Next Article in Journal
Magnetron Sputtered Low-Platinum Loading Electrode as HER Catalyst for PEM Electrolysis
Previous Article in Journal
Production of Porous ZrO2–TiO2 Ceramic Coatings on the Biomedical Ti-6Al-4V Alloy via AC PEO Treatment and Their Effects on the Corrosion Behavior in 0.9% NaCl
 
 
Font Type:
Arial Georgia Verdana
Font Size:
Aa Aa Aa
Line Spacing:
Column Width:
Background:
Article

Comparison of Fatigue Properties of Porous Polyurethane and Porous Asphalt Mixtures Considering the Influence of Immersion Conditions

1
School of Civil Engineering, Shandong Jiaotong University, Jinan 250357, China
2
Key Laboratory of Highway Maintain Technology Ministry of Communication, Jinan 250102, China
3
School of Civil Engineering, Chongqing Jiaotong University, Chongqing 400074, China
*
Author to whom correspondence should be addressed.
Coatings 2024, 14(7), 867; https://doi.org/10.3390/coatings14070867
Submission received: 16 May 2024 / Revised: 30 June 2024 / Accepted: 8 July 2024 / Published: 11 July 2024
(This article belongs to the Section Functional Polymer Coatings and Films)

Abstract

As a new binder, polyurethane (PU) is used to overcome the poor durability of porous pavement. This study focuses on the fatigue performance of a porous polyurethane mixture (PPM) under immersion conditions and compares it with a porous asphalt mixture (PAM). The results showed that under the immersion conditions, the initial stiffness of the PPM decreased by approximately 50%. However, the initial stiffness of the PAM was almost unaffected by the immersion conditions. In addition, the PPM exhibited a longer fatigue life under immersion conditions. In comparison, the fatigue life of the PAM decreased. The cracking propagation rate of the PPM decreased under immersion conditions, while the cracking propagation rate of the PAM increased. The fatigue termination condition for the PPM was set to S1 = 0.45S0 (S0 is the initial stiffness, and S1 is the termination stiffness), and that of the PAM was set to S1 = 0.4S0. Compared to the Weibull function, the Chaboche function provides a more accurate description of fatigue damage in the PPM and PAM. From the obtained data, it can be inferred that the fatigue performance of the PPM is far superior to that of the PAM. Therefore, polyurethane has broad application prospects in long-life permeable pavements.

1. Introduction

In pavement engineering, polyurethane was first used as a new binder by RWTH Aachen University. Due to its good corrosion resistance [1], low carbon environmental protection [2], excellent aging resistance [3], and high adhesion [4], polyurethane binders have been gradually applied to permeable pavements. Benefiting from its porous structure, permeable pavements can quickly remove water from the road surface to improve the safety of vehicles on rainy days [5,6,7]. Permeable pavement is conducive to the recovery of the natural water cycle [8,9]. With more study of the PPM, it is found that the road performance of the PPM is extremely excellent. The PPM has over one order of magnitude greater fatigue life than the PAM. When compared with the low glass-transition temperature (Tg) of the PU binder, the high Tg of the PU binder significantly improved resistance to moisture damage and decreased the Cantabro loss of the PPM in the 60 °C immersion conditions [10]. Additionally, a polyurethane permeable mixture (PUPM) has superior deformation resistance compared with conventional porous asphalt (PA) [11]. These advantages are mainly due to the high cohesion of polyurethane, which can greatly enhance the strength between aggregates [4]. Moreover, some experimental studies showed that polyurethane mixtures have poor moisture stability, mainly due to their less ductility [12]. They have high brittleness, which leads to relatively high particle loss, and different researchers have reached consistent conclusions in this respect [2,10]. From the perspective of the special use of pavement, polyurethane mixtures will have huge application potential in tunnel pavement due to their lower heat release rate (HRR) and longer ignition time [12]. In addition, compared with asphalt mixtures, polyurethane mixtures have a longer freezing time and a lower pull-off strength than the ice surface [13]. Therefore, the application of polyurethane mixtures on roadways in cold regions also has a broad prospect.
Since the application of polyurethane in pavement engineering is in the initial stage, there is little research on the fatigue properties of polyurethane mixtures. The fatigue cracking of pavement is a common phenomenon. Under the combined effects of vehicle loading, hot and cold cycles, moisture erosion, and other factors, the pavement performance gradually deteriorates, which ultimately leads to pavement failure [14,15,16]. In recent years, establishing a function that can accurately describe the fatigue damage of mixtures has received considerable attention among road engineering experts [17,18,19]. From a statistical point of view, the theory holds that a large number of continuous defects occur inside the material under the action of external loading, and these defects are subject to a certain probability distribution. Studies have shown that the evolution of fatigue damage in a mixture can be described by the Weibull distribution function [20,21,22]. Considering the thermodynamic theory, Lemaitre [23] and Chaboche [24] et al. deduced a classical nonlinear fatigue damage function. This function has a strict theoretical background and clear physical significance and has a wide range of applications in engineering experiments [19]. Regarding the fatigue termination condition, most studies have adopted the standard of initial stiffness decreasing to 50% [25,26]. However, some scholars do not agree with this standard; they believe that for different materials, different fatigue termination conditions should be calibrated [18].
In general, the adhesion and durability of porous pavement have posed challenges, and the fatigue performance of the PPM has rarely been studied. Hence, more research is needed on the fatigue performance of the PPM [2,27,28,29]. In this study, the fatigue properties of the PPM and PAM were compared and analyzed, especially considering the influence of the water environment. The study is expected to provide insights into the application of polyurethane binders in pavement engineering.

2. Objectives and Scope

In this study, four-point bending fatigue tests in strain-controlled mode were conducted on the PPM and PAM under immersion and dry conditions. The Weibull distribution function was used to analyze the fatigue damage process, recalibrate the fatigue termination conditions, and determine the fatigue threshold of the PPM and PAM. Moreover, the fitting degree of the Weibull function and Chaboche function were compared using the PPM and PAM. The test matrix is shown in Figure 1.

3. Materials and Methods

3.1. Materials

A four-point bending beam was used for fatigue tests in this study. The gradation type of the mixture was OGFC-13, the binder was polyurethane (PU, Yantai, China) and high-viscosity asphalt (HVA, Jinan, China), and the aggregate was basalt (Jinan, China). The performance indexes of polyurethane and high-viscosity asphalt are shown in Table 1 and Table 2, and the gradation curve of the mixture is shown in Figure 2. The optimal binder content of the mixture determined by the Marshall test was 4.6%. The void rate of the mixture specimen was 20% by measurement.

3.2. Methods

A four-point beam fatigue test was performed according to the AASHTO T 321 [30] procedure to evaluate the fatigue behavior of the mixture. Beam samples were prepared using a rolling wheel compactor. The final dimensions of the beam specimen were a length of 380 mm, a height of 63.5 mm, and a width of 50 mm. Finally, the beam specimens were numbered (Figure 3a). The beam specimens of the PPM and PAM were divided into two groups. The first group was immersed in completely immersed. The duration was 5 days (120 h). The water condition was pure water, and the temperature of the water was 25 °C. Then, the samples were taken out and wrapped with plastic wrap (Figure 3b). The other group was stored indoors under dry conditions. Next, under the strain control mode, the beam specimens were loaded under stain levels of 400, 800, and 1000 at a temperature of 15 °C and a frequency of 10 Hz (Figure 3c). The test plan is shown in Table 3. According to the AASHTO T 321 procedure, the stiffness of the specimen at the 50th time is defined as the initial stiffness. Generally, the failure criterion of fatigue under the strain mode is that the stiffness of the specimen is reduced to 50% of the initial stiffness. Since the fatigue properties of the PPM are rarely studied, it is necessary to explore the failure criterion of fatigue of the PPM. In this experiment, the failure criterion was set as the condition in which the initial stiffness was reduced to 30%. In this study, 2 mixtures (the PPM and PAM), 2 test conditions (dry and immersion), and 3 strain levels (400, 800, and 1000) were considered. In order to ensure the accuracy of the test, 3 parallel experiments were conducted, with a total of 36 sets of tests.

4. Results and Discussion

4.1. Analysis of the Initial Stiffness and Fatigue Life

Table 4 provides partial details of the initial stiffness and fatigue life of the PPM and PAM under immersion and dry conditions. The changes in the initial stiffness are shown in Figure 4. Under both the immersion and dry conditions, the initial stiffness of the PPM decreased slightly with increasing strain. However, the initial stiffness of the PAM changed a little. In addition, under the same strain, compared to the dry conditions, the initial stiffness of the PPM under the immersion conditions decreased by about 50%, while the initial stiffness of the PAM did not show significant changes, indicating that the PPM was more sensitive to moisture than PAM. Moreover, the initial stiffness of the PPM was 1.47~3.16 times that of PAM both under immersion and dry conditions.
Generally, three distinct regions can be identified during a fatigue test. They are deceleration, linear, and acceleration (Figure 5). However, under 400 με conditions, both the PPM and PAM exhibited good fatigue performance. The dynamic stiffness of the PPM and PAM decreased to 70%~90% of the initial stiffness and began to flatten out. As shown in Figure 6, considering the loading trend used in this study, the fatigue termination conditions of the PPM and PAM could not be easily reached (or it would require a long testing duration, which is also a huge challenge when conducting experiments). Through fitting these four groups of S-N data, it was found that although the fitting degree R2 of these four groups of equations is 1, it cannot describe the development trend of fatigue, so the fatigue properties of the PPM and PAM under the 400 με conditions will not be discussed in this study.
By comparing the fatigue performance of the PPM and PAM under high-strain conditions (e.g., 800 με and 1000 με), it was found that the PPM exhibited a different mechanism from the PAM under the immersion conditions. As shown in Figure 7, under the same level of strain, the fatigue life of the PPM increased under the immersion conditions, which was 2.55~5.20 times that of the dry conditions, while the PAM was almost unaffected. In addition, when the strain level was 800, the fatigue life of the PPM was 3 times and 9.4 times that of the PAM under the dry and immersion conditions, respectively. When the strain level was 1000, the fatigue life of the PPM was 2.8~5.2 times and 13.8~16.4 times that of the PAM under the dry and immersion conditions, respectively. From Figure 7, it can also be observed that at the same strain level, the fatigue life of the 40% fatigue termination condition was 2.16~4.03 times longer than that of 50%. At present, with the diversity and excellent performance of materials, different fatigue termination conditions will result in significant differences in fatigue life. Hence, it is imperative to reevaluate fatigue termination conditions across diverse materials, ascertain distinct fatigue thresholds for each material, and prevent the unnecessary depletion of material performance.

4.2. Analysis of the Fatigue Characteristics

4.2.1. Introduction of Fatigue Damage and Weibull Distribution Function

With repeated cyclic loading, the internal damage of the mixture accumulates continuously until fatigue failure. The fatigue damage process of the mixture is usually accompanied by continuous stiffness attenuation. The stiffness ratio (SR) is widely used to describe the attenuation of the mixture during fatigue, defined as the stiffness under given conditions divided by the initial stiffness (the initial stiffness is usually set as the stiffness of the 50th cycle). For fatigue damage, the constitutive relation can be expressed as follows [31,32,33]:
D N = 1 E N E 0
where DN is the damage variable after N cycles of loading, EN is the elastic modulus after N cycles of loading, and E0 is the initial elastic modulus.
In order to apply to this study, the elastic modulus E was replaced by the stiffness S, and the initial elastic modulus E0 was replaced by the initial stiffness S0. The degree of damage can be expressed as follows:
D = 1 S S 0 = 1 S R
where D is the damage variable, S is the stiffness under the damage condition, S0 is the initial stiffness, and SR is the stiffness ratio.
In strain-controlled fatigue tests, when the beam specimen fails, the termination stiffness S1 is related to the selected fatigue termination criterion. Suppose that when the fatigue failure criterion is set as the termination stiffness S1 being 50% of the initial stiffness S0, that is, SR is 0.5, then D is 0.5. For the damage of the beam specimen during failure under the strain control to be 1, we adopted the stiffness period ratio to define the damage, which is expressed as follows:
D = 1 S R = 1 S 1 S = 1 S S 1 S 0 S 1 = S 0 S S 0 S 1
where ∆SR is the stiffness period ratio, S0 is the initial stiffness, S is the stiffness under damage conditions, and S1 is the termination stiffness (S1 = 30%S0).
The cause of fatigue damage is due to the generation of a large number of continuous defects inside the material. From a statistical perspective, these defects are subject to a certain probability distribution. Due to the similarity between the fatigue damage curve of the beam specimen and the Weibull function curve, the fatigue failure process of the beam specimen can be properly described by the Weibull distribution function. In this study, ∆SR was considered as an observation value, and the Weibull distribution function was used to describe the relationship between ∆SR and ln(N). In the Weibull dynamic method, the Weibull distribution function has the following form:
f t = λ γ t γ 1 exp λ t γ 0 t
where λ is the scale parameter, and γ is the shape parameter. Therefore, the survivor function can be expressed as follows:
S ( t ) = 1 0 t f u d u = e x p ( λ t γ )
This results in
ln ln S t = ln λ + γ l n ( t )
Then, Formula (6) can be written as follows:
ln ln S R = ln λ + γ l n ( N )

4.2.2. The Analysis of Fatigue Damage Using the Weibull Distribution Function

The Weibull distribution function was used to analyze the fatigue damage of the PPM and PAM under immersion and dry conditions. The analysis results are shown in Figure 8 and Figure 9. According to the Weibull curve of the mixture, the fatigue process of the PPM and PAM can be clearly divided into three stages: The first stage is the initial stage or the cracking stage, that is, the test equipment and beam specimens gradually undergo cracking until reaching the stable stage. The second stage is the cracking propagation stage, which is the steady-state stage of uniform cracking generation in the beam specimen. The third stage is the failure stage, which means that cracking accumulation reaches the value that the beam specimen can withstand, leading to the rapid failure of the specimen. The cracking propagation stage is the main stage of the fatigue life of the beam specimen. For the first two stages, the linear regression formula for the corresponding line segments in Figure 8 and Figure 9 is shown, and the slope of the regression formula represents the cracking and propagation speed of the mixture. The difference between the two successive stages can be identified by the slope change in the ln[−ln(∆SR)] and ln(N) curves. Table 5 shows the slopes of the PPM and PAM at different stages. The slope of the PPM and PAM in the first stage follows the law indicating that the greater the strain, the greater the slope, which suggests that the crack accelerates with the increase in strain. Meanwhile, due to the operation of the equipment and the influence of human factors, the slope of the first stage did not appear to be governed by a relatively uniform law.
For the second stage, the PPM exhibited different changes from the PAM. As shown in Table 5, from the experimental data of the PPM, it can be inferred that under the dry conditions, when the strain increased from 800 μ ε to 1000 μ ε , the cracking propagation rate increased from 0.45 to 0.53, with an increment rate of 17.8%. Under the immersion conditions, when the strain increased from 800 μ ε to 1000 μ ε , the cracking propagation rate increased from 0.33 to 0.38, with an increment of 15.1%. Compared to the dry conditions, the cracking propagation rate of the PPM under the immersion conditions was relatively reduced as the strain increased. In addition, compared to the dry conditions at 800 μ ε , the cracking propagation rate of the PPM under the immersion conditions decreased from 0.45 to 0.33, with a decrease of 26.7%. At 1000 μ ε , the cracking propagation rate decreased from 0.53 to 0.38, with a decrease of 28.3%. This means that the PPM had a longer fatigue life under the immersion conditions.
Analyzing the data of the PAM during the cracking propagation stage, it can be seen that under dry conditions, when the strain increased from 800 μ ε to 1000 μ ε , the cracking propagation rate increased from 0.28 to 0.35, with an increment of 25%. Under the immersion conditions, as the strain increased, the cracking propagation rate increased from 0.31 to 0.41, with an increment of 32.3%. This indicates that the immersion conditions are a disadvantageous factor for the fatigue performance of the PAM. Similarly, compared to the dry condition at 800 μ ε , the cracking propagation rate of the PAM under the immersion conditions increased from 0.28 to 0.31, with an increase of 10.7%. Under 1000 μ ε , the cracking propagation rate increased from 0.35 to 0.41, with an increase of 17.1%. The results show that moisture has a certain erosion effect on asphalt and accelerates the fatigue failure of the PAM.
In summary, the cracking propagation rate of the PPM decreased under the immersion conditions, while the cracking propagation rate of the PAM increased. This may be because under the immersion conditions, the stiffness of the PPM decreased by about half, and the elastic performance of the PPM was improved, resulting in the increase in the fatigue life of the PPM. In the same experimental environment, when the strain increased, the increase in the cracking propagation rate of the PPM was smaller than that of PAM. The results show that the fatigue resistance of the PPM was better than that of PAM, especially under the condition of large strain.

4.3. The Analysis of the Fatigue Threshold Using the Weibull Distribution Function

Polyurethane is a new type of pavement binder with excellent fatigue resistance. As mentioned above, when different fatigue termination conditions are selected, the fatigue life of the mixture will be significantly different. It is also necessary to select appropriate fatigue termination conditions as a waste of material performance. Therefore, fatigue termination conditions should be established in accordance with their own characteristics.
The fatigue damage threshold of the beam specimen is a critical value. Under loading, a large number of microscopic defects are generated inside the material, and then macroscopic cracks appear. When the beam specimen reaches the damage threshold under loading, cracking expands rapidly until the beam specimen fails [34].
It can be seen from Figure 8 and Figure 9 that there are two turning points in the Weibull curve of the beam specimen. The first turning point indicates that the beam specimen transitions from the first stage to the second stage, which is called the ‘steady point’. After entering the second stage, the slope of the curve is significantly decreased and has a significant linearity, indicating that the beam specimen enters the steady-state development stage. For both the PPM and PAM, the range of their ‘steady point’ corresponding to the horizontal axis ln (N) was 4.8. By back calculation, the range of cyclic loading times N was determined to be 120, indicating that the cracking propagation of the beam specimen entered the steady-state development stage after approximately 120 loadings. The second turning point represents the transition of the beam specimen from the second stage to the third stage, which is known as the ‘instability point’. The number of cycles corresponding to the ‘instability point’ is the threshold for the fatigue damage of the beam specimen. The ‘instability point’ and corresponding stiffness ratios (SRs) of the PPM and PAM are shown in Table 6. The fatigue threshold of the beam specimen decreased with increasing strain [35,36], and the fatigue threshold of the PPM was much higher than the PAM. In addition, under the same strain conditions, the fatigue threshold of the PPM under the immersion conditions increased by 350% to 430% compared to the dry conditions, indicating that appropriate immersion will increase the fatigue threshold of the PPM. Regarding the stiffness ratio data of the mixture, the stiffness ratio (SR) of the PPM fluctuated around 0.45, while the stiffness ratio (SR) of the PAM fluctuated around 0.4. Therefore, the fatigue termination condition for the PPM was set to S1 = 0.45S0, and the fatigue termination condition for the PAM was set to S1 = 0.4S0.

4.4. Comparison of Fatigue Damage Function

Combining Equations (3) and (7), fatigue damage considering the Weibull distribution function can be expressed using Equation (8).
D = 1 S R = 1 e x p ( λ ( N / N f ) γ )
At the same time, the Chaboche function is introduced, which establishes a classic nonlinear fatigue damage evolution function from a thermodynamic perspective using macroscopic methods. It has a strict theoretical background and fully considers the nonlinear accumulation and function of fatigue damage. The equation is as follows:
d D d N = [ 1 1 D 1 + β ] α [ σ M 1 D ] β
D = 1 [ 1 N N f 1 1 α ] 1 1 β
where α and β are related to temperature, and α is also related to stress amplitude.
Equation (10) is simplified to Equation (11).
D = 1 [ 1 N N f A ] B
where A and B are the material parameters.
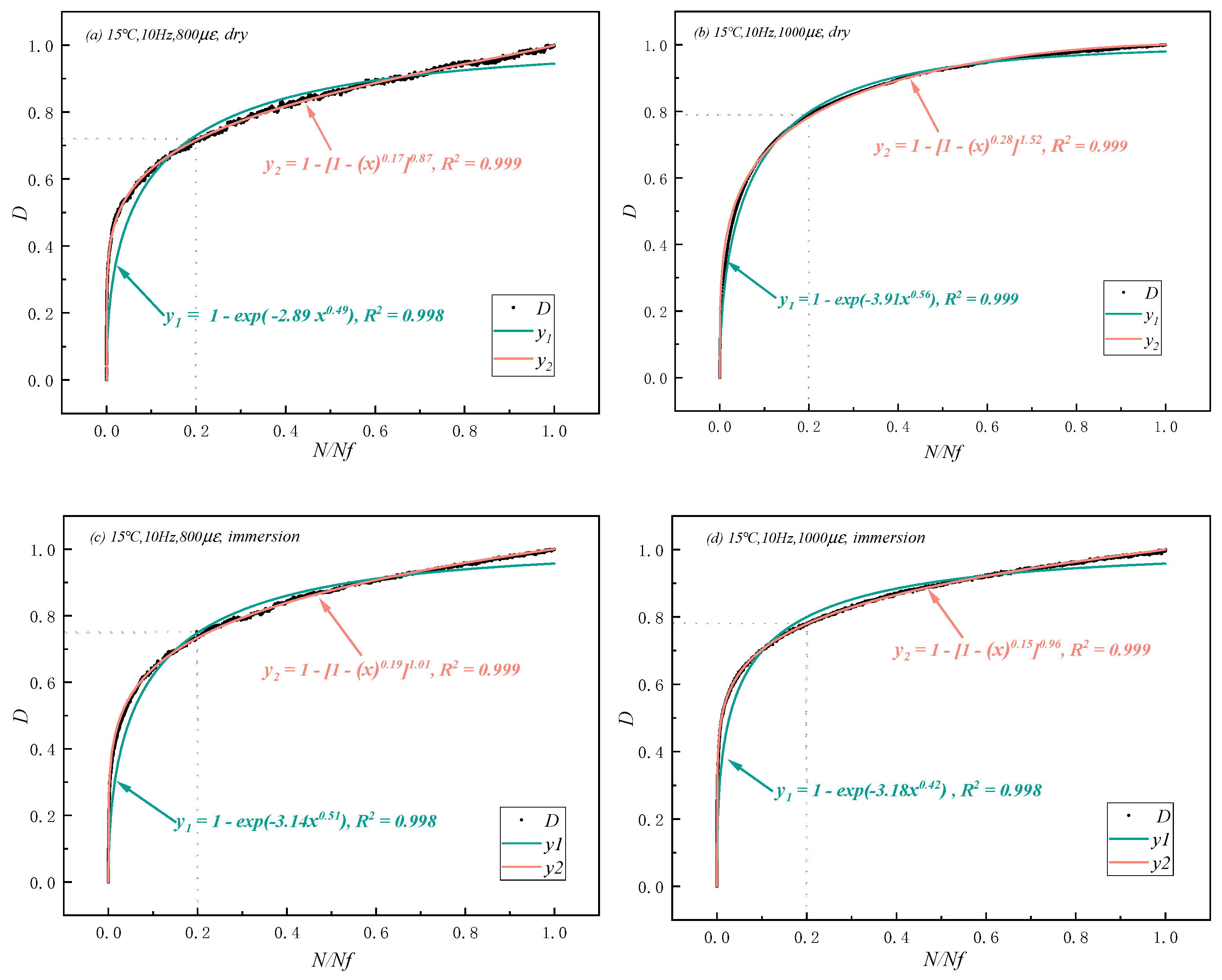
The fatigue damage curve of the mixture can be plotted considering the calculated D (Equation (3)) as the vertical axis and the cyclic loading ratio N/Nf as the horizontal axis. Figure 10 and Figure 11 show the fatigue damage curves of the PPM and PAM, respectively. As can be seen from the figure, 70%~80% of damage to the mixture occurred in the first 20% of the loading cycle, and the remaining 20% of damage occurred in the last 80% of the loading cycle. Furthermore, the relevant parameters of the Weibull function and the Chaboche function were fitted separately using the Origin (2019B, 9.65) software, and the fitted curves are shown in the different color curves in Figure 10 and Figure 11. The figure shows that the Weibull function and Chaboche function have a high degree of fitting, which can better describe the damage evolution of the mixture.
In order to further compare the fitting degree of the Weibull function and Chaboche function, the damage values measured were compared with the damage values predicted by the two functions in fatigue tests. The degree of damage at 20% to 100% cyclic loading calculated by Equation (3) is noted as the measured value. The corresponding damage values calculated from the damage function (shown in Equations (8) and (11)) are denoted as fitted values. The percentages of difference between the fitted value and the measured value were calculated (Dw: the percentage of difference using the Weibull function, Dc: the percentage of difference using the Chaboche function), and the mean value was calculated and analyzed, and the reliability of the Weibull fatigue damage function and Chaboche fatigue damage function was determined.
Table 7 provides specific data on the percentage difference between the Weibull function and the Chaboche function. The values of the percentage difference using the Weibull function and the Chaboche function in Table 7 were plotted, as shown in Figure 12. From the statistical data of the PPM, it can be seen that the percentage difference using the Chaboche function is distributed between 0 and 0.32, while that of the Weibull function is distributed between 1.0 and 2.76. The percentage difference using the Chaboche function is significantly smaller than that of the Weibull function. In the statistical data of the PAM, the percentage difference using the Chaboche function is distributed between 0.22 and 1.56, while that of the Weibull function is distributed between 1.3 and 4.0. The percentage difference using the Chaboche function is also significantly smaller than that of the Weibull function. In addition, both the Chaboche function and Weibull function have a smaller percentage difference in the PPM than in PAM.
In general, the difference rates of these two functions are less than 5%, indicating that the Weibull function and Chaboche function are reliable in describing the nonlinear evolution of fatigue damage of the PPM and PAM. This also indicates that the laws underlying failure in the PPM and PAM are well described from both statistical and thermodynamic perspectives.

5. Conclusions

The fatigue properties of the PPM and PAM under immersion and dry conditions were investigated in this study. In addition, taking the cyclic stiffness ratio ∆SR as the observed value, the fatigue characteristics, the cracking propagation rate, and the fatigue threshold of the PPM and PAM were investigated through a Weibull distribution function. This study also used the Weibull damage function and Chaboche damage function to fit the fatigue damage curves of the PPM and PAM and compared the reliability of the two functions under different cyclic loading. Based on the results of this study, the following conclusions were drawn:
(1) The initial stiffness of the PPM decreased by about 50% under the immersion conditions, while the PAM was almost unaffected by the immersion conditions. The initial stiffness of the PPM was 1.47~3.16 times than PAM both under immersion and dry conditions. Moreover, the PPM achieved a longer fatigue life under immersion conditions, and the fatigue life of the PPM was much better than the PAM.
(2) The cracking propagation rate of the PPM decreased under the immersion conditions, while the cracking propagation rate of the PAM increased. In the same experimental environment, when the strain increased, the increase in the cracking propagation rate of the PPM was smaller than the PAM. The results showed that the fatigue resistance of the PPM was better than the PAM, especially under the condition of large strain.
(3) The fatigue threshold of the mixture decreased with the increase in the strain, and the fatigue threshold of the PPM was much higher than the PAM. In addition, the immersion conditions increased the fatigue threshold of the PPM. However, the changes in the PAM were not obvious. The fatigue termination condition for the PPM was set to S1 = 0.45S0, and that of the PAM was set to S1 = 0.4S0.
(4) The fitting degree of the Chaboche damage function was higher than the Weibull damage function, and the percentage difference between the two damage functions was smaller in the PPM than in the PAM. In general, the difference rates of these two models were less than 5%, indicating that the Weibull damage function and Chaboche damage function are reliable in describing the nonlinear evolution of fatigue damage of the PPM and PAM.
This study shows that the fatigue property of the PPM is different from that of PAM. Given the limited sample size of this experiment, more stringent experimental conditions and a sufficient number of experimental samples should be designed to test the fatigue characteristics of polyurethane binders.

Author Contributions

Conceptualization, G.L. and Y.Y.; methodology, H.Z.; software, Q.Z.; investigation, S.Z.; resources, H.Z.;writing—original draft preparation, G.L.; writing—review and editing, Y.Y. and H.Z.; supervision, C.Z. and P.Z. All authors have read and agreed to the published version of the manuscript.

Funding

This research was funded by [Shandong Provincial Transportation Science and Technology Innovation Project] grant number [NO. 2024B112-01].

Institutional Review Board Statement

Not applicable.

Informed Consent Statement

Not applicable.

Data Availability Statement

Data are contained within the article.

Conflicts of Interest

The authors declare that they have no known competing financial interests or personal relationships that could have appeared to influence the work reported in this study.

References

  1. Hong, B.; Xian, G. Ageing of a thermosetting polyurethane and it spultruded carbon fiber plates subjected to sea water immersion. Constr. Build. Mater. 2018, 165, 514–522. [Google Scholar] [CrossRef]
  2. Lu, G.; Liu, P.; Wang, G.; Tekampe, S. Development of a sustainable pervious pavement material using recycled ceramic aggregate and bio-based polyurethane binder. J. Clean. Prod. 2019, 220, 1052–1060. [Google Scholar] [CrossRef]
  3. Xu, S.; Xu, M.; Zhang, Y.; Cheng, G. AnIndoor Laboratory Simulation and Evaluation on the Aging Resistance of Polyether Polyurethane Concrete for Bridge Deck Pavement. Front. Mater. 2020, 7, 237. [Google Scholar] [CrossRef]
  4. Lu, G.; Renken, L.; Li, T.; Wang, D.; Li, H.; Oeser, M. Experimental study on the polyurethane-bound pervious mixture in the application of permeable pavements. Constr. Build. Mater. 2019, 202, 838–850. [Google Scholar] [CrossRef]
  5. Siddaraju, S. Laboratory investigation of open graded friction course mixes with construction and demolition waste aggregates. In Proceedings of the 5th Colloquiumon Transportation Systems Engineering and Management (CTSEM2018), Hanamkonda, India, 17–19 May 2018. [Google Scholar]
  6. Alvarez, A.E.; Martin, A.E.; Estakhri, C. A review of mix design and evaluation research for permeable friction course mixture. Constr. Build. Mater. 2011, 25, 1159–1166. [Google Scholar] [CrossRef]
  7. Shen, W.; Shan, L.; Zhang, T.; Ma, H.; Cai, Z. Investigation on polymer–rubber aggregate modified porousconcrete. Constr. Build. Mater. 2013, 38, 667–674. [Google Scholar] [CrossRef]
  8. Li, H.; Harvey, J.T.; Holland, T.J.; Kayhanian, M. Corrigendum: The use of reflective and permeable pavements as a potential practice for heat island mitigation and stormwater management. Environ. Res. Lett. 2013, 8, 015023. [Google Scholar] [CrossRef]
  9. Tennis, P.D.; Leming, M.L.; Akers, D.J. Pervious Concrete Pavements. Deten. Basins 2004. [Google Scholar]
  10. Cong, L.; Wang, T.; Tan, L.; Yuan, J.; Shi, J. Laboratory evaluation on performance of porous polyurethane mixture and OGFC. Constr. Build. Mater. 2018, 169, 436–442. [Google Scholar] [CrossRef]
  11. Chen, J.; Yin, X.; Wang, H.; Ding, Y. Evaluation of Durability and Functional Performance of Porous Polyurethane Mixture in Porous Pavement. J. Clean. Prod. 2018, 188, S0959652618309788. [Google Scholar] [CrossRef]
  12. Hong, B.; Lu, G.; Gao, J.; Dong, S.; Wang, D. Green tunnel pavement: Polyurethane ultra-thin friction course and its performance characterization. J. Clean. Prod. 2020, 289, 125131. [Google Scholar] [CrossRef]
  13. Chen, J.; Ma, X.; Wang, H.; Xie, P.; Huang, W. Experimental study on anti-icing and deicing performance of polyurethane concrete as road surface layer. Constr. Build. Mater. 2018, 161, 598–605. [Google Scholar] [CrossRef]
  14. Underwood, B.S.; Kim, Y.R.; Guddati, M.N. Improved calculation method of damage parameter in viscoelastic continuum damage model. Int. J. Pavement Eng. 2010, 11, 459–476. [Google Scholar] [CrossRef]
  15. Wang, Y.; Norouzi, A.; Kim, Y.R. Comparison of Fatigue Cracking Performance of Asphalt Pavements Predicted by Pavement ME and LVECD Programs. Transp. Res. Rec. 2016, 2590, 44–55. [Google Scholar] [CrossRef]
  16. Wang, Y.; Kim, R.Y. Development of a pseudo strain energy-based fatigue failure criterion for asphalt mixture. Int. J. Pavement Eng. 2019, 20, 1182–1192. [Google Scholar] [CrossRef]
  17. Bodin, D.; Pijaudier-Cabot, G.; de La Roche, C.; Piau, J.M.; Chabot, A. Continuum Damage Approach to Asphalt Concrete Fatigue Modeling. J. Eng. Mech. 2004, 130, 700–708. [Google Scholar] [CrossRef]
  18. Hou, T.; Shane Underwood, B.; Richard Kim, Y.; Guddati, M.N. Fatigue Performance Prediction of North Carolina Mixture Using the Simplified Viscoelastic Continuum Damage Model. J. Assoc. Asph. Paving Technol. 2010, 79, 35–79. [Google Scholar]
  19. Zhang, J.; David Wang, Y.; Su, Y.; Fu, G. Fatigue damage evolution model of asphalt mixture considering influence of loading frequency. Constr. Build. Mater. 2019, 218, 712–720. [Google Scholar] [CrossRef]
  20. Tsai, B.W.; Harvey, J.T.; Monismith, C.L. Application of Weibull Theory in Prediction of Asphalt Concrete Fatigue Performance. Transp. Res. Rec. 2003, 1832, 121–130. [Google Scholar] [CrossRef]
  21. Tsai, B.W.; Harvey, J.T.; Monismith, C.L. Using the Three-Stage Weibull Equation and Tree-Based Model to Characterize the Mix Fatigue Damage Process. Transp. Res. Rec. 2005, 1929, 227–237. [Google Scholar] [CrossRef]
  22. Zou, X.; Ding, B.; Peng, Z.; Li, H. Damage analysis four-point bending fatigue tests on stone matrix asphalt using dissipated energy approaches. Int. J. Fatigue 2020, 133, 105453. [Google Scholar] [CrossRef]
  23. Lemaitre, J. A continuous damage mechanics model for ductile fracture. J. Eng. Mater. Technol. -Trans. ASME 1985, 107, 83–89. [Google Scholar] [CrossRef]
  24. Chaboche, J.-L. Continuum damage mechanics: Part I—General concepts. J. Appl. Mech. 1988, 55, 59–64. [Google Scholar] [CrossRef]
  25. Shen, S.H.; Chiu, H.M.; Huang, H. Characterization of Fatigue and Healing in Asphalt Binders. J. Mater. Civ. Eng. 2010, 22, 846–852. [Google Scholar] [CrossRef]
  26. Anderson, D.A.; Le Hir, Y.M.; Marasteanu, M.O.; Planche, J.P.; Martin, D.; Gauthier, G. Evaluation of fatigue criteria for asphalt binders. Transp. Res. Rec. 2001, 1766, 48–56. [Google Scholar] [CrossRef]
  27. Mo, L.T. Damage development in the adhesive zone and mortar of porous asphalt concrete. Astron. Data Anal. Softw. Syst. XIX 2010. [Google Scholar] [CrossRef]
  28. Hagos, E.T. The effect of aging on binder proporties of porous asphalt concrete. Bitum. Pavements 2008. Available online: https://xueshu.baidu.com/usercenter/paper/show?paperid=b733b501f855bbaa6dd1569a6ed98c1a&site=xueshu_se&hitarticle=1, (accessed on 8 July 2024).
  29. Mo, L.T.; Huurman, M.; Wu, S.P.; Molenaar, A.A. Bitumen–stone adhesive zone damage model for the meso-mechanical mixture design of ravelling resistant porous asphalt concrete. Int. J. Fatigue 2011, 33, 1490–1503. [Google Scholar] [CrossRef]
  30. AASHTO T 321-03; Standard Method of Test for Determining the Fatigue Life of Compacted Hot-Mix Asphalt (HMA) Subjected to Repeated Flexural Bending. AASHTO: Washington, DC, USA, 2003.
  31. Rabotnov, Y.N. On the Equation of State of Creep, Proceedings of the Institution of Mechanical Engineers; SAGE Publications: London, UK, 1963; pp. 117–122. [Google Scholar]
  32. Lemaitre, J. A Course on Damage Mechanics; Springer: Berlin/Heidelberg, Germany, 1996. [Google Scholar]
  33. Kachanov, L.M. Rupture Time Under Creep Conditions. Int. J. Fract. 1999, 97, 11–18. [Google Scholar] [CrossRef]
  34. Sudarsanan, N.; Kim, Y.R. A critical review of the fatigue life prediction of asphalt mixture and pavements. J. Traffic Transp. Eng. (Engl. Ed.) 2022, 9, 808–835. [Google Scholar] [CrossRef]
  35. Mannan, U.A.; Islam, R. Tarefder R A.Effects of recycled asphalt pavements on the fatigue life of asphalt under different strain levels and loading frequencies. Int. J. Fatigue 2015, 78, 72–80. [Google Scholar] [CrossRef]
  36. Ye, Y.; Li, G.; Zhuang, C.; Zhao, S.; Guo, H. Study on fatigue damage evolution and model prediction of asphalt pavement in the end-stage of service. Case Stud. Constr. Mater. 2023, 19, e02377. [Google Scholar] [CrossRef]
Figure 1. Test matrix.
Figure 1. Test matrix.
Coatings 14 00867 g001
Figure 2. Gradation curve.
Figure 2. Gradation curve.
Coatings 14 00867 g002
Figure 3. (ac) Test images.
Figure 3. (ac) Test images.
Coatings 14 00867 g003
Figure 4. The initial stiffness of the PPM and PAM.
Figure 4. The initial stiffness of the PPM and PAM.
Coatings 14 00867 g004
Figure 5. Fatigue curves.
Figure 5. Fatigue curves.
Coatings 14 00867 g005
Figure 6. S-N diagrams of the PPM and PAM under 400 μ ε .
Figure 6. S-N diagrams of the PPM and PAM under 400 μ ε .
Coatings 14 00867 g006
Figure 7. The fatigue life of the PPM and PAM.
Figure 7. The fatigue life of the PPM and PAM.
Coatings 14 00867 g007
Figure 8. The Weibull curves of the PPM.
Figure 8. The Weibull curves of the PPM.
Coatings 14 00867 g008
Figure 9. The Weibull curves of the PAM.
Figure 9. The Weibull curves of the PAM.
Coatings 14 00867 g009
Figure 10. Fatigue damage curves of the PPM.
Figure 10. Fatigue damage curves of the PPM.
Coatings 14 00867 g010
Figure 11. Fatigue damage curves of the PAM.
Figure 11. Fatigue damage curves of the PAM.
Coatings 14 00867 g011aCoatings 14 00867 g011b
Figure 12. Percentage of difference in the PPM and PAM.
Figure 12. Percentage of difference in the PPM and PAM.
Coatings 14 00867 g012
Table 1. Index results of PU.
Table 1. Index results of PU.
IndexUnitResult
Viscosity (25 °C) Mpa·s1708
Dry time (30 °C, 90% RH) min70
Tensile strengthMpa24.1
Breaking elongation%208
Density (15 °C)g/cm31.108
Table 2. Index results of HVA.
Table 2. Index results of HVA.
IndexUnitResultsTest Method
Penetration (25 °C, 5 s, 100 g)0.1 mm46T 0604
Ductility (5 °C, 5 cm/min)cm37T 0605
Softening point TR&B°C92T 0606
Dynamic viscosity (60 °C)Pa·s58,600T 0620
Flash point°C358T 0611
Density (15 °C)g/cm31.065T 0603
Table 3. Test program.
Table 3. Test program.
NumberCategoryStrain/μεImmersion NumberCategoryStrain/μεImmersion
P1PPM400A1PAM400
P2800A2800
P31000A31000
P4400+A4400+
P5800+A5800+
P61000+A61000+
Table 4. The fatigue life and initial stiffness of the PPM and PAM.
Table 4. The fatigue life and initial stiffness of the PPM and PAM.
Test NumberInitial Stiffness/(MPa)50% Fatigue Life/Times40% Fatigue Life/TimesTest NumberInitial Stiffness/(MPa)50% Fatigue Life/Times40% Fatigue Life/Times
P17860.85\\A12489.14\\
P27258.23320,000830,000A22414.77109,000279,000
P37086.84150,000325,000A32412.2129000117,000
P44341.43\\A42382.47\\
P54229.82815,0002,170,000A52469.1587,000231,000
P63178.85540,0001,690,000A62159.6832,900122,000
Table 5. The cracking propagation rate at different stages.
Table 5. The cracking propagation rate at different stages.
CategoryStrain/μεConditionSlopeCategoryStrain/μεConditionSlope
Stage 1Stage 2Stage 1Stage 2
PPM800dry9.130.45PAM800dry7.820.28
1000dry10.330.531000dry8.670.35
800immersion7.480.33800immersion8.760.31
1000immersion8.220.381000immersion5.750.41
Table 6. Fatigue thresholds and the SR for the different mixtures.
Table 6. Fatigue thresholds and the SR for the different mixtures.
CategoryStrain/μεConditionSteady Point (ln(N))Instability Point (ln(N))Threshold/104SR
PPM800dry4.7113.3160.300.468
1000dry4.8612.6330.550.455
800immersion4.7114.56210.540.437
1000immersion4.8514.08130.280.438
PAM800dry4.8612.8236.950.417
1000dry4.7812.0817.630.383
800immersion4.9112.9341.250.397
1000immersion4.8112.0517.110.395
Table 7. The percentage difference between the Weibull function and the Chaboche function.
Table 7. The percentage difference between the Weibull function and the Chaboche function.
Test ConditionPPMPAM
DwDcDwDc
a (800 μ ε , dry)2.760.324.001.56
b (1000 μ ε , dry)1.000.52.620.22
c (800 μ ε , immersion)2.0004.100.76
d (1000 μ ε , immersion)2.020.421.300.36
Disclaimer/Publisher’s Note: The statements, opinions and data contained in all publications are solely those of the individual author(s) and contributor(s) and not of MDPI and/or the editor(s). MDPI and/or the editor(s) disclaim responsibility for any injury to people or property resulting from any ideas, methods, instructions or products referred to in the content.

Share and Cite

MDPI and ACS Style

Li, G.; Ye, Y.; Zhao, H.; Zhang, Q.; Zhao, S.; Zhuang, C.; Zhang, P. Comparison of Fatigue Properties of Porous Polyurethane and Porous Asphalt Mixtures Considering the Influence of Immersion Conditions. Coatings 2024, 14, 867. https://doi.org/10.3390/coatings14070867

AMA Style

Li G, Ye Y, Zhao H, Zhang Q, Zhao S, Zhuang C, Zhang P. Comparison of Fatigue Properties of Porous Polyurethane and Porous Asphalt Mixtures Considering the Influence of Immersion Conditions. Coatings. 2024; 14(7):867. https://doi.org/10.3390/coatings14070867

Chicago/Turabian Style

Li, Gen, Yali Ye, Haisheng Zhao, Qi Zhang, Shuqian Zhao, Chuanyi Zhuang, and Peiyu Zhang. 2024. "Comparison of Fatigue Properties of Porous Polyurethane and Porous Asphalt Mixtures Considering the Influence of Immersion Conditions" Coatings 14, no. 7: 867. https://doi.org/10.3390/coatings14070867

APA Style

Li, G., Ye, Y., Zhao, H., Zhang, Q., Zhao, S., Zhuang, C., & Zhang, P. (2024). Comparison of Fatigue Properties of Porous Polyurethane and Porous Asphalt Mixtures Considering the Influence of Immersion Conditions. Coatings, 14(7), 867. https://doi.org/10.3390/coatings14070867

Note that from the first issue of 2016, this journal uses article numbers instead of page numbers. See further details here.

Article Metrics

Back to TopTop