The Properties of Ultra-High-Performance Concrete with Assembly Unit of Secondary Aluminum Dross and Waste Fly Ash
Abstract
1. Introduction
2. Materials and Methods
2.1. Raw Materials
2.2. The Preparing of Specimens
2.3. Experimental Aim and Methodology
2.3.1. Experimental Aim
2.3.2. Experimental Methodology
The Measurement of Rheological Parameters and Initial Setting Time
The Measurement of Electrical Parameters
The Measurement of Mechanical Strengths and Drying Shrinkage Rate
The Measurement of Leached Toxic Element
Microscopic Research Measurement
3. Results and Discussions
3.1. The Rheological Parameters of UHPC
3.2. The Initial Setting Time of UHPC
3.3. The DSR of UHPC
3.4. The Electrical Reactance of UHPC
3.5. The Electrical Resistance of UHPC
3.6. The Mechanical Strength of UHPC
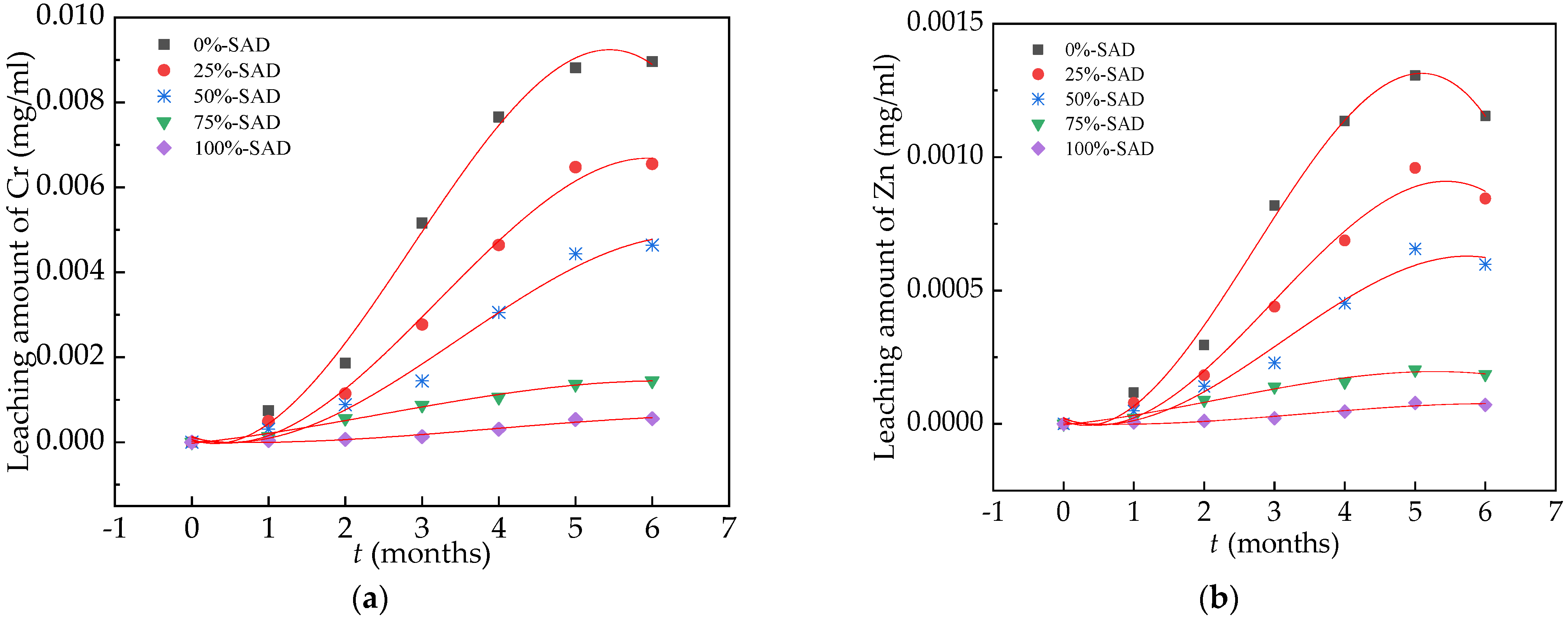
3.7. The Leaching of Cr and Zn
4. Conclusions
Author Contributions
Funding
Institutional Review Board Statement
Informed Consent Statement
Data Availability Statement
Conflicts of Interest
Abbreviations
| SAD | secondary aluminum dross |
| WFA | waste fly ash |
| UHPC | ultra-high-performance concrete |
| DSR | dry shrinkage rate |
| EDS | electron microscopy spectroscopy |
| TG | thermogravimetric analysis |
| XRD | X-ray diffraction spectrum |
| SEM | scanning electron microscopy |
| DSR | drying shrinkage rate |
| L0 | initial lengths |
| Lt | length |
| C-S-H | calcium silicate hydrate |
| CH | Ca(OH)2 |
| C3S | 3CaO·SiO2 |
| C2S | 2CaO·SiO2 |
References
- Liu, B.; Meng, H.; Pan, G.H.; Zhou, H. Relationship between the fineness and specific surface area of iron tailing powder and its effect on compressive strength and drying shrinkage of cement composites. Constr. Build. Mater. 2022, 357, 129421. [Google Scholar] [CrossRef]
- Avila-López, U.; Almanza-Robles, J.M.; Escalante-García, J. Investigation of novel waste glass and limestone binders using statistical methods. Constr. Build. Mater. 2015, 82, 296–303. [Google Scholar] [CrossRef]
- Alderete, N.; Joseph, A.; Van den Heede, P.; Matthys, S.; De Belie, N. Effective and sustainable use of municipal solid waste incineration bottom ash in concrete regarding strength and durability. Resour. Conserv. Recycl. 2021, 167, 105356. [Google Scholar] [CrossRef]
- Mandpe, A.; Yadav, N.; Paliya, S.; Tyagi, L.; Yadav, B.R.; Singh, L.; Kumar, S.; Kumar, R. Exploring the synergic effect of fly ash and garbage enzymes on biotransformation of organic wastes in in-vessel composting system. Bioresour. Technol. 2021, 322, 124557. [Google Scholar] [CrossRef] [PubMed]
- Ramesh Kumar, G.; Bharani, S.; Anupriya, R.; Jeevitha, V.; Gnanajothi, G. Influence of electronic waste and fly ash in strength and durability properties of concrete. Mater. Today Proc. 2022, 62, 2230–2234. [Google Scholar] [CrossRef]
- Cui, L.; Wang, H. Influence of Waste Fly Ash on the Rheological Properties of Fresh Cement Paste and the Following Electrical Performances and Mechanical Strengths of Hardened Specimens. Coatings 2021, 11, 1558. [Google Scholar] [CrossRef]
- Du, Y.; Hao, W.; Shi, F.; Wang, H.; Xu, F.; Du, T. Investigations of the Mechanical Properties and Durability of Reactive Powder Concrete Containing Waste Fly Ash. Buildings 2022, 12, 560. [Google Scholar] [CrossRef]
- David, O.; Opeyemi, J.; Adekunle, M.; Babatunde, F. Influence of secondary aluminum dross (SAD) on compressive strength and water absorption capacity properties of sandcrete block. Cogent. Eng. 2019, 6, 1608687. [Google Scholar]
- Panditharadhya, B.J.; Sampath, V.; Shankar, A.U.R. Mechanical properties of pavement quality concrete with secondary aluminium dross as partial replacement for ordinary portland cement. Mater. Sci. Eng. 2018, 431, 032011. [Google Scholar] [CrossRef]
- Satish, R.; Neeraja, D. Mechanical and durability aspects of concrete incorporating secondary aluminium slag. Resour.-Effic. Technol. 2016, 2, 225–232. [Google Scholar]
- Ewais, E.M.M.; Khalil, N.M.; Amin, M.S. Utilization of aluminum sludge and aluminum slag (dross) for the manufacture of calcium aluminate cement. Ceram. Int. 2009, 35, 3381–3388. [Google Scholar] [CrossRef]
- Zhang, Y.; Guo, C.H. Effects of AlN hydrolysis on fractal geometry characteristics of residue from secondary aluminium dross using response surface methodology. T. Nonferr. Metal. Soc. 2018, 28, 2574–2581. [Google Scholar] [CrossRef]
- Arimanwa, J.I.; Onwuka, D.O.; Arimanwa, M.C.; Onwuka, U.S. Prediction of the compressive strength of aluminum waste–cement concrete using Scheffe’s theory. J. Mater. Civ. Eng. 2012, 24, 177–183. [Google Scholar] [CrossRef]
- Ren, Y.C.; Wu, F.H.; Qu, G.F. Extraction and preparation of metal organic frameworks from secondary aluminum ash for removal mechanism study of fluoride in waste water. J. Mater. Res. Technol. 2023, 23, 3023–3034. [Google Scholar] [CrossRef]
- Trinet, Y. The influence of aluminum dross on mechanical and corrosion properties of cement paste: PART I. Eng. Technol. 2019, 10, 192–201. [Google Scholar]
- Sharma, R.; Kim, H.; Pei, J.; Jang, J.G. Dimensional stability of belite-rich cement subject to early carbonation curing. J. Build. Eng. 2023, 63, 105545. [Google Scholar] [CrossRef]
- IV, G.M.; Sinnan, R.; Young, M. Evaluation of reclaimed municipal solid waste incinerator sands in concrete. J. Cleaner Prod. 2019, 229, 838–849. [Google Scholar]
- Miguel, F.; Brito, J.D.; Silva, R.V. Durability-related performance of recycled aggregate concrete containing alkali-activated municipal solid waste incinerator bottom ash. Const. Build. Mater. 2023, 397, 132415. [Google Scholar] [CrossRef]
- Elseknidy, M.; Salmiaton, A. A Study on Mechanical Properties of Concrete Incorporating Aluminum Dross, Fly Ash, and Quarry Dust. Sustainability 2020, 12, 9230. [Google Scholar] [CrossRef]
- Gireesh, M.; Sujay, R.; Sreedhara, B.M.; Manu, D.S. Investigation of concrete produced using recycled aluminium dross for hot weather concreting conditions. Resour.-Effic. Technol. 2016, 2, 68–80. [Google Scholar]
- Suescum-Morales, D.; Silva, R.V.; Bravo, M.; Jiménez, J.R.; Fernández-Rodríguez, J.M.; Brito, J.D. Effect of incorporating municipal solid waste incinerated bottom ash in alkali-activated fly ash concrete subjected to accelerated CO2 curing. J. Clean. Prod. 2022, 370, 133533. [Google Scholar] [CrossRef]
- Liu, B.; Yang, L.; Shi, J.; Zhang, S.; Yalçınkaya, Ç.; Alshalif, A.F. Effect of curing regime on the immobilization of municipal solid waste incineration fly ash in sustainable cement mortar. Environ. Pollut. 2023, 317, 120839. [Google Scholar] [CrossRef] [PubMed]
- Wang, H.; Jin, K.; Zhang, A.; Zhang, L.; Han, Y.; Liu, J.; Shi, F.; Feng, L. External erosion of sodium chloride on the degradation of self-sensing and mechanical properties of aligned stainless steel fiber reinforced reactive powder concrete. Constr. Build. Mater. 2021, 287, 06629. [Google Scholar] [CrossRef]
- Moini, R.; Olek, J.; Zavattieri, P.D.; Youngblood, J.P. Early-age buildability-rheological properties relationship in additively manufactured cement paste hollow cylinders. Cem. Concr. Compos. 2022, 131, 104538. [Google Scholar] [CrossRef]
- Athira, G.; Bahurudeen, A. Rheological properties of cement paste blended with sugarcane bagasse ash and rice straw ash. Constr. Build. Mater. 2022, 332, 127377. [Google Scholar] [CrossRef]
- Gupta, S.; Mahmood, A.H. A multi-method investigation into rheological properties, hydration, and early-age strength of cement composites with admixtures recovered from inorganic and bio-based waste streams. Constr. Build. Mater. 2022, 347, 128529. [Google Scholar] [CrossRef]
- Wang, H.; Shen, J.; Liu, J.; Lu, S.; He, G. Influence of carbon nanofiber content and sodium chloride solution on the stability of resistance and the following self-sensing performance of carbon nanofiber cement paste. Case Stud. Constr. Mater. 2019, 11, e00247. [Google Scholar] [CrossRef]
- Zhang, Y.B.; Lin, K.; Su, Z.J. Self-driven hydrolysis mechanism of secondary aluminum dross (SAD) in the hydrometallurgical process without any additives. Chem. Eng. J. 2023, 466, 143141. [Google Scholar] [CrossRef]
- Lucía, G.; Miguel, Á.V. Synthesis strategies of alumina from aluminum saline slags. Process Saf. Environ. Prot. 2023, 172, 1010–1028. [Google Scholar]
- Gou, J.; Wang, G.; Al-Tamimi, H.; Alkhalifah, T.; Alturise, F.; Ali, H.E. Application of aluminum oxide nanoparticles in asphalt cement toward non-polluted green environment using linear regression. Chemosphere 2023, 321, 137925. [Google Scholar] [CrossRef]
- Ayobami, B.; Jacques, S.; Williams, K. Data on the engineering properties of aluminum dross as a filler in asphalt. Data. Brief. 2020, 31, 105934. [Google Scholar]
- Elinwa, A.U.; Mbadike, E. The use of aluminium waste for concrete production. J. Asian Arch. Build. Eng. 2011, 10, 217–220. [Google Scholar] [CrossRef]
- Ozerkan, N.G.; Maki, O.L.; Anayeh, M.W.; Tangen, S. The effect of aluminium dross on mechanical and corrosion properties of concrete. Int. J. Innov. Res. Sci. Eng. Technol. 2014, 3, 9912–9922. [Google Scholar]
- Paktiawal, A.; Alam, M. An experimental study on effect of aluminum composite panel waste on performance of cement concrete. Ain. Shams. Eng. J. 2021, 12, 83–98. [Google Scholar] [CrossRef]
- Xu, W.; Wang, H.; Tian, X. The Effect of Secondary Aluminum Ash on the Properties of Reactive Powder Concrete. Materials 2023, 16, 5265. [Google Scholar] [CrossRef]
- Hang, T.; Luca, S.; David, B. Development of sustainable ultra-high performance concrete recycling aluminum production waste. Constr. Build. Mater. 2023, 371, 130212. [Google Scholar]
- Li, P.; Guo, M.; Zhang, M.; Teng, L.D. Leaching Process Investigation of Secondary Aluminum Dross: The Effect of CO2 on Leaching Process of Salt Cake from Aluminum Remelting Process. Metall. Mater. Trans. B 2012, 43, 1220–1230. [Google Scholar] [CrossRef]
- Haneef, S.M.; Harish, P. An Experimental Investigation on Use of Secondary Aluminium Dross in Cement Concrete. Eng. Technol. 2016, 2, 204–207. [Google Scholar]
- Pereira, D.A.; De, A.B.; Castro, F. Mechanical behaviour of Portland cement mortars with incorporation of Al-containing salt slags. Cem. Concr. Res. 2000, 30, 1131–1138. [Google Scholar] [CrossRef]
- Nduka, D.; Ede, A. Mechanical and Water Absorption Properties of Normal Strength Concrete (NSC) Containing Secondary Aluminum Dross (SAD). Int. J. Eng. Res. Afr. 2020, 47, 1–13. [Google Scholar] [CrossRef]
- Xu, L.; Li, X.B.; Liu, Y.; Chen, M.; Wang, N. Recovery of low phosphorus iron from steel slag using secondary aluminum dross as the reductant. J. Environ. Chem. Eng. 2023, 11, 110973. [Google Scholar] [CrossRef]
- Mahinroosta, M.; Allahverdi, A. Enhanced alumina recovery from secondary aluminum dross for high purity nanostructured γ-alumina powder production: Kinetic study. J. Environ. Manag. 2018, 212, 278–291. [Google Scholar] [CrossRef] [PubMed]
- Xu, J.; Wang, H.; Wang, W.; Shi, F. The Influence of CO2-Cured Incinerated Waste Fly Ash on the Performance of Reactive Powder Concrete. Coatings 2023, 13, 709. [Google Scholar] [CrossRef]




















| Types | Particle Size/μm | ||||||
|---|---|---|---|---|---|---|---|
| 0.3 | 0.6 | 1 | 4 | 8 | 64 | 360 | |
| OPC | 0.12 | 0.37 | 3.09 | 14.77 | 29.14 | 92.61 | 100 |
| FA | 32.04 | 59.01 | 82.99 | 99.8 | 99.9 | 100 | 100 |
| QS | 0 | 0 | 0 | 0 | 0.036 | 23.95 | 100 |
| SAD | 0.039 | 0.31 | 0.55 | 1.10 | 3.94 | 25.35 | 88.13 |
| WFA | 0.13 | 0.51 | 2.29 | 17.36 | 31.14 | 97.10 | 100 |
| Types | SiO2 | Al2O3 | FexOy | MgO | CaO | SO3 | K2O | Na2O | TiO2 | Loss on Ignition |
|---|---|---|---|---|---|---|---|---|---|---|
| OPC | 20.2 | 5.7 | 3.8 | 1.8 | 62.3 | 2.9 | - | - | - | 3.0 |
| FA | 90.1 | 0.3 | 0.6 | 0.3 | 0.45 | 0.2 | 7.4 | - | - | - |
| QS | 98.4 | - | 1.4 | - | - | - | - | - | - | - |
| SAD | 4.6 | 78.9 | 4.4 | 5.1 | 1.7 | - | - | 0.9 | - | - |
| WFA | 22.3 | 4.5 | 0.8 | - | 20.1 | 9.5 | 5.9 | 4.4 | 10.1 | 21.1 |
| Water | OPC | SAD | WFA | FA | QS | WR |
|---|---|---|---|---|---|---|
| 240.2 | 657.9 | 0 | 364.0 | 182.0 | 961.5 | 16.0 |
| 240.2 | 657.9 | 91.0 | 273.0 | 182.0 | 961.5 | 16.0 |
| 240.2 | 657.9 | 182.0 | 182.0 | 182.0 | 961.5 | 16.0 |
| 240.2 | 657.9 | 273.0 | 91.0 | 182.0 | 961.5 | 16.0 |
| 240.2 | 657.9 | 364.0 | 0 | 182.0 | 961.5 | 16.0 |
| Equation | Types | a | b | c | d | R2 |
|---|---|---|---|---|---|---|
| Cr = at3 + bt2 + ct + d | 0%-SAD | −1.36 × 10−4 | 0.0012 | −6.71 × 10−4 | 6.80 × 10−5 | 0.99 |
| 25%-SAD | −8.13 × 10−5 | 7.83 × 10−4 | −6.82 × 10−4 | 1.36 × 10−4 | 0.99 | |
| 50%-SAD | −4.61 × 10−5 | 4.82 × 10−4 | −4.53 × 10−4 | 1.11 × 10−4 | 0.97 | |
| 75%-SAD | −7.91 × 10−6 | 5.77 × 10−5 | 1.83 × 10−4 | −2.46 × 10−5 | 0.98 | |
| 100%-SAD | −5.04 × 10−6 | 5.86 × 10−5 | −7.71 × 10−5 | 2.07 × 10−5 | 0.94 | |
| Zn = at3 + bt2 + ct + d | 0%-SAD | −2.42 × 10−5 | 1.97 × 10−4 | −1.19 × 10−4 | 1.28 × 10−5 | 0.99 |
| 25%-SAD | −1.51 × 10−5 | 1.34 × 10−4 | −1.19 × 10−4 | 2.32 × 10−5 | 0.97 | |
| 50%-SAD | −8.95 × 10−6 | 8.41 × 10−5 | −8.15 × 10−5 | 1.89 × 10−5 | 0.95 | |
| 75%-SAD | −1.77 × 10−6 | 1.16 × 10−5 | 2.60 × 10−5 | −3.47 × 10−6 | 0.97 | |
| 100%-SAD | −1.02 × 10−6 | 1.04 × 10−5 | −1.38 × 10−5 | 3.30 × 10−6 | 0.91 |
Disclaimer/Publisher’s Note: The statements, opinions and data contained in all publications are solely those of the individual author(s) and contributor(s) and not of MDPI and/or the editor(s). MDPI and/or the editor(s) disclaim responsibility for any injury to people or property resulting from any ideas, methods, instructions or products referred to in the content. |
© 2024 by the authors. Licensee MDPI, Basel, Switzerland. This article is an open access article distributed under the terms and conditions of the Creative Commons Attribution (CC BY) license (https://creativecommons.org/licenses/by/4.0/).
Share and Cite
Sun, H.; Shi, F.; Wang, H. The Properties of Ultra-High-Performance Concrete with Assembly Unit of Secondary Aluminum Dross and Waste Fly Ash. Coatings 2024, 14, 89. https://doi.org/10.3390/coatings14010089
Sun H, Shi F, Wang H. The Properties of Ultra-High-Performance Concrete with Assembly Unit of Secondary Aluminum Dross and Waste Fly Ash. Coatings. 2024; 14(1):89. https://doi.org/10.3390/coatings14010089
Chicago/Turabian StyleSun, Houchao, Feiting Shi, and Hui Wang. 2024. "The Properties of Ultra-High-Performance Concrete with Assembly Unit of Secondary Aluminum Dross and Waste Fly Ash" Coatings 14, no. 1: 89. https://doi.org/10.3390/coatings14010089
APA StyleSun, H., Shi, F., & Wang, H. (2024). The Properties of Ultra-High-Performance Concrete with Assembly Unit of Secondary Aluminum Dross and Waste Fly Ash. Coatings, 14(1), 89. https://doi.org/10.3390/coatings14010089

