Mike 21 Model Based Numerical Simulation of the Operation Optimization Scheme of Sedimentation Basin
Abstract
:1. Introduction
2. Materials and Methods
2.1. Study Area
2.2. Research Methods
2.2.1. Model Principle
- Hydrodynamic module principle
- Sediment transport module principle
2.2.2. Model Establishment and Parameter Calibration
- Model establishment
- Parameter calibration
2.2.3. Model Validation
2.3. Analysis of Water and Sediment Characteristics
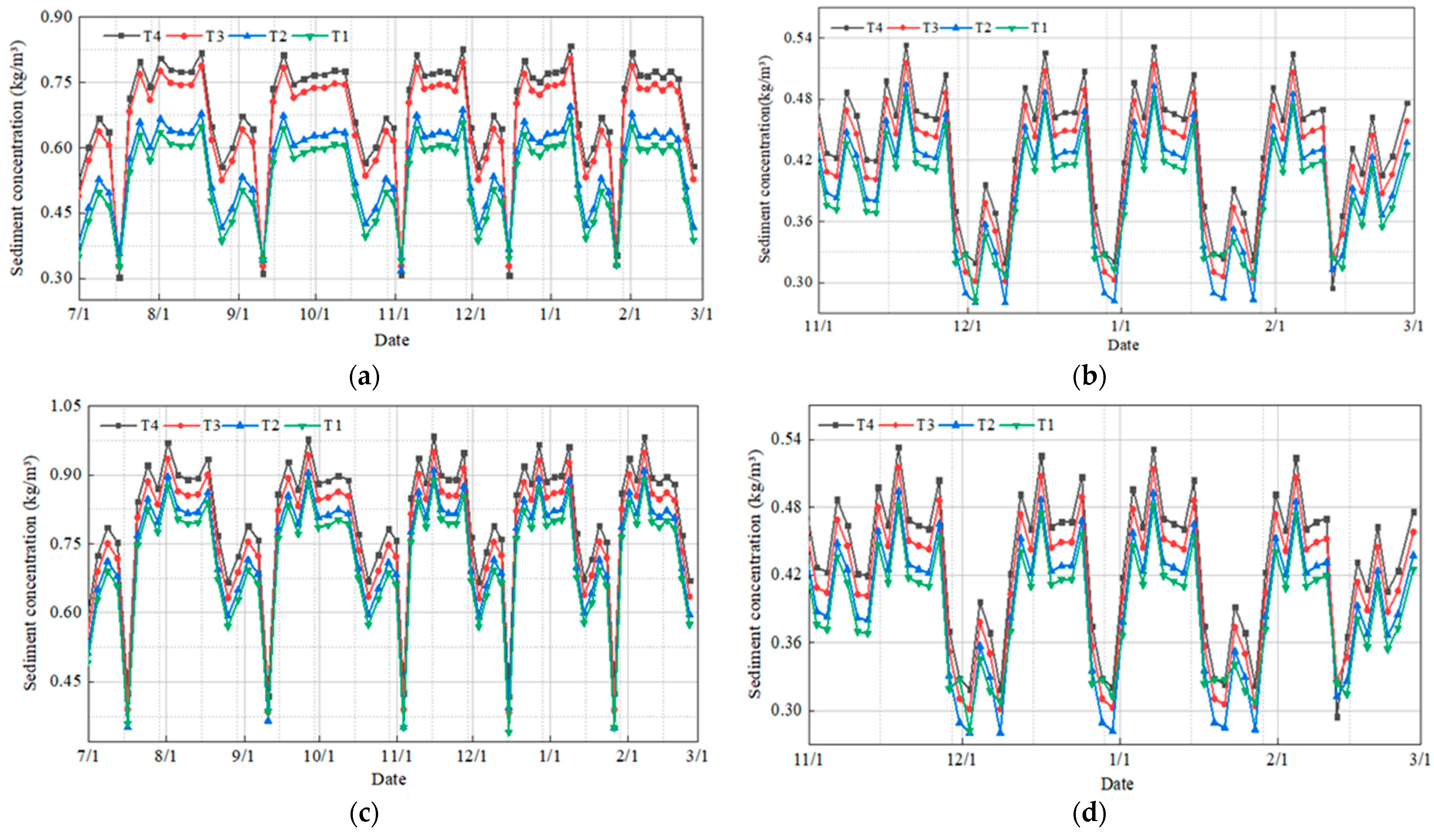
2.3.1. Sediment Content Analysis
2.3.2. Analysis of Flow Velocity Field and Sediment
3. Optimization Analysis of Operation Scheme
3.1. Setting of Boundary Conditions
3.1.1. Basis for Boundary Setting
3.1.2. Model Boundary Condition Setting
3.2. Scheme Setup
3.3. Results and Discussion
4. Conclusions
Author Contributions
Funding
Informed Consent Statement
Data Availability Statement
Acknowledgments
Conflicts of Interest
References
- Ministry of Water Resources of the People’s Republic of China. Design Specification for Sedimentation Basin of Water Conservancy and Hydropower Project: SL 269-2001[S]; China Water Resources and Hydropower Press: Beijing, China, 2001; pp. 22–34. [Google Scholar]
- Bagnold, R.A. Bed load transport by natural rivers. Water Resour. Res. 1977, 13, 303–312. [Google Scholar] [CrossRef]
- Zee, C.H.; Zee, R. Formulas for the Transportation of Bed Load. J. Hydraul. Eng. 2017, 143, 04016101. [Google Scholar] [CrossRef]
- Chen, G.S.; Wang, Y.M.; Bai, T.; Du, H.H. Diagnoses of runoff-sediment relationship based on variable diagnostic method-variable step length sliding correlation coefficient method in Ning-Meng reach. Int. J. Hydrogen Energy 2016, 41, 15909–15918. [Google Scholar] [CrossRef]
- An, C.; Lu, J.; Qian, Y.; Wu, M.; Xiong, D. The scour-deposition characteristics of sediment fractions in desert aggrading rivers—Taking the upper reaches of the Yellow River as an example. Quat. Int. 2019, 523, 54–66. [Google Scholar] [CrossRef]
- Krishnappan, B.G.; Lau, Y.L. Turbulence Modeling of Flood Plain Flows. J. Hydraul. Eng. 1986, 112, 251–266. [Google Scholar] [CrossRef]
- Asgharzadeh, H.; Firoozabadi, B.; Afshin, H. Experimental investigation of effects of baffle configurations on the performance of a secondary sedimentation tank. Sci. Iran. 2011, 18, 938–949. [Google Scholar] [CrossRef] [Green Version]
- Bürger, R.; Careaga, J.; Diehl, S. A simulation model for settling tanks with varying cross-sectional area. Chem. Eng. Commun. 2017, 204, 1270–1281. [Google Scholar] [CrossRef]
- Wang, B.J.; Fu, X.D. Inter-annual variation characteristics of the relationship between sediment concentration and discharge in Huangfuchuan watershed. J. Appl. Fundam. Eng. Sci. 2020, 28, 642–651. [Google Scholar] [CrossRef]
- Saady, N.M.C. Utilizing settling tests to design a conventional upflow settling tank modified with inclined plates. Water Sci. Technol. 2012, 66, 858–864. [Google Scholar] [CrossRef] [PubMed]
- Shahrokhi, M.; Rostami, F.; Said, M.A.M. Numerical modeling of baffle location effects on the flow pattern of primary sedimentation tanks. Appl. Math. Model. 2013, 37, 4486–4496. [Google Scholar] [CrossRef]
- Kim, K.Y.; Park, S.; Lee, W.H.; Kim, J.O. Simulating the behavior of ballasted flocs in circular lamellar settling tank using computational fluid dynamics (CFD). Desalination Water Treat. 2020, 183, 23–29. [Google Scholar] [CrossRef]
- Tarpagkou, R.; Pantokratoras, A. CFD methodology for sedimentation tanks: The effect of secondary phase on fluid phase using DPM coupled calculations. Appl. Math. Model. 2013, 37, 3478–3494. [Google Scholar] [CrossRef]
- Liu, X.; Xue, H.; Hua, Z.; Yao, Q.; Hu, J. Inverse Calculation Model for Optimal Design of Rectangular Sedimentation Tanks. J. Environ. Eng. 2013, 139, 455–459. [Google Scholar] [CrossRef]
- Razmi, A.; Bakhtyar, R.; Firoozabadi, B.; Barry, D. Experiments and numerical modeling of baffle configuration effects on the performance of sedimentation tanks. Can. J. Civ. Eng. 2013, 40, 140–150. [Google Scholar] [CrossRef] [Green Version]
- Tarpagkou, R.; Pantokratoras, A. The influence of lamellar settler in sedimentation tanks for potable water treatment—A computational fluid dynamic study. Powder Technol. 2014, 268, 139–149. [Google Scholar] [CrossRef]
- Al-Sammarraee, M.; Chan, A.; Salim, S.M.; Mahabaleswar, U.S. Large-eddy simulations of particle sedimentation in a longitudinal sedimentation basin of a water treatment plant. Part I: Particle settling performance. Chem. Eng. J. 2009, 152, 307–314. [Google Scholar] [CrossRef]
- Liu, Y.L.; Zhang, P.; Wei, W. 2D Simulation of Effects of Position of Baffles on the Removal Rate of Solids in a Sedimentation Tank. Appl. Mech. Mater. 2012, 253–255, 861–864. [Google Scholar] [CrossRef]
- Liu, Y.; Zhang, P.; Wei, W. Simulation of effect of a baffle on the flow patterns and hydraulic efficiency in a sedimentation tank. Desalination Water Treat. 2016, 57, 25950–25959. [Google Scholar] [CrossRef]
- Olsen, N.R.; Kjellesvig, H.M. Three-dimensional numerical modelling of bed changes in a sand trap. J. Hydraul. Res. 1999, 37, 189–198. [Google Scholar] [CrossRef]
- Jayanti, S.; Narayanan, S. Computational Study of Particle-Eddy Interaction in Sedimentation Tanks. J. Environ. Eng. 2004, 130, 37–49. [Google Scholar] [CrossRef]
- Bajcar, T.; Steinman, F.; Širok, B.; Prešeren, T. Sedimentation efficiency of two continuously operating circular settling tanks with different inlet- and outlet arrangements. Chem. Eng. J. 2011, 178, 217–224. [Google Scholar] [CrossRef]
- Bajcar, T.; Gosar, L.; Širok, B.; Steinman, F.; Rak, G. Influence of flow field on sedimentation efficiency in a circular settling tank with peripheral inflow and central effluent. Chem. Eng. Process. Process Intensif. 2010, 49, 514–522. [Google Scholar] [CrossRef]
- Stamou, A.I.; Adams, E.W.; Rodi, W. Numerical modeling of flow and settling in primary rectangular clarifiers. J. Hydraul. Res. 1989, 27, 665–682. [Google Scholar] [CrossRef]
- Ramin, E.; Wágner, D.S.; Yde, L.; Binning, P.J.; Rasmussen, M.R.; Mikkelsen, P.S.; Plósz, B.G. A new settling velocity model to describe secondary sedimentation. Water Res. 2014, 66, 447–458. [Google Scholar] [CrossRef] [PubMed]
- Tamayol, A.; Firoozabadi, B.; Ashjari, M.A. Hydrodynamics of Secondary Settling Tanks and Increasing Their Performance Using Baffles. J. Environ. Eng. 2010, 136, 32–39. [Google Scholar] [CrossRef]
- Saeedi, E.; Behnamtalab, E.; Neyshabouri, S.A.A.S. Numerical simulation of baffle effect on the performance of sedimentation basin. Water Environ. J. 2018, 34, 212–222. [Google Scholar] [CrossRef]
- Guo, H.; Ki, S.J.; Oh, S.; Kim, Y.M.; Wang, S.; Kim, J.H. Numerical simulation of separation process for enhancing fine particle removal in tertiary sedimentation tank mounting adjustable baffle. Chem. Eng. Sci. 2017, 158, 21–29. [Google Scholar] [CrossRef]
- Vahidifar, S.; Saffarian, M.R.; Hajidavalloo, E. Introducing the theory of successful settling in order to evaluate and optimize the sedimentation tanks. Meccanica 2018, 53, 3477–3493. [Google Scholar] [CrossRef]
- Gupta, G. An experimental study of fabric development in plane-bed phases. Sediment. Geol. 1987, 53, 101–122. [Google Scholar] [CrossRef]
- Shi, W.; Wang, G.Q.; Shao, X.J. Influence of Floods from Different Source Areas on the Relationship between Discharge and Sediment Concentration in the Lower Yellow River. Prog. Water Sci. 2003, 14, 147–151. [Google Scholar] [CrossRef]
- Wang, K.; Li, Y.; Ren, S.; Yang, P. Prototype Observation of Flow Characteristics in an Inclined-Tube Settling Tank for Fine Sandy Water Treatment. Appl. Sci. 2020, 10, 3586. [Google Scholar] [CrossRef]

















| Silting Volume (104 × m3) | Scheme I | Scheme II | Scheme III |
|---|---|---|---|
| Flood Season | 192 | 186 | 174 |
| Non-Flood Season | 153 | 149 | 138 |
Publisher’s Note: MDPI stays neutral with regard to jurisdictional claims in published maps and institutional affiliations. |
© 2022 by the authors. Licensee MDPI, Basel, Switzerland. This article is an open access article distributed under the terms and conditions of the Creative Commons Attribution (CC BY) license (https://creativecommons.org/licenses/by/4.0/).
Share and Cite
Yan, J.; Chen, M.; Xu, L.; Liu, Q.; Shi, H.; He, N. Mike 21 Model Based Numerical Simulation of the Operation Optimization Scheme of Sedimentation Basin. Coatings 2022, 12, 478. https://doi.org/10.3390/coatings12040478
Yan J, Chen M, Xu L, Liu Q, Shi H, He N. Mike 21 Model Based Numerical Simulation of the Operation Optimization Scheme of Sedimentation Basin. Coatings. 2022; 12(4):478. https://doi.org/10.3390/coatings12040478
Chicago/Turabian StyleYan, Jun, Meng Chen, Linjuan Xu, Qingyan Liu, Hongling Shi, and Na He. 2022. "Mike 21 Model Based Numerical Simulation of the Operation Optimization Scheme of Sedimentation Basin" Coatings 12, no. 4: 478. https://doi.org/10.3390/coatings12040478
APA StyleYan, J., Chen, M., Xu, L., Liu, Q., Shi, H., & He, N. (2022). Mike 21 Model Based Numerical Simulation of the Operation Optimization Scheme of Sedimentation Basin. Coatings, 12(4), 478. https://doi.org/10.3390/coatings12040478

