Abstract
Aluminum dross, as a hazardous waste product, causes harm to the environment and humans, since the AlN it contains chemically reacts with water to produce ammonia. In the present study, a formula for modifying the AlN content in aluminum dross is proposed for the first time, by investigating the components of aluminum dross and changes in their respective contents during the hydrolysis process. Meanwhile, the effects of such hydrolysis parameters as time, temperature, and rotational speed on the hydrolysis rate of aluminum dross are explored. Furthermore, regression analysis is performed on the hydrolysis parameters and objective functions. The results show that as the reaction time increases, the variation in AlN content in aluminum dross decelerates gradually after modification. The hydrolysis rate is the fastest in the initial 4 h, which essentially stagnates after 20 h. The rise in temperature can significantly accelerate the AlN hydrolysis in aluminum dross, while the rotational speed has a non-obvious effect on the hydrolysis rate of AlN in aluminum dross. Regression analysis and secondary simplification are performed on the hydrolysis parameters and the modified AlN content, revealing that the relative error between the theoretical and experimental values is ≤ ±9.34%. The findings of this study have certain guiding significance for predicting and controlling modified AlN content in aluminum dross during hydrolysis.
1. Introduction
Aluminum dross is a waste ash generated during aluminum production, which comes from infusible inclusions [1], oxides, and various additives that float on the aluminum melt surface during smelting [2]. As a typical solid waste product from the aluminum processing industry, it has been included in China’s “National Hazardous Waste List (2021 edition)” due to its reactivity and leaching toxicity [3].
As of today, the only mature technique for utilizing aluminum dross is “ash frying”, where a small amount of elemental aluminum is extracted from aluminum dross to obtain certain economic benefits [4]. However, the extensive remaining ash still cannot be treated effectively, and is often accumulated and buried as solid waste [5], polluting and occupying substantial land resources while seriously affecting the ecological environment and human health [6,7,8]. Some of the heavy metal elements contained in aluminum dross—such as Hg, Cd, and Pb—can cause severe pollution once they enter the soil or groundwater systems, tremendously impacting the ecosystem.
Additionally, all kinds of aluminum dross contain a certain amount of AlN. To purify the molten aluminum in the smelting process, nitrogen is often filled into the furnace to accelerate the purification and refinement [9]. During the evaporation process, part of the nitrogen is absorbed by the aluminum dross floating on the molten aluminum surface to form AlN [10]. AlN is a kind of functional ceramic belonging to diamond nitride, which has excellent thermal, mechanical, and electrical properties, including high thermal conductivity (theoretical value 320 W/(m·K)), linear expansivity (4.8 × 10−6/K) comparable to silicon (Si), and outstanding electrical insulation (volume resistivity > 1012 Ω·m) [11]. The AlN in aluminum dross tends to be unstable overall due to its formation conditions, structural composition, and refinement difficulty [12]. Under wet or water-exposure conditions, it releases pungent ammonia gas, causing consequences such as imbalance in material performance and changes in solution pH during the utilization process [13]. Additionally, ammonia is a colorless gas with a strong, irritating odor, and can easily cause air pollution due to its strong diffusivity and harmfulness. The ammonia produced by aluminum dross hydrolysis is highly toxic to the human body [14]. Chronic intoxication can cause such respiratory diseases as bronchitis and emphysema, while acute intoxication can cause severe consequences such as persistent coughing, suffocation, and even death [15].
Clearly, the landfill of aluminum dross and related pollution have become hot issues in today’s social development, and go against the current sustainability concept of zero emissions and pollution. The requirements of reducing, preventing, treating, and upcycling waste are imminent. There are various experimental methods for AlN, such as cathodoluminescence measurements (CL), X-ray absorption near-edge spectroscopy (XANES), and Fourier-transform infrared spectroscopy (FTIR) [16,17,18]. This study systematically analyzes the AlN (in aluminum dross) hydrolysis parameters such as temperature, time, and rotational speed, and performs their selection and optimization. Meanwhile, on the basis of extensive experimental data, each hydrolysis parameter and objective function (AlN content) is regressively analyzed, in order to achieve prediction and control of AlN in aluminum dross.
2. Materials and Methods
2.1. Raw Material and Pretreatment
The ultimate aluminum dross used in this experimentation came from a secondary aluminum company in Jiangsu, China, and was analyzed and tested after pretreatment. The pretreatment process was as follows: The aluminum dross was preliminarily screened via a standard large-mesh sieve to remove the aluminum metal blocks. Then, the remainder was ground, and screened using a standard small-mesh sieve to yield the experimental raw material [19]. Table 1 details the XRD results of the aluminum dross.
Table 1.
XRD analysis results of aluminum dross.
2.2. Reagents and Instruments
The reagents used in the experimentation were NaOH (analytically pure, Xilong Scientific Co., Ltd., Shenzhen, China), methyl red (indicator, Yuanye Biotechnology), methylene blue (indicator, COOLABER SCIENCE & TECHNOLOGY), HCl (analytically pure, Lingfeng Chemical Reagent, Shanghai, China), and boric acid (chemically pure, Meryer Chemical Technology, Shanghai, China). Experimental instruments were as follows: ultra water purifier (EPED-10TH, EPED Technology, Nanjing, China), universal electric furnace (DK-98 type, Chushui Electrothermal Appliance Co., Ltd., Chushui, China), digital stirrer (JB60-SH, Lichen Instrument, Shaoxing, China), water bath (WB-4, Zhengrong Experimental Instrument), and electro-thermostatic blast oven (101A-2, Hengchang Instrument, Haimen, Nantong, China).
2.3. Analytical Test Methods
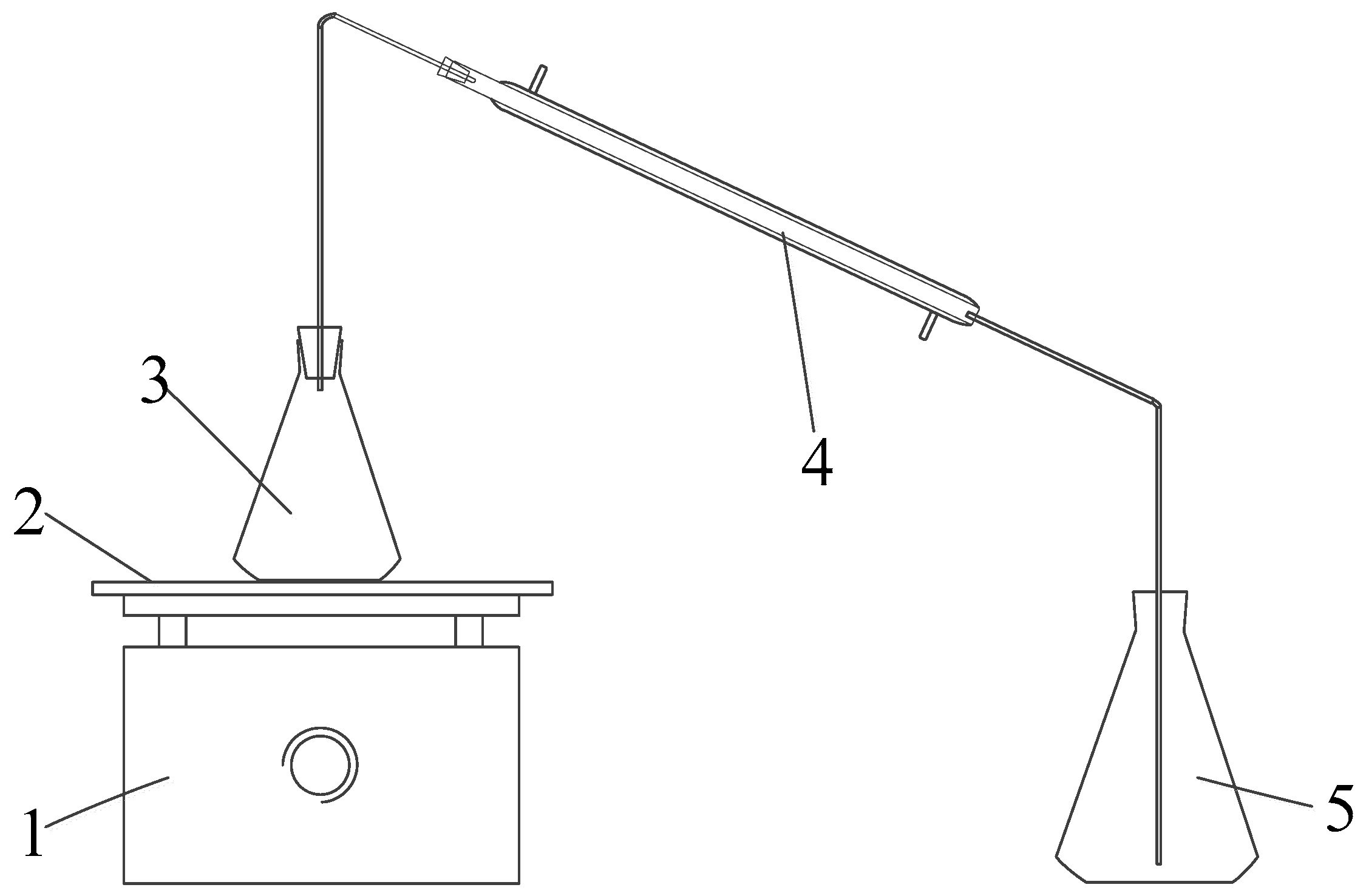
The aluminum dross was hydrolyzed, filtered, and dried under different hydrolysis parameters, and a distillation separation unit was built by utilizing the aforementioned instruments. Figure 1 illustrates the schematic of the unit.
Figure 1.
Schematic diagram of distillation separation plant (1—electric furnace; 2—asbestos net; 3,5—cone bottle; 4—condenser tube).
After weighing 2 g of aluminum dross, it was added to an Erlenmeyer flask containing 150 mL of 20%wt NaOH solution. The flask was quickly stoppered, and then heated and kept boiling for approximately 2 h to allow for distillation. Meanwhile, the distilled ammonia gas was absorbed with 200 mL of 40 g/L boric acid solution. Following distillation, titration was performed with 0.05 mol/L dilute HCl solution, where the standard methyl red–methylene blue served as an indicator. The endpoint was marked by a blue-to-purple change in solution color [20,21].
A blank experiment was conducted according to the aforementioned procedure, and the relative volume of HCl consumed in the experiment was determined, based on which the AlN content was calculated as follows:
where C denotes the concentration of dilute HCl (mol/L), V2 and V1 represent the volumes of diluted HCl consumed in the titration process and the blank experiment, respectively (mL), M denotes the sample mass (g), and Z denotes the AlN content in aluminum dross directly measured after hydrolysis (%).
3. Effects of Hydrolysis Parameters on the Nitrogen Removal Efficiency from Aluminum Dross
3.1. Prediction of AlN Content and Its Modification Formula
The AlN contents in different aluminum dross varied distinctly. To validate the accuracy of subsequent tests, predicting the AlN content in hydrolyzed products was necessary. Figure 2 depicts the XRD spectra of aluminum dross. Clearly, the hydrolyzed products contained Al, Al2O3, AlN, and other crystalline substances (amorphous components were excluded from the test results). The semi-quantitative XRD results of aluminum dross are detailed in Table 2. Since the aluminum dross used herein was already processed by ash frying, the AlN content was low, while the contents of Al2O3 and AlN were about 20% and 10%, respectively. Figure 3 displays the local EDS spectra at two material sites. Since almost all nitrogen contained in the aluminum dross was AlN, after conversion, the AlN contents in Figure 3a,b were estimated to be 12.97% and 16.37%, respectively.
Figure 2.
XRD patterns of aluminum dross.
Table 2.
Semi-quantitative XRD results.

Figure 3.
EDS results: (a) Spectrogram 1; (b) Spectrogram 2.
The above analysis revealed that the main components of hydrolyzed products and their respective contents conformed to the definition of “secondary aluminum dross” in the previous paper, and that the hydrolyzed products were the dross residues from ash frying, showing good agreement with the actual situation. The AlN contents in the hydrolyzed products were predicted to range between 10 and 17%.
The hydrolytic reaction of AlN in aluminum dross is described in Equation (2). During this process, the N in AlN was separated from the aluminum dross in the form of NH3, and its elemental position was occupied by OH− ions to form Al(OH)3 with a molecular mass of 78, which was considerably greater than the original AlN’s 41. Additionally, apart from insoluble substances such as Al and Al2O3, the aluminum dross also contained small amounts of soluble salts, such as NaCl and KCl [22,23].
If the above determinations were used directly as the AlN contents in aluminum dross, not only would the changes in other components and contents be ignored, but the AlN content standard also could not be unified. In particular, when measuring AlN-rich aluminum dross, the error would be larger. To address this problem, the compositional and content variations during the hydrolysis process in Equation (2) were investigated, thereby deriving the following formula:
Transforming Equation (3) yields the m value, which was substituted into the formula below to modify the directly measured AlN content Z:
In Equation (3), K represents the original AlN content (%), M denotes the mass of the original sample (g), m denotes the mass of AlN reacted during hydrolysis (g), and Y is the mass of the salt in the hydrolyzed filtrate (g). Meanwhile, Z in Equation (4) denotes the AlN content in the aluminum dross after modification (%).
3.2. Effects of Time and Rotational Speed on the AlN Content
Under different rotational speeds, the aluminum dross was hydrolyzed at 60 °C. Figure 4 depicts the AlN variation trends in the aluminum dross after modification. Clearly, under mechanical stirring at both low speeds (0, 100, and 300 r/min) and high speeds (600 and 1000 r/min), the variation trends of modified AlN contents remained generally consistent. Moreover, at various time points, the modified AlN contents in aluminum dross differed little, suggesting an insignificant effect of rotational speed on the aluminum dross hydrolysis rate.
Figure 4.
The modified contents of AlN in aluminum dross under different rotational speeds (60 °C).
Meanwhile, the modified AlN content in aluminum dross decreased gradually with the increasing hydrolysis time, decreasing by about half (from 12.68% to 6.50%) under this hydrolysis condition 24 h after reaction. More obviously, at the 0–4 h stage, the modified AlN content decreased drastically from the initial 12.68% to 9.00–10.40%, showing considerably sharper reduction than that at other reaction time periods. With the prolongation of hydrolysis time, the aluminum dross hydrolysis rate was gradually lowered, and the variation trends of modified AlN contents in aluminum dross were generally consistent after 20 h.
The causes of the above phenomenon were as follows: On the one hand, the particle size and surface area of aluminum dross were large at the initial reaction stage, and the water contact area was also correspondingly large. Since more AlN participated in the reaction under identical hydrolysis conditions, the hydrolytic process was faster. On the other hand, given the basic hydrolysis properties of AlN in aluminum dross, the reaction product Al(OH)3 was a white insoluble gelatinous precipitate. With the prolongation of hydrolysis time, this product and its attachments gradually blocked the pores of aluminum dross particles, which hindered the contact channel between AlN and water, ultimately affecting the hydrolysis rate of aluminum dross. Meanwhile, stirring facilitated the suspension of aluminum dross particles in the hydrolysis system, prevented the accumulation of dross at the system’s bottom, and promoted the diffusion of generated NH3 outside the hydrolysis system. However, at identical times and temperatures, the rotational speed generally did not affect the AlN–water contact area in the aluminum dross, which also had only a small effect on the hydrolysis process.
3.3. Effects of Temperature on the AlN Content
Under different temperature conditions, the aluminum dross hydrolysis experiments were carried out at 600 r min−1. Figure 5 illustrates the relevant variation trends. As is clear, at identical hydrolysis times, the modified AlN content in aluminum dross was markedly lower in the hydrolysis system at 100 °C than that at 60 °C and 80 °C. After 24 h of hydrolysis, the modified AlN content at a 100 °C hydrolysis temperature decreased from the original 12.88% to 2.25%, and there was no obvious ammonia smell upon further continuation of the hydrolysis. Meanwhile, after 24 h of hydrolysis at 80 °C, the modified AlN content dropped to 4.23%, and ammonia was slightly smelt upon further hydrolysis. In contrast, at 60 °C, the AlN content only dropped to 6.28%, and apparent bubbles and ammonia smell were produced upon further hydrolysis, indicating that the hydrolysis process had not ended at 60 °C. Clearly, the increase in temperature could remarkably promote the hydrolysis of aluminum dross. It could be speculated that with the prolongation of hydrolysis time, the variation of modified AlN content in aluminum dross gradually slowed down, so it inevitably took a long time to achieve complete hydrolysis.
Figure 5.
The modified contents of AlN in aluminum dross under different temperatures and speeds (600 r·min−1).
The rate of a chemical reaction varies by temperature. The effect of temperature on the reaction rate is manifested primarily in the rate coefficient of reaction. Normally, the higher the temperature, the greater the reaction rate coefficient, which is directly manifested by the acceleration of the reaction rate [24]. At the end of the 19th century, the Swedish chemist Arrhenius proposed the famous Arrhenius equation after investigating the relationship between the hydrolysis rate of sucrose and the temperature:
where k represents the reaction rate coefficient (dimensionless), k0 represents the pre-exponential parameter (dimensionless), Ea denotes the reaction activation energy (kJ·mol−1), T denotes the temperature (K), and R is the molar gas constant (J (mol·K)−1).
Both k0 and Ea are empirical parameters, which can be regarded as temperature-independent constants if the temperature fluctuates within a small range. At this time, the Arrhenius equation has excellent applicability. In different-temperature reaction systems, the correlation between the rate coefficients at two varying temperatures could be derived by Equation (5):
Supposing that T1 < T2 within an interval T1−T2, and that k0 and Ea could be deemed as constants, Equation (8) could be derived based on Equations (6) and (7). Since Ea > 0 and T1 < T2, the right side of Equation (8) was greater than 0, so k2·k1 − 1 > 1. In other words, the reaction rate coefficient at high temperatures was generally greater than that at low temperatures. Hence, the rise in temperature could increase the hydrolysis rate of AlN in the aluminum dross.
Additionally, the microscopic essence of reaction lay in the breakage of old chemical bonds and the formation of new chemical bonds caused by effective particle collision. The rise in temperature increased the percentage and motion speed of activated molecules, and the increase in the number of activated molecules further promoted the effective intermolecular collision. Accordingly, the numbers of broken old bonds and formed new bonds per unit of time also increased.
To sum up, the hydrolysis rate of AlN in aluminum dross could be effectively accelerated by increasing the hydrolysis temperature and prolonging the hydrolysis time. As the hydrolysis time increased, the AlN hydrolysis rate gradually decreased, and after 20 h, the hydrolytic process essentially stopped. Meanwhile, the rotational speed produced a non-obvious effect on the hydrolysis rate of AlN in aluminum dross.
3.4. Effects of Hydrolysis Conditions on the pH
3.4.1. N Migration Model of Aluminum Dross during Hydrolysis
The N-containing compound in the aluminum dross is mostly AlN, and all of the N during the hydrolysis process is generally believed to come from this phase. After in-depth research and analysis, we proposed the N migration model of aluminum dross during its hydrolysis, as shown in Figure 6.
Figure 6.
N migration model of aluminum dross during hydrolysis.
On the one hand, the NH3 produced during the hydrolysis of AlN in aluminum dross was dissolved in suspension as a soluble gas, and then hydrated to form NH3·H2O. On the other hand, part of the undissolved NH3 diffused above the suspension. Moreover, like other gas–liquid two-phase processes, the gas and liquid phases were dynamically interacting rather than mutually isolated. In macroscopic terms, the NH3·H2O in suspension was decomposed by heat, so that the ammonia gas was diffused above the suspension. Meanwhile, the ammonia gas in the air above the suspension was also continuously dissolved into the suspension. In the meantime, the formed NH3·H2O ionized into NH4+ and OH−, which also continued to reversely combine to form NH3·H2O [25,26]. The above reactions interacted to establish a stable dynamic equilibrium system. By measuring the pH of the suspension in the equilibrium state, and referring to the “direct characterization” procedure for measuring the AlN content in aluminum dross, we assessed the feasibility of the “indirect characterization” procedure for determining the hydrolysis rate of aluminum dross.
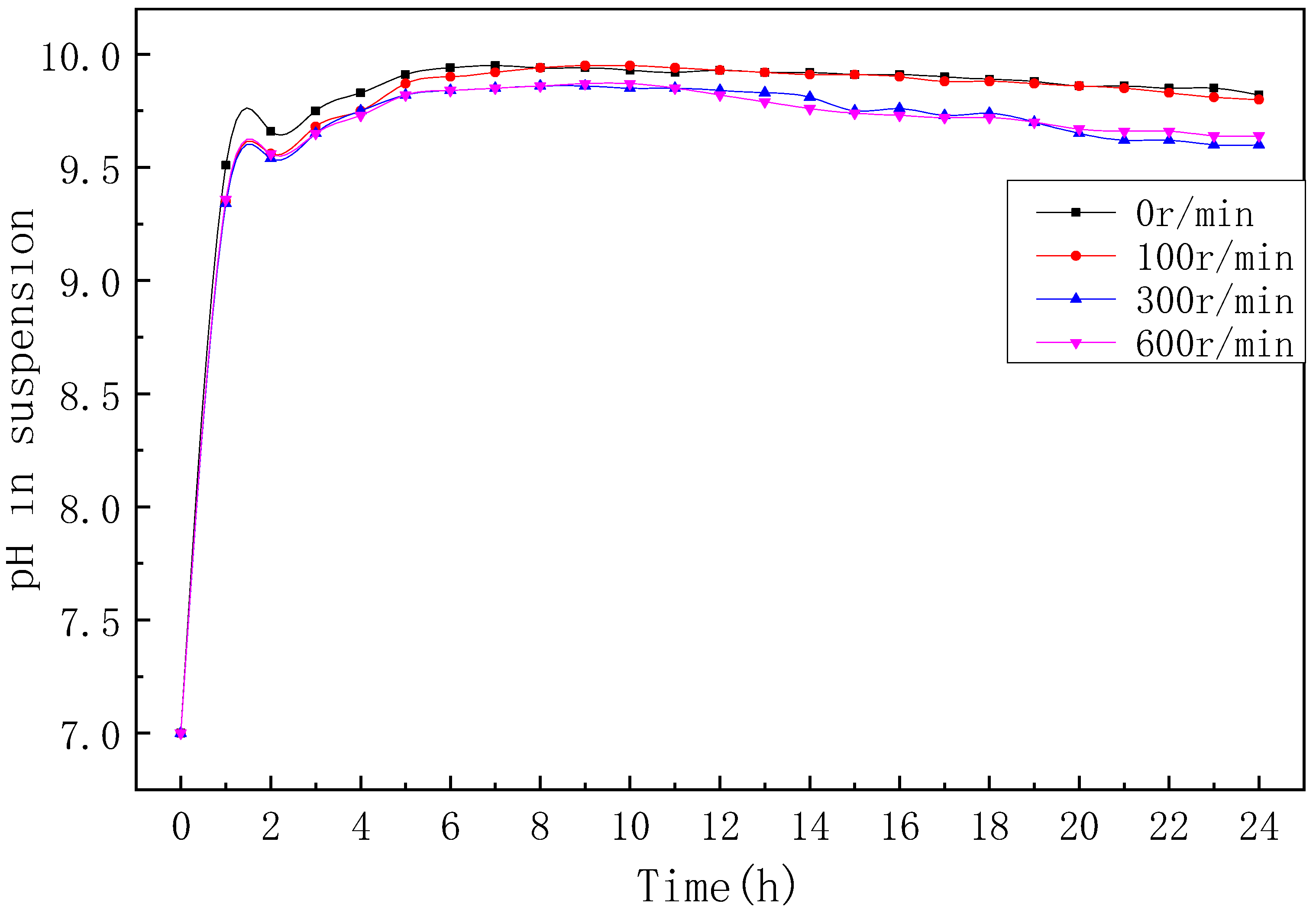
3.4.2. Effects of Time and Rotational Speed on the Suspension pH
Figure 7 depicts the variation trends of the suspension pH under different rotational speeds at 60 °C. At the 0–2 h reaction stage, the suspension pH values under various rotational speeds increased sharply. With the prolongation of reaction time, the suspension pH values at low rotational speeds (0 and 100 r min−1) were significantly greater than those at high rotational speeds (300 and 600 r min−1). The primary cause of this phenomenon was that under identical conditions, a low rotational speed was conducive to the NH3 retention in the suspension, which led to a higher concentration of OH− ions ionized from the formed NH3·H2O, so that the pH value of the suspension was higher. Additionally, neither low nor high rotational speeds produced particularly obvious effects on the suspension pH. Overall, the rotational speed and the suspension pH appeared to be uncorrelated.
Figure 7.
Suspension pH values under different rotational speeds (60 °C).
3.4.3. Effects of Temperature on the Suspension pH
Figure 8 depicts the variation trends of the suspension pH under different temperatures at 300 r min−1. Clearly, at the 0–2 h reaction stage, the suspension pH values at various temperatures increased sharply. With the prolongation of reaction time, the maximal pH values could be maintained at different temperatures for certain periods of time, since the reaction rate was sufficient to keep the system saturated. Eventually, however, the pH values dropped slowly due to the decrease in the reaction rate and the slow release of ammonia. The suspension pH reading was the highest (approximately 9.8) at a temperature of 60 °C, whereas it was the lowest (only about 9.0) at 100 °C.
Figure 8.
Suspension pH values at different temperatures (300 r min−1).
With the “direct characterization” method for AlN content in aluminum dross, the higher the temperature, the faster the hydrolysis. In contrast, with the present “indirect characterization” procedure, the higher the temperature, the lower the pH of suspension, which dropped extremely slowly per unit of time. This stood in contrast to the temporal variation result of AlN content in aluminum dross by the direct characterization method. According to the solution ionization equation, the following formulae could be derived:
where K1 represents the ionization constant of ammonia water (dimensionless), K2 represents the ionization constant of water (dimensionless), C(NH4+) denotes the concentration of NH4+ ionized from ammonia water (mol L−1), C(OH−) denotes the concentration of OH− ionized from ammonia water (mol L−1), C(H+) denotes the concentration of H+ ionized from water (mol L−1), C(NH3·H2O) is the concentration of unionized NH3·H2O in the solution (mol L−1), and C(H2O) is the concentration of unionized H2O in the solution (mol L−1).
Combining Equations (9) and (10) gives:
As is clear from Equation (11), assuming that the reaction system was at the saturation stage of ammonia, the C(NH3·H2O) and C(H2O) values in the system were constant, and the pH value of the suspension was related mainly to the ammonia ionization constant K1 and the water ionization constant K2. Since these two constants were directly correlated with the temperature T, the resultant values were essentially nonlinear, so the suspension pH could not accurately characterize the hydrolysis rate of aluminum dross under different temperature conditions. Meanwhile, according to Figure 8, when “indirect measures” such as suspension pH were used to assess the hydrolysis rate of aluminum dross, it was impossible to intuitively comprehend the effects of various parameters on the dross hydrolysis rate.
4. Regression Analysis of Hydrolysis Parameters
Based on the above experiments, during the aluminum dross hydrolysis, temperature, rotational speed, and time were independent variables that affected the AlN content (dependent variable). Since linear regression is a type of nonlinear regression, and there were multiple variables in the present experimentation, the “Analysis” module in Origin was utilized to perform relevant nonlinear regression analysis based on ternary quadratic polynomials. The preliminary regression model was formulated as follows:
where x1 denotes the hydrolysis temperature of aluminum dross (°C), x2 denotes the hydrolysis speed of aluminum dross (r min−1), x3 denotes the hydrolysis time of aluminum dross (h), y represents the modified content of AlN (%), and others were undetermined constants (dimensionless).
As suggested by the above analysis, the independent variable “rotational speed” had an insignificant effect on the variation of AlN content in aluminum dross. To simplify the model, the rotational speed x2 was “zeroed”. The simplified regression model is as follows:
Table 3 lists the values of various regression coefficients in Equations (12) and (13). The coefficient of multiple determination R2, F-statistic, and p-value were 0.93035, 508.32976, and 0 in the preliminary model, respectively, while they were 0.93616, 1016.49681, and 0 in the simplified model, respectively. This indicates that the correlations between dependent and independent variables were higher with the simplified model, which yielded more significant results and achieved a better fitting effect [27,28].
Table 3.
Numerical statistics of regression model.
The preliminary model is specifically expressed as follows:
The simplified model is specifically expressed as follows:
Table 4 compares the experimental and theoretical values between the preliminary and simplified models. Clearly, the simplified treatment could maintain good accuracy, with relative errors controlled generally within ±9.34%, which could somewhat guide the prediction and control of the AlN content in aluminum dross during hydrolysis.
Table 4.
Comparison between experimental modified values and theoretical modified values of the AlN hydrolysis process in aluminum dross (part).
5. Conclusions
- (1)
- By investigating the components of aluminum dross and changes in their respective contents during the hydrolysis process, a formula for modifying the AlN content in aluminum dross is proposed for the first time. Capable of reflecting the absolute content of AlN in aluminum dross, the formula provides a new way to scientifically characterize the hydrolysis rate of aluminum dross.
- (2)
- The experimental study of aluminum dross hydrolysis under different times, temperatures, and rotational speeds found that after 24 h of hydrolysis, the modified AlN content decreased from the original 12.88% to 2.25% at a 100 °C hydrolysis temperature, dropped to 4.23% at 80 °C, and only dropped to 6.28% at 60 °C. The hydrolytic process essentially stopped 20 h later. The aluminum dross hydrolysis can be effectively promoted by the prolongation of time and the increase in temperature. Meanwhile, rotational speed produces an insignificant effect on the dross hydrolysis process.
- (3)
- Through the hydrolysis experiments under different conditions, we found that the suspension pH increased sharply during the 0–2 h period. With the prolongation of reaction time, the suspension pH decreased slowly, exhibiting greater values at low rotational speeds (0 and 100 r min−1) than at high rotational speeds (300 and 600 r min−1). Meanwhile, the rise in temperature can significantly lower the maximum pH of the suspension in the system.
- (4)
- Comparison of two methods for characterizing aluminum dross hydrolysis rate—namely, the AlN content detection, and the suspension pH measurement—reveals that the suspension pH is greatly affected by temperature and NH3 release. Moreover, the results obtained at identical temperatures are obviously inconsistent with the direct characterization results. Overall, the direct detection of AlN content in aluminum dross is versatile and highly accurate.
- (5)
- Multivariate nonlinear regression was performed between the modified AlN content and hydrolysis parameters such as time, temperature, and rotational speed. After removing the outliers in the model, the hydrolysis parameters and AlN content were subjected to multivariate nonlinear regression and quadratic simplification to derive a simplified model. With the simplified model, the relative errors between the theoretical and experimental values of modified AlN content were within ±9.34%, which can somewhat guide the prediction and control of AlN content in aluminum dross during hydrolysis.
Author Contributions
Conceptualization, H.N.; methodology, W.W.; validation, W.W.; formal analysis, S.L. and H.N.; investigation, X.W. and S.L.; resources, H.N. and S.L.; writing—original draft, H.N.; writing—review and editing, S.L. and W.W.; visualization, W.N. and W.W.; supervision, S.L. All authors have read and agreed to the published version of the manuscript.
Funding
This research was supported by the Priority Academic Program Development of Jiangsu Higher Education Institutions (PAPD), the Jiangsu Province Policy Guidance Program (International Science and Technology Cooperation) Project (BZ2021045), and Key R&D Projects of Jiangsu Province (BE2019060).
Institutional Review Board Statement
Not applicable.
Informed Consent Statement
Not applicable.
Data Availability Statement
Not applicable.
Conflicts of Interest
The authors declare no conflict of interest.
References
- Foo, C.T.; Salleh, M.A.M.; Ying, K.K.; Matori, K.A. Mineralogy and thermal expansion study of mullite-based ceramics synthesized from coal fly ash and aluminum dross industrial wastes. Ceram. Int. 2019, 45, 7488–7494. [Google Scholar] [CrossRef]
- Choo, T.F.; Mohd Salleh, M.A.; Kok, K.Y.; Matori, K.A.; Abdul Rashid, S. Characterization of high-temperature hierarchical Porous Mullite washcoat synthesized using Aluminum Dross and Coal fly ash. Crystals 2020, 10, 178. [Google Scholar] [CrossRef] [Green Version]
- Elseknidy, M.H.; Salmiaton, A.; Nor Shafizah, I.; Saad, A.H. A Study on Mechanical Properties of Concrete Incorporating Aluminum Dross, Fly Ash, and Quarry Dust. Sustainability 2020, 12, 9230. [Google Scholar] [CrossRef]
- Kikuchi, R. Recycling of municipal solid waste for cement production: Pilot-scale test for transforming incineration ash of solid waste into cement clinker. Resour. Conserv. Recycl. 2001, 31, 137–147. [Google Scholar] [CrossRef]
- Mohammadzadeh, K.; Mahinroosta, M.; Allahverdi, A.; Dong, P.; Bassim, N. Non-supercritical drying synthesis and characterization of monolithic alumina aerogel from secondary aluminum dross. Ceram. Int. 2022, 48, 13154–13162. [Google Scholar] [CrossRef]
- Ni, H.; Zhang, J.; Lv, S.; Gu, T.; Wang, X. Performance Optimization of Original Aluminum Ash Coating. Coatings 2020, 10, 831. [Google Scholar] [CrossRef]
- Mailar, G.; Sreedhara, B.M.; Manu, D.S.; Hiremath, P.; Jayakesh, K. Investigation of concrete produced using recycled aluminium dross for hot weather concreting conditions. Resour.-Effic. Technol. 2016, 2, 68–80. [Google Scholar] [CrossRef] [Green Version]
- Lee, J.R.; Lee, I.; Shin, H.Y.; Ahn, J.G.; Kim, D.J.; Chung, H.S. Nitride-related compounds preparation from waste aluminum dross by self-propagating high-temperature process. In Materials Science Forum; Trans Tech Publications Ltd.: Schwyz, Switzerland, 2005; Volume 486, pp. 297–300. [Google Scholar] [CrossRef]
- Lukita, M.; Abidin, Z.; Riani, E.; Ismail, A. Utilization of hazardous waste of black dross aluminum: Processing and application-a review. J. Degrad. Min. Lands Manag. 2022, 9, 3265–3271. [Google Scholar] [CrossRef]
- Zhang, F.; Zhang, J.; Zhu, Y.; Wang, X.; Jin, Y. Microstructure and Properties of Polytetrafluoroethylene Composites Modified by Carbon Materials and Aramid Fibers. Coatings 2020, 10, 1103. [Google Scholar] [CrossRef]
- Sooksaen, P.; Puathawee, P. Properties of Unglazed Ceramics Containing Aluminum Dross as a Major Component. In Solid State Phenomena; Trans Tech Publications Ltd.: Schwyz, Switzerland, 2017; Volume 266, pp. 182–186. [Google Scholar] [CrossRef]
- Benkhelif, A.; Kolli, M. Synthesis of Pure Magnesium Aluminate Spinel (MgAl2O4) from Waste Aluminum Dross. Waste Biomass Valorization 2022, 13, 2637–2649. [Google Scholar] [CrossRef]
- Kale, M.; Yılmaz, I.H.; Kaya, A.; Çetin, A.E.; Söylemez, M.S. Pilot-scale hydrogen generation from the hydrolysis of black aluminum dross without any catalyst. J. Energy Inst. 2022, 100, 99–108. [Google Scholar] [CrossRef]
- Tang, J.; Liu, G.; Qi, T.; Zhou, Q.; Peng, Z.; Li, X.; Yan, H.; Hao, H. Two-stage process for the safe utilization of secondary aluminum dross in combination with the Bayer process. Hydrometallurgy 2022, 209, 105836. [Google Scholar] [CrossRef]
- Guo, J.; Zhou, Z.; Ming, Q.; Huang, Z.; Zhu, J.; Zhang, S.; Xu, J.; Xi, J.; Zhao, Q.; Zhao, X. Recovering precipitates from dechlorination process of saline wastewater as poly aluminum chloride. Chem. Eng. J. 2022, 427, 131612. [Google Scholar] [CrossRef]
- Bellucci, S.; Popov, A.I.; Balasubramanian, C.; Cinque, G.; Marcelli, A.; Karbovnyk, I.; Savchyn, V.; Krutyak, N. Luminescence, vibrational and XANES studies of AlN nanomaterials. Radiat. Meas. 2007, 42, 708–711. [Google Scholar] [CrossRef]
- Balasubramanian, C.; Bellucci, S.; Castrucci, P.; De Crescenzi, M.; Bhoraskar, S. Scanning tunneling microscopy observation of coiled aluminum nitride nanotubes. Chem. Phys. Lett. 2004, 383, 188–191. [Google Scholar] [CrossRef]
- Zhukovskii, Y.F.; Pugno, N.; Popov, A.I.; Balasubramanian, C.; Bellucci, S. Influence of F centres on structural and electronic properties of AlN single-walled nanotubes. J. Phys. Condens. Matter 2007, 19, 395021. [Google Scholar] [CrossRef] [Green Version]
- Shuaishuai, L.; Jiaqiao, Z.; Hongjun, N.; Xingxing, W.; Yu, Z.; Tao, G. Study on Preparation of Aluminum Ash Coating Based on Plasma Spray. Appl. Sci. 2019, 9, 4980. [Google Scholar]
- Ni, H.; Zhang, J.; Lv, S.; Wang, X.; Zhu, Y.; Gu, T. Preparation and Performance Optimization of Original Aluminum Ash Coating Based on Plasma Spraying. Coatings 2019, 9, 770. [Google Scholar] [CrossRef] [Green Version]
- Zhang, F.; Zhang, J.; Ni, H.; Zhu, Y.; Wang, X.; Wan, X.; Chen, K. Optimization of AlSi10MgMn Alloy Heat Treatment Process Based on Orthogonal Test and Grey Relational Analysis. Crystals 2021, 11, 385. [Google Scholar] [CrossRef]
- Zhang, Y.; Ni, H.; Lv, S.; Wang, X.; Li, S.; Zhang, J. Preparation of Sintered Brick with Aluminum Dross and Optimization of Process Parameters. Coatings 2021, 11, 1039. [Google Scholar] [CrossRef]
- Calignano, F.; Manfredi, D.; Ambrosio, E.P.; Iuliano, L.; Fino, P. Influence of process parameters on surface roughness of aluminum parts produced by DMLS. Int. J. Adv. Manuf. Technol. 2013, 67, 2743–2751. [Google Scholar] [CrossRef] [Green Version]
- Felix, G.S.; Sellin, N.; Marangoni, C. Reduction of dross in galvanized sheets through automatic control of snout positioning in continuous operation. Int. J. Adv. Manuf. Technol. 2017, 89, 2345–2353. [Google Scholar] [CrossRef]
- Zhou, C.; Wang, Q.; Zhang, W.; Zhao, W. Recovery of ammonia nitrogen from aluminum slag ash. Conserv. Util. Miner. Resour. 2012, 3, 38–41. [Google Scholar] [CrossRef]
- Yoldi, M.; Fuentes-Ordoñez, E.G.; Korili, S.A.; Gil, A. Efficient recovery of aluminum from saline slag wastes. Miner. Eng. 2019, 140, 105884. [Google Scholar] [CrossRef]
- Yang, Q.; Li, Q.; Zhang, G.; Shi, Q.; Feng, H. Investigation of leaching kinetics of aluminum extraction from secondary aluminum dross with use of hydrochloric acid. Hydrometallurgy 2019, 187, 158–167. [Google Scholar] [CrossRef]
- Shabashov, V.A.; Kozlov, K.A.; Lyashkov, K.A.; Litvinov, A.V.; Dorofeev, G.A.; Titova, S.G.; Fedorenko, V.V. Effect of aluminum on mechanical solid-state alloying of iron with nitrogen in ball mill. Phys. Met. Metallogr. 2012, 113, 992–1000. [Google Scholar] [CrossRef]
Publisher’s Note: MDPI stays neutral with regard to jurisdictional claims in published maps and institutional affiliations. |
© 2022 by the authors. Licensee MDPI, Basel, Switzerland. This article is an open access article distributed under the terms and conditions of the Creative Commons Attribution (CC BY) license (https://creativecommons.org/licenses/by/4.0/).








