Abstract
Due to the presence of many flammable substances in the working environments of the petrochemical industry, anticorrosive conductive coatings need to be used on metal equipment to avoid safety accidents like fires. However, existing conductive solvent-based coatings are volatile when exposed to flammable and toxic organic solvents. Thus, in this work, a series of eco-friendly anticorrosive waterborne polyurethane (WPU) composites with multi-walled carbon nanotubes (MWCNTs) were prepared via a low-cost and practical process; the dispersion of MWCNTs was revealed when present in different amounts, and the mechanism behind the conduction of WPU composites was determined. We concluded that low amounts of MWCNTs were well dispersed, generating a conductive network, and the WPU composite was not entirely covered by the MWCNT particles, so the electrical conductivity in certain parts of the coating was good. When the content of MWCNTs was excessive, some stretched MWCNTs dispersed to the top of the composite and many MWCNTs agglomerated at the bottom. Additionally, when the content of MWCNTs was increased, the electrical conductivity, corrosion resistance, and adhesion strength of the WPU composite decreased. Our results could provide a theoretical foundation for the preparation of anticorrosive conductive waterborne composites for protecting equipment in the petrochemical industry.
1. Introduction
Generally, a lot of flammable substances (such as acids, alkalis, salts, and organic solvents) are present in the working environments of the petrochemical industry; they easily catch fire or even explode in the presence of an electrostatic discharge. Thus, conductive coatings need to be used on the surfaces of metal equipment. In addition, a lot of facilities in the petrochemical industry are mostly made of low-cost materials such as Q235 steel, which are so prone to erosion or severe rusting that they are generally protected using conductive anticorrosion coatings [1]. At present, these widely used conductive coatings are solvent-based and volatile when exposed to a large number of flammable solvents during production and application, which can cause serious fire hazards. Specifically, coatings with water as the dispersion medium are highly volatile, so they should not be exposed to any flammable solvents during construction and curing [2,3]. Therefore, they have been the research focus for future anticorrosive conductive coatings [4,5]. As a type of environmentally friendly coating, waterborne polyurethane (WPU) coatings contain few organic solvents. Owing to the excellent characteristics of PU resins and their other key properties, such as being non-toxic, non-flammable, safe to use, eco-friendly, low-cost, and highly adhesive [6,7], they have been widely used in anticorrosive coatings, adhesives, synthetic leathers, films, biological materials, packaging films, waterproof textiles, etc. [8]. Gradually, WPU coatings have become a possible replacement for solvent-based PU coatings [9,10].
Conductive coatings with fillers are commonly obtained via the addition of some inorganic conductive particles (such as metals, metal oxides, graphite, graphene, and carbon nanotubes) to non-conductive polymers [11]. Evidently, the combination of the good conductive ability and mechanical performance (such as easy processing) from fillers and the great physical properties (such as weather resistance, high-temperature resistance, and pollution resistance) from polymers give the obtained composites excellent comprehensive performance [12]. Thus, conductive coatings with nano-fillers have become a hot spot of research in the coating industry.
A significant number of the P electrons of carbon atoms form delocalized π electrons in the molecular structure of carbon nanotubes (CNTs); a high conjugation effect is generated, which gives the CNTs excellent electrical conductivity. In general, the hollow tubular structure of CNTs makes it easy for them to generate a spatial network structure in resins and then to construct conductive paths; the strong covalent bonds between carbon atoms provide CNTs with great mechanical properties. Based on the above reasons, MWCNTs with high cost-effective performance can improve the electrical conductivity of polymer materials when the other properties of the composites remain stable [13,14]; they have also thus become an ideal filler for polymer materials to improve their mechanical properties, electrical conductivity, and thermal conductivity. Thus, MWCNTs have been widely applied in the fields of memory elements, conductive films, fuel cells, etc. [15,16].
In papers published previously by our team, a series of superhydrophobic conductive coatings were prepared using a self-designed electrostatic spraying device for liquid materials; the effect of hydrophobic fillers (including particles of MWCNTs and PTFE) on the hydrophobic performance of WPU composites was researched, and the results could provide a foundation for optimizing the preparation of anticorrosive conductive coatings. However, it is not always convenient or possible for all practical situations to use electrostatic spraying equipment. As for the problems mentioned above, we prepared the anticorrosive and conductive waterborne composites in this work using a low-cost and practical process to improve the preparation process of water-based composites applied to different working conditions.
In this work, a series of environmentally friendly, conductive anticorrosive composites with WPU as the polymer matrix [17,18,19] and MWCNTs as the conductive filler [20,21,22] are prepared on the surfaces of Q235 steel substrates using a common film applicator. The dispersion regulation of MWCNTs with different contents and the mechanism behind the conductivity of WPU composites are discussed. Additionally, the effects of different contents of MWCNTs on the molecular structures, electrical conductivity, corrosion resistance, and adhesion strength of WPU composites are investigated. Our results could provide a theoretical foundation for the preparation of anticorrosive conductive water-based coatings and for the protection of metal equipment in the petrochemical industry [23].
2. Materials and Methods
2.1. Experimental Materials
HK718 WPU emulsions (one-component, aliphatic, and anionic; transparent appearance) were provided by Jining Huakai Resin Co. Ltd. (Jining, China). The solid content, V.O.C content, viscosity, and specific gravity were, respectively, 35%, 253 g/l, 75 cps, and 1.054 g/mL. The MWCNTs (FloTube 9000 series) were provided by Beijing Tiannai Technology Co., Ltd. (Beijing, China). The average diameter, average length, density, and purity were, respectively, 10~15 nm, 10 μm, 0.03~0.15 g/cm3, and 95%~97.5%. To disperse the MWCNTs as evenly as possible, they were dried in an oven at 70 °C for 24 h to remove water. Sodium chloride and anhydrous ethanol were analytically pure and provided by Tianjin Komil Chemical Reagent Co., Ltd. (Tianjin, China).
The Q235 steel substrates (50 × 25 × 2.5 mm) were roughened using a YX-6050A sandblasting device (Anbangruiyuxin Machine Technology Development Co., Ltd., Wuhan, China) in accordance with ISO 8501-1. The material, particle size, source gas, air pressure, distance, angle, and duration of the sandblasting treatment were, respectively, brown-fused alumina, 16 mesh, compressed gas, 0.6~0.8 MPa, 110~150 mm, 70~80°, and 30~40 s. The surface roughness level was in the range of 25 to 60 μm, in accordance with ISO 8503-4. Finally, the roughened steel substrates were ultrasonically cleaned in anhydrous ethanol and kept at room temperature [24].
2.2. Coating Preparation
At room temperature, different contents (0.3 wt %, 0.6 wt %, 0.9 wt %, 1.2 wt %, and 1.5 wt %) of MWCNTs were added into WPU emulsions using an 85–2 magnetic stirring device (Hangzhou Instrument Motor Co., Ltd., Hangzhou, China) at 200~250 r/min for 30 min. Then, the MWCNT/WPU dispersions were further treated with KQ-50B ultrasonic dispersion equipment (Kunshan Ultrasonic Instrument Co., Ltd., Kunshan, China) for 30 min. Subsequently, the obtained MWCNT/WPU dispersions were coated onto the surfaces of the sandblasted Q235 steel substrates using a common film applicator. The uniformity of the coatings could be controlled due to the good flow leveling of the WPU emulsions. Finally, the obtained samples were cured at room temperature for 3 days and then kept in an oven at 70 °C for 3 h to prepare the anticorrosive conductive MWCNT/WPU composites.
2.3. Coating Characterization
2.3.1. Electrical Conductivity and Micro-Morphology Test
The electrical conductivity was evaluated based on the resistivity of the coating, calculated according to Equation (1), which is applicable to very thin and homogeneous coatings. The coating thickness was measured using an HCC-18 magnetoresistive thickness meter (Shanghai Huayang Testing Instrument Co., Ltd., Shanghai, China). Five samples for each coating and six points for each sample were tested. The surface resistance of the coating was determined using a KEYSIGHT B2985A electrometer (Agilent, Santa Clara, CA, USA) and silver glue platinum wires at 100 V in accordance with GB/T 16906-1997 [25]. Figure 1 shows a schematic diagram of the test device (the substrate in Figure 2 is a specified substrate for the test, not the Q235 steel substrate). Three samples for each coating and three points for each sample were tested. At room temperature, the dispersion of MWCNTs in different WPU composites was characterized using a VEGA3 XMU Scanning Electron Microscope (TESCANSCAN, Brno, Czech Republic).
where ρ is the volume resistivity of the coating (Ω·cm), R is the surface resistance (Ω), and d is the coating thickness (cm).
Figure 1.
Schematic diagram of the device for testing the surface resistance.
Figure 2.
Exponential relationship curve between the contents of MWCNTs and the surface resistances of the composites.
2.3.2. Adhesion Strength of Coatings and Fourier Transform Infrared Spectroscopy (FTIR) Test
The samples for the adhesion test of coatings were prepared in accordance with ISO 4624:2002. The pull-off test was performed using an HT-2402 universal testing machine (Hung Ta Instrument, Co., Ltd., Taiwan) at room temperature, and the tensile stress was applied at a uniformly increasing rate along the direction perpendicular to the plane of the coating. Five samples were tested for each coating to evaluate its average adhesion strength, as shown in Formula (2).
where F is the maximum load (N), A is the test area (mm2), and σ is the adhesion strength of the coating (MPa).
The reason for the change in the adhesion strength of the composites to the steel substrates was further revealed by analyzing the effect of the added MWCNTs on the molecular structures of the WPU composites. The ground composite and the KBr powder were uniformly mixed at a mass ratio of 1:100 and then pressed under 80 MPa for 2 min. At room temperature, the infrared spectra of different MWCNT/WPU composites were characterized using an Alpha FTIR spectrometer (Bruker Optics, Saarbrucken, Germany). The scanning range was 4000~500 cm−1.
2.3.3. Anticorrosion Test
Electrochemical tests of the coatings were carried out under simulated harsh conditions (at 40 °C in 3.5 wt % NaCl solution) to accelerate the corrosion rate. A CS350H Electrochemical Workstation (Wuhan Corr Test Co., Ltd., Wuhan, China) with a three-electrode cell was used to test the electrochemical impedance spectroscopy (EIS) and the potentiodynamic polarization curve to evaluate the corrosion resistance of the coating at room temperature [26]. The Pt electrode was used as the auxiliary electrode, a saturated calomel electrode as the reference electrode, and the sample as the working electrode. The test area of the coating was 0.785 cm2. EIS was conducted with a sine wave amplitude of 20 mV and a frequency of 10−2~105 Hz when the open circuit potential was steady. The potentiodynamic polarization curve was measured at a scanning speed of 0.2 mV/s, an initial potential of −0.2 V, and a final potential of 0.3 V.
During testing, the tested coatings were immersed in 3.5 wt % NaCl solution at 40 °C. Electrochemistry tests were carried out, and the NaCl solution was changed every 2 days. The electrochemical tests ended once the coatings failed. The results showed that the carbon steel substrates were clearly corroded when the samples were immersed for 20 days. Therefore, we monitored the whole change process, and we present the impedance spectra after 20 days in this work.
3. Results and Discussion
3.1. Dispersion of MWCNTs and Electrical Conductivity of Composites
Previous studies have shown that conductive coatings can be divided into three types according to the dispersion of conductive particles in the coatings [27,28]. When the distance between conductive particles is far apart, a layer of insulated glue is used. Although there is a high-potential barrier between conductive particles, they cannot pass through the insulated glue, resulting in capacitive conduction. When the isolation layer between conductive particles is thin, the barrier of conductive particles only allows for small movements and passage through the isolation layer is only allowed under the action of an electric field, resulting in tunnel effect conduction. When conductive particles are connected, they form a conductive network, resulting in conductor conduction.
The surface resistances and volume resistivities of different MWCNT/WPU composites are summarized in Table 1. The volume resistivity of the WPU composite decreased, and the electrical conductivity significantly increased with an increase in the content of MWCNTs. When the content of MWCNTs was 0.3 wt %, the volume resistivity of the WPU composite (107 Ω·cm) did not meet the industry standard for electrostatic conductive coatings. When the content of MWCNTs was increased to 0.6 wt %, the volume resistivity of the WPU composite decreased by two orders of magnitude, and the improved electrical conductivity of the composite met industry standards. As a kind of microparticle, electrons can pass through the isolation layer between the MWCNT particles due to the thickness of the isolation layer and the difference between the barrier energy and the electron energy. Moreover, a thinner isolation layer and a lower energy difference increase the possibility of electrons passing through the isolation layer. Evidently, the electrons could easily pass through the isolation layer as the thickness decreased and the insulation layer between the MWCNT particles was changed to a conductive layer; that is, the electrical conductivity of the composite was affected by the tunnel effect of MWCNT particles. In general, when the content of MWCNTs is low, MWCNT particles are not continuously in contact with the composite, which leads to the tunnel effect and a current path forming. As the content of MWCNTs increases, the probability of MWCNT particles forming network structures increases as well, while the surface resistance of the composite greatly decreases. When the content of MWCNTs was increased to 1.5 wt %, the volume resistivity of the WPU composite decreased to 104 Ω·cm, which is three orders of magnitude lower than that of the 0.3 wt % MWCNT/WPU composite. The gap between MWCNT particles may have been too small for continuous contact and, thus, to generate many conductive channels. As the content of MWCNTs increased, the volume resistivity of the composite clearly decreased. Based on the above analysis, we can conclude that the surface resistance of the composite exponentially reduced as the MWCNT contents rose. The exponential relationship between them is shown in Figure 2, and the fit of this relationship is summarized in Equation (3).
Table 1.
Surface resistances and volume resistivities of different MWCNT/WPU composites.
To further analyze the effect of the dispersion of MWCNTs on the conductivity of WPU composites, in Figure 3, we present the cross-sectional micro-morphologies of different MWCNT/WPU composites along the direction of the coating thickness. Some MWCNT particles were partly distributed in the 0.3 wt % MWCNT/WPU composite (Figure 3b) in contrast to the pure WPU coating (Figure 3a). Due to the small content of MWCNTs, the distances between the MWCNT particles were too high for them to construct a conductive path. With an increase in the content of MWCNTs, the dispersion of MWCNTs in the 0.6 wt % MWCNT/WPU composite (Figure 3c) became relatively uniform, without obvious agglomerations. Furthermore, the significantly close distance between MWCNT particles allowed some of them to connect with each other to generate an efficient conductive path over the whole composite, which led to good electrical conductivity. Figure 3d shows the distribution of MWCNTs in the 0.9 wt % MWCNT/WPU composite: a very small amount of MWCNTs were present at the top, possibly less than 0.9 wt % and a relatively dense MWCNT content was observed in the bottom area, possibly over 0.9 wt %. The content of MWCNTs at the top of the composite in Figure 3d is basically the same as that in Figure 3c, which indicates that the conductivity at the top of the 0.9 wt % MWCNT/WPU composite was equal to that of the 0.6 wt % MWCNT/WPU composite; however, the conductivity at the bottom of the composite was better. Generally, the conductivity of the whole composite was greater than that of the 0.6 wt % MWCNT/WPU composite. As the content of MWCNTs was increased from 1.2 wt % (Figure 3e) to 1.5 wt % (Figure 3f), the MWCNTs became more dispersed throughout the composite, which resulted in their electrical conductivity being further enhanced. We can conclude from the above results that evenly dispersing the MWCNTs in resin could reduce the amount of MWCNTs added to the conductive composite.
Figure 3.
Cross-sectional micro-morphologies of (a) 0 wt %, (b) 0.3 wt %, (c) 0.6 wt %, (d) 0.9 wt %, (e) 1.2 wt %, and (f) 1.5 wt % MWCNT/WPU composites.
3.2. Adhesion Strength of the Composite and Its Molecular Structure
Figure 4 shows the adhesion strength between different MWCNT/WPU composites and metal substrates according to the results of the pull-off test. The adhesion strength of the pure WPU coating to the metal substrate was 5.65 MPa; the adhesion strength between the WPU composite and the metal substrate gradually decreased with increasing MWCNT content. As the Q2535 steel substrate was roughened before it was coated, its rough surface provided an abundance of adsorption positions for the deposition of WPU resins. Moreover, the composite could be firmly adsorbed onto the Q235 steel substrate surface under the action of coulomb forces. Thus, the adhesion strength of the WPU composite to the Q235 steel substrate was enhanced. When the content of MWCNTs was 0.3 wt % (or 0.6 wt %), the adhesion strength between the WPU composite and the metal substrate was 5.18 MPa (or 5.03 MPa), which was lower than that of the pure WPU coating. Moreover, it was greater than 5 MPa, meeting the requirements for a protective coating in accordance with ISO 12944-6. The reason behind this enhancement may be explained as follows. After a small amount of MWCNTs was added, the hydrogen bonding that occurred between -OH groups on the surface of the MWCNT particles with polar groups (such as -NCO groups) on the molecular chain of the WPU caused cross-linking polymerization between the MWCNTs and the WPU resin. This reduced the number of microdefects on the composite arising from the addition of the MWCNTs [29], so the strength of the composite was not significantly reduced. However, it was easy for the MWCNTs to accumulate as the content of MWCNTs further increased because the number of MWCNTs between the metal substrate and the composite increased, which resulted in the adhesive capacity at the metal substrate/composite interface being reduced. Thus, the strength of the composite–metal substrate bond decreased. Additionally, fractured regions of the WPU composites were found in the adhesive layer during the pull-off test. As the MWCNT contents increased, the strength of the 0.9 wt % MWCNT/WPU composite’s adhesion to the metal substrate (4.71 MPa) decreased significantly, and that of the 1.5 wt % MWCNT/WPU composite decreased to 4.39 MPa. The reason for this decrease may be explained as follows. After mechanical dispersion, the agglomerated MWCNT particles became prone to sedimentation under the action of gravity during the curing process of WPU, and the contact areas between either the composite and the metal substrate or the WPU resins and the MWCNT particles decreased. Thus, the adhesion between the composite and the metal substrate decreased. When the WPU was an emulsion, the MWCNTs expanded. However, with an increase in the content of MWCNTs, the MWCNTs could not contract, nor could the WPU shrink during curing. Honeycomb pores were found in the bonding layer of the composite to the steel substrate after the pull-off test when the MWCNT content was more than 0.9 wt %. Evidently, the excessive addition of MWCNTs caused a large number of defects in the composite and, ultimately, the adhesion strength between the composite and the metal substrate was reduced.
Figure 4.
Strength of the adhesion of different MWCNT/WPU composites to metal substrates.
Figure 5 shows the FTIR spectra of different MWCNT/WPU composites. The characteristic peaks of PU are as follows [30]. The flexural vibration peak of -NCO is around 578 cm−1. The characteristic peaks of C-O are around 1072 cm−1 and 1157 cm−1. The stretching vibration peaks of C-N, C=O, and N-H are, respectively, around 1465, 1712, and 3348 cm−1. The characteristic peak intensities of polar groups, including -NCO, C=O, and C-O, gradually weakened and then slowly increased as the content of MWCNTs increased from 0.3 wt % to 1.5 wt %. The clear change in the peak intensity of C=O can be explained as follows. When a small amount of MWCNTs was added, the MWCNT particles were evenly dispersed in the WPU resins. In addition, the cross-linking polymerization that occurred between a few polar groups (such as -OH) on the surfaces of the MWCNT particles and the polar groups of the WPU molecular chains caused a link between the MWCNTs and WPU resins [31], resulting in better MWCNT dispersion. As the content of MWCNTs was further increased, some MWCNT particles became prone to agglomeration due to the specific surface effect and the volume effect, and a reduced number of polar groups in the MWCNTs could react with the polar groups in the WPU. Therefore, the glue-like solution containing the agglomerated MWCNTs became less viscous (more affected by gravity), leading to the gravitational settling of MWCNTs. Therefore, the well-dispersed MWCNTs cross-linked with the WPU and then were distributed in the upper area of the composite, whereas the poorly dispersed MWCNTs agglomerated together and then deposited at the bottom of the composite. It can be further hypothesized using bonding theory that the conductive medium content affected the adhesion strength between the composite and the metal substrate. To solve the problem of incompatibility between organic and inorganic materials, our research team will study modification technologies to improve the quantity or diversity of polar groups on the surfaces of MWCNT particles and then add the modified MWCNTs to resins in later studies.
Figure 5.
FTIR spectra of different MWCNT/WPU composites.
3.3. Corrosion Resistance Analysis
Figure 6 shows equivalent electric circuit models of (a) a pure polyurethane coating and (b) MWCNT/WPU composites immersed in 3.5 wt % NaCl solution at 40 °C for 20 days with two time constants. Rs is the electrolyte resistance between the coating sample and the reference electrode, representing the ionic conduction process. C and CPE are the electrical double-layer capacitor, representing the double-layer charging process. Rp stands for the charge transfer resistance, representing the charge transfer process. Wo denotes the diffusion transfer process. Conductor conduction and tunnel conduction may also be present in the WPU composites.
Figure 6.
Equivalent electric circuit models with two time constants of (a) a pure polyurethane coating and (b) MWCNT/WPU composites.
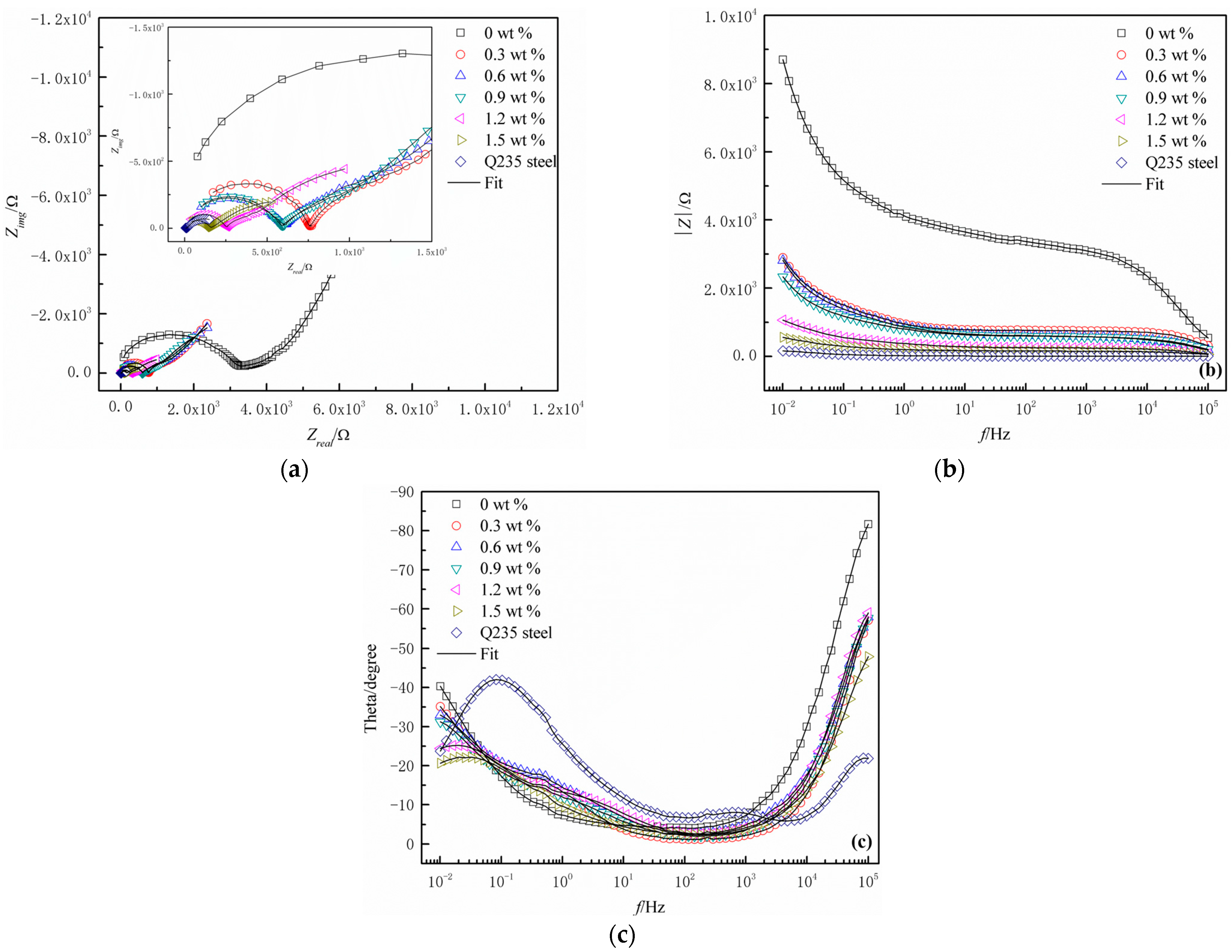
Figure 7 shows the complex plane impedance spectra (Figure 7a) and the Bode plots (|Z| vs. f in Figure 7b and θ vs. f in Figure 7c) for different MWCNT/WPU composites after immersion in a 3.5 wt % NaCl solution at 40 °C for 20 days. The large semicircular diameter in the high-frequency region of Figure 7a shows the composite is highly insulating. The smaller semicircular diameter of the pure Q235 steel substrate in the high-frequency region indicates serious corrosion because a poorly corrosion-resistant layer of corrosion products was generated on the surface of the Q235 steel substrate. In addition, the largest semicircle diameter of the pure WPU coating and the semicircle diameters of the WPU composites gradually decreased with an increase in the content of MWCNTs. As seen in Figure 7b, the large impedance modulus of the composite indicated its excellent shielding effect. As the content of MWCNTs was increased from 0.3 wt % to 1.5 wt %, the impedance modulus of the WPU composite at the frequency of 0.01 Hz decreased from 2893.4 Ω to 557.2 Ω, and the shielding effect of the coating was reduced. Furthermore, the impedance modulus of the WPU composite was at least one order of magnitude higher than that of the pure Q235 steel substrate, and the WPU composite coating on the pure Q235 steel substrate surface exhibited a good shielding effect from high temperatures and high-salinity corrosive media. Figure 7c shows the phase angle–frequency curves with two time constants. The high-frequency region represents the insulation and shielding effect of the composite. The low-frequency region represents the corrosion reaction between the electrolyte and the metal substrate, indicating the permeation of the electrolyte through the metal substrate.
Figure 7.
(a) Complex plane impedance spectra and Bode plots of (b) |Z| vs. f and (c) θ vs. f for different WMCNTs/WPU composites after immersion in 3.5 wt % NaCl solution at 40 °C for 20 days.
Figure 8 shows the potentiodynamic polarization curves of different MWCNT/WPU composites after immersion in a 3.5 wt % NaCl solution at 40 °C for 20 days. The corresponding parameters after the Tafel fitting are shown in Table 2. The corrosion potential of the WPU composite decreased, and its corrosion current density increased with the increase in MWCNT contents. This shows that the corrosion resistance of the WPU composite gradually weakened. Evidently, the corrosion potential of the WPU composite was higher, and its corrosion current density was reduced by one order of magnitude compared with that of the pure Q235 steel substrate. The excellent anticorrosion property of the obtained MWCNT/WPU composites can protect Q235 steel materials from corrosive environments with a high ambient temperature and high amounts of corrosive media.
Figure 8.
Potentiodynamic polarization curves of different MWCNT/WPU composites after immersion in 3.5 wt % NaCl solution at 40 °C for 20 days.
Table 2.
Parameters of potentiodynamic polarization curves for different MWCNT/WPU composites after Tafel fit.
The results of the electrochemical test show that the increased MWCNT contents improved the conduction of the conductive particles, leading to an increase in microdefects in the composite. Thus, more channels were created for the electrolyte to pass through the composite to the surfaces of the metal substrates. Once the electrolytes passed through the defects of the composites to the composite/metal interfaces, the composites were not effective, and the metals corroded. Therefore, a high amount of the conductive medium reduces the ability of composites to protect metal substrates from external corrosive media. The reason that MWCNT/WPU composites still have a protective effect on carbon steels may be that the pure PU coating has good protective properties that prevent the diffusion of the external corrosive media to the carbon steel substrates and, therefore, the corrosion rate of the steel substrates is weakened to a certain extent. However, some differences are present in the shielding effect of different MWCNT/WPU composites from the external corrosion environment due to the fact that they have different corrosion potentials.
4. Conclusions
In this work, a series of eco-friendly anticorrosive conductive composites were prepared for the first time by adding different amounts of MWCNTs into WPU emulsions, which were then coated onto Q235 steel substrates. The dispersion characteristics (with regard to different MWCNT contents) and the conduction mechanism of the obtained composites were then determined. Additionally, the effect of MWCNT dispersion on the properties of WPU composites was studied. The results are summarized as follows.
When the MWCNT content was low, the MWCNTs were well dispersed, producing a conductive network in the WPU composite, which was not entirely covered by the MWCNT particles, so the electrical conductivity of certain parts of the coating was good. When the content of MWCNTs was excessive, a few stretched MWCNTs dispersed into the upper area of the composite and a lot agglomerated in the bottom. Thus, we explored technologies that modify MWCNTs to resolve this agglomeration and to reduce the incompatibility between MWCNT particles and resins.
When the content of MWCNTs was less than 0.3 wt %, (0.3~0.6) wt % or over 0.6 wt %, the WPU composite exhibited an electric capacity, tunnel conduction, and both tunnel and conductor conduction, respectively. With an increase in the MWCNT content, the electrical conductivity of the WPU composite increased while its corrosion resistance and adhesion strength decreased. When the MWCNT content was 0.6 wt %, the MWCNT particles became evenly dispersed and intertwined to form a conductive path. The volume resistivity and adhesion strength of the obtained WPU composite met the standard requirements, and its corrosion current density was about one order of magnitude lower than that of the pure Q235 steel substrate; thus, the coating could protect carbon steel from a corrosive environment.
Author Contributions
Conceptualization, F.W. and X.L.; methodology, B.C. and K.D.; validation, X.L. and B.C.; formal analysis, F.W.; investigation, X.W. and K.D.; writing—original draft preparation, F.W.; writing—review and editing, F.W.; supervision, X.L.; project administration, F.W. All authors have read and agreed to the published version of the manuscript.
Funding
The authors thank the financial support provided by the National Natural Science Foundation of China (NSFC), grant number 52301094, and by the Science and Technology Innovation Talent Fund of Xianyang, China, grant number L2023-CXNL-CXRC-013.
Data Availability Statement
No additional unpublished data are available.
Conflicts of Interest
The authors declare that no conflicts of interest exist in the submission of this manuscript. All listed authors have approved the manuscript that is enclosed.
References
- Khun, N.W.; Frankel, G.S. Cathodic delamination of polyurethane/multiwalled carbon nanotube composite coatings from steel substrates. Prog. Org. Coat. 2016, 99, 55–60. [Google Scholar] [CrossRef]
- Fan, X.G.; Xia, Y.Z.; Wu, S.; Zhang, D.; Oliver, S.; Chen, X.N.; Lei, L.; Shi, S.X. Covalently immobilization of modified graphene oxide with waterborne hydroxyl acrylic resin for anticorrosive reinforcement of its coatings. Prog. Org. Coat. 2022, 163, 106685. [Google Scholar] [CrossRef]
- Dutta, G.K.; Karak, N. Citric acid functionalized reduced graphene oxide containing bio-based waterborne polyester thermoset as an excellent anticorrosive material. Polym. Adv. Technol. 2023, 34, 890–904. [Google Scholar] [CrossRef]
- Turri, S.; Levi, M. Structure, dynamic properties, and surface behavior of nanostructured ionomeric polyurethanes from reactive polyhedral oligomeric silsesquioxanes. Macromolecules 2005, 38, 5569–5574. [Google Scholar] [CrossRef]
- Cai, J.C.; Murugadoss, V.; Jiang, J.Y.; Gao, X.; Lin, Z.P.; Huang, M.; Guo, J.; Alsareii, S.A.; Algadi, H.; Kathiresan, M. Waterborne polyurethane and its nanocomposites: A mini-review for anti-corrosion coating, flame retardancy, and biomedical applications. Adv. Compos. Hybrid Mater. 2022, 5, 641–650. [Google Scholar] [CrossRef]
- Lee, D.K.; Tsai, H.B.; Tsai, R.S. Aqueous polyurethane dispersions derived from polycarbonatediols and Di (4-isocyanatocyclohexyl) methane. Polym. Eng. Sci. 2006, 46, 588–593. [Google Scholar] [CrossRef]
- Barikani, M.; Valipour Ebrahimi, M.; Seyed Mohaghegh, S.M. Preparation and characterization of aqueous polyurethane dispersions containing ionic centers. J. Appl. Polym. Sci. 2007, 104, 3931–3937. [Google Scholar] [CrossRef]
- Wu, Q.; Hu, J.L. Waterborne polyurethane based thermoelectric composites and their application potential in wearable thermoelectric textiles. Compos. Part B Eng. 2016, 107, 59–66. [Google Scholar] [CrossRef]
- Wang, Y.Z.; Chang, W.J.; Wang, Z.; Ma, J.P.; Yu, X.; Li, Y.; Zhang, L.Z. Silanized mxMXene/carbon nanotube composites as a shielding layer of polyurethane coatings for anticorrosion. ACS Appl. Nano Mater. 2022, 5, 1408–1418. [Google Scholar] [CrossRef]
- Deng, H.H.; Xie, F.; Shi, H.B.; Li, Y.F.; Liu, S.Y.; Zhang, C.Q. UV resistance, anticorrosion and high toughness bio-based waterborne polyurethane enabled by a sorbitan monooleate. Chem. Eng. J. 2022, 446, 137124. [Google Scholar] [CrossRef]
- Yu, Z.H.; Yan, Z.Y.; Zhang, F.H.; Wang, J.X.; Shao, Q.; Murugadoss, V.; Alhadhrami, A.; Mersal, G.A.M.; Ibrahim, M.M. Waterborne acrylic resin co-modified by itaconic acid and γ-methacryloxypropyl triisopropoxidesilane for improved mechanical properties, thermal stability, and corrosion resistance. Prog. Org. Coat. 2022, 168, 106875. [Google Scholar] [CrossRef]
- Dong, M.Y.; Li, Q.; Liu, H.; Liu, C.T.; Wujcik, E.K.; Shao, Q.; Ding, T.; Mai, X.M.; Shen, C.Y.; Guo, Z.H. Thermoplastic polyurethane-carbon black nanocomposite coating: Fabrication and solid particle erosion resistance. Polymer 2018, 158, 381–390. [Google Scholar] [CrossRef]
- Tao, J.R.; Tang, X.H.; He, Q.M.; Wang, M. Effect of surface conductivity on electromagnetic shielding of multi-walled carbon nanotubes/Poly (ε-caprolactone) composites. Compos. Sci. Technol. 2022, 229, 109715. [Google Scholar] [CrossRef]
- Akbarzadeh, S.; Akbarzadeh, K.; Ramezanzadeh, M.; Naderi, R.; Mahdavian, M.; Olivier, M. Corrosion resistance enhancement of a sol-gel coating by incorporation of modified carbon nanotubes: Artificial neural network (ANN) modeling and experimental explorations. Prog. Org. Coat. 2023, 174, 107296. [Google Scholar] [CrossRef]
- You, K.M.; Park, S.S.; Lee, C.S.; Kim, J.M.; Park, G.P.; Kim, W.N. Preparation and characterization of conductive carbon nanotube-polyurethane foam composites. J. Mater. Sci. 2011, 46, 6850–6855. [Google Scholar] [CrossRef]
- Ashassi-Sorkhabi, H.; Bagheri, R.; Rezaeimoghadam, B. Sonoelectrochemical synthesis of ppy-MWCNTs-chitosan nanocomposite coatings: Characterization and corrosion behavior. J. Mater. Eng. Perform. 2015, 24, 385–392. [Google Scholar] [CrossRef]
- Wang, C.; Mo, B.M.; He, Z.F.; Shao, Q.; Pan, D.; Wujick, E.; Guo, J.; Xie, X.X.; Xie, X.F.; Guo, Z.H. Crosslinked norbornene copolymer anion exchange membrane for fuel cells. J. Membr. Sci. 2018, 556, 118–125. [Google Scholar] [CrossRef]
- Santamaria-Echart, A.; Fernandes, I.; Ugarte, L.; Barreiro, F.; Arbelaiz, A.; Corcuera, M.A.; Eceiza, A. Waterborne polyurethane-urea dispersion with chain extension step in homogeneous medium reinforced with cellulose nanocrystals. Compos. Part B Eng. 2018, 137, 31–38. [Google Scholar] [CrossRef]
- Kim, E.Y.; Lee, J.H.; Lee, D.J.; Lee, Y.H.; Lee, J.H.; Kim, H.D. Synthesis and properties of highly hydrophilic waterborne polyurethane-ureas containing various hardener content for waterproof breathable fabrics. J. Appl. Polym. Sci. 2013, 129, 1745–1751. [Google Scholar] [CrossRef]
- Patti, A.; Russo, P.; Acierno, D.; Acierno, S. Dispersion and thermal conductivity of polypropylene/multi wall carbon nanotubes composites. Compos. Part B Eng. 2016, 94, 350–359. [Google Scholar] [CrossRef]
- Zeng, Y.X.; Li, H.Q.; Li, J.; Yang, J.X.; Chen, Z.H. Preparation and characterization of solvent-free anti-corrosion polyurethane-urea coatings. Surf. Interfaces 2023, 36, 102504. [Google Scholar] [CrossRef]
- Fang, F.; Ran, S.Y.; Fang, Z.P.; Song, P.A.; Wang, H. Improved flame resistance and thermo-mechanical properties of epoxy resin nanocomposites from functionalized graphene oxide via self-assembly in water. Compos. Part B Eng. 2019, 165, 406–416. [Google Scholar] [CrossRef]
- Ha, Z.; Lei, L.; Zhou, M.Y.; Xia, Y.Z.; Chen, X.N.; Mao, P.; Fan, B.F.; Shi, S.X. Bio-based waterborne polyurethane coatings with high transparency, antismudge and anticorrosive properties. ACS Appl. Mater. Interfaces 2023, 15, 7427–7441. [Google Scholar] [CrossRef]
- Shen, W.N.; Feng, L.J.; Liu, X.; Luo, H.; Liu, Z.; Tong, P.R.; Zhang, W.H. Multiwall carbon nanotubes-reinforced epoxy hybrid coatings with high electrical conductivity and corrosion resistance prepared via electrostatic spraying. Prog. Org. Coat. 2016, 90, 139–146. [Google Scholar] [CrossRef]
- Song, D.D.; Yin, Z.W.; Liu, F.J.; Wan, H.X.; Gao, J.; Zhang, D.W.; Li, X.G. Effect of carbon nanotubes on the corrosion resistance of water-borne acrylic coatings. Prog. Org. Coat. 2017, 110, 182–186. [Google Scholar] [CrossRef]
- Krause, B.; Barbier, C.; Kunz, K.; Pötschke, P. Comparative study of single walled, multiwalled, and branched carbon nanotubes melt mixed in different thermoplastic matrices. Polymer 2018, 69, 75–85. [Google Scholar] [CrossRef]
- Josephson, B.D. Possible new effects in superconductive tunnelling. Phys. Lett. 1962, 1, 251–253. [Google Scholar] [CrossRef]
- Shapiro, S. Josephson currents in superconducting tunneling: The effect of microwaves and other observations. Phys. Rev. Lett. 1963, 11, 80–82. [Google Scholar] [CrossRef]
- Arukula, R.; Narayan, R.; Sreedhar, B.; Rao, C.R.K. High corrosion resistant-redox active-moisture curable-conducting polyurethanes. Prog. Org. Coat. 2016, 94, 79–89. [Google Scholar] [CrossRef]
- Shendi, H.K.; Omrani, I.; Ahmadi, A.; Farhadian, A.; Babanejad, N.; Nabid, R.M. Synthesis and characterization of a novel internal emulsifier derived from sunflower oil for the preparation of waterborne polyurethane and their application in coatings. Prog. Org. Coat. 2017, 105, 303–309. [Google Scholar] [CrossRef]
- Jing, Q.F.; Law, J.Y.; Tan, L.P.; Silberschmidt, V.V.; Li, L.; Dong, Z.L. Preparation, characterization and properties of polycaprolactone diol-functionalized multi-walled carbon nanotube/thermoplastic polyurethane composite. Compos. Part A Appl. Sci. Manuf. 2015, 70, 8–15. [Google Scholar] [CrossRef]
Disclaimer/Publisher’s Note: The statements, opinions and data contained in all publications are solely those of the individual author(s) and contributor(s) and not of MDPI and/or the editor(s). MDPI and/or the editor(s) disclaim responsibility for any injury to people or property resulting from any ideas, methods, instructions or products referred to in the content. |
© 2024 by the authors. Licensee MDPI, Basel, Switzerland. This article is an open access article distributed under the terms and conditions of the Creative Commons Attribution (CC BY) license (https://creativecommons.org/licenses/by/4.0/).







