Abstract
The pavement quality indicator (PQI) is a non-destructive piece of equipment for detecting the compaction degree of asphalt pavement, which can avoid primary damage to the pavement compared with the traditional core-drilling method. In this paper, the PQI method was applied to evaluate the compaction quality of asphalt pavement through data collection, calibration and statistical analysis, and the probability-distribution characteristics of compaction degree were also explored, by fitting the data with probability-distribution models. Furthermore, the optimal detection-spacing was determined by comparing the statistical results of compaction degree measured at different detection-spacings. Test results showed that the calibrated PQI data was close to the actual data of the core sample, and their error rate was within 1%. The compaction degree of the test road was mostly located between 92% and 99%, and the variable coefficient was entirely below 2%, demonstrating that the pavement-compaction quality was satisfactory and uniform. The normal distribution model, lognormal distribution model and extreme-value distribution model had relatively high accuracy in fitting the compaction-degree frequency data, while the sine-wave distribution model was low in fitting accuracy. By comparing the predicted value with the actual value of compaction degree, the normal distribution model was determined as the most appropriate model for describing the frequency distribution of compaction degree. In addition, the detection spacing was selected as 50 m, considering the reliability, accuracy and efficiency. The research results provide technical support for the compaction quality-control of asphalt pavement in a non-destructive, timely, accurate and multi-point manner, ultimately contributing to the excellent service performance and service life of asphalt pavement.
1. Introduction
Compaction degree is one of the key indexes for the quality control of asphalt pavement during the construction period [1,2,3]. It is closely related to pavement performance and service life [4]. Qualified compaction is an essential factor of the well-constructed pavement, which lowers the risk of distress in the service period [5,6]. Compaction degree detection and evaluation methods play a key role in controlling the compaction quality. Traditionally, the compaction degree of asphalt pavement is measured using the core-drilling method or the nuclear-density gauge-method [7]. The former method is conducted by testing the density of drilled core-samples from asphalt pavement, and then the compaction degree is calculated, combined with the standard density obtained by laboratory tests [8]. Although this method has been widely applied to pavement quality control, there are still lots of problems, such as low efficiency, poor representativeness, amount of time needed, and damage caused to the pavement [9]. Moreover, it is an after-the-fact detection means, rather than a real-time detection means, and thus the construction plan cannot be timely adjusted [10]. By comparison, the latter method is a non-destructive detection method, which can test the compaction degree of asphalt pavement in real-time. However, it works based on a scattered gamma-ray, which is harmful to human health, due to its radioactivity [11,12]. In addition, strict procedures are required during the usage and storage process [13,14,15]. Therefore, a new non-destructive testing method for rapidly detecting pavement-compaction degree is receiving close attention from researchers across the world, to achieve compaction-degree detection in a totally non-invasive and harmless-to-humans manner.
In recent years, the non-nuclear density gauge based on material-permittivity rapid measurement has been gradually applied by road engineers, becoming promising non-destructive testing equipment for the compaction degree of asphalt pavement [16,17]. Using this method, the compaction degree can be rapidly tested in a safe and convenient manner. Up until now, there have been two kinds of commercial non-nuclear density gauges, including the PaveTracker series manufactured by Texler and the Pavement Quality Indicator (PQI) series manufactured by Transtech [18]. The PaveTracker instrument works based on the principle of electromagnetic sensing, while the PQI instrument works based on the dielectric property of the material [19]. According to previous studies, the PQI instrument shows better performance, and thus it has become very popular in America and China [20,21]. The PQI instrument mainly consists of three elements, namely an electromagnetic wave generator, an electromagnetic wave receiver, and an isolation ring between them, as shown in Figure 1. Using the induction electrode of the PQI instrument, the alternating current is converted into an electromagnetic wave that propagates in the asphalt pavement. The electromagnetic wave reflected from the asphalt pavement is received by another induction electrode. During the propagation process, the energy of electromagnetic waves will be absorbed gradually, and the degree of energy loss is closely related to the dielectric constant of the asphalt pavement. The defects or voids in the asphalt pavement have obvious effects on the transmission of electromagnetic waves, leading to the change in dielectric constant [22]. Due to the higher dielectric constant of the asphalt mixture compared with that of air, the greater density of the asphalt mixture means a smaller void-volume and a larger dielectric constant of the asphalt mixture. The density can be estimated by inferring the relative content of the void volume from the dielectric permittivity [23]. That is to say, the variation of the dielectric constant is correlated with the change in density and compaction degree, and thus the dielectric constant can be converted into the density value of the testing point. The compaction degree is defined as the ratio of the actual density of the asphalt pavement at the testing point to the standard density of the compacted-asphalt mixture in the laboratory. The compaction-degree calculation-process can be automatically completed by the PQI instrument, and the results will be displayed on the screen. Currently, the commonly used PQI instruments are illustrated in Figure 2. The non-nuclear density gauge PQI380 is a third-generation product produced by Trans Tech company [24], which is adopted in this study.
Figure 1.
Working principle of the PQI instrument.
Figure 2.
The commonly used PQI instruments: (a) PQI 300; (b) PQI 310; (c) PQI 380.
Previous research results showed that the accuracy and stability of the PQI reading were influenced by many factors, including the pavement thickness [25], aggregate gradation and source [26,27,28], porosity [25], test temperature [29], moisture content [23,30], operation proficiency [17], etc. Kvasnak et al., put forward the idea that it was necessary to determine an appropriate adjustment coefficient through experiments to calibrate the reading before applying the reading to the quality control of entity engineering [31]. Chen et al., calibrated the PQI data using the method of difference, taking the density of the core sample as the standard [13]. Guo et al., also used this method to calibrate the PQI data [7]. Ziari et al., tested the compaction degree of a highway under construction, and pointed out that PQI test results were highly reliable [2]. Chen et al., compared the core-drilling method with the PQI method using field tests, and found that their correlation coefficient was 0.84 [13]. Zha et al., compared the detection results of the PQI method with the core-drilling method, and proposed that the error rates were all within ±1%, indicating that the PQI method was satisfactory in testing accuracy [15]. Smith et al., proposed that the non-nuclear density gauge was more suitable than the nuclear density gauge when measuring the density of dense-graded asphalt pavement [5]. Peng also proved the feasibility and reliability of applying PQI in detecting the density of the asphalt layer [32]. In addition, testing accuracy is also highly affected by the properties of the PQI instrument, including the dielectric-constant measurement based on electromagnetic theory and the establishment of the density-prediction model. Megali et al., developed a prediction model correlating the density of material with its dielectric constant, and verified the rationality of the model by conducting a series of tests [33]. Yang also proposed a density-prediction model based on the dielectric constant, and successfully applied it to the application of the PQI method [34]. With the development of PQI techniques, the testing accuracy of the dielectric constant is gradually improved, and the density-prediction model is continuously optimized. There is no doubt that the PQI testing result is becoming more excellent in terms of stability, repeatability, accuracy and security, exhibiting distinct advantages compared with the core-drilling method and the nuclear-density gauge-method [25,35].
In recent years, the PQI method has been increasingly applied to process control and outcome evaluation of pavement-compaction degree. Chen et al., applied the PQI method on test roads, and the average value and representative value were calculated, to evaluate the compaction quality [13]. He et al., proposed that it was efficient to monitor the compaction degree and evaluate the rationality of the compaction methods by adopting the PQI instrument, so as to find possible problems in time and deal with them immediately, thus ensuring construction quality [36]. Wang et al., monitored the compaction degree of an airport runway using PQI, and optimized the mechanical combination-mode and rolling times, to ensure the compaction quality of the airport runway [37]. Usually, the detection spacing is selected as 100 m, namely conducting compaction-detection every 100 m [13]. A reasonable detection-spacing needs to be further investigated to improve cost-effectiveness without affecting the accuracy and representativeness. Due to the influence of multiple factors, compaction degree fluctuates along the road. Investigation of the probability distribution law is of great importance for compaction evaluation. Nie et al., established the probability distribution model of compaction based on the field test-data, and then determined the optimal rolling plan [38].
Compaction quality-control mainly includes the control of compaction degree and compaction uniformity [19]. With the above analysis, extensive research results have been achieved on the factors influencing compaction degree and the improvement of testing accuracy. However, only limited studies have concentrated on the evaluation of compaction uniformity, distribution law and detection spacing. In this paper, the compaction degree of asphalt pavement was tested using the PQI method, and then calibrated, based on the on-site core sample, to guarantee reliability. Next, the calibrated PQI data was processed with a statistical analysis method to evaluate the compaction quality of the test roads. Furthermore, the distribution model of the compaction degree was determined by fitting the compaction-degree data with various probability distribution functions. Finally, the influence of detecting spacing on the statistical results of the compaction degree was investigated, and a reasonable detection frequency was determined, considering the principles of reliability and economy.
2. Compaction-Degree Detection Based on PQI Method
2.1. Project Information
The general information about the test-road project is briefly introduced here. The test-road paved with asphalt pavement was located in the Dahe road of the Zhengzhou fourth ring road. Its upper layer is ARHM-13 asphalt mixture with a thickness of 40 mm, and its lower layer is ARHM-20 asphalt mixture with a thickness of 60 mm. According to the chainage, defined as the distance from the starting point of the road and the layer location, six test-sections were selected from the test road, which were named test section A, test section B, test section C, test section D, test section E and test section F, respectively. Their details are listed in Table 1.
Table 1.
Test section information.
2.2. Density Measurement and Calibration
The density of the test sections was tested every 10 m along the direction of traffic, using the PQI instrument. At each cross section, the midpoint of each lane was selected as the measuring point where the PQI detection was conducted. The PQI instrument must be calibrated to ensure that the test results are consistent with the actual value. Once the asphalt mixture (type, aggregate source, asphalt, etc.) changes, the PQI instrument must be calibrated again [39]. In this study, the difference in density obtained by the PQI instrument with the actual density obtained from the on-site core sample was used for the density calibration process, which is presented as follows.
2.2.1. Density Measurement Based on the PQI Method
Thirteen calibration points were randomly selected along the asphalt pavement. For each calibration point, five circles were respectively drawn around the PQI sensor board with chalk, as shown in Figure 3. The density of each circle was measured, and the average value was determined as the density at the calibration point.
Figure 3.
Density measurement using PQI at the calibration point.
2.2.2. Density Measurement Based on the Core Sample
The core sample was drilled at the center of each calibration point, as shown in Figure 4. Then, it was transferred to the laboratory to test its bulk density by the surface-drying method, according to the Chinese specification JTG E20-2011 T0705, as shown in Figure 5. After cleaning the surface of the sample, its mass was tested in various conditions to calculate its bulk density, as presented in Equation (1).
where: represents the bulk density of the core sample, g/cm3; ma represents the mass of the core sample in dry condition, g; mf represents the mass of the core sample in the surface-dry condition, g; mw represents the mass of the sample immersed in water, g; represents the density of the water at 25 °C, which is 0.9971 g/cm3.
Figure 4.
Drilling core-sample at the calibration point: (a) drilling process; (b) core sample.
Figure 5.
Density testing of the core sample: (a) weighing; (b) cleaning.
2.2.3. Determination of the Calibration Coefficient
The calibration of the PQI data was conducted by comparing the density measured by the PQI instrument at the calibration point with the actual density of the core sample. The density disparity at each calibration point was calculated respectively, and the average density-disparity of the calibration points was taken as the compensation coefficient of the original PQI data, namely the calibration coefficient. The calculation method is presented as Equation (2),
where d represents the calibration coefficient, g/cm3; represents the density of the core sample at the ith calibration point, g/cm3; represents the density measured with PQI at the ith calibration point, g/cm3; and n represents the total number of calibration points, n = 13.
2.2.4. Rechecking of the Calibration Coefficient
To ensure the reliability of the PQI data, it is necessary to recheck the accuracy of the calibration coefficient. Eight test points requiring cleaning and drying were selected randomly along the asphalt pavement. Their density was measured using the PQI instrument, and then calibrated according to Equation (3). The bulk density of the core sample at the test point was measured with the surface-dry method. By comparing the calibrated PQI density with the core-sample density, the rationality of the calibration coefficient and the accuracy of the PQI method were evaluated. If the density difference is within the allowable error range, the calibration coefficient is recognized as reasonable, and thus it can be input into the PQI instrument for calibrating the PQI data in subsequent detection.
where ρ represents the calibrated density-value based on PQI, g/cm3; represents the original density-value measured by PQI, g/cm3; and d represents the calibration coefficient, g/cm3.
2.3. Calculation of Compaction Degree
With the calibration coefficient determined through the above steps, the pavement density at the selected measuring point along the road was tested successfully, using the PQI instrument. Then, the corresponding compaction degree was obtained according to, Equation (4).
where K represents the compaction degree; represents the practical density measured at the construction site, g/cm3, and represents the standard density of the asphalt mixture obtained in the laboratory, which can be determined by the Marshall test or the maximum theoretical relative-density test.
In line with the original PQI density and the core-sample density of the ARHM-13 asphalt mixture at thirteen calibration points, the calibration coefficient d was calculated using Equation (2). The results are listed in Table 2.
Table 2.
Calculation results of calibration coefficient d.
After determining the calibration coefficient, eight testing points marked with a-h were selected to verify the reliability of the calibration coefficient by comparing the calibrated PQI-density with the core-sample density, as listed in Table 3. It was found that the calibrated PQI density was close to the actual density of the core sample, and their error rate was within 1%. This indicates that the PQI method has a high testing-accuracy, and thus the calibration coefficient is recognized as reliable, and can be used for calibrating the original PQI data of the ARHM-13 asphalt mixture in this study. In the same way, the calibration coefficient of the ARHM-20 asphalt mixture was also determined, and then the original PQI density was calibrated to obtain the corresponding compaction degree.
Table 3.
Comparison of density values obtained using the PQI method and the core-drilling method.
3. Evaluation and Analysis of Compaction Degree of Asphalt Pavement
3.1. Evaluation of Compaction Degree of Asphalt Pavement
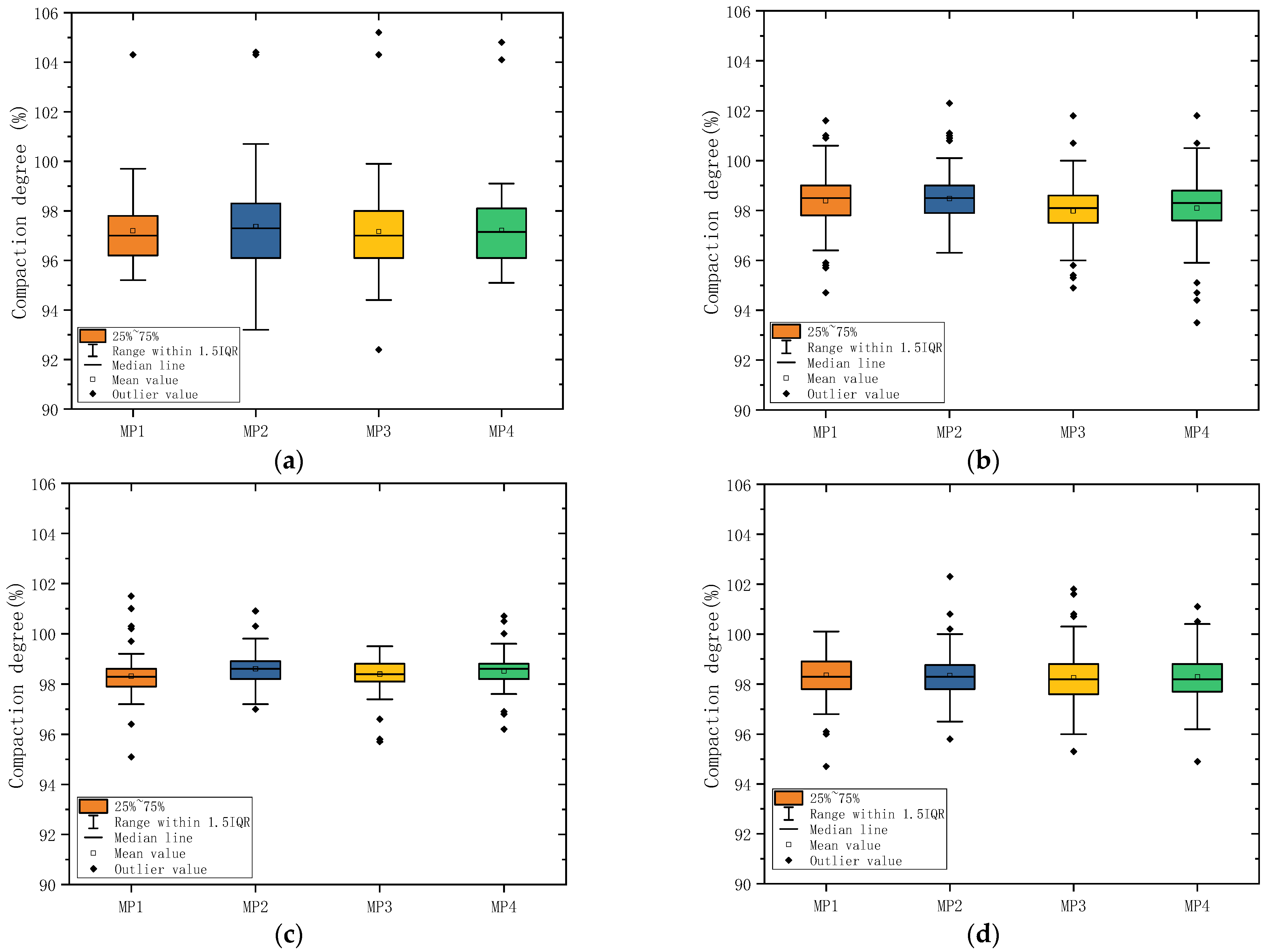
The compaction degree of asphalt pavement was detected and calibrated using the PQI instrument at the midpoint of each lane, with a detection spacing of 10 m. The compaction degree along the road is depicted in Figure 6. The statistical analysis results are shown in Table 4 and Figure 7. It was found that the compaction degree of the measuring points was mostly located between 92% and 100%. For test sections A–D, the standard density used to calculate the compaction degree, as shown in Equation (4), was obtained based on the Marshall test. In this case, the requirement for compaction degree in China is higher than 97%. For test sections E and F, the standard density was obtained based on the maximum theoretical relative-density test, and the requirement for compaction degree is higher than 93%. According to the test results, the average value of the compaction degree was 97.2%, 98.0%, 98.3% and 98.3%, respectively, for test sections A–D, while the average value of the compaction degree of test sections E and F was 94.36% and 94.74%, respectively. They all meet the specification requirements. In addition, the compaction degrees of the four lanes in the same test section were very close, implying that the pavement-compaction quality was satisfactory. The variable coefficient was 1.56%, 1.12%, 0.43%, 0.72%, 0.57% and 1.11%, respectively, demonstrating that the test road was uniform in compaction quality.

Figure 6.
Compaction degree of the test road: (a) test section A; (b) test section B; (c) test section C; (d) test section D; (e) test section E; (f) test section F.
Table 4.
Statistical analysis results of compaction degree.

Figure 7.
Box plots of compaction degree. (a) test section A; (b) test section B; (c) test section C; (d) test section D; (e) test section E; (f) test section F.
3.2. Analysis of Probability Distribution Model of Compaction Degree
The frequency-distribution histograms of the compaction degree of the six test sections are drawn in Figure 8. It was found that for test section A–D, the compaction degree was concentrated in the range of 95%–100%, with the highest probability in the compaction-degree range of 97%–99%. For test sections E and F, the compaction-degree data were mostly located in the range of 93%–96%.

Figure 8.
Frequency-distribution histogram of compaction degree: (a) test section A; (b) test section B; (c) test section C; (d) test section D; (e) test section E; (f) test section F.
In order to investigate the distribution law of the compaction degree, the frequency-distribution histogram of the compaction degree was fitted by the probability distribution-models commonly used in engineering, including the normal distribution (ND) model, lognormal distribution (LD) model, extreme-value distribution (ED) model, and sine-wave distribution (SD) model [38]. The probability distribution functions of ND, LD, ED and SD are expressed as Equations (5)–(8), respectively.
where y represents the frequency; x represents the compaction degree %; and A, μ and σ are the fitting parameters.
The fitting curves of the frequency-distribution histogram of the compaction degree at different test sections are also depicted in Figure 8. The fitting parameters are listed in Table 5. It was preliminarily found that the ND model, LD model and ED model had relatively high fitting-accuracy, and that their fitting parameters were in accord with the statistical analysis results of the compaction degree in Table 4. The SD model was low in fitting accuracy, and thus it was unsuitable for describing the distribution law of compaction degree.
Table 5.
Fitting parameters of the probability distribution function.
3.3. Optimization of Probability Distribution Model of Compaction Degree
According to Table 5, the frequency-distribution histogram of compaction degree was characterized by the ND model, LD model and ED model, with satisfactory effects. To determine the optimal model, the predicted values of compaction degree based on the probability distribution models were compared with the actual values measured by the PQI instrument, as illustrated in Figure 9.

Figure 9.
Relationship between actual frequency and predicted frequency: (a) Test section A; (b) Test section B; (c) Test section C; (d) Test section D; (e) Test section E; (f) Test section F.
There was a similar law for the six test sections, stating that the data points were all located around the standard line (y = x), except for the data points based on the SD model, meaning that the predicted results based on the ND, LD and ED models were close to the actual value. The sum of the squares of errors (SSE) was calculated to quantitatively evaluate the deviation degree between the predicted value and actual value, as depicted in Figure 10. The smaller the SSE value, the higher the fitting accuracy. It was clearly seen that the SSE value of the ED model was the highest for the test sections, except for test section D, followed by the LD model and the ND model. In general, the ND model showed the best fitting-effect. Therefore, the frequency distribution of compaction degree could be well described by the ND model.
Figure 10.
Sum of squares of errors for different probability distribution models.
3.4. Determination of Compaction Degree Detection-Spacing
In order to improve the detection efficiency, the detection spacing is required to be as long as possible. This might lead to a cost of a reduction in accuracy and representativeness. An appropriate detection spacing that balances the above-mentioned two aspects needs to be determined. Hence, the compaction degree was tested using the PQI instrument at different spacings, namely 10 m, 20 m, 50 m and 100 m. The average value and representative value of the compaction degree measured at different detection spacings were calculated and shown in Figure 11. The representative value is a statistical term, which indicates the lower confidence limit of the arithmetic mean value of the compaction degree. It can be obtained according to Equation (9),
where X represents the representative value %; represents the average value %; N represents the number of testing points; and is the coefficient, varying with the degree of freedom (N − 1) and confidence level α.
Figure 11.
Average value and representative value of compaction degree: (a) Test section A; (b) Test section B; (c) Test section C; (d) Test section D; (e) Test section E; (f) Test section F.
It can be found from Figure 11 that there was a certain difference between the average value and the representative value of the compaction degree. The shorter detection-spacing results in the greater amount of detection data, which can better reflect the actual compaction quality. However, this will cause an increase in workload. In order to analyze the sensitivity of the PQI testing results to detection spacing, the average value or the representative value of pavement density measured at the shortest spacing, namely 10 m in this study, was taken as the standard value. The PQI density measured at a longer detection-spacing, namely 20 m, 50 m or 100 m, was converted to the deviation value relative to the standard value, which can be calculated as Equation (10),
where DVi represents the deviation value of the compaction-degree data obtained at a detection spacing of i (20 m, 50 or 100 m) compared with that obtained at a detection spacing of 10 m; Di represents the compaction degree value obtained at a detection spacing of i (20 m, 50 or 100 m), %; and Dst represents the compaction degree value obtained at a detection spacing of 10 m, %.
The deviation value was used to demonstrate the deviation degree of the test value from the standard value when the detection spacing was increased from 10 m to 20 m, 50 m and 100 m. It was expected to be as close to zero as possible, which would imply that there were only a slight degree of deviation. The calculation results are shown in Figure 12. It can be seen that the range of the deviation value expanded rapidly with the increase in the detection spacing. For the detection spacing of 20 m and 50 m, the data points still gathered around the line of y = 0.0. However, they became very scattered when the detection spacing increased to 100 m. Therefore, it is suggested that the detection spacing should be determined as 50 m, considering the efficiency and accuracy.
Figure 12.
Variation of deviation value with the increasing detection spacing: (a) average value; (b) representative value.
4. Conclusions
In this paper, the PQI instrument was used for detecting the compaction degree of asphalt pavement in a non-invasive and effective manner. The PQI data was detected, calibrated and then analyzed to evaluate the compaction quality of asphalt pavement. The distribution characteristic and the optimal detection-spacing of pavement-compaction degree were investigated, based on the statistical analysis results. The main conclusions were obtained as follows:
- The calibration coefficient was calculated as −0.016 g/cm3. The calibrated PQI density was close to the actual density of the core sample, and the error rate was within 1%, indicating that the PQI method had a high testing-accuracy.
- The compaction degree of the test road was mostly located between 92% and 99%, and the variable coefficient was entirely below 2%. This indicates that the compaction quality of the asphalt pavement was satisfactory and uniform.
- The ND model, LD model and ED model had relatively high fitting accuracies, and the fitting parameters were in accord with the statistical analysis results of the compaction degree. The SD model was low in fitting accuracy, which made it unsuitable for describing the distribution law of compaction degree.
- According to the comparison results of the predicted value with the actual value of compaction degree, the ND model was determined as the most appropriate model for describing the frequency-distribution characteristics of pavement compaction degree.
- The range of deviation value expanded rapidly with the increase of detection spacing. Considering both efficiency and accuracy, the optimal detection-spacing was determined as 50 m.
Author Contributions
Conceptualization, Y.L. (Yanli Li) and H.Z.; data curation, Y.P.; formal analysis, H.Z., Y.L. (Yan Li) and K.W.; funding acquisition, Y.L. (Yanli Li); investigation, Y.L. (Yanli Li), Y.P. and K.W.; methodology, Y.L. (Yanli Li) and Y.L. (Yan Li); project administration, K.W.; resources, H.Z. and K.W.; software, H.Z.; supervision, H.Z.; writing—original draft, Y.L. (Yanli Li), H.Z. and Y.L. (Yan Li); writing—review and editing, Y.P., Y.L. (Yan Li) and K.W. All authors have read and agreed to the published version of the manuscript.
Funding
This research was funded by Henan Province Key R&D and Promotion Special (Scientific and Technical) Project (No. 212102310986, No. 202102310263); Henan Provincial Department of Housing and Urban-Rural Development Science and Technology Planning Project (HNJS-2020-K36).
Institutional Review Board Statement
Not applicable.
Informed Consent Statement
Not applicable.
Data Availability Statement
The data presented in this study are available on request from the corresponding author.
Conflicts of Interest
The authors declare no conflict of interest.
References
- Wang, F. Research on the Detection Method of Compaction Degree of Asphalt Pavement Construction Site; Southeast University: Dhaka, Bangladesh, 2021. [Google Scholar]
- Ziari, H.; Behbahani, H.; Izadi, A.; Divandary, H. Field Evaluation of Nondestructive Tests in Measuring the Pavement Layers Density. J. Appl. Sci. 2010, 23, 3091–3097. [Google Scholar] [CrossRef]
- Ameri, M.; Kashani Novin, M.; Yousefi, B. Comparison of the Field Measurements of Asphalt Concrete Densities Obtained by Ground-Penetrating Radar, Pavement Quality Indicator and the Borehole Coring Methods. Road Mater. Pavement Des. 2014, 15, 759–773. [Google Scholar] [CrossRef]
- Zaman, S.; Hassaan, M.; Hussain, J.; Hayat, U. Efficacy of Non-Nuclear Methods Used for Hot Mix Asphalt Density Determination. Civ. Eng. J. 2020, 6, 1166–1179. [Google Scholar] [CrossRef]
- Smith, B.C.; Diefenderfer, B.K. Comparison of Nuclear and Nonnuclear Pavement Density Testing Devices. Transp. Res. Rec. 2008, 2081, 121–129. [Google Scholar] [CrossRef]
- Chen, C.; Hu, Y.; Jia, F.; Wang, X. Intelligent Compaction Quality Evaluation Based on Multi-Domain Analysis and Artificial Neural Network. Constr. Build. Mater. 2022, 341, 127583. [Google Scholar] [CrossRef]
- Guo, D.J.; Sun, J.H.; Wang, D.Y.; Han, L.Z.; Xu, J.Q. Application of Pavement Quality Indicator in Compaction Detecting. J. Highw. Transp. Res. Dev. 2007, 24, 50–52. [Google Scholar]
- Wu, Y. Research on Application of Real-Time Compaction Detection Technology. Road Mach. Constr. Mech. 2013, 30, 27–31. [Google Scholar]
- Chen, J.; Wang, J.; Shao, J. Method of Sample Capacity Determination for Compaction Test by Non-Nuclear Density Gauge. Road Mach. Constr. Mech. 2020, 37, 71–74. [Google Scholar]
- Wang, Z. Influencing Factors and Compaction Quality Evaluation of Compaction Test with Pavement Quality Indicator; Harbin Institute of Technology: Harbin, China, 2019. [Google Scholar]
- Zaman, S.; Hussain, J.; Ahmad Zaidi, S.B.; Ejaz, N.; Awan, H.H. Field Assessment of Non-Nuclear Methods Used for Hot Mix Asphalt Density Measurement. Civ. Eng. J. 2019, 5, 1820–1831. [Google Scholar] [CrossRef]
- Zhang, G.D. Study on Method of Using Non-Nuclear Densitometer to Detect Compactness of Dynamic Compaction Foundation. Brick-Tile 2022, 414, 50–51. [Google Scholar] [CrossRef]
- Chen, S.; Zhang, X.; Zou, G.; Chen, J. Application of PQI in Asphalt Pavement Compaction Degree Measurement. Road Mach. Constr. Mech. 2005, 22, 55–57. [Google Scholar]
- Wang, Y.; Sun, X.; Yang, L.; Guan, G. Application of Non-Nuclear Densitometer in Nondestructive Testing of Compactness of Shenshan Expressway Pavement. North. Commun. 2022, 61, 61–64. [Google Scholar]
- Zha, X.D.; Huang, L. Application Research on Rapid Testing and Evaluation of Compaction Quality in Asphalt Pavement with Pavement Quality Indicator (PQI). J. Chang. Univ. Sci. Technol. Sci. 2008, 5, 3–10. [Google Scholar]
- Fu, Y.; Wu, S.; Qiu, J.; Liu, Q.; Tang, N. Application of Non-Nuclear Density Gauge in the Density Measurement of Asphalt Pavement. J. Wuhan Univ. Techonol. 2007, 19, 22–23. [Google Scholar]
- Allen, D.L.; Schultz, D.B.; Willett, D.A. Evaluation of Non-Nuclear Density Gauges; Report No. KTC-03-24/FR115-01-1F ; University of Kentucky: Lexington, KY, USA, 2003. [Google Scholar]
- Popik, M.; Maser, K.; Holzschuher, C. Using High-Speed Ground Penetrating Radar for Evaluation of Asphalt Density Measurements. In Proceedings of the Annual Conference & Exhibition of the Transportation Association of Canada, Halifax, NS, Canada, 26–29 September 2010. [Google Scholar]
- He, Y.; Gao, X.M.; Yang, Y.Q.; Guo, H.J. Research on Nondestructive Testing Technology and Application of Asphalt Pavement Compactness. Constr. Mach. 2021, 542, 39–44. [Google Scholar] [CrossRef]
- Li, C.M.; De, T.; Chen, Z.Y. The Improvement of PQI Density Testing Method of Considering Texture Depth of Asphalt Pavement. Adv. Mater. Res. 2013, 718–720, 1914–1918. [Google Scholar] [CrossRef]
- Kim, Y.-R.; Cho, Y. Non-Nuclear Method for Density Measurements; Nebraska Department of Roads: Lincoln, NE, USA, 2011. [Google Scholar]
- Maharaj, A.; Leyland, R. The Dielectric Constant as a Means of Assessing the Properties of Road Construction Materials. In Proceedings of the 29th Southern African Transport Conference (SATC), Pretoria, South Africa, 16–19 August 2010; Volume 1, pp. 487–498. [Google Scholar]
- Sargand, S.; Kim, S.-S.; Farrington, S.P. A Working Review of Available Non-Nuclear Equipment for Determining in-Place Density of Asphalt; The National Academies of Sciences, Engineering, and Medicine: Washington, DC, USA, 2005. [Google Scholar]
- Li, G.; Huang, S.; Li, W.; Chang, R.; Ma, G.; Wang, C. Influencing Factor Analysis and on-Site Inspection Verificatoni of PQI Detection. Road Mach. Constr. Mech. 2019, 36, 110–116. [Google Scholar]
- Schmitt, R.; Rao, C.; Von Quintus, H.L. Non-Nuclear Density Testing Devices and Systems to Evaluate in-Place Asphalt Pavement Density; The National Academies of Sciences, Engineering, and Medicine: Washington, DC, USA, 2006. [Google Scholar]
- Evans, R.D.; Frost, M.; Stonecliffe-Jones, M.; Dixon, N. Assessment of in Situ Dielectric Constant of Pavement Materials. Transp. Res. Rec. 2007, 2037, 128–135. [Google Scholar] [CrossRef]
- Liu, J.; Lai, X.H. Brief Analysis on Application of Pavement Quality Indicator (PQI) in Uniformity Evaluation of Asphalt Pavement Construction Quality. North. Commun. 2017, 87–90, 94. [Google Scholar]
- Guo, D.D. Application of Pavement Quality Indicator in the Construction Quality Instant Control of Asphalt Pavement. Appl. Mech. Mater. 2013, 333–335, 1691–1694. [Google Scholar] [CrossRef]
- Sebesta, S.; Zeig, M.; Scullion, T. Evaluation of Non-Nuclear Density Gauges for HMAC; Report No. FHWA/TX-04/0-4577-1, Texas Transportation Institute Report; Texas Transportation Institute: Austin, TX, USA, 2003. [Google Scholar]
- Ni, H.; Lin, Q.; Xu, J. Operation Principle of PQI and Factors Affecting Its Density Readings. Road Mach. Constr. Mech. 2011, 28, 32–35. [Google Scholar]
- Kvasnak, A.N.; Williams, R.; Ceylan, H.C.; Gopalakrishnan, K. Investigation of Electromagnetic Gauges for Determining in-Place HMA Density; Iowa State University: Ames, IA, USA, 2007. [Google Scholar]
- Peng, Y.H.; Xi, H.J.; Li, F.F.; Sun, D.W. Application of Pavement Quality Indicator in Asphalt Pavement Density Measuring. Road Mach. Constr. Mech. 2008, 33, 47–50. [Google Scholar]
- Megali, G.; Cacciola, M.; Ammendola, R.; Moro, A.; Praticò, F.G.; Morabito, F.C. Assessing Reliability and Potentiality of Nonnuclear Portable Devices for Asphalt Mixture Density Measurement. J. Mater. Civ. Eng. 2010, 22, 874–886. [Google Scholar] [CrossRef]
- Yang, C. Study on the Non-Destruction Detection Technology in Asphalt Concrete Pavement Based on the Technique of Electromagnetic Waves; Chang’an University: Xi’an, China, 2012. [Google Scholar]
- Plati, C.; Loizos, A.; Gkyrtis, K. Assessment of Modern Roadways Using Non-Destructive Geophysical Surveying Techniques. Surv. Geophys. 2020, 41, 395–430. [Google Scholar] [CrossRef]
- He, J.B.; Zhou, J.C.; Zhou, G.; Yan, S.X. Application of Asphalt Pavement Quality Indicator (PQI) in Controlling Compaction of Asphalt Pavement. Technol. Highw. Transp. 2007, 6477, 50–54. [Google Scholar]
- Wang, Z.; Li, W. Research on the Application of Non-Nuclear Densitometer in the Detection of Asphalt Layer of Airport Runway. J. China Foreign Highw. 2014, 34, 86–90. [Google Scholar] [CrossRef]
- Nie, Z.; Jiao, T.; Wang, X. Study on Probability Distribution Models of Continuous Compaction Indicators. J. Zhengzhou Univ. Sci. 2014, 35, 15–18. [Google Scholar]
- Rao, C.B.; Von Quintus, H.L.; Schmitt, R.L. Calibration of Nonnuclear Density Gauge Data for Accurate in-Place Density Prediction. Transp. Res. Rec. 2007, 2040, 123–136. [Google Scholar] [CrossRef]
Publisher’s Note: MDPI stays neutral with regard to jurisdictional claims in published maps and institutional affiliations. |
© 2022 by the authors. Licensee MDPI, Basel, Switzerland. This article is an open access article distributed under the terms and conditions of the Creative Commons Attribution (CC BY) license (https://creativecommons.org/licenses/by/4.0/).















