used in various areas of the daily life of people [1,2,3]. However, the flammable plastics also pose a fire hazard that may be life-threatening and can cause severe property damage. Polypropylene (PP), one of the world’s four most versatile plastics [4], has been widely used in construction, packaging, and automotive applications [5,6,7] because of its low density, excellent abrasion resistance and strength, electrical insulation, and chemical resistance [8,9,10,11]. However, PP is flammable, easily deformed after burning, continues to burn when exposed to open flames, and the molten drip phenomenon can lead to secondary combustion, which greatly limits the applications of PP. Therefore, improving the flame retardancy of PP and reducing the melt-drop phenomenon have been extensively studied [12,13,14]. Currently, the primary methods to improve the flame-retardant performance of PP are the addition of flame retardant and coating treatment [15,16]. The addition of flame retardant has become the most common method because of its simple process [17,18].
Ammonium polyphosphate (APP), as an inorganic flame retardant with high phosphorus and nitrogen content, good thermal stability, low smoke, and non-toxicity, and is in line with the concept of green development. Owing to these characteristics, APP has become a research focus for additive flame retardants [19,20,21]. The industrially produced APP has been reported to have a relatively low degree of polymerization, is easily soluble in water, and has poor compatibility with the organic material substrates, which severely limit the use of flame-retardant plastics in humid environments [22,23,24]. To address these issues, the surface hydrophobic treatment of APP is one of the commonly used methods. The surface hydrophobic treatment of APP is primarily a microencapsulated, surface modifier and coupling agent treatment [25,26]. However, there are still some problems in the application of microencapsulated modified APP, such as microencapsulation of melamine formaldehyde resin to treat APP, owing to which there is free formaldehyde in the material that is harmful to human body [27]. Also, the use of isocyanate and melamine to prepare microencapsulation is damaging. The use of isocyanate and melamine to prepare microencapsulated APP increases the viscosity [28]. Also, surfactants such as fatty acids and low-valent metal salts to modify APP may have an impact on APP as organic solvents are used in the subsequent treatment process [29,30,31,32]. Moreover, the process is complex and costly. Although silane coupling agent treatment is the most common; however, coupling agent in the treatment process should follow the best dosage rules. Any dosage more than the best dosage would both increase the cost and cause powder coagulation. Also, the use of a simple and environment-friendly coupling agent treatment of APP has rarely been reported.
Herein, different types of silane coupling agents were used to modify the surface of APP. The effects of conditions such as coupling agent dosage, modification time, and modification temperature on the solubility of APP were investigated. The dispersion, thermal stability, and surface morphology of KAPP prepared using the optimum modification process have been studied and the modification mechanism has been discussed in detail. On this basis, different proportions of AAPP and KAPP were applied to polypropylene resins to compare their bending properties, oxygen index, and vertical burning properties.
2. Materials and Methods
2.1. Materials
The main materials used in this experiment are shown in Table 1.
Table 1.
Experimental materials.
2.2. Sample Preparation
- (1)
- Preparation of modified ammonium polyphosphate
Several factors affect the water solubility of ammonium polyphosphate, primarily the type of coupling agent, amount of coupling agent, reaction temperature, and reaction time. Herein, water solubility of ammonium polyphosphate was taken as the response index and, four factors were selected, namely: coupling agent type (A), coupling agent dosage (B), reaction temperature (C) and reaction time (D); and three levels were selected for each factor. The experimental factors and levels are listed in Table 2.
Table 2.
L9 (34) orthogonal test factor level table.
Liquid phase method: 100 g of APP powder was added to 150 mL of anhydrous ethanol and stirred to obtain an ethanol dispersion of APP. Then, the dispersion of APP was transferred to a three-necked flask. The coupling agent was dispersed in anhydrous ethanol and stirred with a magnet for 20 min to obtain the ethanol solution of the coupling agent. Finally, this solution was added to the three-mouth flask, stirred for a certain duration in a constant temperature water bath and then filtered.
- (2)
- Preparation of flame-retardant polypropylene composites
PP, APP, modified APP, and antioxidant were mixed in proportion and each specimen was kneaded on a dense refiner at 180 °C for 10 min. The resultant sample was placed in a Forming Die and pressed for 15 min on a 180 °C plate vulcanizer at the pressure of 10 MPa cooled, to obtain a sample of the composite material. The formulation of the flame-retardant polypropylene composite is shown in Table 3.
Table 3.
Flame-retardant polypropylene composite formulations.
2.3. Characterization
The solubility is based on the method specified in HG/T 2770-2008 “Industry Standard for Industrial Ammonium Polyphosphate”. The results obtained are the average of three tests.
Infrared spectroscopy test: the sample was ground into powder using mortar and pestle into powder of 110 mesh or more, using the KBr press method; Fourier transform infrared spectrometer (Spectrum 100, Perkin Elmer Company, Waltham, MA, USA) was employed for the analysis of infrared absorption of the specimen and scan was performed in the range of 4000–500 cm−1.
Scanning electron microscopy (Hitachi S-3000N, Tokyo, Japan): SEM was to observe the microscopic morphology of the fracture surfaces of APP and flame-retardant PP composites before and after modification at, an accelerating voltage of 15–20 kV. The powder sample was sprayed on the conductive tape, flicked by hand, and blown with ear ball to make it firmly and evenly adhere to the conductive tape, and finally sprayed with gold. Flame retardant PP cross section was obtained by breaking the transect under liquid nitrogen quenching, and then, spraying gold on its cross-section.
Thermogravimetric analysis (TG, NETZSCH, STA-449F3, Selb, Germany): The thermal weight losses of APP and flame-retardant PP before and after modification were measured at a heating rate of 10 °C/min in the temperature range of 60–700 °C (60 mL/min under nitrogen atmosphere).
Vertical combustion test (UL 94) for flame retardant PP was conducted according to UL 94 ISBN O-7629-0082-2 (Tests for Flammability of Plastic Materials for Parts in Devices and appliances).
Oxygen index test: The samples (100 mm × 10 mm × 5 mm) were tested for the limiting oxygen index (LOI) according to ASTM D2863-17a (Standard Test Method for Measuring the Minimum Oxygen Concentration to Support Candle-Like Combustion of Plastics). The samples were placed in the temperature range of 23 ± 2 °C and humidity of 50 ± 5% for more than 40 h before the test. The oxygen index was measured using X-ray light.
Elemental analysis was performed using X-ray photoelectron spectroscopy (XPS) on the APP powders before and after modification. The data were obtained from the PHI 5300 spectrometer of Perkin Elmer Company, Waltham, MA, USA
The bending properties were tested according to ASTM D790-17 in a three-point bending mode using a specimen size of 127 mm × 12.7 mm × 5 mm, a bending rate of 2 mm/min, and a span of 80 mm, with no less than five specimens in a set.
3. Results and Discussion
3.1. Analysis of Extreme Difference Results
As per Table 4 and Table 5, the factors affecting the water solubility of modified ammonium polyphosphate are the type of coupling agent, dosage, reaction temperature, and reaction time with R-values of 1.42, 0.85, 0.38 and 0.3, respectively, so the four factors in order of strength were the type of coupling agent, dosage, reaction temperature, and time. It can be seen from Figure 1 that the solubility of modified APP was minimized at a reaction temperature of 60°C, a coupling agent of KH-550, a dosage of 10%, and a reaction time of 2 h. FT-IR, XRD, TG, and microscopic morphological characterization were conducted for KAPP prepared under these optimal conditions and the application in PP was explored.
Table 4.
Orthogonal design and results table.
Table 5.
Results of extreme difference analysis.
Figure 1.
Factor water mean trend graph.
3.2. Effect of 3-Aminopropyltriethoxysilane on Properties of Ammonium Polyphosphate
3.2.1. Effect of 3-Aminopropyltriethoxysilane on Dispersibility of Ammonium Polyphosphate in Solvents
Figure 2 presents photographs of APP and KAPP powders placed in different solvents (distilled water, paraffin) for different durations. Figure 2a,b shows the hydrophilicity of unmodified APP and hydrophobicity of KAPP. The unmodified APP was dispersed in water and the distilled water became more turbid after 24 h and the precipitation occurred quickly after addition. In contrast, KAPP added to distilled water was partially dissolved and settled completely to the bottom after 24 h. The photographs of the dispersion of unmodified APP and KAPP in the organic phase (liquid paraffin) are shown in Figure 2c,d, respectively. The unmodified APP did not appear to disperse, settling in the liquid paraffin within 10 min, whereas KAPP dispersed better in the liquid paraffin and gradually dissolved to from turbid solution after 24 h. These results can indicate that the modified APP changes from hydrophilic to hydrophobic due to the access of organic groups, the solvent degree and dispersion in organic solvents improved and the modification effect was better.
Figure 2.
Shows photographs of APP and KAPP powders placed in different solvents (distilled water, paraffin) for different durations. (a) APP with KAPP 10 min in water;(b) APP with KAPP 24 h in water; (c) APP with KAPP 10 min in paraffin; (d) APP with KAPP 24 h in paraffin.
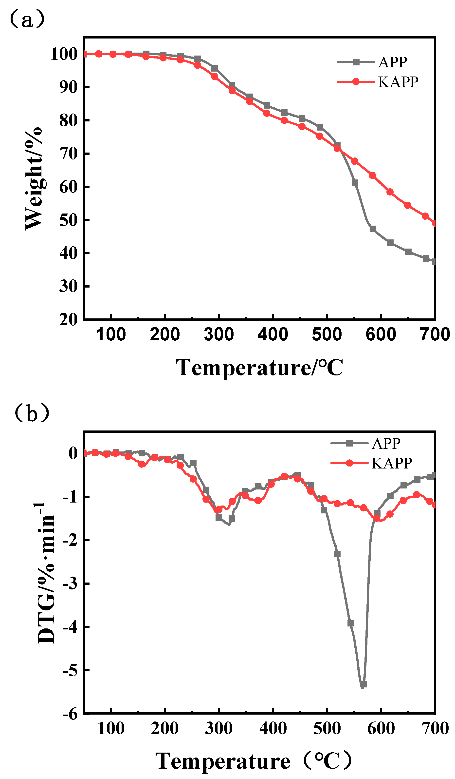
3.2.2. Effect of 3-Aminopropyltriethoxysilane on Thermal Stability of Ammonium Polyphosphate
As shown in Figure 3, the thermal decomposition of APP before and after modification is divided into two main stages. The first stage from 250 to 400 °C is divided into two parts, corresponding to the release of NH3 from APP to generate polyphosphoric acid and further H2O crosslinking to produce metaphosphoric acid, pyrophosphoric acid and P2O5 crosslinking products. This result is based on from the changes in the initial decomposition temperature (T5%) of APP before and after modification (see Table 6). The initial decomposition temperature of unmodified APP was 297 °C and the initial decomposition temperature of modified APP was 276 °C, slightly ahead of schedule. This change was probably due to the introduction of the coupling agent in the initial stage, which promoted the early decomposition of APP. The second stage occurs at 450–700 °C and was dominated by the continued decomposition of metaphosphoric acid and P2O5 from the first stage of dehydration crosslinking. At this stage, the maximum weight loss rate of the unmodified APP and modified APP were 5.49%·min−1 and 1.61%·min−1, respectively, and the temperature at the maximum weight loss rate were 568 °C and 601 °C, respectively. The maximum weight loss rate of the modified APP was significantly lower when compared with that of the unmodified APP and the residual at 700 °C (49.2%) was much higher than that of the unmodified APP (37.6%). Hence, the use of KH-550 modified APP significantly enhanced the thermal stability of the product at higher temperatures.
Figure 3.
(a) TG and (b) DTG curves for APP and KAPP.
Table 6.
TGA data of APP and KAPP.
3.2.3. Effect of 3-Aminopropyltriethoxysilane on Microscopic Morphology of Ammonium Polyphosphate
The Scanning electron microscopy (SEM) images of unmodified APP and modified KAPP are presented in Figure 4. As per Figure 4a,c, the aggregation of unmodified APP particles was more prominent. The aggregation of modified KAPP was improved and dispersion became better. The microscopic morphology of the unmodified APP and the modified KAPP are shown in Figure 4b,d. The unmodified APP was rough and has many tiny attachments, which indicates that the unmodified APP is more hygroscopic, and the powder particles aggregated with each other, resulting in poor dispersion. After KH-550 modification, the surface of KAPP had few particles but is generally smooth and flat. This result suggests that the morphology of KAPP was significantly changed after the modification with KH-550. These structures may endow KAPP new properties, which can further promote the flame-retardant effect.
Figure 4.
Scanning electron micrograph of APP and KAPP. (a) APP magnification ×200; (b) APP magnification ×800; (c) KAPP magnification ×200; (d) KAPP magnification ×800.
3.3. Modification Mechanism Analysish
3.3.1. Infrared Analysis
For comparison and analysis of Figure 5, the peak at 880 cm−1 was assigned to P = 0 telescopic vibration peak, 1014 cm−1 to P-O telescopic vibration peak, 1435 cm−1 to N-H bending vibration peak, 1700 cm−1 to C = 0 telescopic vibration peak and 3212 cm−1 for the N-H telescopic vibration peak, and the above peaks are consistent with the characteristics of Type I-APP in Table 2 and Table 3. The above peaks coincide with the characteristic peaks of type I-APP in Table 2 and Table 3. The symmetrical stretching vibration of the Si-O bond at a wavelength of 800 cm−1 suggests that KH-550 was successfully grafted on the surface of APP, further demonstrating that although the silane coupling agent did not change the crystal structure of APP, the functional groups of APP were changed and the surface modification was achieved.
Figure 5.
Infrared spectra of APP and KAPP.
3.3.2. XRD Analysis
As shown in Figure 6, the positions of diffraction peaks on several crystalline surfaces of APP were not changed, and no new diffraction peaks have appeared in the modified MH. This result indicates that the modified MH has the same internal crystal structure as the unmodified APP, and the coupling agent only acted on the surface of APP. However, the diffraction peak of the modified APP is higher than that of the pre-modified APP, which signifies that the crystallinity of the APP was higher, and the regularity was better after the surface modification. In summary, the coupling agent modified APP, the crystal structure of APP was not destroyed.
Figure 6.
XRD pattern of APP and KAPP.
X-ray Photoemission Spectroscopy (XPS) was employed to analyze the elemental changes on the surface of the powders before and after modification and the binding states of the elements to investigate the modification mechanism. The full XPS spectra of APP and KAPP are provided in Figure 7a. The main binding energies in the XPS spectra of APP are P2P at 135.14 eV, P2S at 192.21 eV, C1S at 284.8 eV, N1S at 401.95 eV and O1S at 532.72 eV. For KAPP, the presence of Si2P and Si2S binding energy at 103.88 eV and 153.6 eV, respectively, and the detection of Si elements in KAPP are evidence of the successful modification of APP surface with KH-550.
Figure 7.
XPS profiles of APP and KAPP all elements (a) and P 2p (b).
Also, as per Figure 7b, the binding energy of P2p in the modified KAPP was lower than that of P2P in the unmodified APP. This result indicates that a chemical reaction occurred between APP and KH-550 during the modification process and that chemical binding state of the surface P elements had changed. The inference is that the P-O-N portion of the powder particle surface changed to P-O-Si, and as Si element has a lower electronegativity, the binding energy of P-O-Si is lower than that of P-O-N, This phenomenon resulted in, a change in the binding energy of P2P in KAPP. To verify this inference, a split-peak fitting process for the P elements in APP and KAPP was performed, and the results from the fitting are presented in (Figure 8)
Figure 8.
P2p binding energy of APP (a) and KAPP (b).
3.3.3. XPS Analysis
The variation in elemental content on the surface of APP and KAPP is provided in Table 7. KAPP and APP had elemental content of N and P 8.04% and 10.46%, while P as 7.21% and 10.2%, respectively. This is due to the presence of the cladding layer, which slightly reduced the elemental content of N and P on the surface of KAPP. Also, the N/P ratio of KAPP (N/P = 0.98) is lower than that of APP (N/P = 1.16), with a decrease in the relative content of N elements, This result also proves that the P-O-N part of the particle surface changed to P-O-Si after the modification treatment.
Table 7.
Comparison of APP and KAPP surface elements.
Based on the results of FTIR and XPS analysis, a relevant modification mechanism is proposed, As shown in Figure 9.
Figure 9.
KH550 modified APP reaction mechanism diagram.
3.4. Application of 3-Aminopropyltriethoxysilane Modified Ammonium Polyphosphate in Flame Retardant PP
3.4.1. Analysis of Bending Properties of Flame Retardant PP
In general, the addition of additive flame retardants gradually decreases the mechanical properties of composites The surface modification of coupling agent can be used to improve the compatibility with the polymer matrix and, in the process, enhance the mechanical properties. As per Figure 10, with the rise in flame retardant (APP) addition, the bending strength of flame-retardant PP composites was significantly decreased. Also, the elastic modulus displayed the trend of first increasing and then decreasing. After the surface modification of APP by KH-550, the mechanical properties of flame-retardant PP composites were improved. Specifically, at 30% flame retardant addition, the bending strength of flame-retardant PP composites increases 48.3 from 46.8 The above results show that KH-550 effectively enhanced the compatibility between APP and PP matrix along with an increases in the intermolecular interaction force, which led to the improvement of mechanical properties of flame-retardant PP composites.
Figure 10.
Mechanical properties of flame-retardant PP composite.
3.4.2. Microscopic Morphology of Flame Retardant PP
To analyze the mechanism behind the enhancement of bending properties of the composites after modification, SEM analysis was performed on the bending sections of the composites. Figure 11 displays the bending section morphology of the three flame retardant PP composites. The powder in 20% APP/PP composites was poorly dispersed and consisted of multiple prominent holes and gaps of different sizes at the interface. These can easily fracture when the material is subjected to concentrated stress; thus, causing a reduction in the mechanical properties of the composites. These results indicate that the unmodified APP powder is not compatible with the PP matrix, When the material is subjected to stress, the powder particles are dislodged; thus, affecting its dispersion in the PP matrix. On the other hand, for the modified KAPP added to the PP matrix (20 KAPP/PP), the powder particles become better dispersed, without prominent holes and gaps, which also corresponds to the mechanical properties exhibited by the flame-retardant PP.
Figure 11.
SEM images of bending section of flame-retardant PP composite. PP: (a) magnification. 500×; (b) magnification 1000×. 20%APP/PP: (c) magnification 500×; (d) magnification 1000×. 20% KAPP/PP: (e) magnification 500×; (f) magnification1000×.
3.4.3. Thermal Stability
As can be seen by Figure 12 TGA (a) DTG (b), the effect of ammonium polyphosphate on the thermal stability of flame-retardant PP before and after modification was investigated. Thermogravimetric analysis of flame-retardant PP prepared from APP and different proportions of KAPP was conducted under a nitrogen atmosphere, as listed in Table 8. The overall flame-retardant PP composites had a T5% lower than that of PP at 387 °C. This is due to the possible catalytic degradation of the main chain of PP by APP and KAPP, which accelerated the dehydration of PP into carbon and further promoted the flame-retardant effect. The addition of APP and KAPP had little impact on the maximum weight loss rate. However, the maximum weight loss rate of its flame-retardant PP composites was significantly reduced, and the R max decreased gradually with the rise in KAPP ratio. By comparing 10% APP/PP with 10% KAPP/PP, the initial decomposition temperature decreased from 383 °C to 379 °C and the high temperature carbon residue of 10% KAPP/PP increased, from 10.69% to 12.69%. This is because, as compared with APP, KAPP promoted more carbon formation in the cohesive phase of the flame-retardant PP.
Figure 12.
TGA (a) and DTG (b) curves for flame retardant PP.
Table 8.
Thermal weight loss data for flame retardant PP under nitrogen atmosphere.
As per DSC results presented in Figure 13a, all the samples displayed a heat absorption peak at around 165 °C, which corresponds to the molten state of PP, indicating that the addition of APP and KAPP did not affect the melting temperature of PP and can facilitate the control of the processing temperature of the product. The thermal degradation temperature of the flame-retardant PP composite is presented in Figure 13b, which is consistent with the results obtained by DTG. As the glass conversion temperature of the polypropylene matrix is −10 °C, it is not reflected in the figure.
Figure 13.
DSC curves for flame retardant PP. (a) DSC temperature range 100–220 °C; (b) DSC temperature range 350–550 °C.
3.4.4. Flame Retardant Properties
To further test the flame resistance of the samples, the oxygen index (LOL) of the flame-retardant PP was tested against UL-94 vertical combustion and the relevant results are listed in Table 9. These results further indicate that KAPP is more efficient in improving the fire resistance of PP.
Table 9.
Oxygen index and vertical combustion test results for flame retardant PP.
4. Conclusions
Herein, the optimum modification process of coupling agent (KH-550, 10%, 2 h) was screened, and the surface modification treatment of APP was conducted using the optimum modification process. The water solubility, dispersibility and thermal stability of the modified KAPP were improved, and the maximum weight loss rate of the modified KAPP was significantly lower compared with that of APP under nitrogen atmosphere, and the residual amount at 700 °C (49.2%) was much higher than that of the unmodified APP (37.6%). The addition of KAPP significantly improved the uniform distribution of the flame retardant in the PP matrix and enhanced its bending properties for the same amount of flame-retardant addition. SEM analysis suggests that the surface of KAPP became smooth and flat; the dispersion was better and compatibility with the PP matrix was improved, and there were no obvious voids and gaps in the cross section. The proposed process may provide a new and facile way to simultaneously improve the flame retardant and mechanical properties of PP.
Author Contributions
Conceptualization, L.M. (Lingyu Meng) and M.L.; methodology, L.M. (Lipeng Meng); software, L.M. (Lingyu Meng); validation, L.M. (Lingyu Meng) and X.L.; formal analysis, C.L.; investigation, L.M. (Lingyu Meng).; resources, L.M. (Lingyu Meng) and M.L.; data curation, X.L.; writing—original draft preparation, L.M. (Lingyu Meng); writing—review and editing, M.L.; visualization, C.L. and S.H.; supervision, L.M. (Lipeng Meng); project administration, M.L.; L.M. (Lipeng Meng) and C.L.; funding acquisition, M.L. All authors have read and agreed to the published version of the manuscript.
Funding
This research was funded by the Funding for Capital Construction in the Budget of Jilin Province (innovation capacity construction) (Granted No. 2022C039-4), the Funding for Capital Construction in the Budget of Jilin Province (innovation capacity construction) (Granted No. 2021C036-8), Technology Development Innovation Platform (Base) and Talent Project: 20220508119RC, Wood Material Science and Engineering Key Laboratory of Jilin Province, Beihua University, 132013 P,R China, Beihua University Postgraduate Innovation Plan Project (Beihua Yanchuanghe Zi [2022] 009). Jilin Forest Processing Industry Public Technology Research and Development Center.
Institutional Review Board Statement
Not applicable.
Informed Consent Statement
Not applicable.
Data Availability Statement
Data is contained within the article.
Acknowledgments
The authors are grateful to the capital construction funds within the budget of Jilin Province for providing financial support for the work of this project and to Beihang University University for providing financial support and experimental equipment for this project.
Conflicts of Interest
The authors declare no conflict of interest.
References
- Zhou, K.; Jiang, S.; Wang, B.; Shi, Y.; Liu, J.; Hong, N.; Hu, Y.; Gui, Z. Combined effect of transition metal phosphide (MxPy, M = Ni, Co, and Cu) and intumescent flame retardant system on polypropylene. Polym. Adv. Technol. 2014, 25, 701–710. [Google Scholar] [CrossRef]
- Li, Q.; Jiang, P.; Wei, P. Studies on the properties of polypropylene with a new silicon-containing intumescent flame retardant. J. Polym. Sci. Part B Polym. Phys. 2005, 43, 2548–2556. [Google Scholar] [CrossRef]
- Ye, T.; Li, J. Effect of anion of polyoxometalate based organic-inorganic hybrid material on intumescent flame retardant polypropylene. Polym. Adv. Technol. 2016, 27, 1211–1219. [Google Scholar] [CrossRef]
- Huang, N.H.; Chen, Z.J.; Wang, J.Q.; Wei, P. Synergistic effects of sepiolite on intumescent flame retardant polypropylene. Express Polym. Lett. 2010, 4, 743–752. [Google Scholar] [CrossRef]
- Hassan, A.M.S.; Aly, R.M.; Alzahrani, A.M.Y.; El-Razik, M.M.A.; Shoukry, H. Improving fire resistance and energy performance of fast buildings made of hollow polypropylene blocks. J. Build. Eng. 2021, 46, 103830. [Google Scholar] [CrossRef]
- Gulrez, S.K.; Mohsin, M.A.; Shaikh, H.; Anis, A.; Pulose, A.M.; Yadav, M.K.; Qua, E.H.P.; Al-Zahrani, S. A review on electrically conductive polypropylene and polyethylene. Polym. Compos. 2013, 35, 900–914. [Google Scholar] [CrossRef]
- Patil, A.; Patel, A.; Purohit, R. An overview of Polymeric Materials for Automotive Applications. Mater. Today Proc. 2017, 4, 3807–3815. [Google Scholar] [CrossRef]
- Dai, J.; Li, B. Synthesis, thermal degradation, and flame retardance of novel triazine ring-containing macromolecules for intumescent flame retardant polypropylene. J. Appl. Polym. Sci. 2010, 116, 2157–2165. [Google Scholar] [CrossRef]
- Dittrich, B.; Wartig, K.-A.; Hofmann, D.; Mülhaupt, R.; Schartel, B. Flame retardancy through carbon nanomaterials: Carbon black, multiwall nanotubes, expanded graphite, multi-layer graphene and graphene in polypropylene. Polym. Degrad. Stab. 2013, 98, 1495–1505. [Google Scholar] [CrossRef]
- Dong, Q.; Ding, Y.; Wen, B.; Wang, F.; Dong, H.; Zhang, S.; Wang, T.; Yang, M. Improvement of thermal stability of polypropylene using DOPO-immobilized silica nanoparticles. Colloid Polym. Sci. 2012, 290, 1371–1380. [Google Scholar] [CrossRef] [PubMed]
- Lim, K.-S.; Bee, S.-T.; Sin, L.T.; Tee, T.-T.; Ratnam, C.T.; Hui, D.; Rahmat, A.R. A review of application of ammonium polyphosphate as intumescent flame retardant in thermoplastic composites. Compos. Part B Eng. 2016, 84, 155–174. [Google Scholar] [CrossRef]
- Dong, X.; Qin, R.; Nie, S.; Yang, J.; Zhang, C.; Wu, W. Fire hazard suppression of intumescent flame retardant polypropylene based on a novel Ni-containing char-forming agent. Polym. Adv. Technol. 2019, 30, 563–572. [Google Scholar] [CrossRef]
- Zhang, S.; Horrocks, A. A review of flame retardant polypropylene fibres. Prog. Polym. Sci. 2003, 28, 1517–1538. [Google Scholar] [CrossRef]
- Fang, Z.; Guo, Z.; Ma, H.; Chen, Q.; Wu, Y. Study of a halogen-free flame-retarded Polypropylene composition with balanced strength and toughness. Int. J. Mater. Prod. Technol. 2010, 37, 350. [Google Scholar] [CrossRef]
- Vahabi, H.; Paran, S.M.R.; Shabanian, M.; Dumazert, L.; Sonnier, R.; Movahedifar, E.; Zarrintaj, P.; Saeb, M.R. Triple-faced polypropylene: Fire retardant, thermally stable, and antioxidative. J. Vinyl Addit. Technol. 2019, 25, 366–376. [Google Scholar] [CrossRef]
- Yang, H.; Yu, B.; Song, P.; Maluk, C.; Wang, H. Surface-coating engineering for flame retardant flexible polyurethane foams: A critical review. Compos. Part B Eng. 2019, 176, 107185. [Google Scholar] [CrossRef]
- Peng, X.; Li, Z.; Wang, D.; Li, Z.; Liu, C.; Wang, R.; Jiang, L.; Liu, Q.; Zheng, P. A facile crosslinking strategy endows the traditional additive flame retardant with enormous flame retardancy improvement. Chem. Eng. J. 2021, 424, 130404. [Google Scholar] [CrossRef]
- Taib, M.N.A.M.; Antov, P.; Savov, V.; Fatriasari, W.; Madyaratri, E.W.; Wirawan, R.; Osvaldová, L.M.; Hua, L.S.; Ghani, M.A.A.; Al Edrus, S.S.A.O.; et al. Current progress of biopolymer-based flame retardant. Polym. Degrad. Stab. 2022, 205, 110153. [Google Scholar] [CrossRef]
- Shekarchi, M.; Farahani, E.M.; Yekrangnia, M.; Ozbakkaloglu, T. Mechanical strength of CFRP and GFRP composites filled with APP fire retardant powder exposed to elevated temperature. Fire Saf. J. 2020, 115, 103178. [Google Scholar] [CrossRef]
- Pallmann, J.; Ren, Y.; Mahltig, B.; Huo, T. Phosphorylated sodium alginate/APP/DPER intumescent flame retardant used for polypropylene. J. Appl. Polym. Sci. 2019, 136, 47794. [Google Scholar] [CrossRef]
- Lu, C.; Liu, L.; Chen, N.; Wang, X.; Yang, D.; Huang, X.-H.; Yao, D.-H. Influence of clay dispersion on flame retardancy of ABS/PA6/APP blends. Polym. Degrad. Stab. 2015, 114, 16–29. [Google Scholar] [CrossRef]
- Zhou, J.; Yang, L.; Wang, X.; Fu, Q.; Sun, Q.; Zhang, Z. Microencapsulation of APP-I and influence of microencapsulated APP-I on microstructure and flame retardancy of PP/APP-I/PER composites. J. Appl. Polym. Sci. 2013, 129, 36–46. [Google Scholar] [CrossRef]
- Zhang, J.; Wang, H.; Sun, W.; Zhang, Z.; Li, H.; Zhang, S.; Sun, J.; Gu, X. Surface modification on ammonium polyphosphate and its enhanced flame retardancy in thermoplastic polyurethane. Polym. Adv. Technol. 2021, 32, 2879–2886. [Google Scholar] [CrossRef]
- Yang, C.; Shao, S.; He, J.; Hu, Q.; Chen, Y. Rigid Polyurethane Foams Containing Modified Ammonium Polyphosphate Having Outstanding Charring Ability and Increased Flame Retardancy. Front. Mater. 2021, 8, 249. [Google Scholar] [CrossRef]
- Chen, Y.; Li, L.; Wang, W.; Qian, L. Preparation and characterization of surface-modified ammonium polyphosphate and its effect on the flame retardancy of rigid polyurethane foam. J. Appl. Polym. Sci. 2017, 134, 45369. [Google Scholar] [CrossRef]
- Shen, M.-Y.; Chen, W.-J.; Kuan, C.-F.; Kuan, H.-C.; Yang, J.-M.; Chiang, C.-L. Preparation, characterization of microencapsulated ammonium polyphosphate and its flame retardancy in polyurethane composites. Mater. Chem. Phys. 2016, 173, 205–212. [Google Scholar] [CrossRef]
- Wu, K.; Wang, Z.; Hu, Y. Microencapsulated ammonium polyphosphate with urea-melamine-formaldehyde shell: Preparation, characterization, and its flame retardance in polypropylene. Polym. Adv. Technol. 2008, 19, 1118–1125. [Google Scholar] [CrossRef]
- Zhu, H.; Xu, S. Preparation of Flame-Retardant Rigid Polyurethane Foams by Combining Modified Melamine–Formaldehyde Resin and Phosphorus Flame Retardants. ACS Omega 2020, 5, 9658–9667. [Google Scholar] [CrossRef]
- Katiyar, S.S.; Kushwah, V.; Dora, C.P.; Patil, R.Y.; Jain, S. Design and Toxicity Evaluation of Novel Fatty Acid-Amino Acid-Based Biocompatible Surfactants. AAPS PharmSciTech 2019, 20, 186. [Google Scholar] [CrossRef]
- Sarkar, N. Virtual Issue on Surfactants. J. Phys. Chem. B 2021, 125, 9917–9920. [Google Scholar] [CrossRef]
- Wang, T.; Yang, J.; Yan, J.; Xu, G.; Li, Z. Preparation of modified ammonium polyphosphate and its application in flame retardant air filter paper. Polym. Bull. 2021, 79, 3085–3098. [Google Scholar] [CrossRef]
- Wang, C.; Wang, Z.; Li, J. Synergistic effects of dual imidazolium polyoxometalates on intumescent flame retardant polypropylene. J. Appl. Polym. Sci. 2017, 134, 45491. [Google Scholar] [CrossRef]
Publisher’s Note: MDPI stays neutral with regard to jurisdictional claims in published maps and institutional affiliations. |
© 2022 by the authors. Licensee MDPI, Basel, Switzerland. This article is an open access article distributed under the terms and conditions of the Creative Commons Attribution (CC BY) license (https://creativecommons.org/licenses/by/4.0/).












