Hybrid Nonlinear State-Space Modeling Approach for a Dual Armature Generator
Abstract
1. Introduction
1.1. Technical Background
1.1.1. Dynamic Model of a Permanent Magnet Synchronous Generator
1.1.2. Hybrid Dynamic Model of a Permanent Magnet Synchronous Generator
2. Materials and Methods
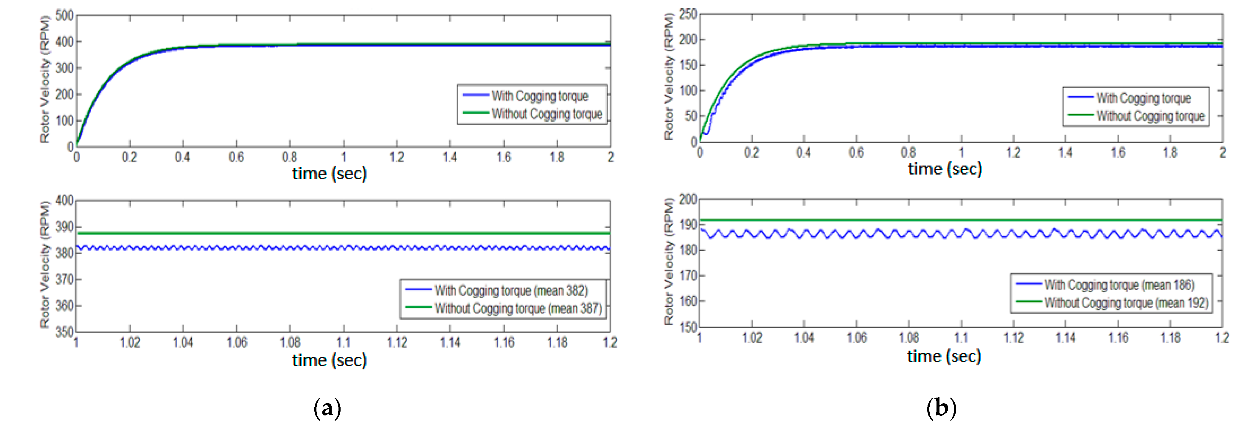
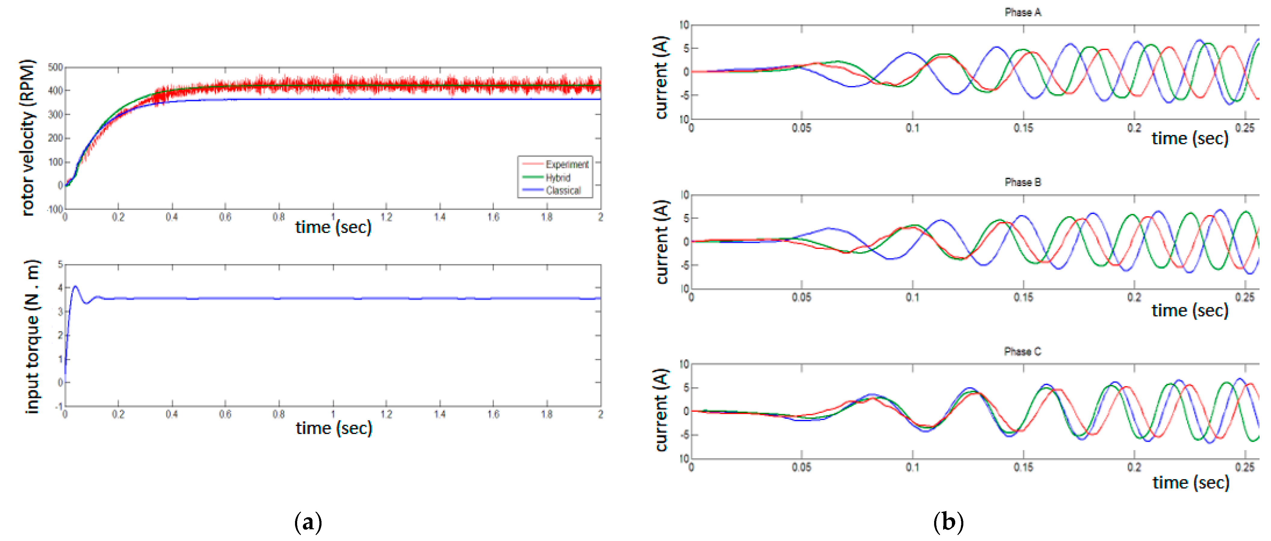
3. Results and Discussion
3.1. Transient Measurements and Simulation Results
3.2. Steady State Measurements and Simulation Results
3.3. Short Circuit Measurements and Simulation Results: Hybrid Model
4. Conclusions
Author Contributions
Funding
Conflicts of Interest
References
- Boldea, I.; Nasar, S.A. Linear Electric actuators and Generators. IEEE Trans. Energy Convers. 1999, 14, 712–717. [Google Scholar] [CrossRef]
- Norhisam, M.; Norafiza, M.; Sia, C.Y. Double Stator Type Permanent Magnet Generator. In Proceedings of the 2009 Students Conference on Research and Development, Serdang, Malaysia, 16–18 November 2009. [Google Scholar]
- Chai, F.; Cui, S.; Cheng, S. Study of a Novel Double-stator Permanent—Magnet Electrical Machine. In Proceedings of the IEEE International Electric Machines and Drives Conference, Madison, WI, USA, 15 July 2003; pp. 1375–1378. [Google Scholar]
- Chai, F.; Xia, J.; Gong, H.; Guo, B.; Cheng, S. Torque Analysis of a Double-Stator Permanent Magnet Synchronous machine for Hybrid Electric Vehicle. In Proceedings of the IEEE Vehicle Power and Propulsion Conference, Harbin, China, 3–5 September 2008. [Google Scholar]
- Zhang, D.; Niu, S.; Chau, K.T.; Jiang, J.Z.; Gong, Y. Design and Analysis of a Double-Stator Cup-Rotor Directly Driven Permanent Magnet Wind Power Generator. In Proceedings of the CES/IEEE 5th annual Power Electronics and Motion Control. Conference, Shanghai, China, 14–16 August 2006; pp. 1–5. [Google Scholar]
- Vas, P. Vector Control of AC Machines. Monographs in Electrical and Electronic Engineering 22; Oxford Science Publications: Oxford, UK, 1990. [Google Scholar]
- Levi, E.; Levi, V.A. Impact of Dynamic Cross-Saturation on Accuracy of Saturated Synchronous Machine Models. IEEE Trans. Energy Convers. 2000, 15, 224–230. [Google Scholar] [CrossRef]
- Melkebeek, J.A.; Willems, J.L. Reciprocity Relations for the Mutual Inductances Between Saturated Salient-Pole Machines. IEEE Trans. Ind. Appl. 1990, 26, 107–114. [Google Scholar] [CrossRef]
- Iglesias, I.; Garcia-Tabarnes, L.; Tamarit, J. A d-q Model for the Self-Commutated Synchronous Machine Considering the Effects of Magnetic Saturation. IEEE Trans. Energy Convers. 1992, 7, 768–776. [Google Scholar] [CrossRef]
- El-Serafi, A.; Kar, N.C. Methods for Determining the Intermediate-Axis Saturation Characteristics of Salient-Pole Synchronous Machines from the Measured D-Axis Characteristics. IEEE Trans. Energy Convers. 2005, 20, 88–97. [Google Scholar] [CrossRef]
- Poltschak, F.; Amrhein, W. A dynamic nonlinear model for permanent magnet synchronous machines. IEEE Int. Symp. Ind. Electron. 2008, 724–729. [Google Scholar] [CrossRef]
- Lyshevski, S.E. Electromechanical Systems, Electric Machines and Applied Mechatronics; CRC Press: New York, NY, USA, 1999. [Google Scholar]
- Guru, B.S.; Hiziroglu, H.R. Electric Machinery and Transformers; Oxford University Press: New York, NY, USA, 2001. [Google Scholar]
- Lovatt, H.C.; Watterson, P.A. Energy Stored in Permanent Magnets. IEEE Trans. Magn. 1999, 35, 505–507. [Google Scholar] [CrossRef]
- Dosiek, L.; Pillay, P. Cogging Torque Reduction in Permanent Magnet Machines. IEEE Trans. Ind. Appl. 2007, 43, 1565–1571. [Google Scholar] [CrossRef]
- Zhu, Z.; Howe, D. Influence of Design Parameters on Cogging Torque in Permanent Magnet Machines. IEEE Trans. Energy Convers. 2000, 15, 407–412. [Google Scholar] [CrossRef]
- Hossain, S.; Deshpande, U. Modeling of Practical Non-Idealities in a Permanent Magnet Synchronous Motor Drive. In Proceedings of the IEEE Industry Applications Conference, Salt Lake City, UT, USA, 12–16 October 2003; pp. 1941–1945. [Google Scholar]
- MatWeb. Alliance N-42H Neodymium Iron Boron Magnetic Material. Available online: www.matweb.com (accessed on 4 January 2014).
- Zhu, Z.Q. A Simple Method for Measuring Cogging Torque in Permanent Magnet Machines. In Proceedings of the IEEE Power & Energy Society General Meeting, Calgary, AB, Canada, 26–30 July 2009. [Google Scholar]
- Meeker, D. Magnetic Circuit Derivation of Energy Stored in a Permanent Magnet, April 2007. Available online: https://www.femm.info/wiki/pmenergy (accessed on 4 January 2014).













| Dimension | Value |
|---|---|
| Rotor diameter | 0.1016 m |
| Stator inner diameter | 0.1049 m |
| Stator outer diameter | 0.1346 m |
| Number of stator slots | 42 |
| Number of permanent magnets | 14 |
| Number of stator phases | 3, delta connection |
| Air gap | 0.000254 m |
| Turns per phase | 3 |
| Stator winding pitch | Full |
| Cogging torque (peak) | 2.7681 N-m |
Publisher’s Note: MDPI stays neutral with regard to jurisdictional claims in published maps and institutional affiliations. |
© 2021 by the authors. Licensee MDPI, Basel, Switzerland. This article is an open access article distributed under the terms and conditions of the Creative Commons Attribution (CC BY) license (https://creativecommons.org/licenses/by/4.0/).
Share and Cite
Fernando, T.; Zhou, Q.; Gutierrez, H.M. Hybrid Nonlinear State-Space Modeling Approach for a Dual Armature Generator. Electronics 2021, 10, 1401. https://doi.org/10.3390/electronics10121401
Fernando T, Zhou Q, Gutierrez HM. Hybrid Nonlinear State-Space Modeling Approach for a Dual Armature Generator. Electronics. 2021; 10(12):1401. https://doi.org/10.3390/electronics10121401
Chicago/Turabian StyleFernando, Thilina, Qin Zhou, and Hector M. Gutierrez. 2021. "Hybrid Nonlinear State-Space Modeling Approach for a Dual Armature Generator" Electronics 10, no. 12: 1401. https://doi.org/10.3390/electronics10121401
APA StyleFernando, T., Zhou, Q., & Gutierrez, H. M. (2021). Hybrid Nonlinear State-Space Modeling Approach for a Dual Armature Generator. Electronics, 10(12), 1401. https://doi.org/10.3390/electronics10121401

