A Global Assessment of Coagulation Profile and a Novel Insight into Adamts-13 Implication in Neonatal Sepsis
Abstract
Simple Summary
Abstract
1. Introduction
2. Materials and Methods
3. Results
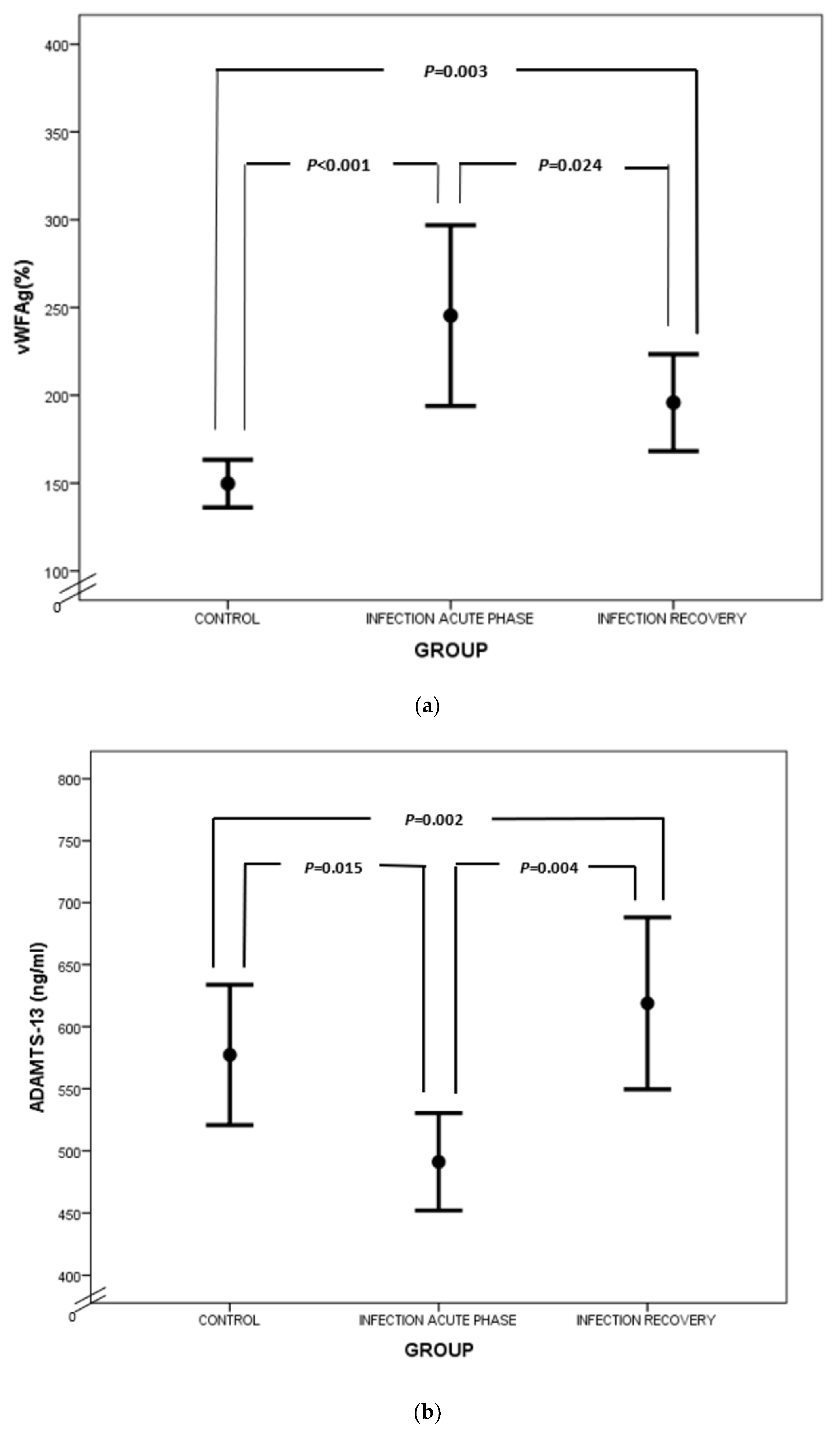
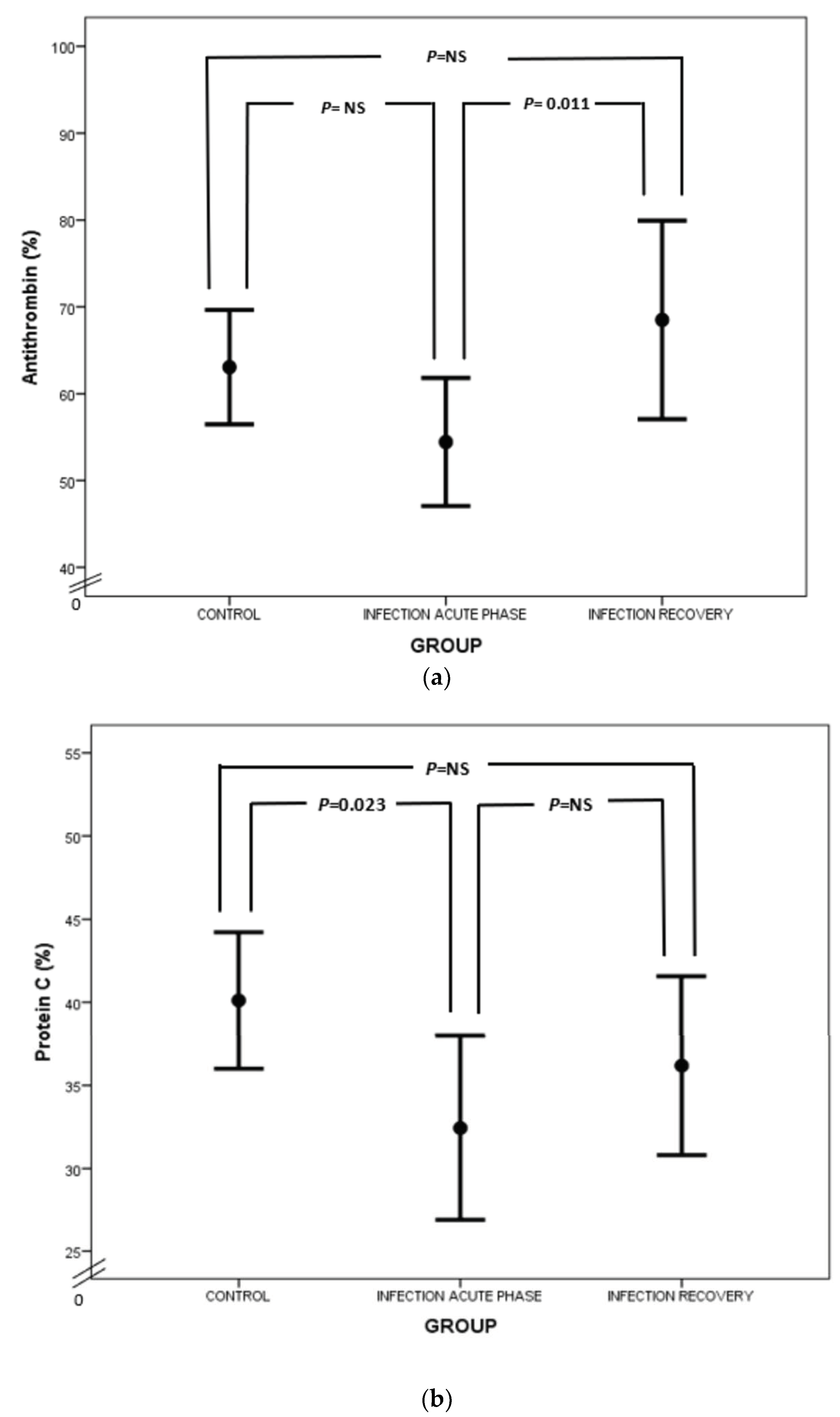
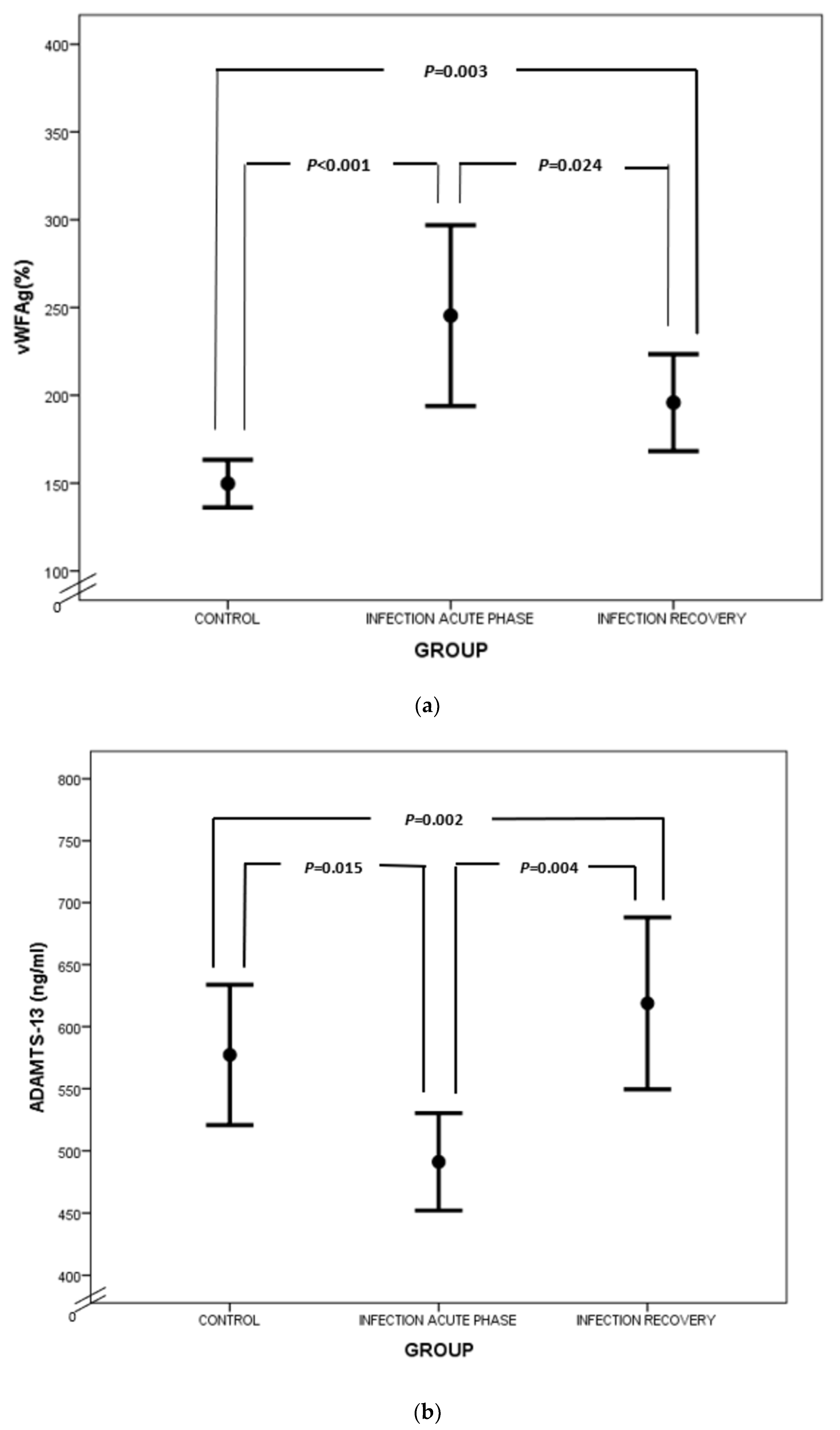
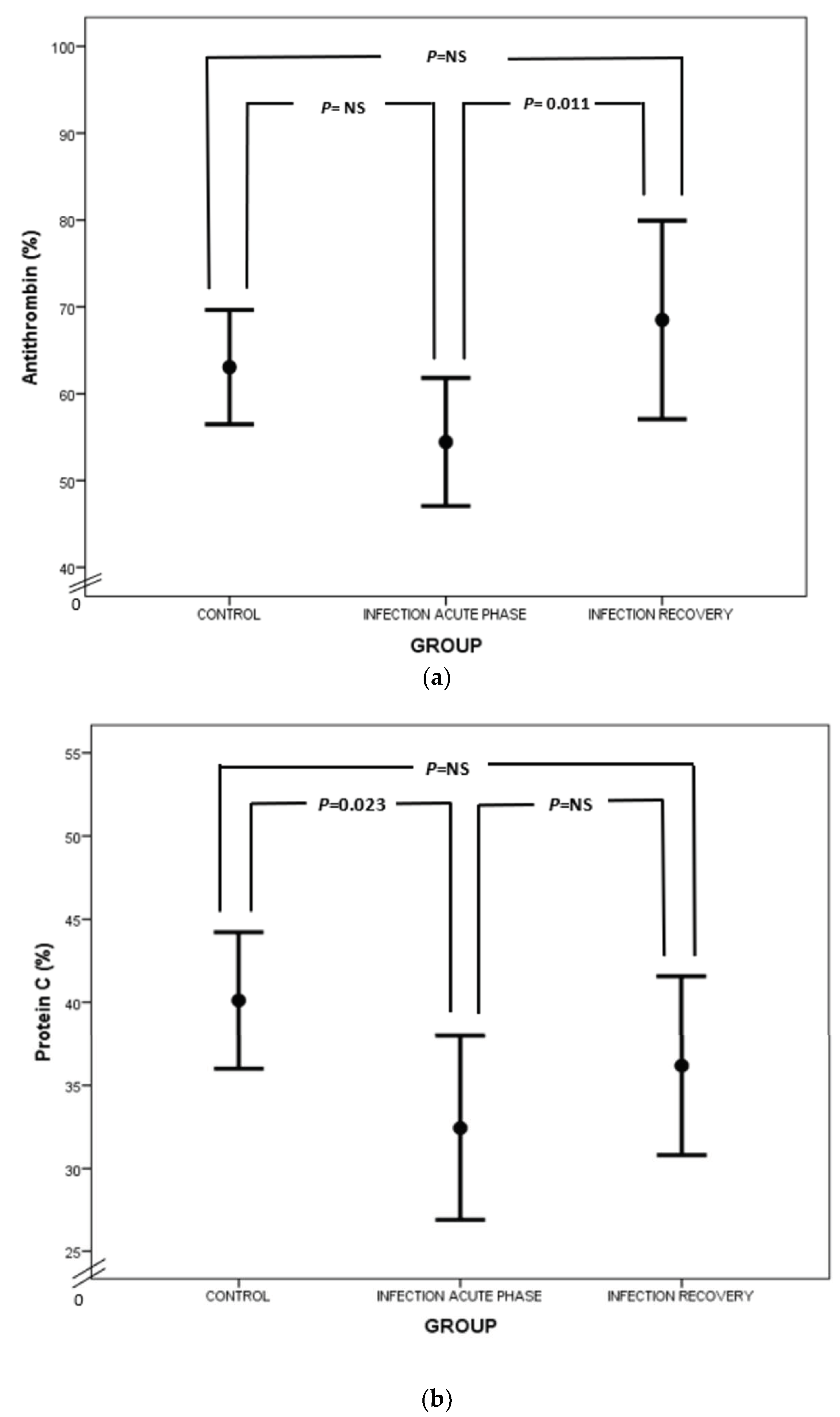
- (a)
- Comparison of coagulation parameters between acute phase of infection and healthy controls
- (b)
- Comparison of coagulation parameters between acute phase of infection and recovery
- (c)
- Comparison of coagulation parameters between recovery and healthy controls
4. Discussion
5. Conclusions
Author Contributions
Funding
Institutional Review Board Statement
Informed Consent Statement
Data Availability Statement
Conflicts of Interest
References
- Fleischmann-Struzek, C.; Goldfarb, D.M.; Schlattmann, P.; Schlapbach, L.J.; Reinhart, K.; Kissoon, N. The Global Burden of Paediatric and Neonatal Sepsis: A Systematic Review. Lancet Respir. Med. 2018, 6, 223–230. [Google Scholar] [CrossRef] [PubMed]
- Liu, L.; Oza, S.; Hogan, D.; Perin, J.; Rudan, I.; Lawn, J.E.; Cousens, S.; Mathers, C.; Black, R.E. Global, Regional, and National Causes of Child Mortality in 2000–13, with Projections to Inform Post-2015 Priorities: An Updated Systematic Analysis. Lancet 2015, 385, 430–440. [Google Scholar] [CrossRef] [PubMed]
- Flannery, D.D.; Puopolo, K.M. Neonatal Early-Onset Sepsis. NeoReviews 2022, 23, 756–770. [Google Scholar] [CrossRef] [PubMed]
- Coggins, S.A.; Glaser, K. Updates in Late-Onset Sepsis: Risk Assessment, Therapy, and Outcomes. NeoReviews 2022, 23, 738–755. [Google Scholar] [CrossRef] [PubMed]
- Martinod, K.; Deppermann, C. Immunothrombosis and Thromboinflammation in Host Defense and Disease. Platelets 2021, 32, 314–324. [Google Scholar] [CrossRef]
- Iba, T.; Levi, M.; Levy, J.H. Intracellular Communication and Immunothrombosis in Sepsis. J. Thromb. Haemost. 2022, 20, 2475–2484. [Google Scholar] [CrossRef]
- Iba, T.; Helms, J.; Connors, J.M.; Levy, J.H. The Pathophysiology, Diagnosis, and Management of Sepsis-Associated Disseminated Intravascular Coagulation. J. Intensive Care 2023, 11, 24. [Google Scholar] [CrossRef]
- Saracco, P.; Vitale, P.; Scolfaro, C.; Pollio, B.; Pagliarino, M.; Timeus, F. The Coagulopathy in Sepsis: Significance and Implications for Treatment. Pediatr. Rep. 2011, 3, e30. [Google Scholar] [CrossRef]
- Andres, O.; Schulze, H.; Speer, C.P. Platelets in Neonates: Central Mediators in Haemostasis, Antimicrobial Defence and Inflammation. Thromb. Haemost. 2015, 113, 3–12. [Google Scholar] [CrossRef]
- Ma, L.; Dorling, A. The Roles of Thrombin and Protease-Activated Receptors in Inflammation. Semin. Immunopathol. 2012, 34, 63–72. [Google Scholar] [CrossRef]
- José, R.J.; Williams, A.E.; Mercer, P.F.; Sulikowski, M.G.; Brown, J.S.; Chambers, R.C. Regulation of Neutrophilic Inflammation by Proteinase-Activated Receptor 1 during Bacterial Pulmonary Infection. J. Immunol. 2015, 194, 6024–6034. [Google Scholar] [CrossRef] [PubMed]
- Klingenberg, C.; Kornelisse, R.F.; Buonocore, G.; Maier, R.F.; Stocker, M. Culture-Negative Early-Onset Neonatal Sepsis—At the Crossroad between Efficient Sepsis Care and Antimicrobial Stewardship. Front. Pediatr. 2018, 6, 285. [Google Scholar] [CrossRef] [PubMed]
- Eichberger, J.; Resch, E.; Resch, B. Diagnosis of Neonatal Sepsis: The Role of Inflammatory Markers. Front. Pediatr. 2022, 10, 840288. [Google Scholar] [CrossRef]
- Hayes, R.; Hartnett, J.; Semova, G.; Murray, C.; Murphy, K.; Carroll, L.; Plapp, H.; Hession, L.; O’Toole, J.; McCollum, D.; et al. Neonatal Sepsis Definitions from Randomised Clinical Trials. Pediatr. Res. 2023, 93, 1141–1148. [Google Scholar] [CrossRef] [PubMed]
- Wynn, J.L.; Polin, R.A. A Neonatal Sequential Organ Failure Assessment Score Predicts Mortality to Late-Onset Sepsis in Preterm Very Low Birth Weight Infants. Pediatr. Res. 2020, 88, 85–90. [Google Scholar] [CrossRef] [PubMed]
- Berka, I.; Korček, P.; Janota, J.; Straňák, Z. Neonatal Sequential Organ Failure Assessment (NSOFA) Score within 72 Hours after Birth Reliably Predicts Mortality and Serious Morbidity in Very Preterm Infants. Diagnostics 2022, 12, 1342. [Google Scholar] [CrossRef]
- Rieger, M.; Ferrari, S.; Hovinga, J.A.; Konetschny, C.; Herzog, A.; Koller, L.; Weber, A.; Remuzzi, G.; Dockal, M.; Plaimauer, B.; et al. Relation between ADAMTS13 Activity and ADAMTS13 Antigen Levels in Healthy Donors and Patients with Thrombotic Microangiopathies (TMA). Thromb. Haemost. 2006, 95, 212–220. [Google Scholar] [CrossRef]
- Sharma, A.; Sikka, M.; Gomber, S.; Sharma, S. Plasma Fibrinogen and D-Dimer in Children with Sepsis: A Single-Center Experience. Iran. J. Pathol. 2018, 13, 272–275. [Google Scholar] [CrossRef]
- Mitra, P.; Guha, D.; Nag, S.S.; Mondal, B.C.; Dasgupta, S. Role of Plasma Fibrinogen in Diagnosis and Prediction of Short Term Outcome in Neonatal Sepsis. Indian J. Hematol. Blood Transfus. 2017, 33, 195–199. [Google Scholar] [CrossRef]
- El Beshlawy, A.; Alaraby, I.; Abou Hussein, H.; Abou-Elew, H.H.; Mohamed Abdel Kader, M.S.E. Study of Protein C, Protein S, and Antithrombin III in Newborns with Sepsis. Pediatr. Crit. Care Med. 2010, 11, 52–59. [Google Scholar] [CrossRef]
- Guibourdenche, J.; Bedu, A.; Petzold, L.; Marchand, M.; Mariani-Kurdjian, P.; Hurtaud-Roux, M.-F.; Aujard, Y.; Porquet, D. Biochemical Markers of Neonatal Sepsis: Value of Procalcitonin in the Emergency Setting. Ann. Clin. Biochem. 2002, 39, 130–135. [Google Scholar] [CrossRef] [PubMed]
- Mammen, E.F. Coagulation Abnormalities in Liver Disease. Hematol. Oncol. Clin. N. Am. 1992, 6, 1247–1257. [Google Scholar] [CrossRef]
- Knoebl, P. Blood Coagulation Disorders in Septic Patients. Wien. Med. Wochenschr. 2010, 160, 129–138. [Google Scholar] [CrossRef] [PubMed]
- Saxonhouse, M.A.; Manco-Johnson, M.J. The Evaluation and Management of Neonatal Coagulation Disorders. Semin. Perinatol. 2009, 33, 52–65. [Google Scholar] [CrossRef] [PubMed]
- Ersoy, B.; Nehir, H.; Altinoz, S.; Yilmaz, O.; Dundar, P.E.; Aydogan, A. Prognostic Value of Initial Antithrombin Levels in Neonatal Sepsis. Indian Pediatr. 2007, 44, 581–584. [Google Scholar]
- Niederwanger, C.; Bachler, M.; Hell, T.; Linhart, C.; Entenmann, A.; Balog, A.; Auer, K.; Innerhofer, P. Inflammatory and Coagulatory Parameters Linked to Survival in Critically Ill Children with Sepsis. Ann. Intensive Care 2018, 8, 111. [Google Scholar] [CrossRef]
- Davidson, S.J. Inflammation and Acute Phase Proteins in Haemostasis. In Acute Phase Proteins; Janciauskiene, S., Ed.; InTech: Rijeka, Croatia, 2013; ISBN 978-953-51-1185-6. [Google Scholar]
- Pietrasanta, C.; Pugni, L.; Ronchi, A.; Bottino, I.; Ghirardi, B.; Sanchez-Schmitz, G.; Borriello, F.; Mosca, F.; Levy, O. Vascular Endothelium in Neonatal Sepsis: Basic Mechanisms and Translational Opportunities. Front. Pediatr. 2019, 7, 340. [Google Scholar] [CrossRef]
- Pappelbaum, K.I.; Gorzelanny, C.; Grässle, S.; Suckau, J.; Laschke, M.W.; Bischoff, M.; Bauer, C.; Schorpp-Kistner, M.; Weidenmaier, C.; Schneppenheim, R.; et al. Ultralarge von Willebrand Factor Fibers Mediate Luminal Staphylococcus aureus Adhesion to an Intact Endothelial Cell Layer under Shear Stress. Circulation 2013, 128, 50–59. [Google Scholar] [CrossRef]
- Claes, J.; Vanassche, T.; Peetermans, M.; Liesenborghs, L.; Vandenbriele, C.; Vanhoorelbeke, K.; Missiakas, D.; Schneewind, O.; Hoylaerts, M.F.; Heying, R.; et al. Adhesion of Staphylococcus Aureus to the Vessel Wall under Flow Is Mediated by von Willebrand Factor–Binding Protein. Blood 2014, 124, 1669–1676. [Google Scholar] [CrossRef]
- Yang, J.; Wu, Z.; Long, Q.; Huang, J.; Hong, T.; Liu, W.; Lin, J. Insights Into Immunothrombosis: The Interplay Among Neutrophil Extracellular Trap, von Willebrand Factor, and ADAMTS13. Front. Immunol. 2020, 11, 610696. [Google Scholar] [CrossRef]
- Crawley, J.T.B.; de Groot, R.; Xiang, Y.; Luken, B.M.; Lane, D.A. Unraveling the Scissile Bond: How ADAMTS13 Recognizes and Cleaves von Willebrand Factor. Blood 2011, 118, 3212–3221. [Google Scholar] [CrossRef]
- Gragnano, F.; Sperlongano, S.; Golia, E.; Natale, F.; Bianchi, R.; Crisci, M.; Fimiani, F.; Pariggiano, I.; Diana, V.; Carbone, A.; et al. The Role of von Willebrand Factor in Vascular Inflammation: From Pathogenesis to Targeted Therapy. Mediat. Inflamm. 2017, 2017, 5620314. [Google Scholar] [CrossRef] [PubMed]
- Bernardo, A.; Ball, C.; Nolasco, L.; Moake, J.F.; Dong, J. Effects of Inflammatory Cytokines on the Release and Cleavage of the Endothelial Cell–Derived Ultralarge von Willebrand Factor Multimers under Flow. Blood 2004, 104, 100–106. [Google Scholar] [CrossRef]
- Pillai, V.G.; Bao, J.; Zander, C.B.; McDaniel, J.K.; Chetty, P.S.; Seeholzer, S.H.; Bdeir, K.; Cines, D.B.; Zheng, X.L. Human Neutrophil Peptides Inhibit Cleavage of von Willebrand Factor by ADAMTS13: A Potential Link of Inflammation to TTP. Blood 2016, 128, 110–119. [Google Scholar] [CrossRef]
- Ono, T.; Mimuro, J.; Madoiwa, S.; Soejima, K.; Kashiwakura, Y.; Ishiwata, A.; Takano, K.; Ohmori, T.; Sakata, Y. Severe Secondary Deficiency of von Willebrand Factor–Cleaving Protease (ADAMTS13) in Patients with Sepsis-Induced Disseminated Intravascular Coagulation: Its Correlation with Development of Renal Failure. Blood 2006, 107, 528–534. [Google Scholar] [CrossRef] [PubMed]
- Nguyen, T.C.; Liu, A.; Liu, L.; Ball, C.; Choi, H.; May, W.S.; Aboulfatova, K.; Bergeron, A.L.; Dong, J.-F. Acquired ADAMTS-13 Deficiency in Pediatric Patients with Severe Sepsis. Haematologica 2007, 92, 121–124. [Google Scholar] [CrossRef] [PubMed]
- Chen, J.; Chung, D.W. Inflammation, von Willebrand Factor, and ADAMTS13. Blood 2018, 132, 141–147. [Google Scholar] [CrossRef]
- Bonnefoy, A.; Daenens, K.; Feys, H.B.; De Vos, R.; Vandervoort, P.; Vermylen, J.; Lawler, J.; Hoylaerts, M.F. Thrombospondin-1 Controls Vascular Platelet Recruitment and Thrombus Adherence in Mice by Protecting (Sub)Endothelial VWF from Cleavage by ADAMTS13. Blood 2006, 107, 955–964. [Google Scholar] [CrossRef]
- Martin, K.; Borgel, D.; Lerolle, N.; Feys, H.B.; Trinquart, L.; Vanhoorelbeke, K.; Deckmyn, H.; Legendre, P.; Diehl, J.-L.; Baruch, D. Decreased ADAMTS-13 (A Disintegrin-like and Metalloprotease with Thrombospondin Type 1 Repeats) Is Associated with a Poor Prognosis in Sepsis-Induced Organ Failure. Crit. Care Med. 2007, 35, 2375–2382. [Google Scholar] [CrossRef]
- Peigne, V.; Azoulay, E.; Coquet, I.; Mariotte, E.; Darmon, M.; Legendre, P.; Adoui, N.; Marfaing-Koka, A.; Wolf, M.; Schlemmer, B.; et al. The Prognostic Value of ADAMTS13 (a Disintegrin and Metalloprotease with Thrombospondin Type 1 Repeats, Member 13) Deficiency in Septic Shock Patients Involves Interleukin-6 and Is Not Dependent on Disseminated Intravascular Coagulation. Crit. Care 2013, 17, R273. [Google Scholar] [CrossRef]
- Fukushima, H.; Nishio, K.; Asai, H.; Watanabe, T.; Seki, T.; Matsui, H.; Sugimoto, M.; Matsumoto, M.; Fujimura, Y.; Okuchi, K. Ratio of von Willebrand Factor Propeptide to ADAMTS13 Is Associated with Severity of Sepsis. Shock 2013, 39, 409–414. [Google Scholar] [CrossRef] [PubMed]
- Claus, R.; Bockmeyer, C.; Budde, U.; Kentouche, K.; Sossdorf, M.; Hilberg, T.; Schneppenheim, R.; Reinhart, K.; Bauer, M.; Brunkhorst, F.; et al. Variations in the Ratio between von Willebrand Factor and Its Cleaving Protease during Systemic Inflammation and Association with Severity and Prognosis of Organ Failure. Thromb. Haemost. 2009, 101, 239–247. [Google Scholar] [CrossRef] [PubMed]
- Karim, F.; Adil, S.N.; Afaq, B.; ul Haq, A. Deficiency of ADAMTS-13 in Pediatric Patients with Severe Sepsis and Impact on in-Hospital Mortality. BMC Pediatr. 2013, 13, 44. [Google Scholar] [CrossRef]
- Bockmeyer, C.L.; Claus, R.A.; Budde, U.; Kentouche, K.; Schneppenheim, R.; Losche, W.; Reinhart, K.; Brunkhorst, F.M. Inflammation-Associated ADAMTS13 Deficiency Promotes Formation of Ultra-Large von Willebrand Factor. Haematologica 2008, 93, 137–140. [Google Scholar] [CrossRef] [PubMed]
- Singh, K.; Kwong, A.C.; Madarati, H.; Kunasekaran, S.; Sparring, T.; Fox-Robichaud, A.E.; Liaw, P.C.; Kretz, C.A. Characterization of ADAMTS13 and von Willebrand Factor Levels in Septic and Non-Septic ICU Patients. PLoS ONE 2021, 16, e0247017. [Google Scholar] [CrossRef]
- Aibar, J.; Castro, P.; Espinosa, G.; Fernández, S.; Hernández, C.; Rinaudo, M.; Butjosa, M.; Tàssies, D.; Reverter, J.C.; Nicolás, J.M. ADAMTS-13 in Critically Ill Patients with Septic Syndromes and Noninfectious Systemic Inflammatory Response Syndrome. Shock 2015, 43, 556–562. [Google Scholar] [CrossRef]
- Lin, J.-J.; Chan, O.-W.; Hsiao, H.-J.; Wang, Y.; Hsia, S.-H.; Chiu, C.-H. Decreased ADAMTS 13 Activity Is Associated with Disease Severity and Outcome in Pediatric Severe Sepsis. Medicine 2016, 95, e3374. [Google Scholar] [CrossRef]
- Bongers, T.; Emonts, M.; de Maat, M.; de Groot, R.; Lisman, T.; Hazelzet, J.; Leebeek, F. Reduced ADAMTS13 in Children with Severe Meningococcal Sepsis Is Associated with Severity and Outcome. Thromb. Haemost. 2010, 103, 1181–1187. [Google Scholar] [CrossRef]
- Rautiainen, L.; Cirko, A.; Pavare, J.; Balmaks, R.; Grope, I.; Katirlo, I.; Gersone, G.; Tretjakovs, P.; Gardovska, D. Assessment of ADAMTS-13 Level in Hospitalized Children with Serious Bacterial Infections as a Possible Prognostic Marker. Medicina 2019, 55, 503. [Google Scholar] [CrossRef]
- Kremer Hovinga, J.A.; Zeerleder, S.; Kessler, P.; Romani De Wit, T.; Van Mourik, J.A.; Hack, C.E.; Ten Cate, H.; Reitsma, P.H.; Wuillemin, W.A.; Lämmle, B. ADAMTS-13, von Willebrand Factor and Related Parameters in Severe Sepsis and Septic Shock. J. Thromb. Haemost. 2007, 5, 2284–2290. [Google Scholar] [CrossRef]
- Ignjatovic, V.; Mertyn, E.; Monagle, P. The Coagulation System in Children: Developmental and Pathophysiological Considerations. Semin. Thromb. Hemost. 2011, 37, 723–729. [Google Scholar] [CrossRef] [PubMed]
- Mannucci, P.M.; Canciani, M.T.; Forza, I.; Lussana, F.; Lattuada, A.; Rossi, E. Changes in Health and Disease of the Metalloprotease That Cleaves von Willebrand Factor. Blood 2001, 98, 2730–2735. [Google Scholar] [CrossRef] [PubMed]
- Nguyen, T.C.; Han, Y.Y.; Kiss, J.E.; Hall, M.W.; Hassett, A.C.; Jaffe, R.; Orr, R.A.; Janosky, J.; Carcillo, J.A. Intensive Plasma Exchange Increases a Disintegrin and Metalloprotease with Thrombospondin Motifs-13 Activity and Reverses Organ Dysfunction in Children with Thrombocytopenia-Associated Multiple Organ Failure. Crit. Care Med. 2008, 36, 2878–2887. [Google Scholar] [CrossRef] [PubMed]
- O’Reilly, D.; Murphy, C.A.; Drew, R.; El-Khuffash, A.; Maguire, P.B.; Ainle, F.N.; Mc Callion, N. Platelets in Pediatric and Neonatal Sepsis: Novel Mediators of the Inflammatory Cascade. Pediatr. Res. 2022, 91, 359–367. [Google Scholar] [CrossRef] [PubMed]
- Nicolai, L.; Massberg, S. Platelets as Key Players in Inflammation and Infection. Curr. Opin. Hematol. 2020, 27, 34–40. [Google Scholar] [CrossRef]
- Lauterbach, R.; Pawlik, D.; Radziszewska, R.; Woźniak, J.; Rytlewski, K. Plasma Antithrombin III and Protein C Levels in Early Recognition of Late-Onset Sepsis in Newborns. Eur. J. Pediatr. 2006, 165, 585–589. [Google Scholar] [CrossRef]
- Ezihe-Ejiofor, J.A.; Hutchinson, N. Anticlotting Mechanisms 1: Physiology and Pathology. Contin. Educ. Anaesth. Crit. Care Pain 2013, 13, 87–92. [Google Scholar] [CrossRef]
- Jordan, R.E.; Kilpatrick, J.; Nelson, R.M. Heparin Promotes the Inactivation of Antithrombin by Neutrophil Elastase. Science 1987, 237, 777–779. [Google Scholar] [CrossRef]
- Niederwanger, C.; Hell, T.; Hofer, S.; Salvador, C.; Michel, M.; Schenk, B.; Treml, B.; Bachler, M. Antithrombin Deficiency Is Associated with Mortality and Impaired Organ Function in Septic Pediatric Patients: A Retrospective Study. PeerJ 2018, 6, e5538. [Google Scholar] [CrossRef]
- Chung, M.-C.; Jorgensen, S.C.; Popova, T.G.; Bailey, C.L.; Popov, S.G. Neutrophil Elastase and Syndecan Shedding Contribute to Antithrombin Depletion in Murine Anthrax. FEMS Immunol. Med. Microbiol. 2008, 54, 309–318. [Google Scholar] [CrossRef]
- Levy, J.H.; Sniecinski, R.M.; Welsby, I.J.; Levi, M. Antithrombin: Anti-Inflammatory Properties and Clinical Applications. Thromb. Haemost. 2016, 115, 712–728. [Google Scholar] [CrossRef] [PubMed]
- Yan, S.B.; Helterbrand, J.D.; Hartman, D.L.; Wright, T.J.; Bernard, G.R. Low Levels of Protein C Are Associated with Poor Outcome in Severe Sepsis. Chest 2001, 120, 915–922. [Google Scholar] [CrossRef] [PubMed]
- Macias, W.L.; Nelson, D.R. Severe Protein C Deficiency Predicts Early Death in Severe Sepsis. Crit. Care Med. 2004, 32, S223–S228. [Google Scholar] [CrossRef] [PubMed]
- Samransamruajkit, R.; Hiranrat, T.; Prapphal, N.; Sritippayawan, S.; Deerojanawong, J.; Poovorawan, Y. Levels of protein c activity and clinical factors in early phase of pediatric septic shock may be associated with the risk of death. Shock 2007, 28, 518–523. [Google Scholar] [CrossRef]
- Venkataseshan, S.; Dutta, S.; Ahluwalia, J.; Narang, A. Low Plasma Protein C Values Predict Mortality in Low Birth Weight Neonates with Septicemia. Pediatr. Infect. Dis. J. 2007, 26, 684–688. [Google Scholar] [CrossRef]
- Román, J.; Velasco, F.; Fernandez, F.; Fernandez, M.; Villalba, R.; Rubio, V.; Torres, A. Protein C, Protein S and C4b-Binding Protein in Neonatal Severe Infection and Septic Shock. J. Perinat. Med. 1992, 20, 111–116. [Google Scholar] [CrossRef]
- Lauterbach, R.; Wilk, B.; Bocheńska, A.; Hurkała, J.; Radziszewska, R. Nonactivated Protein C in the Treatment of Neonatal Sepsis: A Retrospective Analysis of Outcome. Pediatr. Infect. Dis. J. 2016, 35, 967–971. [Google Scholar] [CrossRef]
- Eliwan, H.; Omer, M.; McKenna, E.; Kelly, L.A.; Nolan, B.; Regan, I.; Molloy, E.J. Protein C Pathway in Paediatric and Neonatal Sepsis. Front. Pediatr. 2022, 9, 562495. [Google Scholar] [CrossRef]
- Choi, Q.; Hong, K.H.; Kim, J.-E.; Kim, H.K. Changes in Plasma Levels of Natural Anticoagulants in Disseminated Intravascular Coagulation: High Prognostic Value of Antithrombin and Protein C in Patients with Underlying Sepsis or Severe Infection. Ann. Lab. Med. 2014, 34, 85–91. [Google Scholar] [CrossRef]
- Hesselvik, J.F.; Malm, J.; Dahlbäck, B.; Blombäck, M. Protein C, Protein S and C4b-Binding Protein in Severe Lnfection and Septic Shock. Thromb. Haemost. 1991, 65, 126–129. [Google Scholar] [CrossRef]
- Tripodi, A. D-Dimer Testing in Laboratory Practice. Clin. Chem. 2011, 57, 1256–1262. [Google Scholar] [CrossRef] [PubMed]
- Appel, I.M.; Grimminck, B.; Geerts, J.; Stigter, R.; Cnossen, M.H.; Beishuizen, A. Age Dependency of Coagulation Parameters during Childhood and Puberty: Pediatric Reference Levels of Coagulation Parameters. J. Thromb. Haemost. 2012, 10, 2254–2263. [Google Scholar] [CrossRef]
- Toulon, P.; Berruyer, M.; Brionne-François, M.; Grand, F.; Lasne, D.; Telion, C.; Arcizet, J.; Giacomello, R.; De Pooter, N. Age Dependency for Coagulation Parameters in Paediatric Populations: Results of a Multicentre Study Aimed at Defining the Age-Specific Reference Ranges. Thromb. Haemost. 2016, 116, 9–16. [Google Scholar] [CrossRef] [PubMed]
- Monagle, P.; Barnes, C.; Ignjatovic, V.; Furmedge, J.; Newall, F.; Chan, A.; De Rosa, L.; Hamilton, S.; Ragg, P.; Robinson, S.; et al. Developmental Haemostasis: Impact for Clinical Haemostasis Laboratories. Thromb. Haemost. 2006, 95, 362–372. [Google Scholar] [CrossRef] [PubMed]
- Toulon, P. Developmental Hemostasis: Laboratory and Clinical Implications. Int. J. Lab. Hematol. 2016, 38, 66–77. [Google Scholar] [CrossRef]
- Williams, M.D.; Chalmers, E.A.; Gibson, B.E.S. The Investigation and Management of Neonatal Haemostasis and Thrombosis. Br. J. Haematol. 2002, 119, 295–309. [Google Scholar] [CrossRef]
- Peker, E.; Akbayram, S.; Geylani, H.; Dogan, M.; Kirimi, E. Global Fibrinolytic Capacity in Neonatal Sepsis. Clin. Appl. Thromb. Hemost. 2011, 17, E64–E69. [Google Scholar] [CrossRef]
- Al-Biltagi, M.; Hantash, E.M.; El-Shanshory, M.R.; Badr, E.A.; Zahra, M.; Anwar, M.H. Plasma D-Dimer Level in Early and Late-Onset Neonatal Sepsis. World J. Crit. Care Med. 2022, 11, 139–148. [Google Scholar] [CrossRef]
- Kumar, P.; Bhardwaj, P.; Chauhan, A.; Chauhan, L.; Karol, M. D-Dimer: A Useful Marker in Neonatal Sepsis. J. Clin. Neonatol. 2015, 4, 101. [Google Scholar] [CrossRef]
- Mautone, A.; Giordano, P.; Montagna, O.; Quercia, M.; Altomare, M.; Mattia, D.D. Coagulation and Fibrinolytic Systems in the Ill Preterm Newborn. Acta Paediatr. 1997, 86, 1100–1104. [Google Scholar] [CrossRef]
- El-Shahat, N.H.; El Shiekh, A.R.; Alaa, Z.M.; Elgebaly, S.M. Study of Diagnostic Value of D-Dimer Serum Level as a Marker in Neonatal Sepsis. Egypt. J. Hosp. Med. 2022, 86, 627–633. [Google Scholar] [CrossRef]
- Brahmana, A.R. The Role of D-Dimer Levels as a Marker of Neonatal Sepsis. Glob. J. Res. Anal. 2019, 8, 47–49. [Google Scholar]
- Motta, M.; Guaragni, B.; Pezzotti, E.; Rodriguez-Perez, C.; Chirico, G. Reference Intervals of Citrated-Native Whole Blood Thromboelastography in Premature Neonates. Early Hum. Dev. 2017, 115, 60–63. [Google Scholar] [CrossRef] [PubMed]
- Sokou, R.; Foudoulaki-Paparizos, L.; Lytras, T.; Konstantinidi, A.; Theodoraki, M.; Lambadaridis, I.; Gounaris, A.; Valsami, S.; Politou, M.; Gialeraki, A.; et al. Reference Ranges of Thromboelastometry in Healthy Full-Term and Pre-Term Neonates. Clin. Chem. Lab. Med. (CCLM) 2017, 55, 1592–1597. [Google Scholar] [CrossRef]
- Sentilhes, L.; Leroux, P.; Radi, S.; Ricbourg-Schneider, A.; Laudenbach, V.; Marpeau, L.; Bénichou, J.; Vasse, M.; Marret, S. Influence of Gestational Age on Fibrinolysis from Birth to Postnatal Day 10. J. Pediatr. 2011, 158, 377-382.e1. [Google Scholar] [CrossRef]
- Famodu, A. Brief Report. Fibrinolytic Activity in Preterm Nigerian Babies. J. Trop. Pediatr. 1996, 42, 243–245. [Google Scholar] [CrossRef]
- Green, J.; Doughty, L.; Kaplan, S.; Sasser, H.; Carcillo, J. The Tissue Factor and Plasminogen Activator Inhibitor Type-1 Response in Pediatric Sepsis-Induced Multiple Organ Failure. Thromb. Haemost. 2002, 87, 218–223. [Google Scholar] [CrossRef]
- Semeraro, F.; Ammollo, C.T.; Caironi, P.; Masson, S.; Latini, R.; Panigada, M.; Semeraro, N.; Gattinoni, L.; Colucci, M. Low D-Dimer Levels in Sepsis: Good or Bad? Thromb. Res. 2019, 174, 13–15. [Google Scholar] [CrossRef]
- Semeraro, F.; Colucci, M.; Caironi, P.; Masson, S.; Ammollo, C.T.; Teli, R.; Semeraro, N.; Magnoli, M.; Salati, G.; Isetta, M.; et al. Platelet Drop and Fibrinolytic Shutdown in Patients with Sepsis. Crit. Care Med. 2018, 46, e221–e228. [Google Scholar] [CrossRef]
- Han, Y.-Q.; Yan, L.; Zhang, L.; Ouyang, P.-H.; Li, P.; Lippi, G.; Hu, Z.-D. Performance of D-Dimer for Predicting Sepsis Mortality in the Intensive Care Unit. Biochem. Med. 2021, 31, 020709. [Google Scholar] [CrossRef]
- Wang, G.; Liu, J.; Xu, R.; Liu, X. Elevated Plasma D-Dimer Levels Are Associated with the Poor Prognosis of Critically Ill Children. Front. Pediatr. 2022, 10, 1001893. [Google Scholar] [CrossRef] [PubMed]
- Hyun, J.; Kim, H.K.; Kim, J.-E.; Lim, M.-G.; Jung, J.S.; Park, S.; Cho, H.-I. Correlation between Plasma Activity of ADAMTS-13 and Coagulopathy, and Prognosis in Disseminated Intravascular Coagulation. Thromb. Res. 2009, 124, 75–79. [Google Scholar] [CrossRef] [PubMed]
- Levi, M.; Scully, M.; Singer, M. The Role of ADAMTS-13 in the Coagulopathy of Sepsis. J. Thromb. Haemost. 2018, 16, 646–651. [Google Scholar] [CrossRef]
- Neely, W.A.; Berry, D.W.; Rushton, F.W.; Hardy, J.D. Septic Shock: Clinical, Physiological, and Pathological Survey of 244 Patients. Ann. Surg. 1971, 173, 657–666. [Google Scholar] [CrossRef] [PubMed]





| Variable | Infection (Acute Phase) | Infection (Recovery) | Control | p |
|---|---|---|---|---|
| N | 16 | 16 | 18 | |
| Gestational age (weeks) | 32.7 ± 2.9 | 38.2 ± 1.5 | 0.001 | |
| Chronological age (days) | 11 ± 15 | 28.8 ± 17.3 | 4.6 ± 2.2 | <0.001 |
| Corrected age (weeks) | 33.7 ± 4.3 | 36.0 ± 4.5 | 0.208 | |
| Birthweight (g) | 1644 ± 672 | 3090 ± 461 | 0.001 | |
| Prematurity | 0.001 | |||
| Yes | 12 (75%) | 3 (16.7%) | ||
| No | 4 (25%) | 15 (83.3%) | ||
| Gender | 0.366 | |||
| Male | 9 (56.3%) | 8 (44.4%) | ||
| Female | 7 (43.8%) | 10 (55.6%) | ||
| Type of conception | 0.742 | |||
| Normal | 15 (93.8%) | 16 (94.1%) | ||
| IVF | 1 (6.3%) | 1 (5.9%) | ||
| Prolonged rupture of membranes (≥18 h) | 0.146 | |||
| Yes | 4 (26.7%) | 1 (6.3%) | ||
| No | 11 (73.3%) | 15 (93.8%) | ||
| Type of delivery | 0.081 | |||
| Vaginal delivery | 5 (31.1%) | 11 (61.1%) | ||
| Cesarean section | 11 (68.8%) | 7 (38.9%) | ||
| Perinatal stress | 6 (37.5%) | |||
| Resuscitation | <0.001 | |||
| None | 3 (18.8%) | 18 (100%) | ||
| Neopuff | 9 (56.3%) | |||
| Intubation | 4 (25%) | |||
| SGA | 0.455 | |||
| Yes | 2 (12.5%) | 1 (5.6%) | ||
| No | 14 (87.5%) | 17 (94.4%) |
| Variable | Control Mean ± SD | Infection (Acute Phase) Mean ± SD | Infection (Recovery) Mean ± SD | p1 | p2 | p3 |
|---|---|---|---|---|---|---|
| Chronological Neonatal Age (days) | 4.6 ± 2.2 | 11 ± 15 | 28.8 ± 17.3 | - | - | - |
| Corrected neonatal age (weeks) | 33.7 ± 4.3 | 36.0 ± 4.5 | - | - | - | |
| PT (s) | 11.9 ± 1.8 | 15.2 ± 4.1 | 11.9 ± 0.8 | 0.014 | 0.979 | 0.014 |
| APPT (s) | 29.5 ± 2.7 | 33.1 ± 4.5 | 32.5 ± 2.2 | 0.040 | 0.001 | 0.750 |
| Fibrinogen (mg%) | 268.8± 55.8 | 379.6± 94.0 | 269.9 ± 63.1 | 0.002 | 0.957 | 0.005 |
| FII (%) | 59.8 ± 17.1 | 56.4 ± 15.6 | 54.1 ± 11.1 | 0.044 | 0.100 | 0.352 |
| FVII (%) | 60.1 ± 16.0 | 36.1 ± 22.8 | 64.8 ± 15.2 | 0.009 | 0.387 | 0.001 |
| FVIII (%) | 123.7± 51.0 | 169.6± 51.4 | 126.3 ± 17.2 | 0.018 | 0.848 | 0.004 |
| FIX (%) | 61.3± 25.0 | 48.7± 18.5 | 39.4 ± 10.3 | 0.217 | 0.003 | 0.012 |
| FX (%) | 53.3 ± 12.8 | 54.4 ± 12.6 | 64.3 ± 16.3 | 0.906 | 0.145 | 0.358 |
| VWF Ag (%) | 147.8 ± 26.0 | 233.2 ± 103.9 | 195.8 ± 51.8 | <0.001 | 0.003 | 0.024 |
| Rcof (%) | 137.1 ± 23.6 | 169.9 ± 74.9 | 167.3 ± 30.0 | 0.002 | 0.038 | 0.044 |
| Antithrombin (%) | 63.1 ± 13.3 | 47.7 ± 10.2 | 68.5 ± 21.5 | 0.073 | 0.374 | 0.011 |
| Protein C (%) | 40.1 ± 8.3 | 28.4 ± 8.2 | 36.2 ± 10.1 | 0.023 | 0.222 | 0.162 |
| Protein S (%) | 44.5 ± 11.2 | 46.1 ± 23.4 | 56.4 ± 19.7 | 0.553 | 0.034 | 0.010 |
| D-Dimers (μg/mL) | 6.4 ± 7.5 | 3.2 ± 2.4 | 1.5 ± 1.0 | 0.171 | 0.016 | 0.007 |
| PLT (×109/L) | 217.5 ± 97.8 | 419.4 ± 185.1 | 0.002 | |||
| ADAMTS-13 (ng/mL) | 577.2 ± 113.6 | 488.5 ± 75.4 | 618.8 ± 130.0 | 0.015 | 0.002 | 0.004 |
Disclaimer/Publisher’s Note: The statements, opinions and data contained in all publications are solely those of the individual author(s) and contributor(s) and not of MDPI and/or the editor(s). MDPI and/or the editor(s) disclaim responsibility for any injury to people or property resulting from any ideas, methods, instructions or products referred to in the content. |
© 2023 by the authors. Licensee MDPI, Basel, Switzerland. This article is an open access article distributed under the terms and conditions of the Creative Commons Attribution (CC BY) license (https://creativecommons.org/licenses/by/4.0/).
Share and Cite
Papadogeorgou, P.; Boutsikou, T.; Boutsikou, M.; Pergantou, E.; Mantzou, A.; Papassotiriou, I.; Iliodromiti, Z.; Sokou, R.; Bouza, E.; Politou, M.; et al. A Global Assessment of Coagulation Profile and a Novel Insight into Adamts-13 Implication in Neonatal Sepsis. Biology 2023, 12, 1281. https://doi.org/10.3390/biology12101281
Papadogeorgou P, Boutsikou T, Boutsikou M, Pergantou E, Mantzou A, Papassotiriou I, Iliodromiti Z, Sokou R, Bouza E, Politou M, et al. A Global Assessment of Coagulation Profile and a Novel Insight into Adamts-13 Implication in Neonatal Sepsis. Biology. 2023; 12(10):1281. https://doi.org/10.3390/biology12101281
Chicago/Turabian StylePapadogeorgou, Paraskevi, Theodora Boutsikou, Maria Boutsikou, Eleni Pergantou, Aimilia Mantzou, Ioannis Papassotiriou, Zoi Iliodromiti, Rozeta Sokou, Elena Bouza, Marianna Politou, and et al. 2023. "A Global Assessment of Coagulation Profile and a Novel Insight into Adamts-13 Implication in Neonatal Sepsis" Biology 12, no. 10: 1281. https://doi.org/10.3390/biology12101281
APA StylePapadogeorgou, P., Boutsikou, T., Boutsikou, M., Pergantou, E., Mantzou, A., Papassotiriou, I., Iliodromiti, Z., Sokou, R., Bouza, E., Politou, M., Iacovidou, N., & Valsami, S. (2023). A Global Assessment of Coagulation Profile and a Novel Insight into Adamts-13 Implication in Neonatal Sepsis. Biology, 12(10), 1281. https://doi.org/10.3390/biology12101281

