Exploring Ecological Management Plans for Typical Systems in Arid Areas from the Perspective of Ecosystem Service Value Evolution
Abstract
1. Introduction
2. Materials and Methods
2.1. Typical System Models and Ecological Vulnerability in Arid Areas
2.2. Study Area
2.3. Data Sources
2.4. Models for Valuing Ecosystem Services
2.5. Spatial Autocorrelation Analysis
2.6. The Optimal Parameters-Based Geographical Detector Model
3. Results
3.1. Land Use Patterns and Spatial and Temporal Evolution
3.2. Spatial and Temporal Characteristics of the Value of Ecosystem Services
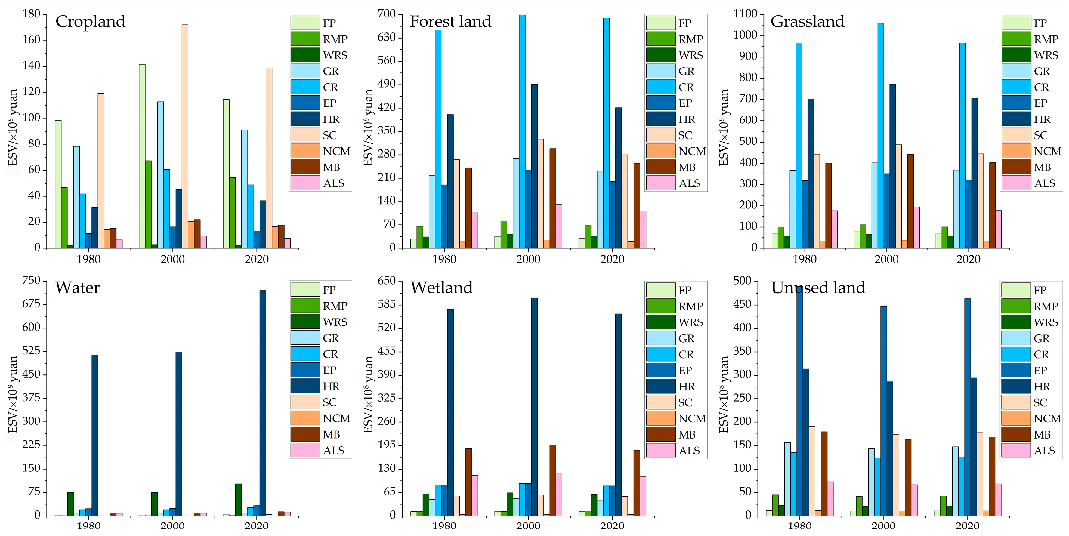
3.3. Changes in the Value of Ecosystem Service Functions in Different Land Types
3.4. Changes in the Hierarchy of Ecosystem Service Values and Transfer Patterns
3.5. Characterization of Spatial Clustering of Ecosystem Service Values
3.6. Ecological Management Zoning
4. Discussion
4.1. Mechanisms Affecting the Value of Ecosystem Services in the Hexi Corridor
4.2. Ecological Management Strategies
4.3. Limitations and Research Prospective
5. Conclusions
- (1)
- The Hexi Corridor exhibits pronounced geographic differentiation, and the transition between land-use types is relatively drastic. From the point of view of geographical differentiation, the Hexi Corridor is generally composed of three systems, namely, the southern mountain system, the central oasis system, and the northern desert system. The mountain system is dominated by forestland and grassland, the oasis system is dominated by arable land, and the desert system is dominated by unused land. In terms of land-use type conversion, the conversion of unused land to cropland and grassland is dominant, with cropland having the largest area of conversion.
- (2)
- The ecological environment of the Hexi Corridor showed a continuous improvement during the study period. The ecosystem service value of the Hexi Corridor shows an increasing trend with significant spatial clustering characteristics; high values are mainly distributed in the southern mountains, high and medium values are mainly distributed in the central oasis, and low values are mainly distributed in the northern desert; the area of the area with medium ecosystem service value and above shows an increasing trend during the study period.
- (3)
- The natural environment factor at the regional scale is still the decisive factor influencing the value of ecosystem services. From the single-factor detection results, the influence of socio-economic factors on the spatial differentiation of ecosystem service value in the Hexi Corridor is much larger than that of natural environmental factors, in which the construction land index has the strongest influence on ESV with a q-value of 0.84799, followed by population density and GDP density. From the results of two-factor interaction detection, the internal interaction of the natural environment factor was the most significant, followed by the interaction between the natural environment factor and the socio-economic factor, and the internal interaction of the socio-economic factor was the smallest.
- (4)
- There are significant spatial differences in the ecosystem structure and functions of the Hexi Corridor, and ecological management zoning can effectively promote regional sustainable development. The comprehensive analysis divides the Hexi Corridor into three ecological management zones: I ecological function protection zone, II ecological and agriculture coordinated development zone, and III ecological and urbanization coordinated development zone.
Author Contributions
Funding
Data Availability Statement
Conflicts of Interest
References
- Costanza, R.; Darge, R.; De Groot, R.; Farber, S.; Grasso, M.; Hannon, B.; Limburg, K.; Naeem, S.; O’Neill, R.V.; Paruelo, J.; et al. The value of the world’s ecosystem services and natural capital. Nature 1997, 6630, 253–260. [Google Scholar] [CrossRef]
- Liu, Z.; Wang, S.; Fang, C. Spatiotemporal evolution and influencing mechanism of ecosystem service value in the Guangdong-Hong Kong-Macao Greater Bay Area. J. Geogr. Sci. 2023, 33, 1226–1244. [Google Scholar] [CrossRef]
- Fang, Z.; Ding, T.; Chen, J.; Xue, S.; Zhou, Q.; Wang, Y.; Wang, Y.; Huang, Z.; Yang, S. Impacts of land use/land cover changes on ecosystem services in ecologically fragile regions. Sci. Total Environ. 2022, 831, 154967. [Google Scholar] [CrossRef]
- Zhang, X.; Yao, L.; Luo, J.; Liang, W. Exploring Changes in Land Use and Landscape Ecological Risk in Key Regions of the Belt and Road Initiative Countries. Land 2022, 11, 940. [Google Scholar] [CrossRef]
- Tronvoll, B. The actor: The key determinator in service ecosystems. Systems 2017, 5, 38. [Google Scholar] [CrossRef]
- Liu, C.; Liu, G.; Yang, Q.; Luo, T.; He, P.; Franzese, P.P.; Lombardi, G.V. Emergy-based evaluation of world coastal ecosystem services. Water Res. 2021, 204, 117656. [Google Scholar] [CrossRef]
- Long, X.; Lin, H.; An, X.; Chen, S.; Qi, S.; Zhang, M. Evaluation and analysis of ecosystem service value based on land use/cover change in Dongting Lake wetland. Ecol. Indic. 2022, 136, 108619. [Google Scholar] [CrossRef]
- Li, W.; Wang, L.; Yang, X.; Liang, T.; Zhang, Q.; Liao, X.; White, J.R.; Rinklebe, J. Interactive influences of meteorological and socioeconomic factors on ecosystem service values in a river basin with different geomorphic features. Sci. Total Environ. 2022, 829, 154595. [Google Scholar] [CrossRef]
- Babbar, D.; Areendran, G.; Sahana, M.; Sarma, K.; Raj, K.; Sivadas, A. Assessment and prediction of carbon sequestration using Markov chain and InVEST model in Sariska Tiger Reserve, India. J. Clean. Prod. 2021, 278, 123333. [Google Scholar] [CrossRef]
- Sherrouse, B.C.; Semmens, D.J.; Ancona, Z.H. Social Values for Ecosystem Services (SolVES): Open-source spatial modeling of cultural services. Environ. Model. Softw. 2022, 148, 105259. [Google Scholar] [CrossRef]
- Nguyen, A.K.; Liou, Y.A.; Li, M.H.; Tran, T. Zoning eco-environmental vulnerability for environmental management and protection. Ecol. Indic. 2016, 69, 100–117. [Google Scholar] [CrossRef]
- Hu, Y.; Gong, J.; Li, X.; Song, L.; Zhang, Z.; Zhang, S.; Zhang, W.; Dong, J.; Dong, D. Ecological security assessment and ecological management zoning based on ecosystem services in the West Liao River Basin. Ecol. Eng. 2023, 192, 106973. [Google Scholar] [CrossRef]
- Boulad, N.; Hamidan, N. The use of a GIS-based multi-criteria evaluation technique for the development of a zoning plan for a seasonally variable Ramsar wetland site in Syria: Sabkhat Al-Jabboul. Wetl. Ecol. Manag. 2018, 26, 253–264. [Google Scholar] [CrossRef]
- Chen, K.; Cong, P.; Qu, L.; Liang, S.; Sun, Z. Wetland degradation diagnosis and zoning based on the integrated degradation index method. Ocean Coast. Manag. 2022, 222, 106135. [Google Scholar] [CrossRef]
- Bustamante Becerra, J.A.; Bitencourt, M.D. Ecological zoning of an Andean grasslands (puna) at the manu biosphere reserve, Peru. Int. J. Environ. Sustain. Dev. 2007, 6, 357–372. [Google Scholar] [CrossRef]
- Xu, W.; Li, X.; Pimm, S.L.; Hull, V.; Zhang, J.; Zhang, L.; Xiao, Y.; Zheng, H.; Ooyang, Z. The effectiveness of the zoning of China’s protected areas. Biol. Conserv. 2016, 204, 231–236. [Google Scholar] [CrossRef]
- Li, Y.; Wu, H.; Shi, Z. Farmland productivity and its application in spatial zoning of agricultural production: A case study in Zhejiang province, China. Environ. Earth Sci. 2016, 75, 159. [Google Scholar] [CrossRef]
- Chen, Y.; Yao, M.; Zhao, Q.; Chen, Z.; Jiang, P.; Li, M.; Chen, D. Delineation of a basic farmland protection zone based on spatial connectivity and comprehensive quality evaluation: A case study of Changsha City, China. Land Use Policy 2021, 101, 105145. [Google Scholar] [CrossRef]
- Chen, F.; Li, L.; Niu, J.; Lin, A.; Chen, S.; Hao, L. Evaluating ecosystem services supply and demand dynamics and ecological zoning management in Wuhan, China. Int. J. Environ. Res. Public Health 2019, 16, 2332. [Google Scholar] [CrossRef]
- Zeng, J.; Cui, X.; Chen, W.; Yao, X. Ecological management zoning based on the supply-demand relationship of ecosystem services in China. Appl. Geogr. 2023, 155, 102959. [Google Scholar] [CrossRef]
- Liu, Y.; Li, T.; Zhao, W.; Wang, S.; Fu, B. Landscape functional zoning at a county level based on ecosystem services bundle: Methods comparison and management indication. J. Environ. Manag. 2019, 249, 109315. [Google Scholar] [CrossRef] [PubMed]
- Wu, Y.; Gu, C.; Zhang, Y. Towards Sustainable Management of Urban Ecological Space: A Zoning Approach Hybridized by Ecosystem Service Value and Ecological Risk Assessment. Land 2022, 11, 1220. [Google Scholar] [CrossRef]
- Yao, L.; Zhang, X.; Luo, J.; Li, X. Identification of Ecological Management Zoning on Arid Region from the Perspective of Risk Assessment. Sustainability 2023, 15, 9046. [Google Scholar] [CrossRef]
- Brown, M.G.; Quinn, J.E. Zoning does not improve the availability of ecosystem services in urban watersheds. A case study from Upstate South Carolina, USA. Ecosyst. Serv. 2018, 34, 254–265. [Google Scholar] [CrossRef]
- Tao, J.; Lu, Y.; Ge, D.; Dong, P.; Gong, X.; Ma, X. The spatial pattern of agricultural ecosystem services from the production-living-ecology perspective: A case study of the Huaihai Economic Zone, China. Land Use Policy 2022, 122, 106355. [Google Scholar] [CrossRef]
- Li, X.; Zhang, X.; Yao, L.; Li, Y.; Lei, Y. The spatiotemporal evolution characteristics and influencing factors of socio-economic resilience in the Hexi region. Resour. Environ. Arid. Areas 2023, 37, 38–47. [Google Scholar]
- Shi, F.; Song, C.; Zhao, C.; Zhang, J.; Shi, L. Change of service value of mountain oasis desert complex farmland ecosystem in the Hexi Corridor and its influencing factors. China Desert 2013, 33, 1598–1604. [Google Scholar]
- Wei, W.; Nan, S.; Xie, B.; Liu, C.; Zhou, J.; Liu, C. The spatial-temporal changes of supply-demand of ecosystem services and ecological compensation: A case study of Hexi Corridor, Northwest China. Ecol. Eng. 2023, 187, 106861. [Google Scholar] [CrossRef]
- Yang, L.; Feng, Q.; Adamowski, J.F.; Deo, R.C.; Yin, Z.; Wen, X.; Tang, X.; Wu, M. Causality of climate, food production and conflict over the last two millennia in the Hexi Corridor, China. Sci. Total Environ. 2020, 713, 136587. [Google Scholar] [CrossRef]
- Feng, Q.; Yang, L.; Deo, R.C.; AghaKouchak, A.; Adamowski, J.F.; Stone, R.; Yin, Z.; Liu, W.; Si, J.; Wen, X.; et al. Domino effect of climate change over two millennia in ancient China’s Hexi Corridor. Nat. Sustain. 2019, 2, 957–961. [Google Scholar] [CrossRef]
- Xu, X.; Liu, J.; Zhang, S.; Li, R.; Yan, C.; Wu, S. China Multi period Land Use Remote Sensing Monitoring Dataset (CNLUCC). Resource and Environmental Science Data Registration and Publishing System. Available online: http://www.resdc.cn/DOI2018.DOI:10.12078/2018070201 (accessed on 5 January 2022).
- Xie, G.; Zhang, C.; Zhang, L.; Chen, W.; Li, S. Improvement of ecosystem service valuation method based on unit area value equivalence factor. J. Nat. Resour. 2015, 30, 1243–1254. [Google Scholar]
- Zhang, X.; Luo, J.; Shi, P.; Zhou, L. The spatiotemporal evolution of ecosystem service value and terrain gradient differentiation characteristics in Zhangye at the grid scale. J. Appl. Ecol. 2020, 31, 543–553. [Google Scholar]
- Mokondoko, P.; Manson, R.H.; Ricketts, T.H.; Geissert, D. Spatial analysis of ecosystem service relationships to improve targeting of payments for hydrological services. PLoS ONE 2018, 13, e0192560. [Google Scholar] [CrossRef] [PubMed]
- Wang, J.; Xu, C. Geographic detectors: Principles and prospects. J. Geogr. 2017, 72, 116–134. [Google Scholar]
- Song, Y.; Wang, J.; Ge, Y.; Xu, C. An optimal parameters-based geographical detector model enhances geographic characteristics of explanatory variables for spatial heterogeneity analysis: Cases with different types of spatial data. GIScience Remote Sens. 2020, 57, 593–610. [Google Scholar] [CrossRef]
- Zhang, M.; Kafy, A.A.; Ren, B.; Zhang, Y.; Tan, S.; Li, J. Application of the optimal parameter geographic detector model in the identification of influencing factors of ecological quality in Guangzhou, China. Land 2022, 11, 1303. [Google Scholar] [CrossRef]
- Wang, A.; Liao, X.; Tong, Z.; Du, W.; Zhang, J.; Liu, X.; Liu, M. Spatial-temporal dynamic evaluation of the ecosystem service value from the perspective of “production-living-ecological” spaces: A case study in Dongliao River Basin, China. J. Clean. Prod. 2022, 333, 130218. [Google Scholar] [CrossRef]
- He, N.; Zhou, Y.; Wang, L.; Li, Q.; Zuo, Q.; Liu, J. Spatiotemporal differentiation and the coupling analysis of ecosystem service value with land use change in Hubei Province, China. Ecol. Indic. 2022, 145, 109693. [Google Scholar] [CrossRef]









| Ecosystem Classification | Supply Service | Regulating Service | Support Service | Cultural Service | ||||||||
|---|---|---|---|---|---|---|---|---|---|---|---|---|
| Primary Classification | Secondary Classification | Food Production | Production of Material | Water Supply | Gas Regulation | Climate Regulation | Purify the Environment | Hydrological Regulation | Soil Conservation | Maintain Oxygen Circulation | Biodiversity Conservation | Provide Aesthetic Landscape |
| Cropland | Dry field | 1.03 | 0.49 | 0.02 | 0.82 | 0.44 | 0.12 | 0.33 | 1.25 | 0.15 | 0.16 | 0.07 |
| Paddy field | 1.66 | 0.11 | −3.20 | 1.35 | 0.69 | 0.21 | 3.31 | 0.01 | 0.23 | 0.26 | 0.11 | |
| Forestland | Theropencedrymion | 0.38 | 0.86 | 0.45 | 2.86 | 8.56 | 2.42 | 4.27 | 3.48 | 0.27 | 3.16 | 1.39 |
| Shrub | 0.23 | 0.52 | 0.27 | 1.72 | 5.15 | 1.56 | 4.08 | 2.09 | 0.16 | 1.91 | 0.84 | |
| Grassland | Grassland | 0.12 | 0.17 | 0.10 | 0.62 | 1.63 | 0.54 | 1.19 | 0.75 | 0.06 | 0.68 | 0.30 |
| Water | River system | 0.97 | 0.28 | 10.09 | 0.94 | 2.79 | 6.75 | 124.43 | 1.13 | 0.09 | 3.10 | 2.30 |
| Glacier Snow cover | 0.00 | 0.00 | 2.63 | 0.22 | 0.66 | 0.19 | 8.68 | 0.00 | 0.00 | 0.01 | 0.11 | |
| Wetland | Wetland | 0.62 | 0.61 | 3.15 | 2.31 | 4.38 | 4.38 | 29.49 | 2.81 | 0.22 | 9.58 | 5.76 |
| Unused land | Desert | 0.01 | 0.04 | 0.02 | 0.13 | 0.12 | 0.38 | 0.26 | 0.16 | 0.01 | 0.15 | 0.06 |
| Bare land | 0.00 | 0.00 | 0.00 | 0.02 | 0.00 | 0.12 | 0.04 | 0.02 | 0.00 | 0.02 | 0.01 | |
| Land Types | 2000 | ||||||||
|---|---|---|---|---|---|---|---|---|---|
| Cropland | Forestland | Grassland | Water | Wetland | Unused Land | Construction Land | Total Area of Land Lost | ||
| 1980 | Cropland | 13,034.50 | 14.90 | 175.49 | 7.06 | 9.87 | 101.28 | 86.06 | 394.66 |
| Forestland | 19.87 | 7362.97 | 118.61 | 0.82 | 2.80 | 32.91 | 0.69 | 175.69 | |
| Grassland | 361.88 | 121.66 | 52,713.54 | 7.68 | 15.69 | 769.14 | 9.75 | 1285.81 | |
| Water | 9.59 | 0.87 | 6.39 | 1203.96 | 10.02 | 17.92 | 0.06 | 44.86 | |
| Wetland | 47.98 | 2.04 | 17.56 | 20.90 | 2106.96 | 16.69 | 0.20 | 105.37 | |
| Unused land | 330.57 | 32.36 | 631.39 | 24.32 | 24.28 | 167,109.60 | 12.04 | 1054.96 | |
| Construction land | 34.05 | 0.60 | 2.55 | 0.03 | 0.20 | 2.29 | 968.87 | 39.72 | |
| Total area of land added | 803.93 | 172.43 | 951.99 | 60.81 | 62.86 | 940.24 | 108.80 | 3101.06 | |
| Land Types | 2020 | ||||||||
|---|---|---|---|---|---|---|---|---|---|
| Cropland | Forestland | Grassland | Water | Wetland | Unused Land | Construction Land | Total Area of Land Lost | ||
| 2000 | Cropland | 13,386.10 | 14.04 | 228.72 | 10.03 | 6.11 | 66.72 | 126.69 | 452.30 |
| Forestland | 93.90 | 7346.54 | 28.96 | 4.88 | 27.76 | 23.93 | 9.43 | 188.86 | |
| Grassland | 777.60 | 68.79 | 52,017.44 | 38.75 | 11.15 | 663.47 | 88.23 | 1647.99 | |
| Water | 10.90 | 0.35 | 11.17 | 1154.47 | 28.75 | 56.13 | 2.99 | 110.29 | |
| Wetland | 42.79 | 0.60 | 74.27 | 55.37 | 1975.82 | 12.51 | 8.46 | 194.00 | |
| Unused land | 1439.46 | 80.42 | 975.27 | 407.13 | 105.31 | 164,535.60 | 506.18 | 3513.77 | |
| Construction land | 56.73 | 1.19 | 5.12 | 4.13 | 0.14 | 2.12 | 1008.24 | 69.43 | |
| Total area of land added | 2421.37 | 165.39 | 1323.51 | 520.29 | 179.21 | 824.89 | 741.99 | 6176.64 | |
| Land Types | 2020 | ||||||||
|---|---|---|---|---|---|---|---|---|---|
| Cropland | Forestland | Grassland | Water | Wetland | Unused Land | Construction Land | Total Area of Land Lost | ||
| 1980 | Cropland | 12,669.20 | 24.97 | 358.52 | 13.88 | 16.55 | 139.34 | 206.70 | 759.96 |
| Forestland | 112.62 | 7187.16 | 139.63 | 7.16 | 30.09 | 51.69 | 10.26 | 351.45 | |
| Grassland | 1091.85 | 184.51 | 51,184.11 | 43.12 | 26.02 | 1373.41 | 97.92 | 2816.83 | |
| Water | 18.93 | 1.08 | 12.61 | 1118.75 | 27.62 | 66.71 | 3.02 | 129.97 | |
| Wetland | 89.10 | 2.60 | 89.38 | 62.54 | 1933.31 | 26.85 | 8.60 | 279.07 | |
| Unused land | 1739.60 | 110.02 | 1550.24 | 425.42 | 121.22 | 163,709.80 | 517.88 | 4464.38 | |
| Construction land | 86.18 | 1.53 | 7.26 | 3.76 | 0.25 | 3.77 | 905.84 | 102.75 | |
| Total area of land added | 3138.28 | 324.71 | 2157.63 | 555.89 | 221.75 | 1661.76 | 844.38 | 8904.39 | |
| Types of Ecosystem Service | Ecosystem Service Value (×108 yuan) | Change Rate (%) | ||||
|---|---|---|---|---|---|---|
| 1980 | 2000 | 2020 | 1980–2000 | 2000–2020 | 1980–2020 | |
| Supply Service | 750.05 | 865.05 | 803.21 | 15.33 | −7.15 | 7.09 |
| Regulating Service | 6424.47 | 7025.66 | 6683.32 | 9.36 | −4.87 | 4.03 |
| Support Service | 2196.05 | 2452.81 | 2229.54 | 11.69 | −9.10 | 1.53 |
| Cultural Service | 483.59 | 528.85 | 487.95 | 9.36 | −7.73 | 0.90 |
| Total | 9854.15 | 10,872.36 | 10,204.01 | 10.33 | −6.15 | 3.55 |
Disclaimer/Publisher’s Note: The statements, opinions and data contained in all publications are solely those of the individual author(s) and contributor(s) and not of MDPI and/or the editor(s). MDPI and/or the editor(s) disclaim responsibility for any injury to people or property resulting from any ideas, methods, instructions or products referred to in the content. |
© 2024 by the authors. Licensee MDPI, Basel, Switzerland. This article is an open access article distributed under the terms and conditions of the Creative Commons Attribution (CC BY) license (https://creativecommons.org/licenses/by/4.0/).
Share and Cite
Yao, L.; Zhang, X.; Yu, J.; Liu, Y.; Du, H.; Li, X. Exploring Ecological Management Plans for Typical Systems in Arid Areas from the Perspective of Ecosystem Service Value Evolution. Systems 2024, 12, 166. https://doi.org/10.3390/systems12050166
Yao L, Zhang X, Yu J, Liu Y, Du H, Li X. Exploring Ecological Management Plans for Typical Systems in Arid Areas from the Perspective of Ecosystem Service Value Evolution. Systems. 2024; 12(5):166. https://doi.org/10.3390/systems12050166
Chicago/Turabian StyleYao, Litang, Xuebin Zhang, Jiale Yu, Yanni Liu, Hucheng Du, and Xuehong Li. 2024. "Exploring Ecological Management Plans for Typical Systems in Arid Areas from the Perspective of Ecosystem Service Value Evolution" Systems 12, no. 5: 166. https://doi.org/10.3390/systems12050166
APA StyleYao, L., Zhang, X., Yu, J., Liu, Y., Du, H., & Li, X. (2024). Exploring Ecological Management Plans for Typical Systems in Arid Areas from the Perspective of Ecosystem Service Value Evolution. Systems, 12(5), 166. https://doi.org/10.3390/systems12050166
