Characterisations of La-Sr-Mn-O (LSMO) Thin Film Fabricated by RF Sputtering
Abstract
1. Introduction
2. Materials and Methods
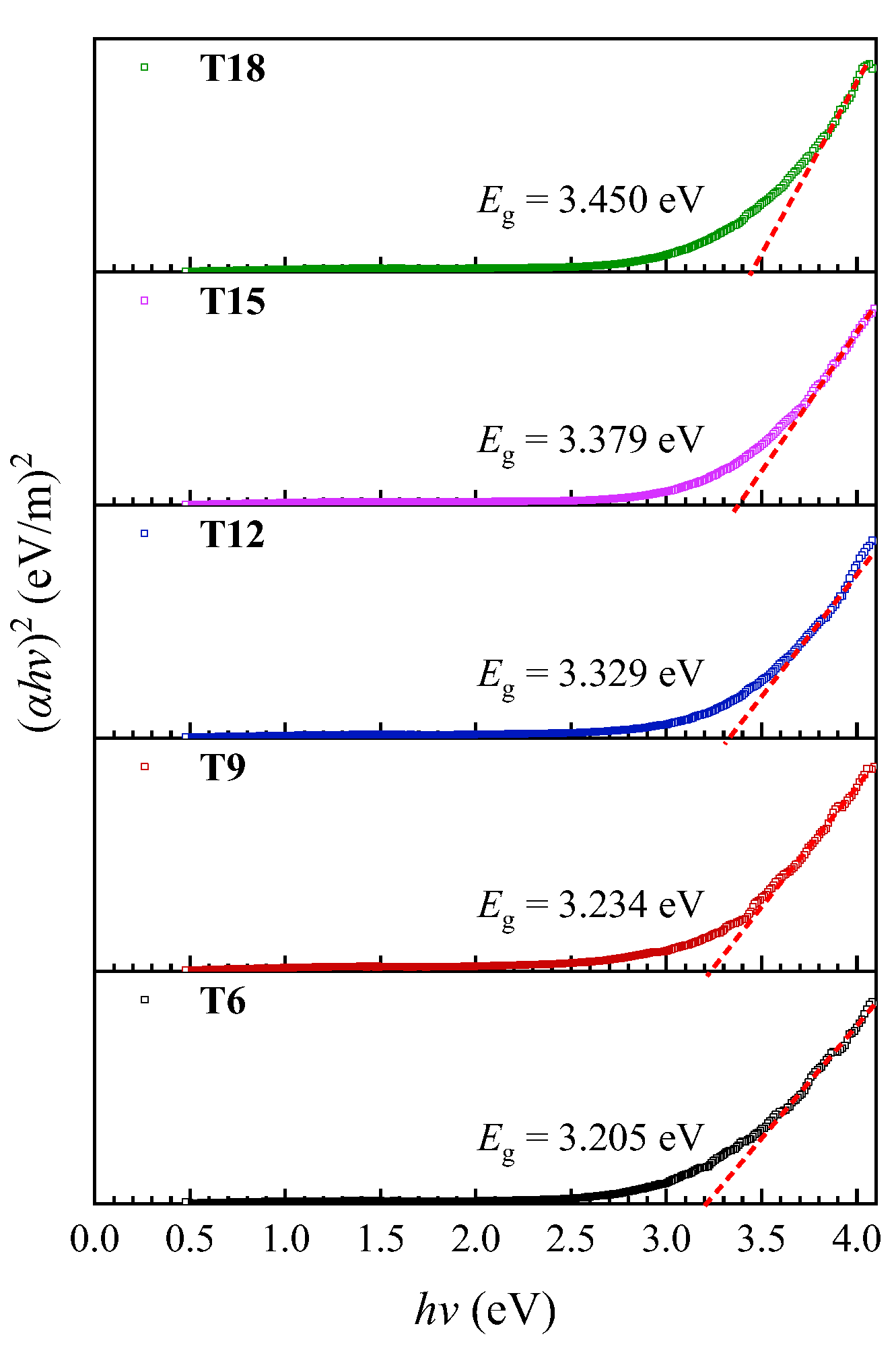
3. Results and Discussion
- (i)
- , (sample is semiconducting/insulating);
- (ii)
- , (sample is metallically governed);
- (iii)
- , .
4. Conclusions
Author Contributions
Funding
Institutional Review Board Statement
Informed Consent Statement
Data Availability Statement
Acknowledgments
Conflicts of Interest
References
- Dagotto, E.; Hotta, T.; Moreo, A. Colossal magnetoresistant materials: The key role of phase separation. Phys. Rep. 2001, 344, 1–153. [Google Scholar] [CrossRef]
- Stankevic, V.; Zurauskiene, N.; Kersulis, S.; Plausinaitiene, V.; Lukose, R.; Klimantavicius, J.; Tolvaisiene, S.; Skapas, M.; Selskis, A.; Balevicius, S. Nanostructured Manganite Films Grown by Pulsed Injection MOCVD: Tuning Low- and High-Field Magnetoresistive Properties for Sensors Applications. Sensors 2022, 22, 605. [Google Scholar] [CrossRef]
- Majumdar, S.; Dijken, S.v. Pulsed laser deposition of La1−xSrxMnO3: Thin-film properties and spintronic applications. J. Phys. D Appl. Phys. 2014, 47, 034010. [Google Scholar] [CrossRef]
- Boora, N.; Rani, P.; Nagal, V.; Rahman, S.; Awana, V.S.; Hafiz, A. Synthesis, characterization of LCMO composite and fabrication of its thin films by RF magnetron sputtering for room-temperature applications. AIP Conf. Proc. 2020, 2276, 020047. [Google Scholar]
- Yamada, Y.; So, J.; Asano, H.; Tazawa, M.; Yoshimura, K. Temperature dependence of optical constants of La0.7Sr0.3MnO3 thin films. Appl. Surf. Sci. 2017, 421, 866–869. [Google Scholar] [CrossRef]
- El Helali, S.; Daoudi, K.; Boudard, M.; Schulman, A.; Acha, C.; Roussel, H.; Oumezzine, M.; Oueslati, M. Strain dependence of the physical properties of epitaxial La0.7Ca0.3MnO3 thin films grown on LaAlO3 substrates. J. Alloys Compd. 2016, 655, 327–335. [Google Scholar] [CrossRef]
- Navasery, M.; Halim, S.A.; Dehzangi, A.; Soltani, N.; Bahmanrokh, G.; Erfani, H.M.; Kamalianfar, A.; Pan, K.Y.; Chang, S.C.; Chen, S.K.; et al. Electrical properties and conduction mechanisms in La2/3Ca1/3MnO3 thin films prepared by pulsed laser deposition on different substrates. Appl. Phys. A 2014, 116, 1661–1668. [Google Scholar] [CrossRef]
- Li, S.; Wang, C.; Shen, Q.; Zhang, L. Substrate-induced strain effect on magnetic and electrical transport properties of La0·67Ca0·33MnO3 thin films with varying orientation. Vacuum 2019, 164, 312–318. [Google Scholar] [CrossRef]
- Moghtaderi, A.; Kangarlou, H.; Razzazi, V. The Effect of Deposition Angle and Thickness on Structural and Optical Properties of Manganese Oxide Thin Films. Opt. Quantum Electron. 2022, 54, 705. [Google Scholar] [CrossRef]
- Das, K.; Mandal, S.; Mazumdar, D.; Sen, P.; Das, I. Study of magnetic and magneto-transport properties of nanocrystalline Nd0.5Ca0.5MnO3 compound: Observation of large magnetoresistance. J. Magn. Magn. Mater. 2020, 501, 166421. [Google Scholar] [CrossRef]
- Fang, S.; Pang, Z.; Wang, F.; Lin, L.; Han, S. Annealing effect on transport and magnetic properties of La0.67Sr0.33MnO3 thin films grown on glass substrates by RF magnetron sputtering. J. Mater. Sci. Technol. 2011, 27, 223–226. [Google Scholar] [CrossRef]
- Quan, Z.; Wu, B.; Zhang, F.; Zhou, G.; Zang, J.; Xu, X. Room temperature insulating ferromagnetism induced by charge transfer in ultrathin (110) La0.7Sr0.3MnO3 films. Appl. Phys. Lett. 2017, 110, 072405. [Google Scholar] [CrossRef]
- Štrbík, V.; Reiffers, M.; Dobročka, E.; Šoltýs, J.; Španková, M.; Chromik, Š. Epitaxial LSMO thin films with correlation of electrical and magnetic properties above 400K. Appl. Surf. Sci. 2014, 312, 212–215. [Google Scholar] [CrossRef]
- Ramirez Camacho, M.C.; Sanchez Valdes, C.F.; Curiel, M.; Sanchez Llamazares, J.L.; Siqueiros, J.M.; Raymond Herrera, O. Superparamagnetic state in La0.7Sr0.3MnO3 thin films obtained by rf-sputtering. Sci. Rep. 2020, 10, 2568. [Google Scholar] [CrossRef] [PubMed]
- Zhao, B.; Hu, X.; Dong, F.; Wang, Y.; Wang, H.; Tan, W.; Huo, D. The Magnetic Properties and Magnetocaloric Effect of Pr0.7Sr0.3MnO3 Thin Film Grown on SrTiO3 Substrate. Materials 2022, 16, 75. [Google Scholar] [CrossRef]
- Navasery, M.; Halim, S.A.; Soltani, N.; Bahmanrokh, G.; Erfani, M.; Chen, S.K.; Lim, K.P.; Awang Kechik, M.M. Growth and characterization of La5/8Sr3/8MnO3 thin films prepared by pulsed laser deposition on different substrates. J. Mater. Sci. Mater. Electron. 2014, 25, 1317–1324. [Google Scholar] [CrossRef]
- Zarbali, M.; Göktaş, A.; Mutlu, I.H.; Kazan, S.; Şale, A.G.; Mikailzade, F. Structure and Magnetic Properties of La0.66Sr0.33MnO3 Thin Films Derived Using Sol-Gel Technique. J. Supercond. Nov. Magn. 2012, 25, 2767–2770. [Google Scholar] [CrossRef]
- Lim, K.P.; Albert Gan, H.M.; Chen, S.K.; Talib, Z.A.; Halim, S.A.; Ng, S.W.; Chin, H.W. Lattice Strain Effect in Structural, Magnetoresistance and Electrical Properties of La0.6Sr0.33MnO3: Bulk and Thin Film System. Mater. Sci. Forum 2016, 846, 635–640. [Google Scholar] [CrossRef]
- Klug, H.P.; Alexander, L.E. X-ray Diffraction Procedures: For Polycrystalline and Amorphous Materials; Wiley: New York, NY, USA, 1974. [Google Scholar]
- Alfonso, E.; Olaya, J.; Cubillos, G. Thin Film Growth Through Sputtering Technique and its Application. In Crystallization-Science and Technology; IntechOpen: London, UK, 2012; Volume 23. [Google Scholar]
- Sando, D.; Carrétéro, C.; Grisolia, M.N.; Barthélémy, A.; Nagarajan, V.; Bibes, M. Revisiting the optical band gap in epitaxial BiFeO3 thin films. Adv. Opt. Mater. 2017, 6, 1700836. [Google Scholar] [CrossRef]
- Ahmed, A.S.; Muhamed, S.M.; Singla, M.L.; Tabassum, S.; Naqvi, A.H.; Azam, A. Band gap narrowing and fluorescence properties of nickel doped SnO2 nanoparticles. J. Lumin. 2011, 131, 1–6. [Google Scholar] [CrossRef]
- Ramírez, J.G.; Pérez, F.; Gómez, M.E.; Prieto, P. Statistical study of AFM images on manganite thin films. Phys. Status Solidi (C) 2004, 1, S13–S16. [Google Scholar] [CrossRef]
- Semnani, D. Geometrical characterization of electrospun nanofibers. In Electrospun Nanofibers; Woodhead Publishing: Cambridge, UK, 2017; pp. 151–180. [Google Scholar] [CrossRef]
- Turky, A.O.; Rashad, M.M.; Hassan, A.M.; Elnaggar, E.M.; Bechelany, M. Optical, electrical and magnetic properties of lanthanum strontium manganite La1-xSrxMnO3 synthesized through the citrate combustion method. Phys. Chem. Chem. Phys. 2017, 19, 6878–6886. [Google Scholar] [CrossRef] [PubMed]
- Sun, Z.H.; Dai, S.; Zhou, Y.L.; Cao, L.Z.; Chen, Z.H. Elaboration and optical properties of GaFeO3 thin films. Thin Solid Films 2008, 516, 7433–7436. [Google Scholar] [CrossRef]
- Arabi, A.; Ehsani, M.H.; Fazli, M. Hydrothermal synthesis of La0.7Sr0.3MnO3 and its application in visible light photocatalytic activity. J. Mater. Sci. Mater. Electron. 2019, 30, 19001–19008. [Google Scholar] [CrossRef]
- Takagahara, T.; Takeda, K. Theory of the quantum confinement effect on excitons in quantum dots of indirect-gap materials. Phys. Rev. B 1992, 46, 15578–15581. [Google Scholar] [CrossRef]
- Zener, C. Interaction between the d-Shells in the Transition Metals. II. Ferromagnetic Compounds of Manganese with Perovskite Structure. Phys. Rev. 1951, 82, 403–405. [Google Scholar] [CrossRef]
- Kumar Verma, M.; Dutt Sharma, N.; Sharma, S.; Choudhary, N.; Singh, D. High magnetoresistance in La0.5Nd0.15Ca0.25A0.1MnO3 (A = Ca, Li, Na, K) CMR manganites: Correlation between their magnetic and electrical properties. Mater. Res. Bull. 2020, 125, 110813. [Google Scholar] [CrossRef]
- Dey, P.; Nath, T.K. Tunable room temperature low-field spin polarized tunneling magnetoresistance of La0.7Sr0.3MnO3 nanoparticles. Appl. Phys. Lett. 2006, 89, 163102. [Google Scholar] [CrossRef]
- Souza, A.D.; Babu, P.D.; Rayaprol, S.; Murari, M.S.; Mendonca, L.D.; Daivajna, M. Size control on the magnetism of La0.7Sr0.3MnO3. J. Alloys Compd. 2019, 797, 874–882. [Google Scholar] [CrossRef]
- Nguyen, L.H.; Hung, L.X.; Phuc, N.X.; Nam, P.H.; Ngan, L.T.T.; Dang, N.V.; Bau, L.V.; Linh, P.H.; Phong, P.T. Composites (1−x)La0.7Ca0.3MnO3/xLa0.7Sr0.2Ca0.1MnO3: Electrical transport properties and enhancing of low-field-magnetoresistance and colossal magnetoresistance. J. Alloys Compd. 2020, 849, 156607. [Google Scholar] [CrossRef]
- Ziese, M. Critical scaling and percolation in manganite films. J. Phys. Condens. Matter 2001, 13, 2919. [Google Scholar] [CrossRef]
- Pattabiraman, M.; Rangarajan, G.; Murugaraj, P. Electrical conduction through bond percolation in Nd0.67Sr0.33MnO3. Solid State Commun. 2004, 132, 7–11. [Google Scholar] [CrossRef]
- Li, G.; Zhou, H.D.; Feng, S.J.; Fan, X.J.; Li, X.G.; Wang, Z.D. Competition between ferromagnetic metallic and paramagnetic insulating phases in manganites. J. Appl. Phys. 2002, 92, 1406–1410. [Google Scholar] [CrossRef]
- Mohamed, Z.; Abassi, M.; Tka, E.; Dhahri, J.; Hlil, E.K. Structural, magnetocaloric, electrical properties and theoretical investigations in manganite La0.67Sr0.1Ca0.23MnO3 type perovskite. J. Alloys Compd. 2015, 646, 23–31. [Google Scholar] [CrossRef]
- Arun, B.; Akshay, V.R.; Chandrasekhar, K.D.; Mutta, G.R.; Vasundhara, M. Comparison of structural, magnetic and electrical transport behavior in bulk and nanocrystalline Nd-lacunar Nd0.67Sr0.33MnO3 manganites. J. Magn. Magn. Mater. 2019, 472, 74–85. [Google Scholar] [CrossRef]
- Lau, L.N.; Lim, K.P.; Ishak, A.N.; Awang Kechik, M.M.; Chen, S.K.; Ibrahim, N.B.y.; Miryala, M.; Murakami, M.; Shaari, A.H. The Physical Properties of Submicron and Nano-Grained La0.7Sr0.3MnO3 and Nd0.7Sr0.3MnO3 Synthesised by Sol–Gel and Solid-State Reaction Methods. Coatings 2021, 11, 361. [Google Scholar] [CrossRef]
- Gu, J.Y.; Ogale, S.B.; Ghosh, K.; Venkatesan, T.; Ramesh, R.; Radmilovic, V.; Dahmen, U.; Thomas, G.; Noh, T.W. In-Plane Grain Boundary Effects on the Transport Properties of La0. 7Sr0. 3MnO3-δ Thin Films. MRS Online Proc. Libr. (OPL) 1997, 199, 494. [Google Scholar] [CrossRef]






| Sample Code | T6 | T9 | T12 | T15 | T18 |
|---|---|---|---|---|---|
| Sample | Lanthanum Strontium Manganese Oxide | ||||
| Reference Code | 98-010-7027 | ||||
| Crystal Structure | Hexagonal | ||||
| Space Group | R-3c (167) | ||||
| Lattice Parameter | |||||
| a (Å) | 5.462 | 5.465 | 5.459 | 5.464 | 5.463 |
| b (Å) | 5.462 | 5.465 | 5.459 | 5.464 | 5.463 |
| c (Å) | 13.355 | 13.352 | 13.368 | 13.380 | 13.358 |
| V(Å3) | 345.003 | 345.298 | 345.040 | 345.978 | 345.201 |
| Bond Angle and Length | |||||
| ∠Mn-O-Mn (°) | 173.714 | 173.713 | 173.709 | 173.718 | 173.715 |
| Mn-O (Å) | 1.933 | 1.933 | 1.933 | 1.935 | 1.933 |
| REXP (%) | 10.138 | 9.803 | 9.121 | 9.535 | 8.669 |
| RP (%) | 8.035 | 7.830 | 7.323 | 7.926 | 7.627 |
| RWP (%) | 10.269 | 9.987 | 9.362 | 10.093 | 9.682 |
| Goodness of Fit, χ2 | 1.026 | 1.038 | 1.053 | 1.121 | 1.247 |
| Sample | FWHM | Crystallite Size, D (nm) | Particle Size (nm) | Average Thickness (nm) | Surface Roughness (nm) | Metal–Insulator Temperature, TM-I (K) | Curie Temperature, TC (K) |
|---|---|---|---|---|---|---|---|
| T6 | 0.43 | 21.8 | 32.0 | 35.0 | 0.386 | 248 | 338 |
| T9 | 0.43 | 22.4 | 35.1 | 43.0 | 0.549 | 238 | 345 |
| T12 | 0.44 | 21.2 | 35.5 | 77.3 | 0.583 | 238 | 341 |
| T15 | 0.42 | 22.7 | 35.6 | 87.7 | 0.832 | 238 | 339 |
| T18 | 0.43 | 21.7 | 31.7 | 109.7 | 1.320 | 248 | 341 |
| Sample | ρr1 (×103 Ω cm) | ρ2 (Ω cm K−2) | ρ4.5 (×10−8 Ω cm K−4.5) | ρr (Ω cm) | U0 (×10−20 J) | (K) | EA (×106 eV) | R2 |
|---|---|---|---|---|---|---|---|---|
| T6 | 11.952 | 0.331 | −6.607 | 9.570 × 106 | 2.277 | 350 | −9.270 | 0.999 |
| T9 | 10.594 | 0.291 | −7.401 | −6.816 × 106 | 2.208 | 345 | −8.585 | 0.999 |
| T12 | 7.498 | 0.212 | −5.426 | −4.422 × 107 | 2.139 | 350 | −9.476 | 0.999 |
| T15 | 6.996 | 0.207 | −5.568 | −6.140 × 107 | 2.070 | 345 | −8.076 | 0.999 |
| T18 | 5.513 | 0.154 | −2.673 | −1.014 × 108 | 2.001 | 350 | −8.174 | 0.999 |
Disclaimer/Publisher’s Note: The statements, opinions and data contained in all publications are solely those of the individual author(s) and contributor(s) and not of MDPI and/or the editor(s). MDPI and/or the editor(s) disclaim responsibility for any injury to people or property resulting from any ideas, methods, instructions or products referred to in the content. |
© 2023 by the authors. Licensee MDPI, Basel, Switzerland. This article is an open access article distributed under the terms and conditions of the Creative Commons Attribution (CC BY) license (https://creativecommons.org/licenses/by/4.0/).
Share and Cite
Wong, Y.J.; Lau, L.N.; Lim, K.P.; Hon, X.T.; Daud, N.A.A.; Kechik, M.M.A.; Chen, S.K.; Shabdin, M.K.B.; Shaari, A.H.; Miryala, M. Characterisations of La-Sr-Mn-O (LSMO) Thin Film Fabricated by RF Sputtering. Coatings 2023, 13, 541. https://doi.org/10.3390/coatings13030541
Wong YJ, Lau LN, Lim KP, Hon XT, Daud NAA, Kechik MMA, Chen SK, Shabdin MKB, Shaari AH, Miryala M. Characterisations of La-Sr-Mn-O (LSMO) Thin Film Fabricated by RF Sputtering. Coatings. 2023; 13(3):541. https://doi.org/10.3390/coatings13030541
Chicago/Turabian StyleWong, Yan Jing, Lik Nguong Lau, Kean Pah Lim, Xiao Tong Hon, Nur Amira Azira Daud, Mohd Mustafa Awang Kechik, Soo Kien Chen, Muhammad Kashfi Bin Shabdin, Abdul Halim Shaari, and Muralidhar Miryala. 2023. "Characterisations of La-Sr-Mn-O (LSMO) Thin Film Fabricated by RF Sputtering" Coatings 13, no. 3: 541. https://doi.org/10.3390/coatings13030541
APA StyleWong, Y. J., Lau, L. N., Lim, K. P., Hon, X. T., Daud, N. A. A., Kechik, M. M. A., Chen, S. K., Shabdin, M. K. B., Shaari, A. H., & Miryala, M. (2023). Characterisations of La-Sr-Mn-O (LSMO) Thin Film Fabricated by RF Sputtering. Coatings, 13(3), 541. https://doi.org/10.3390/coatings13030541

