Preparation of Chitosan-Coated Toddalia asiatica (L.) Lam Extract Microcapsules and Its Effect on Coating Antibacterial Properties
Abstract
1. Introduction
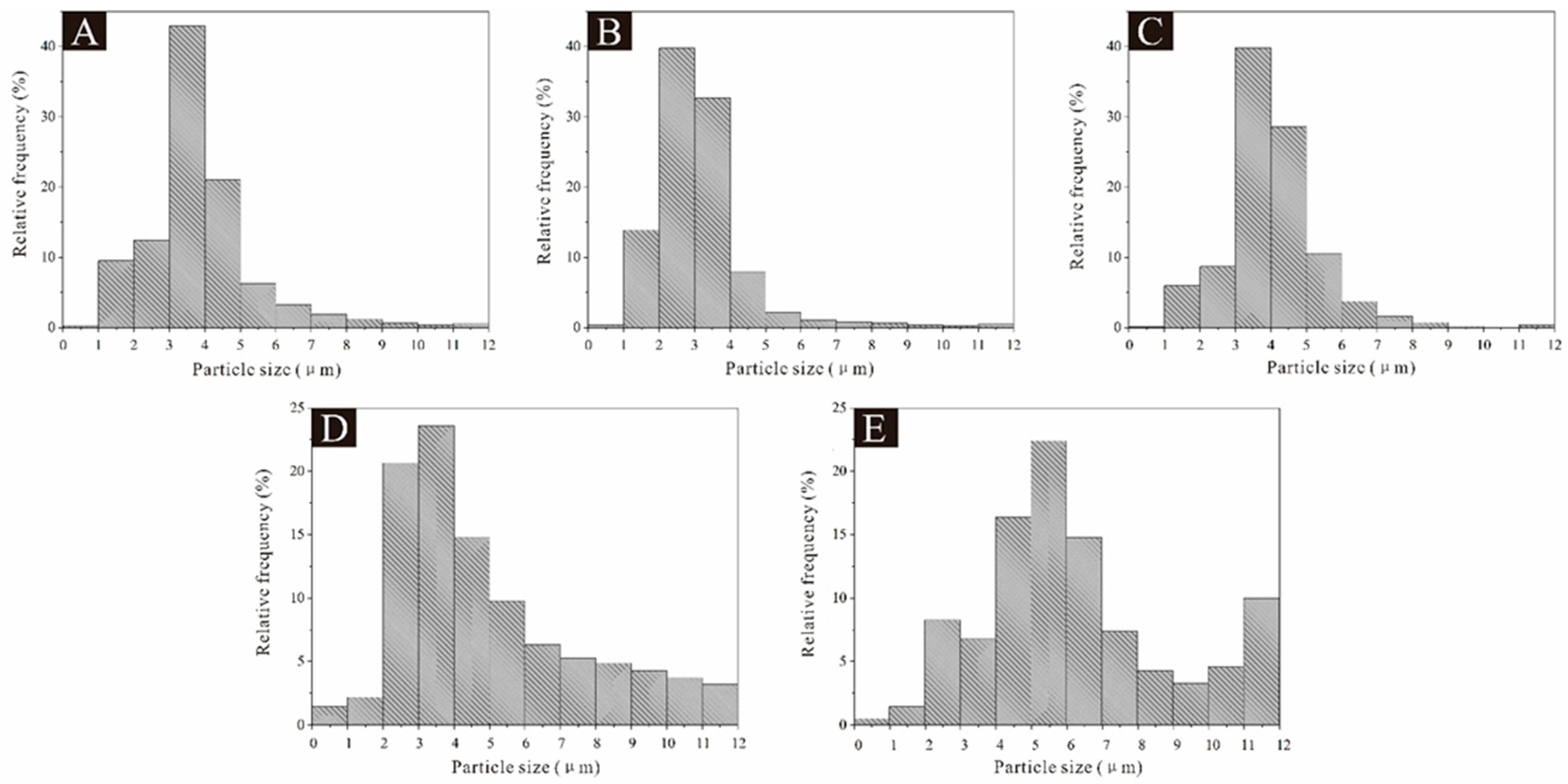
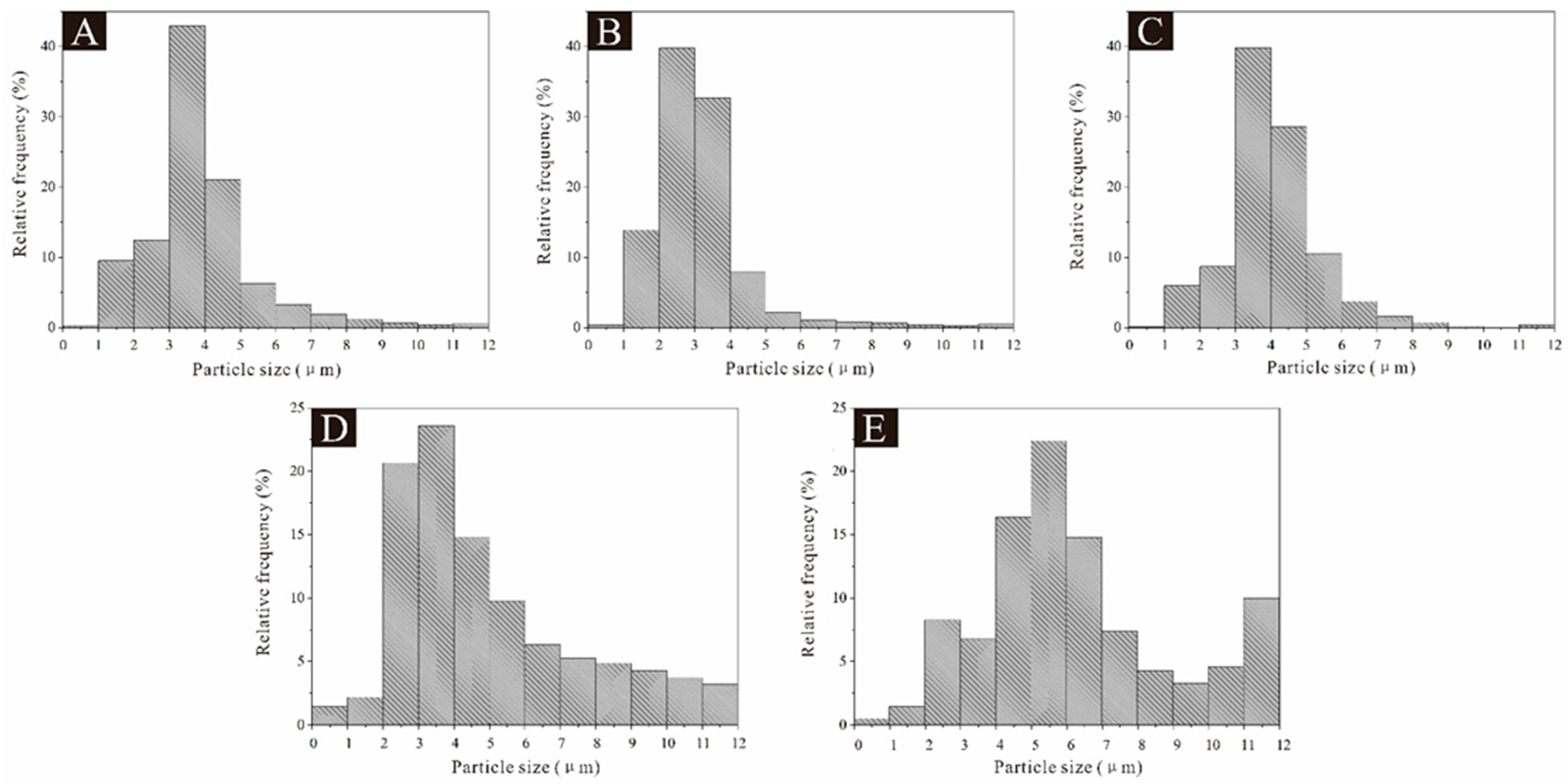
2. Materials and Methods
2.1. Materials
2.2. Preparation Method and Experimental Design of Microcapsules
2.2.1. Preparation Method of Microcapsules
2.2.2. Orthogonal and Single-Factor Experimental Design of Microcapsules
2.3. Preparation Method of the Coating
2.4. Testing and Characterization
2.4.1. Performance Characterization of Microcapsules
- (1)
- Coverage rate (C): The microcapsules were soaked in ethanol for 24 h and then filtered and dried. The formula given calculates the coverage rate, quantifying the extent of the shell material covering the microcapsule surface (1). M1 is the weight of microcapsules, M2 is the weight of the filter paper, and M3 is the weight of the total mass of the dried filter paper and shell material.
- (2)
- Yield rate (Y): The total mass, M1, includes all materials. After drying, the microcapsule powder mass is M2. The yield rate calculation is shown in the Formula (2).
- (3)
- Microscopic morphology and chemical composition: Microcapsule morphology was observed via a Zeiss optical microscope (OM, Carl Zeiss AG, Oberkochen, Germany). Scanning electron microscopy (SEM, Tescan, Brno, the Czech Republic) was employed to scrutinize the microcapsule and coating microstructures. Fourier-transform infrared spectroscopy (FTIR, Brucker AG, Karlsruhe, Germany) was used to determine the chemical composition of both the microcapsules and the coatings.
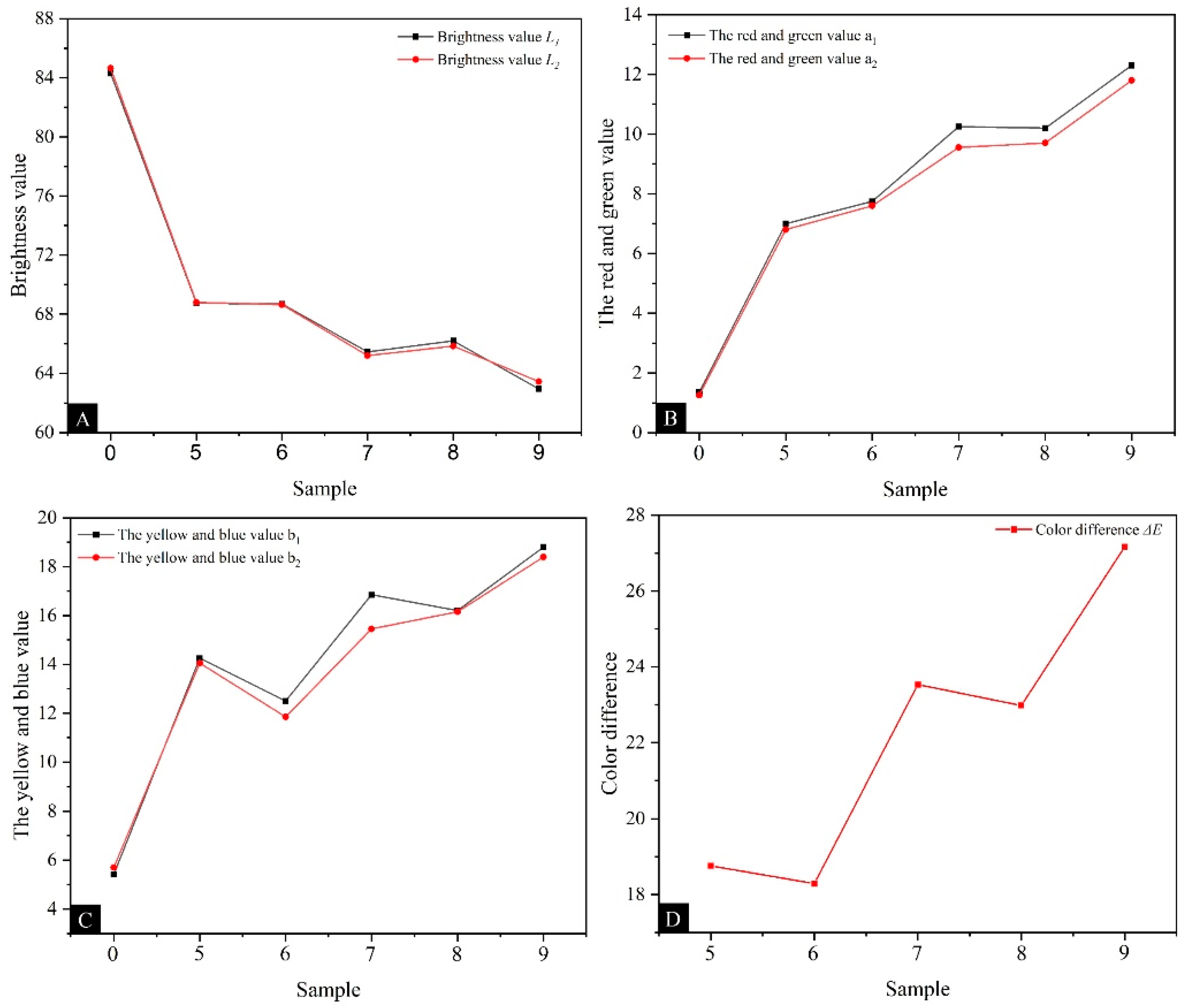
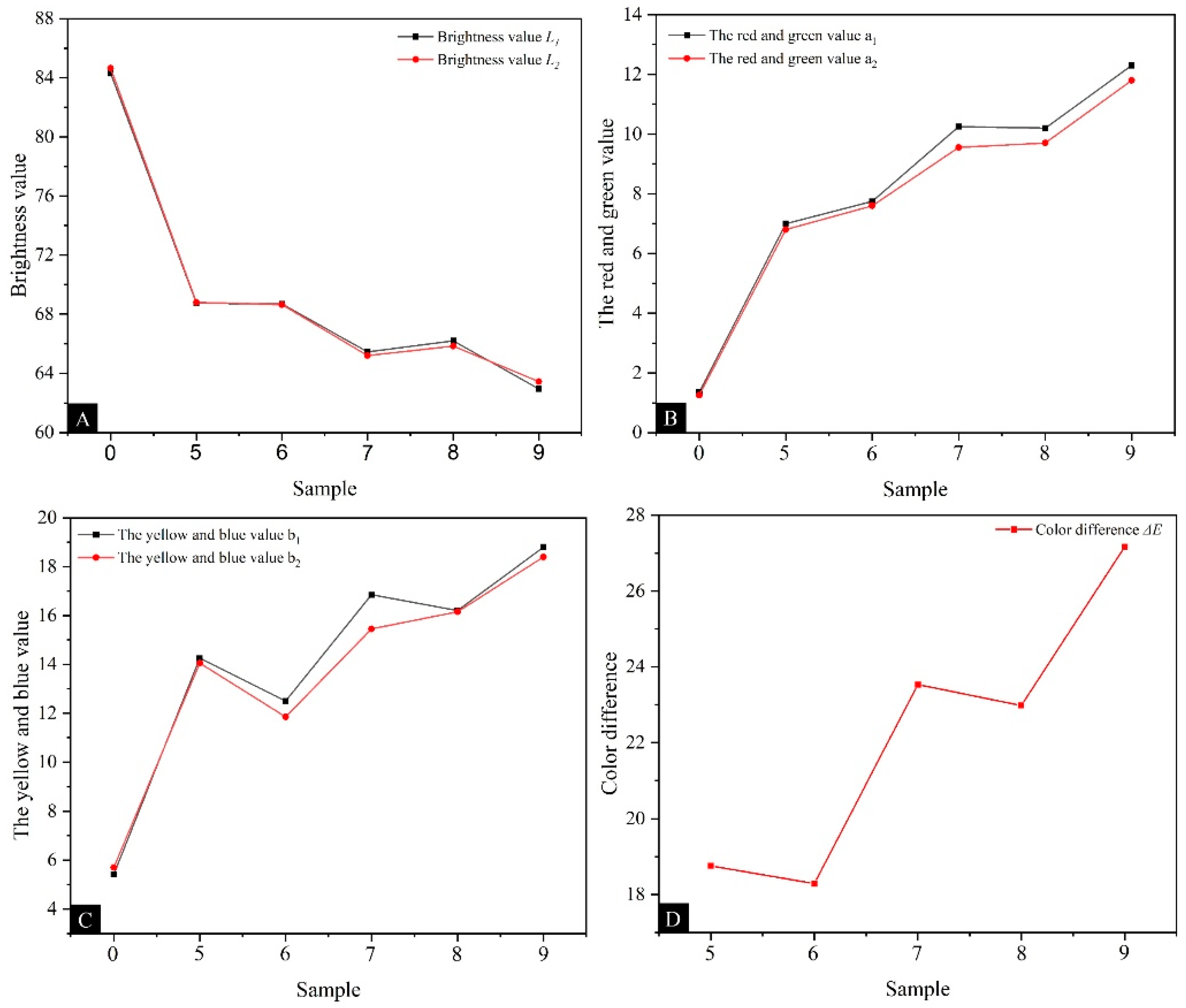
2.4.2. Color Difference Testing of the Coating
2.4.3. Glossiness, Transmittance, and Light Loss Testing of the Coating
2.4.4. Roughness and Tensile Testing of the Coating
2.4.5. Cold Liquid Resistance
2.4.6. Antibacterial Properties of the Coating
3. Results and Discussion
3.1. Analysis of Microcapsule Preparation Results
3.1.1. Analysis of the Yield and Encapsulation Rate Results of the Microcapsules
3.1.2. Microscopic Morphology Analysis of the Microcapsules
3.1.3. Chemical Composition Analysis of the Microcapsules
3.2. Microscopic Morphology and Chemical Composition Analysis of the Coating
3.3. Influence of Different MT:MC of Microcapsules on the Optical Properties of the Coatings
3.4. Influence of Different MT:MC of Microcapsules on the Cold Liquid Resistance of the Coatings
3.5. The Influence of Different MT:MC of Microcapsules on the Mechanical Properties of the Coatings
3.6. Effect of Microcapsules with Different MT:MC on the Antibacterial Performance of the Coatings
4. Conclusions
Author Contributions
Funding
Institutional Review Board Statement
Informed Consent Statement
Data Availability Statement
Conflicts of Interest
References
- Zhang, E.L.; Zhao, X.T.; Hu, J.L.; Wang, R.X.; Fu, S.; Qin, G.W. Antibacterial metals and alloys for potential biomedical implants. Bioact. Mater. 2021, 6, 2569–2612. [Google Scholar] [CrossRef] [PubMed]
- Hu, W.; Fu, W.J.; Zhao, Y. Optimal design of the traditional Chinese wood furniture joint based on experimental and numerical method. Wood Res. 2024, 69, 50–59. [Google Scholar] [CrossRef]
- Zhang, X.M.; Qin, M.; Xu, M.J.; Miao, F.Y.; Merzougui, C.; Zhang, X.Y.; Wei, Y.; Chen, W.Y.; Huang, D. The fabrication of antibacterial hydrogels for wound healing. Eur. Polym. J. 2021, 146, 110268. [Google Scholar] [CrossRef]
- Liu, Y.; Hu, W.; Kasal, A.; Erdil, Y.Z. The state of the art of biomechanics applied in ergonomic furniture design. Appl. Sci. 2023, 13, 12120. [Google Scholar] [CrossRef]
- Jia, B.; Li, G.W.; Cao, E.R.; Luo, J.L.; Zhao, X.; Huang, H.Y. Recent progress of antibacterial hydrogels in wound dressings. Mater. Today Biol. 2023, 19, 100582. [Google Scholar] [CrossRef] [PubMed]
- Egghe, T.; Morent, R.; Hoogenboom, R.; De Geyter, N. Substrate-independent and widely applicable deposition of antibacterial coatings. Trends Biotechnol. 2023, 41, 63–76. [Google Scholar] [CrossRef] [PubMed]
- Zhang, N.; Xu, W.; Tan, Y. Multi-attribute hierarchical clustering for product family division of customized wooden doors. BioResources 2023, 18, 7889–7904. [Google Scholar] [CrossRef]
- Sang, R.J.; Yang, S.Q.; Fan, Z.X. Effects of MDF substrate surface coating process on UV inkjet print quality. Coatings 2023, 13, 970. [Google Scholar] [CrossRef]
- Shao, L.Y.; Xi, Y.W.; Weng, Y.X. Recent Advances in PLA-Based Antibacterial Food Packaging and Its Applications. Molecules 2022, 27, 5953. [Google Scholar] [CrossRef]
- Chen, M.X.; Hu, Q.; Wang, X.Y.; Zhang, W. A review on recent trends of the antibacterial nonwovens air filter materials: Classification, fabrication, and application. Sep. Purif. Technol. 2024, 330, 125404. [Google Scholar] [CrossRef]
- Liang, X.K.; Dai, R.; Chang, S.C.; Wei, Y.Q.; Zhang, B. Antibacterial mechanism of biogenic calcium oxide and antibacterial activity of calcium oxide/polypropylene composites. Colloids Surf. A Physicochem. Eng. Asp. 2022, 650, 129446. [Google Scholar] [CrossRef]
- Li, X.X.; Gao, H.S.; Zhou, L.; Nie, Y. Screening Ionic Liquids by the COSMO-RS Method for the Preparation of Antibacterial Cellulose Fibers. ACS Sustain. Chem. Eng. 2021, 9, 15525–15536. [Google Scholar] [CrossRef]
- Qi, Y.Q.; Liu, G.Y.; Zhang, Z.; Zhou, Z.W. Optimization of green extraction process of Cinnamomum camphora fruit dye and its performance by response surface methodology. BioResources 2023, 18, 4916–4934. [Google Scholar] [CrossRef]
- Qi, Y.Q.; Zhang, Z.Q.; Sun, Y.; Shen, L.M.; Han, J.L. Study on the process optimization of peanut coat pigment staining of poplar wood. Forests 2024, 15, 504. [Google Scholar] [CrossRef]
- Sang, R.J.; Yang, F.; Fan, Z.X. The effect of water-based primer pretreatment on the performance of water-based inkjet coatings on wood surfaces. Coatings 2023, 13, 1649. [Google Scholar] [CrossRef]
- Qi, Y.Q.; Zhou, Z.W.; Xu, R.; Dong, Y.T.; Zhang, Z.Q.; Liu, M.J. Effect of NaOH pretreatment on permeability and surface properties of three wood species. ACS Omega 2023, 8, 40362–40374. [Google Scholar] [CrossRef] [PubMed]
- Yang, S.Y.; Zhang, F.; Zhao, J.P.; Kang, H.J.; Ke, Q. Synthesis of inorganic/organic hybrid-shell antibacterial polyurea microcapsules loaded with Ag/TiO2 nanoparticles. Colloids Surf. A Physicochem. Eng. Asp. 2024, 691, 133814. [Google Scholar] [CrossRef]
- Hu, W.G.; Wan, H. Comparative study on weathering durability properties of phenol formaldehyde resin modified sweetgum and southern pine specimens. Maderas. Cienc. Tecnol. 2022, 24, 17. [Google Scholar] [CrossRef]
- Liu, Q.Q.; Gu, Y.T.; Xu, W.; Lu, T.; Li, W.N.; Fan, H.B. Compressive properties of green velvet material used in mattress bedding. Appl. Sci. 2021, 11, 11159. [Google Scholar] [CrossRef]
- Gu, Y.T.; Zhang, J.L. Fatigue performance of natural and synthetic rattan strips subjected to cyclic tensile loading. Forests 2022, 13, 76. [Google Scholar] [CrossRef]
- Gu, Y.T.; Zhang, J.L. Tensile Properties of Natural and Synthetic Rattan Strips Used as Furniture Woven Materials. Forests 2020, 11, 1299. [Google Scholar] [CrossRef]
- Li, P.; Lei, K.; Ji, L.S. Characterization of the complete chloroplast genome of Toddalia asiatica (L.) Lam. Mitochondrial DNA B 2021, 6, 1650–1651. [Google Scholar] [CrossRef] [PubMed]
- Zeng, Z.; Tian, P.; Feng, J.; Yang, N.A.; Yuan, L. A systematic review on traditional medicine Toddalia asiatica (L.) Lam.: Chemistry and medicinal potential. Saudi Pharm. J. 2021, 29, 781–798. [Google Scholar] [CrossRef] [PubMed]
- He, N.; Wang, P.Q.; Wang, P.Y.; Ma, C.Y.; Kang, W.Y. Antibacterial mechanism of chelerythrine isolated from root of Toddalia asiatica (Linn) Lam. BMC Complement. Altern. Med. 2018, 18, 261. [Google Scholar] [CrossRef] [PubMed]
- Duraipandiyan, V.; Ignacimuthu, S. Antibacterial and antifungal activity of Flindersine isolated from the traditional medicinal plant, Toddalia asiatica (L.) Lam. J. Ethnopharmacol. 2009, 123, 494–498. [Google Scholar] [CrossRef] [PubMed]
- Liu, Q.Q.; Gao, D.; Xu, W. Effect of paint process on the performance of modified poplar wood antique. Coating 2021, 11, 1174. [Google Scholar] [CrossRef]
- Xu, W.; Fang, X.Y.; Han, J.T.; Wu, Z.H.; Zhang, J.L. Effect of coating thickness on sound absorption property of four wood species commonly used for piano soundboards. Wood Fiber Sci. 2020, 52, 28–43. [Google Scholar] [CrossRef]
- Qiu, H.Y.; Xiao, X.H.; Li, G.K. Separation and purification of furanocoumarins from Toddalia asiatica (L.) Lam. using microwave-assisted extraction coupled with high-speed counter-current chromatography. J. Sep. Sci. 2012, 35, 901–906. [Google Scholar] [CrossRef]
- Meng, Q.Y.; Zhong, S.L.; Wang, J.; Gao, Y.; Cui, X.J. Advances in chitosan-based microcapsules and their applications. Carbohydr. Polym. 2023, 300, 120265. [Google Scholar] [CrossRef]
- GB/T 11186.3-1989; Methods for Measuring the Color of Coatings—Part 3: Calculation of Color Difference. Standardization Administration of the People’s Republic of China: Beijing, China, 1989.
- GB/T 4893.6-2013; Testing of Physical and Chemical Properties of Furniture Surface Paint Films—Part 6: Gloss Determination Method. Standardization Administration of the People’s Republic of China: Beijing, China, 2013.
- GB/T 4893.1-2021; Test of Surface Coatings of Furniture—Part 1: Determination of Surface Resistance to Cold Liquids. Standardization Administration of the People’s Republic of China: Beijing, China, 2021.
- GB/T 21866-2008; Test Method and Effect for Antibacterial Capability of Paints Film. Standardization Administration of the People’s Republic of China: Beijing, China, 2008.
- GB/T 4789.2-2022; Microbiological Examination of Food Hygiene—Aerobic Plate Count. Standardization Administration of the People’s Republic of China: Beijing, China, 2022.
- Han, Y.; Yan, X.X.; Tao, Y. Effect of Number of Impregnations of Microberlinla sp. with Microcapsule Emulsion on the Performance of Self-Repairing Coatings on Wood Surfaces. Coatings 2022, 12, 989. [Google Scholar] [CrossRef]
- Ciftci, N.; Sargin, I.; Arslan, G.; Arslan, U.; Okudan, A. Ascorbic Acid Adsorption-Release Performance and Antibacterial Activity of Chitosanter (GMA-MA-NTBA) Polymer Microcapsules. J. Polym. Environ. 2020, 28, 2277–2288. [Google Scholar] [CrossRef]
- Chen, Z.; Ni, Y.Z.; Zhang, W.W.; Wang, Z.Y.; Ma, R.J.; Jia, Z.H.; Chen, K.L. Fabrication of multiple protective fabric based on ZnO/chitosan composite microcapsules via thiol-ene click modification. Cellulose 2023, 30, 8023–8036. [Google Scholar] [CrossRef]
- Huang, N.; Yan, X.X.; Han, Y. Preparation of Melamine-Formaldehyde Resin/Rice Husk Powder Coated Epoxy Resin Microcapsules and Effects of Different Microcapsule Contents on the Properties of Waterborne Coatings on Tilia europaea Surface. Coatings 2022, 12, 1213. [Google Scholar] [CrossRef]
- Sacco, P.; Pedroso-Santana, S.; Kumar, Y.; Joly, N.; Martin, P.; Bocchetta, P. Ionotropic Gelation of Chitosan Flat Structures and Potential Applications. Molecules 2021, 26, 660. [Google Scholar] [CrossRef] [PubMed]
- Zhou, J.C.; Xu, W. A fast method to prepare highly isotropic and optically adjustable transparent wood-based composites based on interface optimization. Ind. Crops Prod. 2024, 218, 118898. [Google Scholar] [CrossRef]
- Wang, C.; Zhou, Z.Y. Optical properties and lampshade design applications of PLA 3D printing materials. BioResources 2023, 18, 1545–1553. [Google Scholar] [CrossRef]
- Liu, Q.Q.; Gao, D.; Xu, W. Effect of polyurethane non-transparent coating process on paint film performance applied on modified poplar. Coating 2022, 12, 39. [Google Scholar] [CrossRef]
- Zhou, J.C.; Xu, W. Toward interface optimization of transparent wood with wood color and texture by silane coupling agent. J. Mater. 2022, 57, 5825–5838. [Google Scholar] [CrossRef]
- Wang, J.L.; Zhuang, S.T. Chitosan-based materials: Preparation, modification and application. J. Clean. Prod. 2022, 335, 131825. [Google Scholar] [CrossRef]
- Hu, W.G.; Chen, B.R.; Zhang, T.X. Experimental and numerical studies on mechanical behaviors of beech wood under compressive and tensile states. Wood Res. 2021, 66, 27–37. [Google Scholar] [CrossRef]
- Hu, W.G.; Liu, N. Numerical and Optimal Study on Bending Moment Capacity and Stiffness of Mortise-and-Tenon Joint for Wood Products. Forests 2020, 11, 501. [Google Scholar] [CrossRef]
- Zeki, N.M.; Mustafa, Y.F. Natural linear coumarin-heterocyclic conjugates: A review of their roles in phytotherapy. Fitoterapia 2024, 175, 105929. [Google Scholar] [CrossRef] [PubMed]









| Test Material | Purity | Manufacturer | 
|---|---|---|
| Chitosan | AR | Shandong Haiyi Chemical Technology Co., Ltd., Binzhou, China | 
| Acetic acid | AR | Henan Mingao Chemical Co., Ltd., Anyang, China | 
| Tripolyphosphate (TPP) | AR | Sichuan Blue Sword Chemical Group Co., Ltd., Shifang, China | 
| Tween-80 | AR | Jinan Huifengda Chemical Co., Ltd., Jinan, China | 
| X-100 | AR | Shanghai Maokang Biotechnology Co., Ltd., Shanghai, China | 
| Anhydrous ethanol | AR | Jinan Hongrun Chemical Co., Ltd., Jinan, China | 
| Nutrient agar medium | - | Huankai Microbial Technology Co., Ltd., Guangzhou, China | 
| Nutrient broth | - | Qingdao Haibo Biotechnology Co., Ltd., Qingdao, China | 
| Staphylococcus aureus | - | Ningbo Mingzhou Biotechnology Co., Ltd., Ningbo, China | 
| Escherichia coli | - | Ningbo Mingzhou Biotechnology Co., Ltd., Ningbo, China | 
| Cleaning agents | AR | Guangdong Baiyun Cleaning Group Co., Ltd., Guangzhou, China | 
| Citric acid | AR | Shandong Lemon Biochemical Co., Ltd., Weifang, China | 
| Sample (#) | Chitosan (g) | Toddalia Asiatica (L.) Lam Extracts (g) | Ethanol (g) | Tween-80 (g) | X-100 (g) | Deionized Water (g) | TPP (g) | Deionized Water (g) | 
|---|---|---|---|---|---|---|---|---|
| 1 | 0.20 | 0.40 | 7.60 | 0.07 | 0.73 | 25.87 | 0.50 | 9.50 | 
| 2 | 0.20 | 0.40 | 7.60 | 0.07 | 0.73 | 25.87 | 0.50 | 9.50 | 
| 3 | 0.20 | 0.60 | 10.80 | 0.10 | 1.10 | 38.80 | 0.50 | 9.50 | 
| 4 | 0.20 | 0.60 | 10.80 | 0.10 | 1.10 | 38.80 | 0.50 | 9.50 | 
| Sample (#) | Chitosan (g) | Toddalia Asiatica (L.) Lam Extracts (g) | Ethanol (g) | Tween-80 (g) | X-100 (g) | Deionized Water (g) | TPP (g) | Deionized Water (g) | 
|---|---|---|---|---|---|---|---|---|
| 5 | 0.20 | 0.40 | 7.60 | 0.07 | 0.73 | 25.87 | 0.50 | 9.50 | 
| 6 | 0.20 | 0.50 | 9.50 | 0.08 | 0.92 | 32.33 | 0.50 | 9.50 | 
| 7 | 0.20 | 0.60 | 11.40 | 0.10 | 1.10 | 38.80 | 0.50 | 9.50 | 
| 8 | 0.20 | 0.70 | 13.30 | 0.12 | 1.28 | 45.27 | 0.50 | 9.50 | 
| 9 | 0.20 | 0.80 | 15.20 | 0.13 | 1.47 | 51.73 | 0.50 | 9.50 | 
| Sample (#) | Factor A MT:MC | Factor B The pH of the Reaction | Factor C Reaction Temperature (°C) | Yield Rate (%) | 
|---|---|---|---|---|
| 1 | 2.0:1 | 7 | 50 | 13.78 | 
| 2 | 2.0:1 | 9 | 60 | 14.15 | 
| 3 | 3.0:1 | 7 | 60 | 13.84 | 
| 4 | 3.0:1 | 9 | 50 | 13.76 | 
| Mean 1 | 13.965 | 13.810 | 13.770 | |
| Mean 2 | 13.800 | 13.955 | 13.995 | |
| Range | 0.165 | 0.145 | 0.225 | |
| Factor primary and secondary levels | C > A > B | |||
| Optimal solution | A1 B2 C2 | |||
| Factor | Sum of Squared Deviations | Degree of Freedom | F Ratio | F Critical Value | Significance | 
|---|---|---|---|---|---|
| A | 0.027 | 1 | 0.818 | 10.100 | |
| B | 0.021 | 1 | 0.636 | 10.100 | |
| C | 0.051 | 1 | 1.545 | 10.100 | |
| Error | 0.10 | 3 | 
| Sample (#) | Factor A MT:MC | Factor B The pH of the Reaction | Factor C Reaction Temperature (°C) | Coverage Rate (%) | 
|---|---|---|---|---|
| 1 | 2.0:1 | 7 | 50 | 22.16 | 
| 2 | 2.0:1 | 9 | 60 | 20.20 | 
| 3 | 3.0:1 | 7 | 60 | 29.71 | 
| 4 | 3.0:1 | 9 | 50 | 25.88 | 
| Mean 1 | 21.180 | 25.935 | 24.020 | |
| Mean 2 | 27.795 | 23.040 | 24.955 | |
| Range | 5.860 | 2.895 | 0.935 | |
| Factor primary and secondary levels | A > B > C | |||
| Optimal solution | A2 B1 C2 | |||
| Factor | Sum of Squared Deviations | Degree of Freedom | F Ratio | F Critical Value | Significance | 
|---|---|---|---|---|---|
| A | 43.758 | 1 | 2.476 | 10.100 | |
| B | 8.381 | 1 | 0.474 | 10.100 | |
| C | 0.874 | 1 | 0.049 | 10.100 | |
| Error | 53.01 | 3 | 
| Sample (#) | MT:MC | Yield Rate (%) | Coverage Rate (%) | 
|---|---|---|---|
| 5 | 2.0:1 | 30.58 | 28.73 | 
| 6 | 2.5:1 | 30.27 | 30.31 | 
| 7 | 3.0:1 | 28.23 | 37.74 | 
| 8 | 3.5:1 | 27.35 | 36.54 | 
| 9 | 4.0:1 | 22.97 | 36.36 | 
| Sample (#) | Surface Glossiness of the Coating (GU) | Light Loss (%) | ||||
|---|---|---|---|---|---|---|
| 20° | 60° | 85° | 20° | 60° | 85° | |
| 0 | 5.97 | 18.53 | 39.57 | - | - | - | 
| 5 | 1.67 | 7.17 | 4.70 | 72.03 | 61.31 | 88.12 | 
| 6 | 1.73 | 7.47 | 7.13 | 71.02 | 59.69 | 81.98 | 
| 7 | 1.53 | 7.33 | 9.80 | 74.37 | 60.44 | 75.23 | 
| 8 | 1.43 | 6.77 | 8.90 | 76.05 | 63.46 | 77.51 | 
| 9 | 1.37 | 6.67 | 9.47 | 77.05 | 64.00 | 76.07 | 
| Sample (#) | Chromaticity Parameter | ΔE | |||||
|---|---|---|---|---|---|---|---|
| L1 | a1 | b1 | L2 | a2 | b2 | ||
| 0 | 84.30 | 1.35 | 5.41 | 84.65 | 1.25 | 5.70 | - | 
| 5 | 68.75 | 7.00 | 14.25 | 68.8 | 6.80 | 14.05 | 18.76 | 
| 6 | 68.70 | 7.75 | 12.50 | 68.65 | 7.60 | 11.85 | 18.29 | 
| 7 | 65.45 | 10.25 | 16.85 | 65.20 | 9.55 | 15.45 | 23.53 | 
| 8 | 66.20 | 10.20 | 16.20 | 65.85 | 9.70 | 16.15 | 22.98 | 
| 9 | 62.95 | 12.30 | 18.80 | 63.45 | 11.80 | 18.40 | 27.17 | 
| Sample (#) | Visible Light Transmittance (%) | 
|---|---|
| 0 | 90.44 | 
| 5 | 85.81 | 
| 6 | 87.05 | 
| 7 | 86.00 | 
| 8 | 85.96 | 
| 9 | 84.08 | 
| Sample (#) | Cold Liquid Resistance Level (Level) | ||
|---|---|---|---|
| Citric Acid | Ethanol | Cleaning Agents | |
| 0 | 2 | 3 | 4 | 
| 5 | 3 | 2 | 3 | 
| 6 | 3 | 2 | 3 | 
| 7 | 3 | 1 | 2 | 
| 8 | 3 | 1 | 2 | 
| 9 | 3 | 1 | 2 | 
| Sample (#) | Fracture Elongation (%) | Roughness (μm) | 
|---|---|---|
| 0 | 24.77 | 0.227 | 
| 5 | 7.24 | 2.426 | 
| 6 | 10.97 | 2.764 | 
| 7 | 13.26 | 1.533 | 
| 8 | 8.40 | 1.657 | 
| 9 | 8.39 | 1.796 | 
| Sample (#) | Average Number of Recovered Escherichia Coli (CFU·Piece−1) | Antibacterial Rate against Escherichia Coli (%) | Average Number of Recovered Staphylococcus Aureus (CFU·Piece−1) | Antibacterial Rate against Staphylococcus Aureus (%) | 
|---|---|---|---|---|
| 0 | 353 | - | 367 | - | 
| 5 | 144 | 59.21 | 140 | 59.95 | 
| 6 | 150 | 57.51 | 133 | 63.76 | 
| 7 | 116 | 67.14 | 116 | 68.39 | 
| 8 | 147 | 58.36 | 127 | 65.40 | 
| 9 | 127 | 64.02 | 143 | 61.04 | 
| Disclaimer/Publisher’s Note: The statements, opinions and data contained in all publications are solely those of the individual author(s) and contributor(s) and not of MDPI and/or the editor(s). MDPI and/or the editor(s) disclaim responsibility for any injury to people or property resulting from any ideas, methods, instructions or products referred to in the content. | 
© 2024 by the authors. Licensee MDPI, Basel, Switzerland. This article is an open access article distributed under the terms and conditions of the Creative Commons Attribution (CC BY) license (https://creativecommons.org/licenses/by/4.0/).
Share and Cite
Zhu, Y.; Wang, Y.; Yan, X. Preparation of Chitosan-Coated Toddalia asiatica (L.) Lam Extract Microcapsules and Its Effect on Coating Antibacterial Properties. Coatings 2024, 14, 942. https://doi.org/10.3390/coatings14080942
Zhu Y, Wang Y, Yan X. Preparation of Chitosan-Coated Toddalia asiatica (L.) Lam Extract Microcapsules and Its Effect on Coating Antibacterial Properties. Coatings. 2024; 14(8):942. https://doi.org/10.3390/coatings14080942
Chicago/Turabian StyleZhu, Ye, Ying Wang, and Xiaoxing Yan. 2024. "Preparation of Chitosan-Coated Toddalia asiatica (L.) Lam Extract Microcapsules and Its Effect on Coating Antibacterial Properties" Coatings 14, no. 8: 942. https://doi.org/10.3390/coatings14080942
APA StyleZhu, Y., Wang, Y., & Yan, X. (2024). Preparation of Chitosan-Coated Toddalia asiatica (L.) Lam Extract Microcapsules and Its Effect on Coating Antibacterial Properties. Coatings, 14(8), 942. https://doi.org/10.3390/coatings14080942
 
        

 
       