Abstract
Sapping caused by prevailing wind erosion is one of the most significant factors in the deterioration of earthen sites located in Datong County, Qinghai Province, China. Long-term effects of wind may cause surface erosion, or even serious damage to the Great Wall of Ming Dynasty. Difference of sapping quantity should be attributed to variability of the prevailing wind directions. To better understand the effects of wind direction on erosion, meteorological data in the study area for fifty-two years (from 1961 to 2013) were collected and statistically analyzed. Sapping quantity of earthen structure was measured by field investigation on the Wall along the ridge whose azimuth ranges from 95°–244° and mainly concentrated in 140°–210°. Results showing obvious difference of sapping quantity could be observed at both sides of the Wall under the prevailing wind directions (ESE, SE and SSE). Further, the Wall was divided into small segments with a length of 20 m for comparison and maximum sapping quantity could be found at the Wall whose azimuth is at an angle of 30° to the prevailing wind. The aim of this study is to provide reference for the deterioration of the Wall under long-term wind pressure, and provide a targeted conservation method for earthen structure.
1. Introduction
Open-air earthen heritage sites of Great Wall of Ming Dynasty, along the Silk Road in northwestern China, are highly valuable and typical representatives of historical and cultural heritage of China [1,2]. Due to its extremely high cultural and artistic value, the Ming Great Wall in Qinghai Province was listed as the 7th key national cultural relic protection units by the State Administration of Cultural Heritage of China in 2013 [3]. Generally, the Great Wall made of rammed earth, are relatively vulnerable to surrounding environment in comparison to ancient sites built by other materials, such as sintered brick, dressed stone, painted timber. For hundreds of years, earthen structures located in this district have been suffering serious deterioration induced by combination of various factors, for instance, wind flow, rain and snow, freezing and thawing, human activities [4,5]. In this context, conservation is highly urgent to mitigate or prevent the deterioration of earthen structure.
Research on the protection of earthen buildings could be traced back to the 1960s.The International Council on Monuments and Sites (ICOMOS) was established to provide a platform for the protection of earthen ruins in 1965. Thereafter, the Getty Museum, Australian Heritage Commission, International Centre for the Study of the Preservation and Restoration of Cultural Property in Rome, Dunhuang Academy and other institutions joined the preservation efforts [6]. According to field investigation and literature review, wind erosion is a typical disease of the Great Wall in northwestern China. Numerous studies have been conducted to investigate wind erosion of earthen buildings and the results indicate that common process of wind erosion could be surface stripping first, followed by sapping, finally collapse and even vanish [7]. Previous research involving wind erosion of earthen buildings mainly focus on particle size distribution, soluble salt crystallization cycles and wind-rain erosion [8,9,10,11].
It is widely accepted that sapping quantity is related to wind speed and windward of the Wall [12]. Weak regions of earthen sites would be stripped and blown away under the continuous blowing and abrading of wind, which might be further aggravated by effect of long-term and formation of empty surface. Moreover, salinized deterioration induced by soluble salt, such as sodium chloride and sodium sulfate, is significant in formation and development of sapping in earthen sites [13]. Continuous mass loss of earthen sites result from sapping should not be neglected on a long view [14,15,16]. Nevertheless, few studies about effect of prevailing wind direction on sapping quantity of earthen buildings are conducted during their long-term exposure to surrounding environment. Thus, it is urgent and necessary to evaluate effect of prevailing wind direction and its angle to azimuth of the Wall on wind erosion. In this study, field investigation was carried out to evaluate present situation and to obtain sapping quantity at both sides of the Great Wall in Datong County. In combination with meteorological data, especially wind regime, statistics and analysis were conducted to evaluate effect of wind erosion, focusing on prevailing wind direction and azimuth of the Great Wall on the sapping quantity [17,18,19,20,21]. The ultimate purpose is to further ascertain mechanism of wind erosion and to provide basis for future conservation.
2. Study Area
The Datong County is located in the northeastern Qinghai Province, in transition zone of the Tibetan Plateau and the Loess Plateau, and to the south of Qilian Mountain. The Wall in this area, originating from Yongdeng of Gansu via Huzhu of Qinghai, was built in 1572 A. D [22,23,24,25,26] (Figure 1). Construction background, time, and scale of the Ming Great Wall near the Xining area are shown in records by Su (1993) [27] and Yang (2016) [28]. Therefore, the Qinghai Ming Great Wall is an important part of the whole Great Wall in China according to official and historical document. Existing Great Wall in this section consists of wall with a length of 7.6 km and trench (4.8 km), 5 castles, 13 beacon towers, which is the best-preserved Ming Dynasty Wall in Qinghai, was honored as “Badaling of Qinghai” [29]. A fortress easy to defend and difficult to attack was formed by combination of the Wall and lofty and steep mountains and was listed as a red tourist spot [30].
Figure 1.
Location of the Great Wall of the Ming Dynasty in Datong County of Qinghai Province, China.
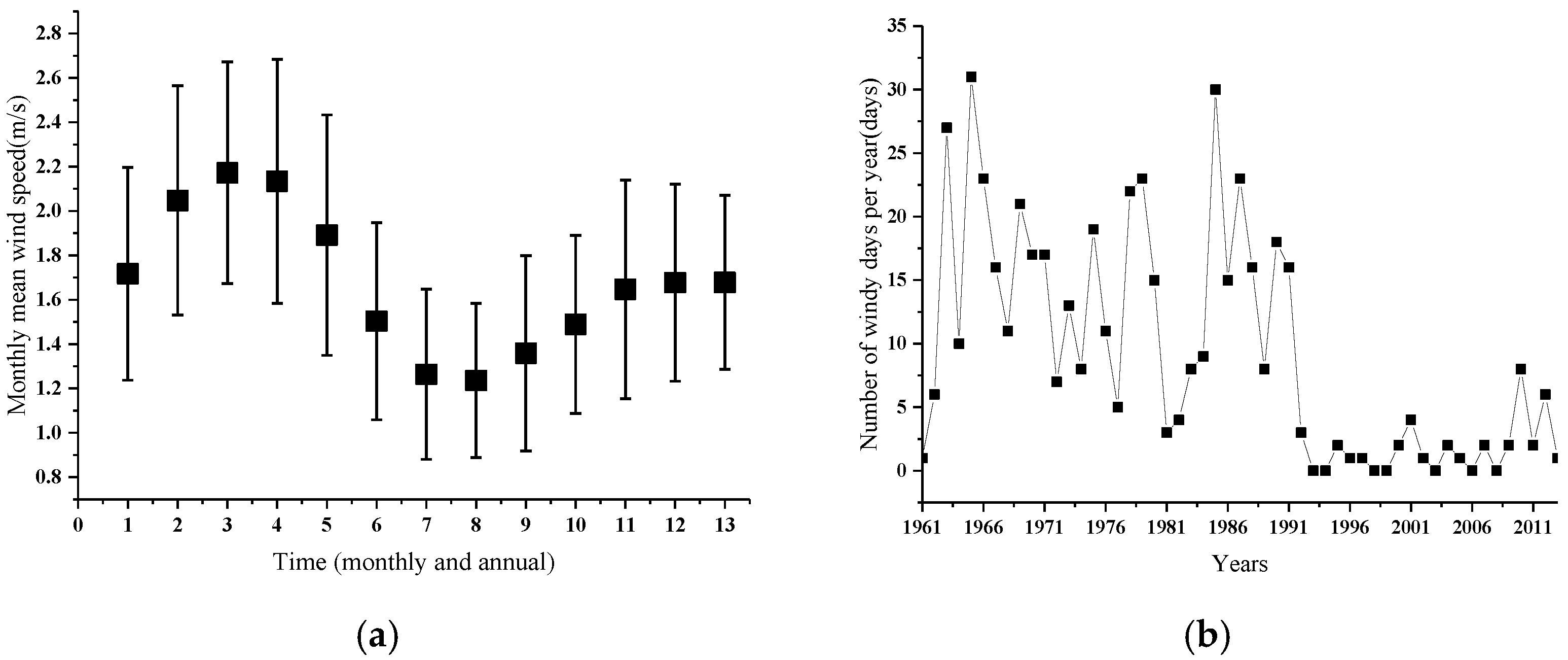
On account of far away from ocean, the county is characterized by continental climate. According to data from 1961 to 2013 obtained from the Qinghai Meteorological Bureau, average annual precipitation in the area is 519.9 mm, 55% of which concentrated in summer from June to August. While average annual evaporation is 1233.9 mm, about 2.4 times the precipitation. Average annual wind speed is 1.65 m/s with a maximum of 2.13 m/s in March and a minimum of 1.24 m/s in August (Figure 2a). Gale is defined in meteorology as air movement with a speed beyond 17.2 m/s. Average annual gale days is 9.3 from 1961 to 2013, with a maximum of 31 in 1965 (Figure 2b). According to monthly analysis of meteorological data from 1961 to 2013, maximum frequency of wind direction of each month is chosen as variable and shown in wind rose diagram (Figure 3). Prevailing wind direction of 52 years are ESE, SE, SSE [31,32].
Figure 2.
Wind regime of study area (1961–2013). (a) Monthly and annual wind speed means. 1–12 indicate January to December, while 13 gives the annual average. (b) Number of gale windy days per year.
Figure 3.
Wind rose diagram choosing monthly maximum frequency of wind direction (1961–2013).
As a significant part of arch-shaped defense around the Xining Garrison, Ming Great Wall is located on steep ridge of Niangniang Mountain (101°38′17.20″ E~101°41′12.90″ E, 36°55′03.50″ N~36°55′11.20″ N) with relatively slight effects of human activities and rare vegetation. Great Wall in this district, subjected to wind erosion for hundreds of years, is relatively well conserved and difficult to find in other parts of the world and of high historical and research value. Numerous studies have been conducted to investigate wind erosion of earthen sites and the results indicate that the earthen sites are vulnerable to the sapping caused by wind erosion. Therefore, it is essential to ascertain mechanism of wind erosion for effective conservation measures. As earthen heritages, the Great Wall of Ming Dynasty in Qinghai Province are essentially made of rammed earth. When wind speed exceeds threshold, the Wall body is subjected to wind erosion, mainly consisting of impact effect of sand carried by wind on surface and abrasion of eddy result from wind encountering obstacles. Impact force of wind-sand flow act directly on surface would increase with the wind speed. Further, when encountering obstacles, eddy of wind-sand flow resulted would rotate the sand particle with a high rpm, which will abrade surface of the Wall body heavily. Then, resulting surface stripping and sapping might be observed at the surface, following by the cave, groove and throughout hole developed at weak point of wall, foundation and ground. Empty face at the bottom of the Wall induced by sapping would lead to the decrease of adhesive force within rammed earth and easily stratified fall of bottom rammed earth. Besides, anti-overturning capability of the Wall would decrease with the extension of empty area, thus accelerating deterioration of the Wall.
Although built for more than 400 years ago, relevant conservation measures of the Wall in study area were not carried out until 2006 due to local economical and historical background. On the basis of massive field investigation and measurement carried out from 2008 to 2014, obvious difference in sapping quantity was found at both sides of the Wall with identical precipitation, wind field, temperature for a long time, and sapping area is mostly concentrated at upper part of the Wall [33,34]. Existing Wall body generally has a height of 0.5–5.0 m, and a width of 1.5–4.5 m at the bottom and 0.2–1.0 m at the top (Figure 4).
Figure 4.
Wind erosion damage to the wall (a) The Wall built along the ridge; (b) Relative well-preserved Wall in spite of long-term nature erosion; (c) Wall and beacon tower on the ridge; (d) sapping of beacon tower; (e) sapping at upper part of the Wall; (f) measurement of sapping area; (g) sapping at bottom of the Wall.
3. Methods
A section of the Great Wall in Datong, under relatively well conservation state, was selected as study object to evaluate effects of wind direction on sapping quantity. Field photographs are inserted into software Computer-Aided Design (CAD in short hereafter) for the accurate measurement of sapping area for its irregular shape. A length of 20 m was chosen as reference unit in field investigation for convenience of fast measurement and calculation of sapping area in the CAD after determination of plotting scale. Twice field investigations are necessary for the accuracy and convenience of measurement of sapping. In consideration of huge change of the Wall along the ridge, length and azimuth of each segment of the Wall were measured and photographs were taken in the first investigation. In the second investigation, photographs were print and brought to field to delineate sapping area and various depth of each sapping area were measured. Then, area and mean depth of sapping could be calculated for the final sapping quantity in Excel (Figure 5).
Figure 5.
Calculation procedure of sapping quantity of the Great Wall.
The Wall in this area, consisting of 231 segments according to measurement method mentioned above, has a total length of 4660 m and azimuth ranges from 95° to 245°. According to azimuth of the Wall from field measurement, segments with little difference in azimuths have similar angles to prevailing wind direction. For convenience of analysis, the segments were subdivided into 31 categories by azimuth interval of 5° and numbered from 1 to 31 clockwise (Figure 6a). Length of the Wall with various azimuths concentrated from 150° to 210° were plotted in Figure 6b and detailed shown in Table 1. Sapping quantity of segments were calculated by mean sapping depth and sapping area mentioned before to improve accuracy of analysis.
Figure 6.
Statistic method and results of length of the Wall. (a) Partition map of the north and south facades of the Great Wall. (b) Length of the Wall with various azimuths.
Table 1.
Sapping quantity statistics of the north and south facades of the Great Wall in Qinghai.
4. Results and Discussion
Wind is the dominating and direct inducement of soil erosion. Degree of soil erosion induced by wind depends on speed and duration of wind [35]. A series of research have been carried out about soil erosion caused by wind and considerable consensus reached. Studies involving effect of wind on buildings could be traced back to 1960s. Thereafter, four types of methods have been developed, that is, field investigation and measurement [11], wind tunnel test, theoretical analysis and numerical simulation [26] including computational fluid dynamics [36]. Qu et al. (2007) adopted wind tunnel tests to evaluate factor of wind erosion of five earthen sites in Northwestern China [37]. Field investigation and laboratory test were employed by Wang et al. (2011) to explore mechanism of four representative diseases induced by wind erosion in Milan Ancient City [38]. On the basis of field investigation and laboratory tests, Cui et al. (2022) found that capillary process is the dominant approach of salinized deterioration effect, which would induce salt accumulation and aggravate development of sapping [39]. Although has been suffering wind erosion for centuries, the Wall in this area was relatively well-preserved due to fewer windy days and low wind speed around 1.65 m/s. Deterioration induced by low speeds wind is concentrated at lower part of the Wall, such as stripping and sapping at the bottom. Owing to higher kinetic energy and capacity of carrying sand, high speeds wind is of strong erosivity, which would lead to sapping at upper part and acceleration of deterioration of the Wall [25]. Sapping of the Wall induced by wind erosion could be attributed to stress failure after suffering wind pressure, which is closely related to speed and duration of wind. It should be noted that influence of wind direction should not be neglected, especially the area with low gale days but long duration. Generally, difference in erosion mechanism of various part of the Wall could be found according to field investigation [40].
Erosion pin method was adopted by Luo et al. (2019) in a 5 year’s field monitoring to Fujian Hakka earth buildings and huge difference in sapping quantity could be found at wall with various angle to prevailing wind direction [11]. Hence, it is necessary to evaluate effect of wind direction on sapping quantity. The relation between wind direction and sapping quantity was evaluated by comparison of sapping quantity at windward and leeward and sapping area and quantity of segments with various azimuth using 20 m as reference unit length according to field investigation and data analysis. As shown in Table 1, azimuth of windward of the Wall ranges from 95° to 245° and leeward from 275° to 65°. Total sapping area of windward is 613.02 m2 and leeward 88.95 m2. Total sapping quantity windward is 136.20 m3 and nearly 10 times of leeward with a sapping quantity of 13.64 m3. Obvious difference in sapping quantity of both sides could be found although the Wall was built with identical rammed earth and located in environment with identical precipitation and evaporation. Besides, huge difference could be observed at windward of the Wall with various azimuth (Figure 7a,c). Maximum of the length of the Wall was 307.79 m with azimuth ranges from 185° to 189° (Figure 6b), while maximum of sapping quantity was 15.57 m3 with azimuth ranges from 145° to 149°. Moreover, it could be concluded that high sapping quantity of the Wall with azimuth ranges from 140° to 154°, which is further confirmation of the relation between wind direction and sapping quantity.
Figure 7.
Sapping of the Wall with various azimuth: (a) sapping area of the Wall with various azimuth; (b) average sapping area of the Wall with various azimuth using 20 m as reference unit; (c) sapping quantity of the Wall with various azimuth; (d) average sapping quantity of the Wall with various azimuth using 20 m as reference unit.
Richards et al. (2007) found severe deterioration in eastern facade of inner city of the Suoyang Ancient City under prevailing wind [41]. Whereas, the relationship between sapping quantity and prevailing wind direction is not analyzed further. In this paper, Figure 7b,d show average sapping area and quantity of the segment with a reference unit length of 20 m respectively, which could reveal sapping quantity of the segment with identical length. High average sapping quantity is concentrated at the segments with azimuth ranges from 105° to 165°. The highest average sapping quantity of the Wall with azimuth from 140° to 165°, is 6.72 m3 and 33% of total and each unit segment is 1.34 m3. The second-highest average sapping quantity of the Wall with azimuth from 100° to 124°, was 5.42 m3 and 26% of total and each unit segment is 1.08 m3. The third-highest average sapping quantity of the Wall with azimuth from 125° to 139°, was 2.32 m3 and 11% of total and each unit segment is 0.77 m3. As shown in Figure 3, prevailing wind directions in study area are, SSE, ESE, SE with frequency 167, 156, 95 respectively. Sapping quantity is of strong correlation to the prevailing wind directions. The most serious sapping could be found at windward of the Wall whose azimuth with an angle of 30° to 3 prevailing wind directions. Besides, no Wall could be observed with azimuth of 65°–94° and 245°–274° due to the long-term deterioration, which could aggravate sapping for formation of the empty area. Thus, it is necessary to focus reinforcement measures on corresponding segments of the Wall.
Fundamental objective of research about difference in sapping quantity is to optimize conservation of earthen sites and implement corresponding measures. Wind erosion of earthen sites has attracted attention in mid to late 1990s and the following is conservation measures proved effectively. Representative measures, such as surrounding environment treatment and anti-weathering consolidation, has been carried out by Dunhuang Academy since 2006 [42]. In 2012, National Cultural Heritage Administration of China issued Specifications of Investigation for Preservation Engineering of Earthen Sites (WW/T 0040-2012) [43]. Principles for the Conservation of Heritage Sites in China issued in 2015 further specify conservation measures of earthen sites, such as anchoring, grouting, back-filling, supporting [44]. This study focuses on the effect of prevailing direction on sapping quantity of the Great Wall and tries to find the area suffering severe sapping, which could improve pertinence of conservation measures.
5. Conclusions
Earthen building is a complex, open and special system in the surrounding environment and strongly influenced by it. Light, heat and water are basic elements of the environmental system and the cause of various diseases on the site. Among these, wind erosion has played a key role in deteriorating vulnerable rammed-earth sites in Northwestern China. In combination with local meteorological data, sapping quantity at both sides of the Wall were measured and analyzed mainly by field investigation. The results show that obvious difference of sapping quantity could be observed at both sides, which should be attributed to various angles of the Wall to prevailing wind direction. The following conclusions could be derived from the results of analysis:
- Sapping quantity at windward of the Wall is nearly 10 times of leeward, which is a solid proof of influence of wind direction.
- Huge difference in sapping quantity of windward could be observed for the Wall with various azimuth and highest sapping quantity could be found at windward of the Wall with an angle of 30° to prevailing wind direction.
- According to sapping level of various parts of the Wall, pertinence of traditional and mature conservation measures, would improve, which could avoid further deterioration due to inadequate conservation or waste of conservation cost because of excessive conservation.
Considering the Great Wall a significant part of world-class cultural heritage with historical, artistic and scientific values, it is of great scientific significance and application value to formulate corresponding scientific protection measures and implement reasonable and efficient protection measures [45]. There is no doubt that more multi-disciplinary work is required to predict, reduce or even prevent such deterioration of the Great Wall. This study focuses the relationship between prevailing wind direction and sapping quantity, which could provide theoretical and technical support for reinforcement of earthen heritage sites in northwestern China.
Author Contributions
Conceptualization, N.S.; Writing—original draft, B.Y.; Data curation, W.C.; Methodology, L.X. and Y.L. All authors have read and agreed to the published version of the manuscript.
Funding
The study was supported by the Henan Province Key Research and Development Program Support Grant (Grant No. 212102110200).
Institutional Review Board Statement
Not applicable.
Informed Consent Statement
Informed consent was obtained from all subjects involved in the study.
Data Availability Statement
Data sharing is not applicable to this article.
Acknowledgments
We thank the Qinghai Meteorological Bureau, China for supplying the climatic data. We would like to thank the anonymous reviewers for their valuable comments.
Conflicts of Interest
The authors declare no conflict of interest.
References
- Li, L.; Shao, M.; Wang, S.; Li, Z. Preservation of earthen heritage sites on the Silk Road, northwest China from the impact of the environment. Environ. Earth Sci. 2011, 64, 1625–1639. [Google Scholar] [CrossRef]
- Du, Y.M.; Chen, W.W.; Cui, K.; Zhang, K.W. Study on Damage Assessment of Earthen Sites of the Ming Great Wall in Qinghai Province Based on Fuzzy-AHP and AHP-TOPSIS. Int. J. Archi. Herit. 2019, 14, 903–916. [Google Scholar] [CrossRef]
- Du, Y.M.; Chen, W.W.; Cui, K.; Guo, Z.Q.; Wu, G.P.; Ren, X.F. An exploration of the military defense system of the Ming Great Wall in Qinghai Province from the perspective of castle-based military settlements. Archaeol. Anthrop. Sci. 2021, 13, 1–18. [Google Scholar] [CrossRef]
- Chen, W.W.; Zhang, Y.M.; Zhang, J.K.; Dai, P.F. Consolidation effect of composite materials on earthen sites. Constr. Build. Mater. 2018, 187, 730–737. [Google Scholar] [CrossRef]
- Erkal, A.; D’Ayala, D.; Sequeira, L. Assessment of wind-driven rain impact, related surface erosion and surface strength reduction of historic building materials. Build. Environ. 2012, 57, 336–348. [Google Scholar] [CrossRef] [Green Version]
- Chen, W.W.; Zhang, Q.Y.; Liu, H.W.; Guo, Z.Q. Feasibility of protecting earthen sites by infiltration of modified polyvinyl alcohol. Constr. Build. Mater. 2019, 204, 410–418. [Google Scholar] [CrossRef]
- Li, Z.X.; Wang, X.D.; Sun, M.L.; Chen, W.W.; Guo, Q.L.; Zhang, H.Y. Conservation of Jiaohe ancient earthen site in China. J. Rock. Mech. Geotech. 2011, 3, 270–281. (In Chinese) [Google Scholar] [CrossRef] [Green Version]
- Pu, T.; Chen, W.W.; Du, Y.M.; Li, W.J.; Su, N. Snowfall-related deterioration behavior of the Ming Great Wall in the eastern Qinghai-Tibet Plateau. Nat. Hazards 2016, 84, 1539–1550. [Google Scholar] [CrossRef]
- Zhang, Y.; Ye, W.M.; Chen, B.; Chen, Y.G.; Ye, B. Desiccation of NaCl-contaminated soil of earthen heritages in the Site of Yar City, northwest China. Appl. Clay Sci. 2016, 124, 1–10. [Google Scholar] [CrossRef]
- Zhang, D.X.; Wang, T.R.; Wang, X.D.; Guo, Q.L. Laboratory experimental study of infrared imaging technology detecting the conservation effect of ancient earthen sites (Jiaohe Ruins) in China. Eng. Geol. 2012, 125, 66–73. [Google Scholar] [CrossRef]
- Luo, Y.; Yin, B.T.; Peng, X.Q.; Xu, Y.Y.; Zhang, L. Wind-rain erosion of Fujian Tulou Hakka Earth Buildings. Sustain. Cities Soc. 2019, 50, 101666. [Google Scholar] [CrossRef]
- Su, H.; Qu, L.J.; He, K.; Zhang, Z.; Wang, J.; Chen, Z.; Gu, H. The Great Wall of China: A physical barrier to gene flow? Heredity 2003, 90, 212–219. [Google Scholar] [CrossRef] [PubMed]
- Cui, K.; Guan, X.P.; Chen, W.W.; Chen, M.M.; Han, W.F. Effects of salinized deterioration and aeolian ullage on soils in undercutting areas of earthern ruins in arid regions (II). J. Geotech. Eng. 2017, 39, 1777–1784. (In Chinese) [Google Scholar]
- Bui, Q.B.; Morel, J.C.; Reddy, B.V.; Ghayad, W. Durability of rammed earth walls exposed for 20 years to natural weathering. Build. Environ. 2009, 44, 912–919. [Google Scholar] [CrossRef]
- Liu, L.Y.; Skidmore, E.; Hasi, E.; Wagner, L.; Tatarko, J. Dune sand transport as influenced by wind directions, speed and frequencies in the Ordos Plateau, China. Geomorphology 2005, 67, 283–297. [Google Scholar] [CrossRef]
- Li, B.; Wang, L.; Liu, Y.; Liu, J. Drag distributions of non-uniform buildings from surface pressure measurements in wind tunnel. Build. Environ. 2018, 143, 618–631. [Google Scholar] [CrossRef]
- Leenders, J.K.; Van Boxel, J.H.; Sterk, G. Wind forces and related saltation transport. Geomorphology 2005, 71, 357–372. [Google Scholar] [CrossRef]
- Xing, F.; Mohotti, D.; Chauhan, K. Experimental and numerical study on mean pressure distributions around an isolated gable roof building with and without openings. Build. Environ. 2018, 132, 30–44. [Google Scholar] [CrossRef]
- Du, Y.M.; Chen, W.W.; Cui, K.; Zhang, J.K.; Chen, Z.; Zhang, Q.Y. Damage assessment of earthen sites of the Ming Great Wall in Qinghai Province: A comparison between Support Vector Machine (SVM) and BP Neural Network. J. Comput. Cult. Herit. 2020, 13, 1–18. [Google Scholar] [CrossRef]
- Meijer, M.J. A map of the great wall of China. Imago. Mundi 1956, 13, 110–115. [Google Scholar] [CrossRef]
- Barlow, J.G. The Zhuang minority in the Ming era. Ming. Stud. 2013, 1989, 15–45. [Google Scholar] [CrossRef]
- Liu, M.K.; Long, Y.; Zuan, X. The Annals of Xining Wei, 1st ed.; Qinghai People’s Publishing House: Xining, China, 1993; pp. 27–43. (In Chinese) [Google Scholar]
- Cui, Y.H. Qinghai Economic History, 1st ed.; Qinghai Peoples’s Publishing House: Xining, China, 1998; pp. 235–247. (In Chinese) [Google Scholar]
- Shao, M.S.; Li, L.; Wang, S.J.; Wang, E.Z.; Li, Z.X. Deterioration mechanisms of building materials of Jiaohe ruins in China. J. Cult. Herit. 2013, 14, 38–44. [Google Scholar] [CrossRef]
- Wang, X.D.; Pei, Q.Q.; Guo, Q.L.; Li, Z.P.; Wang, Y.W.; Zhao, J.Z. Stress mechanism for the rammed layer interfaces of earthen heritage sites with different treatments. J. Cult. Herit. 2019, 39, 110–119. [Google Scholar] [CrossRef]
- Richards, J.; Zhao, G.; Zhang, H.; Viles, H. A controlled field experiment to investigate the deterioration of earthen heritage by wind and rain. Herit. Sci. 2019, 7, 1–13. [Google Scholar] [CrossRef] [Green Version]
- Su, X. Records of Xining; Qinghai People’s Publishing House: Xining, China, 1993. (In Chinese) [Google Scholar]
- Yang, Y. The New Annals of Xining Fu; Qinghai People’s Publishing House: Xining, China, 2016; pp. 47–73. (In Chinese) [Google Scholar]
- Liu, J.J.; Yan, L.; Cao, Y.C. Research on the great wall and military settlements of Xining Wei in Ming Dynasty. Archit. J. 2012, S1-07, 30–34. (In Chinese) [Google Scholar]
- Available online: http://m.news.cctv.com/2021/10/05/ARTIE03citWOtA4QJFwqs4b2211005.shtml (accessed on 5 October 2021).
- Chen, W.W.; Su, N.; Yang, G. Effect of wind field on sapping quantity of earthen architecture ruins along the ridge in semi-humid area. Chin. J. Geotech. Eng. 2015, 37, 1807–1813. (In Chinese) [Google Scholar]
- Available online: http://www.nmic.cn/data/cdcdetail/dataCode/B.0011.0001C.html (accessed on 25 March 2014).
- Available online: http://www.gov.cn/govweb/gzdt/2007-02/13/content_525933.htm (accessed on 13 February 2007).
- Ren, X. Resources’ Investigation Report of Ming Great Wall in Qinghai Province; Cultural Relics Press: Beijing, China, 2012; pp. 58–149. (In Chinese) [Google Scholar]
- Shen, Y.; Zhang, C.; Wang, X.; Zou, X.; Kang, L. Statistical characteristics of wind erosion events in the erosion area of Northern China. Catena 2018, 167, 399–410. [Google Scholar] [CrossRef]
- Meng, F.Q.; He, B.J.; Zhu, J.; Zhao, D.X.; Darko, A.; Zhao, Z.Q. Sensitivity analysis of wind pressure coefficients on CAARC standard tall buildings in CFD simulations. J. Build. Eng. 2018, 16, 146–158. [Google Scholar] [CrossRef]
- Qu, J.J.; Cheng, G.D.; Zhang, K.C.; Wang, J.C.; Zu, R.P.; Fang, H.Y. An experimental study of the mechanisms of freeze/thaw and wind erosion of ancient adobe buildings in northwest China. Bull. Eng. Geol. Environ. 2007, 66, 153–159. [Google Scholar] [CrossRef]
- Wang, X.D.; Zhang, H.Y.; Yan, G.S.; Pei, Q.Q. Durability of ancient earthen architecture under wind erosion in the Milan Ancient City along the Silk Road of China. Adv. Mater. Res. 2011, 163, 3230–3236. [Google Scholar] [CrossRef]
- Chen, G.Q.; Li, L.; Li, G.M.; Pei, X.J. Failure modes classification and failure mechanism research of ancient city wall. Environ. Earth Sci. 2017, 76, 1–15. [Google Scholar] [CrossRef]
- Cui, K.; Zhao, X.Z.; Zhu, M.J.; Chen, W.W.; Han, W.F. Effects of salinized deterioration and aeolian ullage on soils in undercutting area of earthen ruins in arid region (III): Capillary process. Chin. J. Geotech. Eng. 2022, 5, 1–9. (In Chinese) [Google Scholar]
- Richards, J.; Viles, H.; Guo, Q.L. The importance of wind as a driver of earthen heritage deterioration in dryland environments. Geomorphology 2020, 369, 107363. [Google Scholar] [CrossRef]
- Cui, K.; Du, Y.M.; Zhang, Y.H.; Wu, G.P.; Yu, L. An evaluation system for the development of scaling off at earthen sites in arid areas in NW China. Herit. Sci. 2019, 7, 1–21. [Google Scholar] [CrossRef] [Green Version]
- Li, Z.X.; Wang, X.D.; Chen, W.W.; Sun, M.L.; Guo, Q.L.; Zhang, J.K.; He, F.G.; Yang, S.L. Specifications of Investigation for Preservation Engineering of Earthen Sites; Cultural Relics Press: Beijing, China, 2012. (In Chinese) [Google Scholar]
- ICOMOS China. Principles for the Conservation of Heritage Sites in China (Billingual); ICOMOS China: Beijing, China, 2015; pp. 76–78. Available online: http://openarchive.icomos.org/id/eprint/1650/ (accessed on 29 January 2022).
- Wang, X.D. Philosophy and Practice of Conservation of Earthen Architecture Sites: A Case Study of the Jiaohe Ancient Site in Xinjiang; The Peoples Press of Gansu: Lanzhou, China, 2010; pp. 1–9. (In Chinese) [Google Scholar]
Publisher’s Note: MDPI stays neutral with regard to jurisdictional claims in published maps and institutional affiliations. |
© 2022 by the authors. Licensee MDPI, Basel, Switzerland. This article is an open access article distributed under the terms and conditions of the Creative Commons Attribution (CC BY) license (https://creativecommons.org/licenses/by/4.0/).






