Abstract
Mg2Ni hydrogen storage alloy has the advantages of large hydrogen storage per unit mass, low price, and abundant resources, but there are shortcomings such as activation difficulties and poor kinetic performance. This paper improves the performance of Mg2Ni hydrogen storage alloy by adding Ti and Mn alloying elements. Mg1.6Ni1-xTi0.4Mnx (x = 0~0.3) hydrogen storage alloys with different Mn contents were prepared by the solid phase diffusion method. The physical structure and microscopic morphology of the prepared alloys were characterized using XRD and SEM techniques, and their charge/discharge and electrochemical properties were tested using a battery tester and an electrochemical workstation. The results show that the solid phase diffusion reaction of the prepared alloys resulted in the formation of the Mg phase with a layered structure, a Mg2Ni hydrogen storage phase, and intermetallic compounds Ni3Ti and Mg3MnNi2 phases. The presence of Ni3Ti and Mg3MnNi2 phases improved the activation properties and discharge capacity of the alloys. The alloys with Mn addition all reached the maximum discharge capacity at the first cycle. The maximum discharge capacity increased from 50.45 mAh/g without Mn addition to 96.67 mAh/g at x = 0.3. The maximum discharge capacity of the alloy increased to 165.52 mAh/g at 323 K. The maximum discharge capacity of the alloy increased from 50.45 mAh/g without Mn addition to 96.67 mAh/g. And its corrosion current density was reduced from 0.96 mA/g without Mn addition to 0.3 mA/g.
1. Introduction
World economic and population growth, as well as rapid urbanization, have driven the growth of energy demand and the escalation of fossil fuel consumption [1]. Nevertheless, the environmental detriment resulting from the utilization of fossil fuels has also grown increasingly prominent, thereby stimulating the continuous research and development of green energy systems worldwide [2,3]. Hydrogen energy has become an ideal alternative to traditional energy sources and an ideal clean energy source due to its non-pollution, high availability, and high combustion efficiency [4,5,6,7]. The application of the hydrogen energy industry involves three key stages: hydrogen production, storage, and transport, but how to store hydrogen efficiently and safely is the key to the development of hydrogen energy [8,9,10,11]. Compared to high-pressure and liquid hydrogen storage methods, solid-state hydrogen storage has significant advantages such as high hydrogen storage density, safety, flexibility, and versatility, and therefore demonstrates great potential for development. Among the solid-state hydrogen storage materials, magnesium-based hydrogen storage alloys are characterized by their light weight, low price, abundant raw materials, and strong hydrogen storage capacity, and their theoretical hydrogen storage capacity can be as high as 7.6 wt.%, which is one of the most promising hydrogen storage media [12,13]. However, magnesium-based hydrogen storage alloys also have some shortcomings, mainly including poor hydrogenation–dehydrogenation kinetic characteristics, slow hydrogen absorption and release rates, too high hydrogen release temperatures, and poor corrosion resistance in alkaline fluids, which limit their practical applications. New preparation processes [14], element substitution [15], and other methods to change the microstructure of the alloy are common methods to improve the cycle life and discharge performance of Mg2Ni alloy electrodes [5,16]. Usually, the partial substitution of Mg by main group metal elements and Ni by transition metal elements is used in order to reduce the hydrogen absorption and discharge temperature of the alloy and to maintain a high hydrogen absorption capacity [17,18]. Most of the studies focused on Ti and Zr replacement elements; Ti is a very reactive metal and very prone to hydrogen absorption. The presence of Ti brings about a higher discharge capacity and better cycling stability [19,20,21]; Zr can create additional sites for hydrogen storage in the alloy crystal structure, which increases the alloy discharge capacity [22,23].
Zhang [24] investigated the effect of Ti content on the discharge capacity, cycle life, and high-rate discharge performance of Mg-Ti-Ni ternary electrode alloys prepared by the mechanical alloying method. The results showed that the cycle stability of the Mg50-xTixNi50 alloy increased with an increase in the Ti content, but the discharge capacity and high-rate discharge capability both decreased. Zhang [25] prepared precursor Ni0.92M0.08 by wet milling Ti, V, Fe, Si, and Ni, respectively, and then sintered Mg with the precursor to prepare Mg2Ni0.92M0.08 (M = Ti, V, Fe, Si) alloy. It was found that the alloys obtained after the replacement of the Ni element in Mg2Ni by Ti, V, and Fe exhibited excellent hydrogen absorption and release properties. This is manifested in the reduction in the dehydrogenation activation energy, which means that the alloy requires less energy in the hydrogen absorption and release process, thus improving its hydrogen storage efficiency; the Ti-substituted compounds still maintain good properties at relatively low temperatures (250 °C), and the Ti substitution not only optimizes the thermodynamic properties of the alloys, but also broadens the temperature range for their practical applications. Zhang [26] successfully prepared Mg20Ni10-xCux (x = 0~4) alloy using the melt spinning technique. The results showed that the discharge capacity of the alloy showed a trend of increasing and then decreasing with the gradual substitution of Cu for Ni. Meanwhile, the electrochemical cycling stability of the alloy increases monotonically with an increase in the Cu content. This indicates that the appropriate amount of Cu substitution can enhance the discharge performance of the alloy to a certain extent and significantly increase its cycle stability. To further improve the performance of ternary hydrogen storage alloys, some researchers have added a fourth component based on ternary alloys. For example, Yang [27] introduced Ti into Mg3AlNi2 to partially replace Al and improve the electrochemical hydrogen storage properties of Mg3AlNi2. Mg3Al1-xTixNi2 (x = 0, 0.2, 0.4, 0.6) alloys were prepared by sintering using ultrasonic dispersion and high-energy ball milling pretreatment. The decrease in the discharge capacity of Mg3Al1-xTixNi2 (x = 0, 0.2, 0.4, 0.6) alloys was mainly attributed to the comminution of alloy particles in the electrolyte. The kinetic properties of the alloys were further investigated using constant potential discharge, linear polarization, and electrochemical impedance spectroscopy, and it was found that the appropriate substitution of Ti for Al could greatly improve the surface activity and hydrogen diffusion capacity of the Mg3AlNi2 electrode alloy. Tetrameric alloys can further improve the hydrogen storage performance of ternary alloys, but at present there are relatively few studies on tetrameric hydrogen storage alloys, so in this paper, we chose two transition metal elements, Ti and Mn, to be added to Mg2Ni alloys, and obtained the Mg-Ni alloys with excellent performance through tetrameric alloying.
2. Experimental Procedure and Methods
2.1. Experimental Materials
The raw materials consisted of high purity magnesium ingots (>99.7% pure), pure nickel powder, pure titanium powder, and pure manganese powder (all powders > 99.9% pure and 200 mesh size). The study also used analytically pure grades of potassium hydroxide as well as nickel foam mesh with a purity of 99.8%.
2.2. Preparation of Alloy
Pure nickel powder, pure titanium powder, and pure manganese powder were mixed and ground according to the mass ratio in Table 1, and then uniformly wrapped around the magnesium ingot and put into the mould. In the HY-12 tablet press, the sample was left for 1 min every 5 MPa until it was pressurized to 30 MPa and kept for 20 min to produce a Φ18 mm sample. The samples were then put into a GSL-1400 tube furnace with a vacuum of 10−5pa, evacuated and filled with argon, heated to 600 °C for 4 h, and then cooled with the furnace to obtain the as-cast alloys. Four cast alloys (molar ratios) were obtained as Mg1.6NiTi0.4, Mg1.6Ni0.9Ti0.4Mn0.1, Mg1.6Ni0.8Ti0.4Mn0.2, and Mg1.6Ni0.7Ti0.4Mn0.3, respectively. The mass percentage of each element in the prepared alloys is shown in Table 1. To compensate for the possible loss of magnesium during the sintering process, an additional 10 wt.% of magnesium was required.
Table 1.
Mass percentage of each component required for alloy preparation.
2.2.1. Microstructure Analysis
The surface of the as-cast samples was polished to remove the oxide skin before the as-cast alloy was physically rolled into a 200-mesh powder, and the phase composition of the powdered samples was analyzed using a D/MAX-2500 model X-ray diffractometer (XRD). The test conditions were as follows: Cu target Kα rays, scanning speed of 5°/min, scanning range of 2θ = 10~80°, voltage 40 KV, current 150 mA. The surface morphology of the alloy before the electrochemical reaction and after several electrochemical cycles was observed using a VEGA3 model scanning electron microscope (SEM). Test conditions: accelerating voltage 30 kV, magnification 10~200 K.
2.2.2. Electrochemical Performance Test
Electrode preparation: a high-capacity Ni (OH)2/NiOOH electrode was used for the positive electrode; for the negative electrode, 0.3 g of alloy was mixed with nickel powder 1:3 and put into an HY-12 press to press gradually at an increment of 5 MPa, pressurizing it to 25 MPa and keeping it in 10 min for demolding. Then the electrode sheet was wrapped with nickel foam mesh and pressed at 10 MPa for 5 min, and a nickel-plated steel strip was fixed at one end of the electrode as the lead wire. The pressed electrode was connected to the BTS-5V6A model Xin Wei battery tester and was soaked in a 5 mol/L KOH solution for 60 min for testing; the reference electrode was a Hg/HgO electrode. Activation and cycling test: Charge at 100 mA/g current density for 3 h, leave it for 2 min, wait for its potential to stabilize, and then discharge at 25 mA/g current density to 1.0 V; leave it for 2 min after the end of discharge, and cycle. The treated electrodes were discharged at high rates at 50, 100, 200, and 400 mA/g. Electrochemical performance test: The electrochemical impedance spectra (EIS) and polarization curves (Tafel) of the alloys were measured using an electrochemical workstation model CHI660E at room temperature. The alloy electrodes were immersed in 5 mol/L KOH electrolyte for 1 h, then charged at a current density of 100 mA/g for 3 h and left to stand for 2 min, and then the EIS and Tafel tests were performed at a depth of discharge of 50% DOD (the actual discharged power accounted for half of the rated charging capacity during the process of discharging). The EIS scanning frequency at 100 kHz to 10.0 mHz with a perturbation potential magnitude of 5 mV; Tafel voltage −1.4 V to +1.0 V, scanning at 5 mV/s, data fitted with ZSimDemo 3.30d.
3. Experimental Results and Discussions
3.1. Effect of Mn Addition on Phase Composition and Microstructure of Alloys
According to the analysis of the XRD patterns of the alloy in Figure 1, when Mn is not added, the main components of the alloy are Mg, Mg2Ni, Ni3Ti, and a small amount of Ni, which exist in the alloy in the form of their respective characteristic peaks. When Mn is added to the alloy, an intermetallic compound Mg3MnNi2 with cubic structure is formed, and it can be observed that with an increase in the Mn content, the intensity of Mg3MnNi2 diffraction peaks is enhanced, while the intensity of Mg2Ni diffraction peaks is weakened, which indicates an increase in the content of the Mg3MnNi2 phase and a decrease in the content of the Mg2Ni phase. It has been shown that the Mg(6i) lattice positions in the Mg2Ni cell can be replaced by three Mn atoms [18], resulting in the formation of nine Mg3MnMg(6i) hex nickel compounds with a cubic structure (usually written Mg3MnNi2). The intermetallic compound Mg3MnNi2 usually coexists with Mg when Mg2Ni is doped with metallic elements such as Mn and Ti [16]. So, in all alloy samples, we can observe the presence of Mg. When x = 0 (i.e., when no Mn is added), as shown by the X-ray diffraction (XRD) peak intensities, the content of Mg even exceeds that of Mg2Ni, which indicates that Mg dominates the alloy. In addition, due to the significant difference in atomic radii between Ti and Mg, it is difficult to form the intermetallic compound Mg3TiNi2 between them. On the contrary, due to the strong affinity between Ti and Ni, they are more inclined to form the Ni3Ti compound, which is verified in the XRD patterns. The reason for not observing the characteristic peaks of Mg3TiNi2 in the XRD patterns is due to the fact that the crystal structure of Mg3TiNi2 is similar to that of Mg3MnNi2, but the atomic radius of Ti is larger, and thus it can be inferred that the difficulty in the formation of Mg3TiNi2 is due to the mismatch between the atomic radius of Ti and that of Mg and Ni [16].
Figure 1.
X-ray diffraction (XRD) pattern of Mg1.6Ni1-xTi0.4Mnx (x = 0~0.3).
The SEM photographs of the Mg1.6Ni1-xTi0.4Mnx (x = 0~0.3) alloy are shown in Figure 2, and Table 2 shows the atomic percentage of each element obtained after energy spectral analysis of points A, B, C, and D in Figure 2. From Figure 2, it can be observed that the different phases in the alloy show a layered distribution and are interspersed between the different layers. As can be seen from Table 2, point A is mainly composed of Ni and Ti elements in addition to a small amount of Mg and O. Combined with the XRD spectral analysis, the physical phase corresponding to this point is the Ni3Ti phase. From Figure 2a, it can be observed that the Ni3Ti phase is in the form of dark grey flakes. After the addition of Mn elements, the elements at point B are mainly Mg and Ni elements, point C mainly contains Mg, and point D mainly contains Mg, Ni, and Mn elements, and combined with the XRD energy spectrum analysis, the points B, C, and D are Mg2Ni, Mg, and Mg3MnNi2 phases, respectively. From Figure 2b–d, the corresponding SEM shows dark grey regular flakes, corrugated flakes, and light grey irregular flakes, respectively. From Figure 2, with an increase in the Mn content, the dark grey flaky Mg2Ni phase gradually decreases, and the light grey flaky Mg phase gradually increases. The results are consistent with those of XRD patterns.
Figure 2.
Scan of Mg1.6Ni1-xTi0.4Mnx (x = 0~0.3) alloy; (a) Mg1.6NiTi0.4, (b) Mg1.6Ni0.9Ti0.4Mn0.1, (c) Mg1.6Ni0.8Ti0.4Mn0.2, (d) Mg1.6Ni0.7Ti0.4Mn0.3.
Table 2.
Mg1.6Ni1-xTi0.4Mnx (x = 0~0.3) atomic gravity content of alloy points.
3.2. Effect of Mn Addition on the Charge/Discharge Performance of the Alloy Electrode
3.2.1. Maximum Discharge Capacity and Cycle Stability
The maximum discharge capacity curves of the Mg1.6Ni1-xTi0.4Mnx (x = 0~0.3) alloy are shown in Figure 3. It can be seen from the figure that the discharge capacity increases with an increase in the Mn content, from 50.45 mAh/g without Mn addition to 96.67 mAh/g with a Mn addition of x = 0.3. The voltage of the discharge plateau also increases gradually with an increase in the Mn content, and the discharge capacity of the alloy is significantly improved. The difference between the maximum discharge capacities is mainly attributed to the different contents of the hydrogen storage phase Mg2Ni, the intermetallic compound Ni3Ti, and Mg3MnNi2 in the alloy. The Mg3MnNi2 phase, on the other hand, has excellent electrochemical properties due to its unique crystal structure and chemical composition. When the Mg3MnNi2 phase serves as an important component of the alloy, it can significantly improve the electrochemical activity of the whole alloy [28]. This results in a significant increase in the transfer rate of electrons and ions during the discharge process of the alloy, which further improves the discharge efficiency. H atoms can dissolve in the octahedral and tetrahedral interstices of the Mg3MNi2 lattice of intermetallic compounds with cubic structure, providing storage space for H atoms. The subsequent transfer of H atoms into Mg and Mg2Ni results in the formation of metal hydrides (MgH2 and Mg2NiH4). This enables the alloys to enhance the transfer rate of electrons and ions during the discharge process, which further improves the discharge efficiency [29].
Figure 3.
Maximum discharge capacity curve of Mg1.6Ni1-xTi0.4Mnx (x = 0~0.3).
The maximum discharge capacity curve of the Mg1.6Ni1-xTi0.4Mnx (x = 0~0.3) alloy at 323k is shown in Figure 4. The maximum discharge capacity of the alloy increases with increasing temperature from 96.67 mAh/g at x = 0.3 to 165.52 mAh/g. This indicates that temperature has a facilitating effect on the increase in the discharge capacity and that increasing the temperature improves the kinetic properties and the rate of hydrogen uptake and discharge, which is manifested as an increase in the discharge capacity [30]. When the temperature rises, the rate of chemical reactions inside the battery accelerates. This is because high temperatures increase the frequency of collisions between molecules, making it easier for reactants to meet and react. The accelerated chemical reaction rate results in more energy being stored and released inside the battery, which increases the discharge capacity of the battery.
Figure 4.
Maximum discharge capacity curve of Mg1.6Ni1-xTi0.4Mnx (x = 0~0.3) electrode at 323 K.
It can be seen from Figure 5a that the discharge capacity of the alloyed electrodes gradually increases with increasing Mn content. The activation properties of the alloys were not significantly affected, and all the alloys reached the maximum discharge capacity in the first cycle. The discharge capacity of the samples in the first charge/discharge cycle was 96.67 mAh/g with a Mn addition of 0.3. One reason for the increase in the discharge capacity of the alloys is due to the excellent mechanical properties and thermal stability of the Ni3Ti phase, the presence of which significantly improves the structural stability of the Mg-based hydrogen storage alloys. During hydrogen storage and discharge, the alloy undergoes volume changes, and the Ni3Ti phase can effectively alleviate the stress concentration caused by such volume changes, preventing the destruction of the alloy structure and thus improving the cycle life of the alloy. The Ni3Ti phase in the alloy can also play a role in promoting the diffusion and transport of hydrogen. Due to the interfacial effect between the Ni3Ti phase and the magnesium matrix, the diffusion rate of hydrogen atoms at the interface will be faster, which will be conducive to the rapid storage and release of hydrogen in the alloy; another reason is that the Mg3MnNi2 phase can promote the diffusion and storage of hydrogen in the alloy. The diffusion rate of hydrogen atoms in the alloy is one of the important factors affecting the discharge capacity, and the Mg3MnNi2 phase has a suitable crystal structure and chemical composition that can facilitate the diffusion and storage of hydrogen atoms. This enables the alloy to release the stored hydrogen atoms more efficiently during the discharge process, thereby increasing the maximum discharge capacity. In addition, the Mg3MnNi2 phase improves the cycling stability of the alloy and reduces the degradation of performance during the charge/discharge cycle, allowing a higher maximum discharge capacity.
Figure 5.
Cycling stability and capacity retention curves of Mg1.6Ni1-xTi0.4Mnx (x = 0~0.3) alloy electrode; (a) cycling stability curve, (b) capacity retention curve.
For the four alloys studied, it was observed that the discharge capacity declines with an increasing number of cycles, as shown in Figure 5b. The main reasons for the capacity decay of magnesium-based hydrogen storage alloy electrodes during charge/discharge cycling are the chalking, oxidation, and corrosion processes during cycling, as shown in Figure 6 and Figure 7. In particular, after prolonged immersion of the alloy in a strong alkaline solution, a Mg(OH)2 layer is formed and gradually thickened on the surface, and this change hinders the effective diffusion of H+ in the KOH solution. The XRD patterns of the alloy before and after electrochemical cycling are shown in Figure 6. After 40 charge/discharge cycles, the peak of Mg (OH)2 appeared, confirming the oxidation of the alloy in the KOH solution during the charge/discharge cycling process. The increase in the peak of Ni was attributed to the decomposition of the alloy and the addition of Ni during the electrode preparation process. The peak of the Ni3Ti phase was still present after 40 charge/discharge cycles, indicating that the Ni3Ti phase was relatively stable during the charge/discharge cycling process. MgO remained after 40 cycles due to its low solubility in KOH solution and slow reaction with H2O.
Figure 6.
XRD of Mg1.6NiTi0.4 alloy before and after 40 cycles.
Figure 7.
Scanning electron microscopy (SEM) image of Mg1.6NiTi0.4 alloy after 40 heavy charge/discharge cycles.
The pulverization of the alloy is due to the constant movement of hydrogen atoms in and out of the grain cells, leading to the generation and accumulation of stresses, as shown in Figure 7. The stress gradually increases with time, and when a certain critical value is reached, the grain cell will rupture. The specific surface area of the pulverized alloy particles increases, as does the area in contact with the electrolyte, accelerating the oxidation process and reducing the amount of active material available for hydrogen storage, thereby reducing the discharge capacity. The volume expansion and contraction of the alloy during hydrogen uptake and discharge also promotes chalking as the number of cycles increases. This is a process in which small changes gradually accumulate to produce significant effects. During the continuous charging and discharging process, hydrogen atoms continue to enter and leave the lattice of the hydrogen storage alloy, causing the lattice to expand and contract repeatedly. This process gradually leads to the formation of microscopic fatigue cracks in the hydrogen storage alloy. During the subsequent charging process, the ingress of hydrogen atoms generates further stress and promotes the expansion of fatigue cracks. When the crack expands beyond a critical size, the alloy powder will fracture from the crack, and this process will continue, eventually leading to complete pulverization of the hydrogen storage alloy.
3.2.2. High-Rate Discharges
Figure 8 shows the high-rate discharge curve of Mg1.6Ni1-xTi0.4Mnx (x = 0~0.3) alloy electrodes, and the high-rate discharge (HRD) values of Mg1.6Ni1-xTi0.4Mnx (x = 0~0.3) alloy electrodes are obtained from Figure 8, as shown in Table 3. It can be observed from Figure 8 that the high-rate discharge performance shows a decreasing trend as the discharge current density gradually increases from 50 mAh/g to 400 mAh/g. However, starting from a particular discharge current density, the high-magnification discharge performance is instead improved with an increase in the Mn content. As can be seen from Table 3, the HRD value is most significantly enhanced when the discharge current density is 100 mAh/g. From 46.17% when no Mn element is added, it is enhanced to 55.27% when the Mn addition is x = 0.3. Mg3MnNi2, Mg2Ni, and Ni3Ti coexist in the prepared alloy, in which the Mg3MnNi2 phase has good electrocatalytic ability, and in the process of hydrogen adsorption and release, the Mg3MnNi2 phase can be used as a catalyst to promote the adsorption and release process of hydrogen molecules on the surface of the alloy, so as to reduce the activation energy of the hydrogen adsorption and release reaction and increase the reaction rate; the Mg3MnNi2 phase can also promote the dissociation of hydrogen in Mg2Ni and accelerate the charge transfer reaction on the surface of the electrode alloy during the discharge process to improve the high-rate discharge performance.
Figure 8.
High-rate discharge curve of Mg1.6Ni1-xTi0.4Mnx (x = 0~0.3) alloy electrode.
Table 3.
HRD values of Mg1.6Ni1-xTi0.4Mnx (x = 0~0.3) alloy electrodes.
3.3. Effect of Mn Element on Electrochemical Performance of Alloy Electrode
3.3.1. AC Impedance Testing
Electrochemical impedance spectroscopy (EIS) was used to qualitatively characterize the charge transfer capability of the alloy electrode surface [31]. The AC impedance diagram of the Mg1.6Ni1-xTi0.4Mnx (x = 0.1~0.3) alloy electrode is shown in Figure 9a, and each curve in the diagram consists of a small semicircle and a large semicircle, where the small semicircle is in the high-frequency region and the large semicircle is in the low-frequency region. The small semicircular arc in the high-frequency region reflects the contact resistance between the alloy particles and the conductive agent (R2), whereas the large semicircular arc in the low-frequency region reflects the charge transfer resistance resulting from the electrochemical reaction occurring on the surface of the alloy electrodes, i.e., the electrochemical reaction impedance (R3) shown in the equivalent circuit of Figure 9b. The kinetic properties are analyzed mainly from the semicircle in the low frequency region. The smaller the semicircle, the smaller the charge transfer resistance and the higher the electrocatalytic activity. The EIS data of the Mg1.6Ni1-xTi0.4Mnx (x = 0.1~0.3) alloy electrode was fitted using the ZSimDemo 3.30d software, and the data obtained from the fitting are shown in Table 4. From the graphs, the electrochemical reaction impedance decreases with an increase in the Mn content from 10.5 Ωg without the addition of Mn to 7.3 Ωg with the addition of Mn at x = 0.3.
Figure 9.
AC impedance diagram and equivalent circuit diagram of Mg1.6Ni1-xTi0.4Mnx (x = 0.1~0.3) alloy electrode; (a) AC impedance diagram, (b) equivalent circuit diagram.
Table 4.
AC impedance values of Mg1.6Ni1-xTi0.4Mnx (x = 0~0.3) alloys.
3.3.2. Corrosion Resistance Test
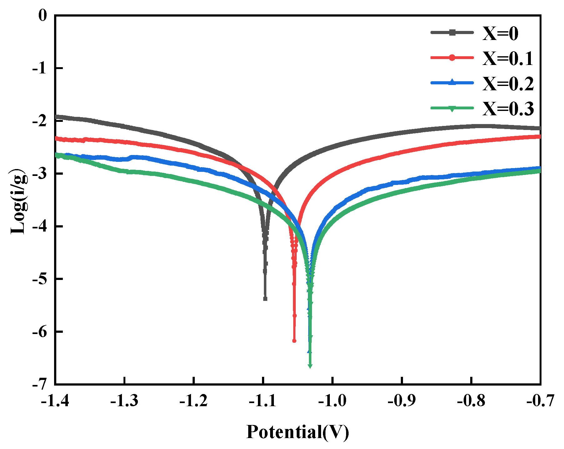
Figure 10 shows the electrode Tafel curve of the Mg1.6Ni1-xTi0.4Mnx (x = 0~0.3) alloy, and the values of self-corrosion current and self-corrosion voltage of the alloy obtained from Figure 10 are shown in Table 5. It can be seen from Figure 10 that after the addition of the element Mn, the corrosion potential of the polarization curve shifted to the positive direction, and the corrosion current was reduced, which indicated that the addition of the element Mn improved the corrosion resistance of the alloy. The decrease in corrosion current density is a key indicator to evaluate the improvement of corrosion resistance of materials, which intuitively reflects the significant improvement of resistance to the electrochemical corrosion reaction of alloys in the face of a corrosive environment [32]. And with the increase in the Mn element addition, the polarization curve gradually shifted to the lower right, so the increase in the Mn element content addition helps to further improve the corrosion resistance. As can be seen from Table 5, with an increase in the Mn content, the corrosion potential of the alloy moves positively from −1.08 V without the addition of Mn content to −1.06V, −1.04 V, −1.03 V when the addition of Mn is x = 0.1, 0.2, 0.3, and the corrosion current density decreases from 0.96mA/g without the addition of 0.96 mA/g to 0.8 mA/g, 0.67 mA/g, 0.3 mA/g, respectively. mA/g, of which the corrosion current density of the alloy with the Mn addition of x = 0.3 is the lowest, which is 70% lower than that of the unadded Mn element, has the best corrosion resistance. This may be due to the formation of a new phase of Mg3MnNi2 with the addition of Mn, which improves the corrosion resistance of the alloy. The addition of Mn improves the corrosion resistance of the alloy in KOH solution. This will improve the stability of the alloy during charging and discharging.
Figure 10.
Tafel curve of Mg1.6Ni1-xTi0.4Mnx (x = 0~0.3) alloy electrode.
Table 5.
Self-corrosion potentials and self-corrosion current densities of Mg1.6Ni1-xTi0.4Mnx (x = 0~0.3) alloy electrodes.
4. Conclusions
Mg2Ni alloy has the advantages of large hydrogen storage capacity, abundant resources, and low price, but there are some disadvantages, such as poor cycling stability and activation difficulties, which limit the wide application. To address this problem, this paper prepares Mg1.6Ni1-xTi0.4Mnx (x = 0~0.3) tetrameric hydrogen storage alloy by the solid-phase diffusion reaction method and draws the following conclusions through testing and analysis:
- Mg1.6Ni1-xTi0.4Mnx (x = 0~0.3) alloys show an apparent multiphase organization including Mg, Mg2Ni, Ni3Ti, Mg3MnNi2, and a small amount of the Ni phase. The Mg3MnNi2 phase gradually increases with increasing Mn content. The formation of this compound is due to the substitution of some of the Mg atoms in the Mg2Ni cell by Mn atoms and their combination with Ni atoms.
- The electrochemical properties of the alloys are improved with an increase in the Mn content, the maximum discharge capacity of the alloys is increased from 50.45 mAh/g without the addition of Mn to 96.67 mAh/g at x = 0.3, and the cycling stability is improved. The activation property of the alloy electrode remains unchanged, the maximum discharge capacity is reached at the first discharge, and its discharge capacity increases to 165.52 mAh/g at 50 °C.
- The high-rate discharge performance of the alloy is improved with an increase in the Mn content, especially when the discharge current density is 100 mAh/g, the improvement is more obvious, the HRD100% is increased from 46.17% without the addition of the Mn element to 55.27% when the Mn content is 0.3, and its corrosion current density is also reduced from 0.96 mA/g to 0.3 mA/g.
Author Contributions
Conceptualization, J.W. and Y.L.; methodology, J.W. and Y.L.; software, J.W. and Y.L.; validation, Y.L. and J.F.; formal analysis, J.W., Y.L., J.F., F.W., J.L, D.J., J.F. and J.M.; investigation, J.W., Y.L., J.F., F.W., D.J., J.F. and J.M.; resources, J.W.; data curation, Y.L., J.F. and F.W.; writing—original draft preparation, Y.L and J.L.; writing—review and editing, J.W., F.W., J.L., D.J., J.F., X.Z. and J.M.; visualization, J.W. and Y.L.; supervision, J.W., D.J., X.Z. and J.M.; project administration, J.W. and D.J.; funding acquisition, J.W. All authors have read and agreed to the published version of the manuscript.
Funding
This research was funded by Science Research Project of Hebei Education Department [grant numbers ZD2020189].
Institutional Review Board Statement
Not applicable.
Informed Consent Statement
Informed consent was obtained from all subjects involved in the study.
Data Availability Statement
The raw/processed data required to reproduce these findings cannot be shared at this time as the data also form part of an ongoing study.
Conflicts of Interest
Feilong Wang is employed to Anshan Iron and Steel Company Limited. Dongying Ju is employed to Tokyo Green Power Electric Technology, Co., Ltd. The rest of the authors declare no conflict of interest.
References
- Olabi, A.G.; Bahri, A.S.; Abdelghafar, A.A.; Baroutaji, A.; Sayed, E.T.; Alami, A.H.; Rezk, H.; Abdelkareem, M.A. Large-Vscale Hydrogen Production and Storage Technologies: Current Status and Future Directions. Int. J. Hydrogen Energy 2021, 46, 23498–23528. [Google Scholar] [CrossRef]
- Lang, C.; Jia, Y.; Yao, X. Recent Advances in Liquid-Phase Chemical Hydrogen Storage. Energy Storage Mater. 2020, 26, 290–312. [Google Scholar] [CrossRef]
- Yang, L.; Zeng, W.; Li, Y. Advancements in the Modification of Magnesium-Based Hydrogen Storage Materials. Prog. Nat. Sci. Mater. Int. 2024, 34, 540–554. [Google Scholar] [CrossRef]
- Ma, N.; Zhao, W.; Wang, W.; Li, X.; Zhou, H. Large Scale of Green Hydrogen Storage: Opportunities and Challenges. Int. J. Hydrogen Energy 2024, 50, 379–396. [Google Scholar] [CrossRef]
- Yong, H.; Yan, P.; Chen, Y.; Zhang, Q.; Wang, S.; Sheng, Z.; Hu, J. Investigation of Microstructure, Hydrogen Storage Performance of Re-Mg-Based Alloy Modified byRE2O3 (RE = Dy, Er, Yb). Process Saf. Environ. Prot. 2024, 191, 1368–1376. [Google Scholar] [CrossRef]
- Wu, H.; Ji, Y.; Chen, Y.; Zhang, Y.; Yong, H.; Zhang, Y. Microstructure, Hydrogen Storage Properties, and Thermodynamic Characterization of Ball-Milled Mg90Ni5Y5 Alloy. J. Phys. Chem. Solids 2024, 195, 112284. [Google Scholar] [CrossRef]
- Sarı, A.; Sulukan, E.; Özkan, D.; Sıdkı Uyar, T. Environmental Impact Assessment of Hydrogen-Based Auxiliary Power System Onboard. Int. J. Hydrogen Energy 2021, 46, 29680–29693. [Google Scholar] [CrossRef]
- Shu, K.; Guan, B.; Zhuang, Z.; Chen, J.; Zhu, L.; Ma, Z.; Hu, X.; Zhu, C.; Zhao, S.; Dang, H.; et al. Reshaping the Energy Landscape: Explorations and Strategic Perspectives on Hydrogen Energy Preparation, Efficient Storage, Safe Transportation and Wide Applications. Int. J. Hydrogen Energy 2025, 97, 160–213. [Google Scholar] [CrossRef]
- Li, X.; Yuan, Z.; Liu, C.; Sui, Y.; Zhai, T.; Hou, Z.; Han, Z.; Zhang, Y. Research Progress in Improved Hydrogen Storage Properties of Mg-Based Alloys with Metal-Based Materials and Light Metals. Int. J. Hydrogen Energy 2024, 50, 1401–1417. [Google Scholar] [CrossRef]
- Yan, S.; Wei, L.; Gong, Y.; Yang, K. Enhanced Hydrogen Storage Properties of Magnesium Hydride by Multifunctional Carbon-Based Materials: A Review. Int. J. Hydrogen Energy 2024, 55, 521–541. [Google Scholar] [CrossRef]
- Zhang, J.; Jin, R.S.; Pang, X.T.; Zhou, X.J.; Lu, X.Z.; Yu, L.P.; Chen, X.M.; Yu, X.B. Effect and Mechanism of Graphite Addition on Microstructures and Hydrogen Storage Properties of Mg–Y–Zn Alloy. J. Phys. Chem. Solids 2024, 195, 112283. [Google Scholar] [CrossRef]
- Hitam, C.N.C.; Aziz, M.A.A.; Ruhaimi, A.H.; Taib, M.R. Magnesium-Based Alloys for Solid-State Hydrogen Storage Applications: A Review. Int. J. Hydrogen Energy 2021, 46, 31067–31083. [Google Scholar] [CrossRef]
- Bai, J.; Tian, H.; Wu, X.; Liu, S.; Li, Y. Microstructure Characteristics, Dynamic Kinetics and Thermal Properties of Mg77+xNi20-xCe3 (x = 0, 5, 10, 15) Hydrogen Storage Alloys. Mater. Chem. Phys. 2024, 321, 129491. [Google Scholar] [CrossRef]
- Wan, C.; Zhao, S.; Wang, H. Tuning Phase Structure and Electrochemical Hydrogen Storage Properties of A5B19-Type La–Y–Ni–Mn-Based Superlattice Alloys by Partial Al Substitution. Int. J. Hydrogen Energy 2024, 49, 51–58. [Google Scholar] [CrossRef]
- Liu, C.; Yuan, Z.; Li, X.; Sui, Y.; Han, Z.; Zhai, T. Effect of Ni Content on Hydrogen Storage Properties of Nd5Mg41 Alloy. J. Energy Storage 2024, 82, 110608. [Google Scholar] [CrossRef]
- Du, Q.; Li, S.; Huang, G.; Feng, Q. Enhanced Electrochemical Kinetics of Magnesium-Based Hydrogen Storage Alloy by Mechanical Milling with Graphite. Int. J. Hydrogen Energy 2017, 42, 21871–21879. [Google Scholar] [CrossRef]
- Song, M.Y.; Kwak, Y.J.; Lee, S.H.; Song, J.; Mumm, D.R. Enhancement of Hydrogen-Storage Performance of MgH2 by Mg2Ni Formation and Hydride-Forming Ti Addition. Int. J. Hydrogen Energy 2012, 37, 18133–18139. [Google Scholar] [CrossRef]
- Zhong, H.; Xu, J.; Jiang, C.; Lu, X. Microstructure and Remarkably Improved Hydrogen Storage Properties of Mg2Ni Alloys Doped with Metal Elements of Al, Mn and Ti. Trans. Nonferrous Met. Soc. China 2018, 28, 2470–2477. [Google Scholar] [CrossRef]
- Liu, J.-W.; Yuan, H.-T.; Cao, J.-S.; Wang, Y.-J. Effect of Ti–Al Substitution on the Electrochemical Properties of Amorphous MgNi-Based Secondary Hydride Electrodes. J. Alloys Compd. 2005, 392, 300–305. [Google Scholar] [CrossRef]
- Zhao, X.; Ma, L. Recent Progress in Hydrogen Storage Alloys for Nickel/Metal Hydride Secondary Batteries. Int. J. Hydrogen Energy 2009, 34, 4788–4796. [Google Scholar] [CrossRef]
- Zhang, Y.; Lei, Y.-Q.; Chen, L.-X.; Yuan, J.; Zhang, Z.-H.; Wang, Q.-D. The Effect of Partial Substitution of Zr for Ti on the Electrochemical Properties and Surface Passivation Film of Mg35Ti10−xZrxNi55 (x=1, 3, 5, 7, 9) Electrode Alloys. J. Alloys Compd. 2002, 337, 296–302. [Google Scholar] [CrossRef]
- Zhang, Y.; Zhao, D.; Han, X.; Li, B.; Dong, X.; Wang, X. Electrochemical Characteristics of Mechanical Alloyed (Mg1-xZrx)2Ni (X = 0–0.1) Electrode Alloys. Int. J. Hydrogen Energy 2007, 32, 2830–2835. [Google Scholar] [CrossRef]
- Goo, N.H.; Lee, K.S. The Electrochemical Hydriding Properties of Mg–Ni–Zr Amorphous Alloy. Int. J. Hydrogen Energy 2002, 27, 433–438. [Google Scholar] [CrossRef]
- Zhang, Y.; Zhang, S.-K.; Chen, L.-X.; Lei, Y.-Q.; Wang, Q.-D. The Study on the Electrochemical Performance of Mechanically Alloyed Mg–Ti–Ni-Based Ternary and Quaternary Hydrogen Storage Electrode Alloys. Int. J. Hydrogen Energy 2001, 26, 801–806. [Google Scholar] [CrossRef]
- Zhang, Y.; Zhang, H.; Ding, X.; Liu, D.; Zhang, Q.; Si, T. Microstructure Characterization and Hydrogen Storage Properties Study of Mg2Ni0.92M0.08 (M = Ti, V, Fe or Si) Alloys. Prog. Nat. Sci. Mater. Int. 2018, 28, 464–469. [Google Scholar] [CrossRef]
- Zhang, Y.; Zhao, D.; Li, B.; Ren, H.; Guo, S.; Wang, X. Electrochemical Hydrogen Storage Characteristics of Nanocrystalline Mg20Ni10−xCux (x = 0–4) Alloys Prepared by Melt-Spinning. J. Alloys Compd. 2010, 491, 589–594. [Google Scholar] [CrossRef]
- Yang, X.; Zhu, Y.; Zhang, J.; Zhang, Y.; Liu, Y.; Lin, H.; Wang, T.; Li, L. Effect of Partial Substitution of Ti for Al on the Phase Structure and Electrochemical Hydrogen Storage Properties of Mg3AlNi2 Alloy. J. Alloys Compd. 2018, 746, 421–427. [Google Scholar] [CrossRef]
- Hsu, F.-K.; Lin, C.-K.; Lee, S.-L.; Lin, C.-Y.; Bor, H.-Y. Effect of Mg3MnNi2 on the Electrochemical Characteristics of Mg2Ni Electrode Alloy. J. Power Sources 2010, 195, 374–379. [Google Scholar] [CrossRef]
- Li, B.; Zhang, Y.; Wu, Z.; Shi, Y.; Pang, Z.; Wang, X. Effects of the Substitution of Mn for Ni on Structures and Electrochemical Performances of the As-Cast and Quenched La0.5Ce0.2Mg0.3Co0.4Ni2.6-xMnx (X = 0–0.4) Electrode Alloys. Int. J. Hydrogen Energy 2008, 33, 141–148. [Google Scholar] [CrossRef]
- Qiu, S.-J.; Chu, H.-L.; Zhang, Y.; Sun, D.-L.; Song, X.-Y.; Sun, L.-X.; Xu, F. Electrochemical Kinetics and Its Temperature Dependence Behaviors of Ti0.17Zr0.08V0.35Cr0.10Ni0.30 Alloy Electrode. J. Alloys Compd. 2009, 471, 453–456. [Google Scholar] [CrossRef]
- Cui, N.; Luan, B.; Liu, H.K.; Dou, S.X. Discharge Behaviour of Mg2Ni-Type Hydrogen-Storage Alloy Electrodes in 6 M KOH Solution by Electrochemical Impedance Spectroscopy. J. Power Sources 1996, 63, 209–214. [Google Scholar] [CrossRef]
- Niu, H.; Northwood, D.O. Enhanced Electrochemical Properties of Ball-Milled Mg2Ni Electrodes. Int. J. Hydrogen Energy 2002, 27, 69–77. [Google Scholar] [CrossRef]
Disclaimer/Publisher’s Note: The statements, opinions and data contained in all publications are solely those of the individual author(s) and contributor(s) and not of MDPI and/or the editor(s). MDPI and/or the editor(s) disclaim responsibility for any injury to people or property resulting from any ideas, methods, instructions or products referred to in the content. |
© 2024 by the authors. Licensee MDPI, Basel, Switzerland. This article is an open access article distributed under the terms and conditions of the Creative Commons Attribution (CC BY) license (https://creativecommons.org/licenses/by/4.0/).









