Large and Small Yellow Croakers Feeding and Living Together Make Large Yellow Croaker Population Recovery Difficult: A Guild Perspective
Simple Summary
Abstract
1. Introduction
2. Materials and Methods
2.1. Sample Collection and Morphological Identification Methods
2.2. Stable Isotope Analysis Methodology
2.3. High-Throughput Sequencing of Genetic Material in Gastric Contents
2.4. Sample Grouping and Extraction of Intestinal DNA for High-Throughput Sequencing Analysis
3. Results
3.1. Proportions of Large Yellow Croaker Catches to Small Yellow Croaker Catches at Different Sampling Sites
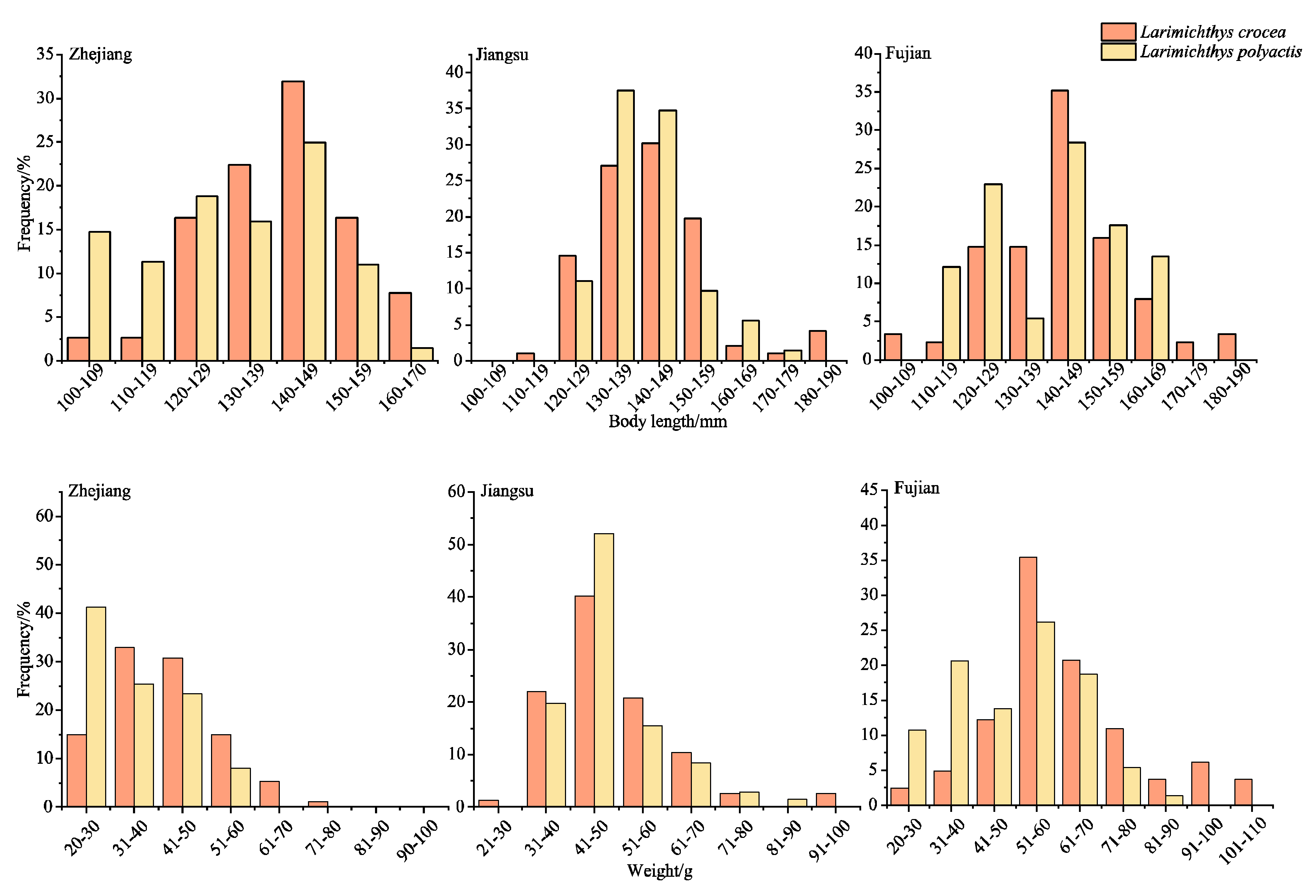
3.2. Body Length and Body Mass Composition of the Large Yellow Croaker
3.3. Sex Ratio and Gonadal Maturity of the Large Yellow Croaker
3.4. Stable Isotope Characteristics and Interspecific Nutritional Hierarchy Differences
3.5. Comparison of Gastric Contents of the Two Fish Species
3.6. Analysis of Intestinal Microbial Diversity
3.7. Comparison of Intestinal Microbiota Structure
4. Discussion
4.1. Stock Enhancement During the Fishing Ban Significantly Affected the Catch Ratios of Two Sciaenidae Species
4.2. Guild of Large and Small Yellow Croakers Influences the Conservation of the Large Yellow Croaker Species
4.3. Suggestions Regarding the Management of the Large Yellow Croaker Fisheries
5. Conclusions
Author Contributions
Funding
Institutional Review Board Statement
Informed Consent Statement
Data Availability Statement
Acknowledgments
Conflicts of Interest
References
- Niles, L.J.; Dey, A.D.; Maslo, B. Overexploitation of Marine Species and Its Consequences for Terrestrial Biodiversity Along Coasts. Coastal Conservation; Cambridge University Press: Cambridge, UK, 2014; pp. 347–367. [Google Scholar] [CrossRef]
- Merino, G.; Barange, M.; Blanchard, J.L.; Harle, J.; Holmes, R.; Allen, I.; Rodwell, L.D. Can marine fisheries and aquaculture meet fish demand from a growing human population in a changing climate? Global. Environ. Change 2012, 22, 795–806. [Google Scholar] [CrossRef]
- Xu, L.; Song, P.; Wang, Y.; Xie, B.; Huang, L.; Li, Y.; Lin, L. Estimating the impact of a seasonal fishing ban on the East China Sea ecosystem from 1997 to 2018. Front. Mar. Sci. 2022, 9, 865645. [Google Scholar] [CrossRef]
- Welcomme, R.L.; Winemiller, K.O.; Cowx, I.G. Fish environmental guilds as a tool for assessment of ecological condition of rivers. River Res. Appl. 2006, 22, 377–396. [Google Scholar] [CrossRef]
- Benoit, D.M.; Jackson, D.A.; Chu, C. Partitioning fish communities into guilds for ecological analyses: An overview of current approaches and future directions. Can. J. Fish. Aquat. Sci. 2021, 78, 984–993. [Google Scholar] [CrossRef]
- Root, R.B. The niche exploitation pattern of the blue-gray gnatcatcher. Ecol. Monogr. 1967, 37, 317–350. [Google Scholar] [CrossRef]
- Simberloff, D.; Dayan, T. The guild concept and the structural organization of ecological communities. Annu. Rev. Ecol. Evol. Syst. 1991, 22, 115–143. [Google Scholar] [CrossRef]
- Severinghaus, W.D. Guild theory development as a mechanism for assessing environmental impact. Environ. Manag. 1981, 5, 187–190. [Google Scholar] [CrossRef]
- Austen, D.J.; Bayley, P.B.; Menzel, B.W. Importance of the Guild Concept to Fisheries Research and Management. Fisheries 1994, 19, 12–20. [Google Scholar] [CrossRef]
- Auster, P.J.; Link, J.S. Compensation and recovery of feeding guilds in a northwest Atlantic shelf fish community. Mar. Ecol. Prog. Ser. 2009, 382, 163–172. [Google Scholar] [CrossRef]
- Noble, R.A.A.; Cowx, I.G.; Goffaux, D.; Kestemont, P. Assessing the health of European rivers using functional ecological guilds of fish communities: Standardising species classification and approaches to metric selection. Fish. Manag. Ecol. 2007, 14, 381–392. [Google Scholar] [CrossRef]
- Patterson, L.; Phelan, J.; Goudreau, C.; Dykes, R. Flow-biology relationships based on fish habitat guilds in North Carolina. J. Am. Water Resour. Assoc. 2017, 53, 56–66. [Google Scholar] [CrossRef]
- Goldstein, R.M.; Simon, T.P. Toward a united definition of guild structure for feeding ecology of North American freshwater fishes. In Assessing the Sustainability and Biological Integrity of Water Resources Using Fish Communities; CRC Press: Boca Raton, FL, USA, 2020; pp. 123–202. [Google Scholar]
- Reum, J.C.P.; Essington, T.E. Seasonal variation in guild structure of the Puget Sound Demersal Fish Community. Estuar. Coasts 2008, 31, 790–801. [Google Scholar] [CrossRef]
- Villéger, S.; Brosse, S.; Mouchet, M.; Mouillot, D.; Vanni, M.J. Functional ecology of fish: Current approaches and future challenges. Aquat. Sci. 2017, 79, 783–801. [Google Scholar] [CrossRef]
- Osuka, K.; Kochzius, M.; Vanreusel, A.; Obura, D.; Samoilys, M. Linkage between fish functional groups and coral reef benthic habitat composition in the Western Indian Ocean. J. Mar. Biol. Assoc. UK 2016, 98, 387–400. [Google Scholar] [CrossRef]
- Wang, X.; Lu, G.; Zhao, L.; Yang, Q.; Gao, T. Assessmentof fishery resources using environmental DNA: Small yellow croaker (Larimichthys polyactis) in East China Sea. PLoS ONE 2020, 15, e0244495. [Google Scholar] [CrossRef]
- Wang, X.; Lu, G.; Zhao, L.; Du, X.; Gao, T. Assessment of fishery resources using environmental DNA: The large yellow croaker (Larimichthys crocea) in the East China Sea. Fish. Res. 2021, 235, 105813. [Google Scholar] [CrossRef]
- Han, Z. Studies of Morphological Characteristics and Genetic Diversity on Populations of SmallYellow Croaker (Larimichthys polyactis) and the Difference between Small Yellow Croaker and Large Yellow Croaker (Larimichthys crocea). Master’s Thesis, Ocean University of China, Qingdao, China, 2012. (In Chinese). [Google Scholar]
- Lin, Y.; Li, J.; Wang, Z.; Zhang, S.; Wang, K.; Li, X. A Comparison of Fish Diversity in Rocky Reef Habitats by Multi-Mesh Gillnets and Environmental DNA Metabarcoding. Front. Ecol. Evol. 2022, 10, 874558. [Google Scholar] [CrossRef]
- Lü, H.; Xu, J.; Haegen, G.V. Supplementing Marine Capture Fisheries in the East China Sea: Sea Ranching of Prawn Penaeus orientalis, Restocking of Large Yellow Croaker Pseudosciaena crocea, and Cage Culture. Rev. Fish. Sci. 2008, 6, 366–376. [Google Scholar] [CrossRef]
- Liu, M.; Mitcheson, Y.S. Profile of a fishery collapse: Why mariculture failed to save the large yellow croaker. Fish. Fish. 2008, 9, 219–242. [Google Scholar] [CrossRef]
- Yuan, J.; Lin, H.; Wu, L.; Zhuang, X.; Ma, J.; Kang, B.; Ding, S. Resource status and effect of long-term stock enhancement of large yellow croaker in China. Front. Mar. Sci. 2021, 8, 743836. [Google Scholar] [CrossRef]
- Chen, X.; Xu, K.; Li, P.; Wang, H.; Zhou, Y.; Wang, M. Analysis of the Status of Marine Fish Proliferation and Release in Zhejiang Offshore. Marine. Dev. Manag. 2023, 40, 128–135. [Google Scholar] [CrossRef]
- Ye, G.; Lin, Y.; Feng, C.; Chou, L.M.; Jiang, Q.; Ma, P.; Sanders, C. Could the wild population of Large Yellow Croaker Larimichthys crocea (Richardson) in China be restored? A case study in Guanjingyang, Fujian, China. Aquat. Living. Resour. 2020, 33, 24. [Google Scholar] [CrossRef]
- Ministry of Agriculture and Rural Affairs of the People’s Republic of China. National Fisheries Technology Extension Center, The China Society of Fisheries China Fishery Statistical Yearbook; Agriculture Press: Beijing, China, 2023; pp. 38–40.
- Zanden, M.J.V.; Fetzer, W.W. Global patterns of aquatic food chain length. Oikos 2007, 116, 1378–1388. [Google Scholar] [CrossRef]
- Leray, M.; Yang, J.Y.; Meyer, C.P. A new versatile primer set targeting a short fragment of the mitochondrial COI region for metabarcoding metazoan diversity: Application for characterizing coral reef fish gut contents. Front. Zool. 2013, 10, 34. [Google Scholar] [CrossRef]
- Zhang, J.; Wang, Y.; Liu, J.; Xu, W.; Yin, Z.; Liu, Y.; Ai, Q. Effects of fecal bacteria on growth, digestive capacity, antioxidant capacity, intestinal health of large yellow croaker (Larimichthys crocea) larvae. Aquaculture 2023, 562, 738796. [Google Scholar] [CrossRef]
- Zhou, Y.; Li, S. Atlas of “Spawning Ground, Feeding Ground, Overwintering Ground, and Migration Routes and Protect Areas” of Main Economic Fisheries in East China Sea; Marine Press: Beijing, China, 2018; pp. 1–105. [Google Scholar]
- Zhang, Q.; Sun, H.; Zhou, Y.; Jiang, R.; Xu, K.; Xu, G.; Zhao, P. Population Resource of Larimichthys crocea in Inshore Waters of Northern East China Sea Under the Background of Releasing Stock Enhancement. J. Zhejiang Ocean Univ. Nat. Sci. Edit. 2024, 02, 127–136. (In Chinese) [Google Scholar]
- Tang, X.F. Dazzling Display! Fishing Vessel from Ningbo Nets 36 Crates of Wild Large Yellow Croakers, Worth Millions! Qianjiang Evening News. 20201130. Available online: https://zjnews.zjol.com.cn/zjnews/nbnews/202011/t20201130_12450149.shtml (accessed on 30 November 2020).
- Tang, X.F. Net Sales of Nearly 10 Million? Is the King of Wild Yellow Croaker in the East China Sea Back? You Want to Go Fishing, Too? No, No, No. Qianjiang Evening News. 20220119. Available online: https://zjnews.zjol.com.cn/202201/t20220119_23664586.shtml (accessed on 19 January 2022).
- Li, Y.; Chen, Y.; Olson, D.; Yu, N.; Chen, L. Evaluating ecosystem structure and functioning of the East China Sea Shelf ecosystem, China. Hydrobiologia 2009, 636, 331–351. [Google Scholar] [CrossRef]
- Barnes, B.; Sidhu, H. The impact of marine closed areas on fishing yield under a variety of management strategies and stock depletion levels. Ecol. Model. 2013, 269, 113–125. [Google Scholar] [CrossRef]
- Yu, C.; Yan, X.; Jiang, Q.; Zang, Y. Cause Analysis of Resources Change and Reconstruction Strategy of Larimichthys crocea Daiqu Group in the East China Sea. J. Fish. Ch. 2022, 46, 616–625. [Google Scholar] [CrossRef]
- Hamasaki, K.; Toriya, S.; Shishidou, H. Genetic effects of hatchery fish on wild populations in red sea bream Pagrus major (Perciformes, Sparidae) inferred from a partial sequence of mitochondrial DNA. J. Fish. Biol. 2010, 77, 2123–2136. [Google Scholar] [CrossRef]
- Su, S.; Tang, Y.; Chang, B.; Zhu, W.; Chen, Y. Evolution of marine fisheries management in China from 1949 to 2019: How did China get here and where does China go next? Fish. Fish. 2020, 21, 435–452. [Google Scholar] [CrossRef]
- Houk, P.; Cuetos-Bueno, J.; Kerr, A.M.; McCann, K. Linking fishing pressure with ecosystem thresholds and food web stability on coral reefs. Ecol. Monogr. 2018, 88, 109–119. [Google Scholar] [CrossRef]
- Garrison, L.P.; Link, J.S. Fishing effects on spatial distribution and trophic guild structure of the fish community in the Georges Bank region. ICES J. Mar. Sci. 2000, 57, 723–730. [Google Scholar] [CrossRef]
- Zhang, Q.Y.; Hong, W.S.; Cheng, S.X. Stock changes and resource protection of the large yellow croaker (Larimichthys crocea) and ribbon fish (Trichiurus japonicus) in coastal waters of China. J. Appl. Ocean 2017, 36, 438–445. (In Chinese) [Google Scholar]










| Province and City | Sampling Site | N. of Samples | N. of L. crocea | N. of L. polyactis | Proportion of L. crocea (%) | Proportion of L. crocea in Different Province (%) | Total Percentage |
|---|---|---|---|---|---|---|---|
| Jiangsu | Lvsiport | 326 | 37 | 299 | 11.35% | 15.77 ± 9.15% | 21.44 ± 9.35% |
| Yangkou port | 232 | 59 | 173 | 25.43% | |||
| Doulong port | 550 | 128 | 422 | 23.27% | |||
| Yanwei port | 220 | 12 | 208 | 5.45% | |||
| Lianyungang | 356 | 22 | 334 | 6.18% | |||
| Shanghai | Luchao port | 340 | 78 | 262 | 22.94% | ||
| Zhejiang | Longwan | 696 | 199 | 497 | 28.59% | 25.91 ± 7.53% | |
| Taizhou port | 986 | 336 | 650 | 34.08% | |||
| Shipu port | 1408 | 349 | 1059 | 24.79% | |||
| Shengjiameng | 1460 | 236 | 1224 | 16.16% | |||
| Fujian | Chidian town | 240 | 65 | 175 | 27.08% | 24.69 ± 8.78% | |
| Pinhai town | 50 | 8 | 42 | 16.00% | |||
| Mawei district | 862 | 128 | 734 | 14.85% | |||
| Luoyuan bay | 164 | 53 | 111 | 32.32% | |||
| Sansha bay | 440 | 146 | 294 | 33.18% |
| Province | Specie | Body Length/mm | Body Mass/g | ||||
|---|---|---|---|---|---|---|---|
| Range | Dominant Group | Mean ± SD | Range | Dominant Group | Mean ± SD | ||
| Jiangsu | L. crocea | 118–187 | 130–160 | 143.17 ± 14.04 | 12.7–116.2 | 30–60 | 46.65 ± 15.33 |
| L. polyactis | 125–176 | 120–150 | 140.91 ± 10.17 | 33.54–89.22 | 30–60 | 47.73 ± 10.46 | |
| Zhejiang | L. crocea | 104–166 | 130–160 | 140.5 ± 13.451 | 16.78–75.3 | 30–60 | 41.17 ± 11.82 |
| L. polyactis | 98–160 | 100–130 | 136.31 ± 14.24 | 15.32–55.82 | 20–50 | 37.44 ± 10.69 | |
| Fujian | L. crocea | 99–183 | 130–160 | 141.79 ± 16.57 | 22.06–135.08 | 40–80 | 61.91 ± 18.89 |
| L. polyactis | 111–169 | 140–170 | 138.14 ± 16.93 | 24.58–80.1 | 20–70 | 54.76 ± 11.54 | |
| Region | Species | Number | δ13C | δ15N | Trophic Level | ||
|---|---|---|---|---|---|---|---|
| Range | Mean ± SD | Range | Mean ± SD | ||||
| Zhoushan | L. crocea | 10 | −16.80~−15.88 | −16.22 ± 0.51 | 10.52~11.94 | 10.84 ± 0.17 | 4.16 ± 0.05 |
| L. polyactis | 10 | −17.32~−15.30 | −16.31 ± 1.01 | 10.69~11.56 | 10.79 ± 0.11 | 4.15 ± 0.03 | |
| Taizhou | L. crocea | 10 | −17.22~−16.95 | −17.11 ± 0.14 | 10.27~10.56 | 10.39 ± 0.15 | 4.03 ± 0.04 |
| L. polyactis | 10 | −18.64~−16.35 | −18.06 ± 1.5 | 9.95~12.04 | 10.84 ± 1.07 | 4.16 ± 0.32 | |
| Groups | Numbers of Sequences | ACE | Chao1 | Shannon | Simpson |
|---|---|---|---|---|---|
| LZS | 91,217 | 500.19 ± 347.17 | 473.91 ± 320.92 | 2.4 ± 0.45 | 0.19 ± 0.04 |
| SZS | 94,712 | 549.4 ± 363.46 | 523.16 ± 329.18 | 2.34 ± 0.32 | 0.21 ± 0.01 |
| LTZ | 83,392 | 656.37 ± 332.40 | 615.2 ± 298.06 | 2.38 ± 0.45 | 0.2 ± 0.03 |
| STZ | 70,322 | 810.32 ± 16.19 | 763.01 ± 16.53 | 2.5 ± 0.05 | 0.21 ± 0.01 |
Disclaimer/Publisher’s Note: The statements, opinions and data contained in all publications are solely those of the individual author(s) and contributor(s) and not of MDPI and/or the editor(s). MDPI and/or the editor(s) disclaim responsibility for any injury to people or property resulting from any ideas, methods, instructions or products referred to in the content. |
© 2024 by the authors. Licensee MDPI, Basel, Switzerland. This article is an open access article distributed under the terms and conditions of the Creative Commons Attribution (CC BY) license (https://creativecommons.org/licenses/by/4.0/).
Share and Cite
Cai, P.; Wang, Z.; Zhang, S.; Yu, J. Large and Small Yellow Croakers Feeding and Living Together Make Large Yellow Croaker Population Recovery Difficult: A Guild Perspective. Biology 2024, 13, 963. https://doi.org/10.3390/biology13120963
Cai P, Wang Z, Zhang S, Yu J. Large and Small Yellow Croakers Feeding and Living Together Make Large Yellow Croaker Population Recovery Difficult: A Guild Perspective. Biology. 2024; 13(12):963. https://doi.org/10.3390/biology13120963
Chicago/Turabian StyleCai, Pengyu, Zhenhua Wang, Shouyu Zhang, and Jintao Yu. 2024. "Large and Small Yellow Croakers Feeding and Living Together Make Large Yellow Croaker Population Recovery Difficult: A Guild Perspective" Biology 13, no. 12: 963. https://doi.org/10.3390/biology13120963
APA StyleCai, P., Wang, Z., Zhang, S., & Yu, J. (2024). Large and Small Yellow Croakers Feeding and Living Together Make Large Yellow Croaker Population Recovery Difficult: A Guild Perspective. Biology, 13(12), 963. https://doi.org/10.3390/biology13120963

