Abstract
There are a large number of studies for terahertz (THz) radiation generation, but tunable THz sources are still a challenge since it is difficult to tune frequency, focus and intensity of the radiation simultaneously. The present work proposes the THz generation by the interaction of two hat-top laser beams with a host medium of argon gas containing graphite nanocylinders, as these beams result in highly nonlinear interaction because of a smooth dip in their peak intensity and a fast rise and fall in the overall intensity pattern. Such an interaction produces nonlinear current (6.7 × 108 A/m2) because of the electron cloud of the nanocylinders, which can be modulated by the laser and medium properties for realizing tunable THz radiation. The orientation of basal planes of nanocylinders is shown to be important for this mechanism, though it may be challenging for the experimentalists. The resonant excitation takes place when the plasmon frequency matches the beating frequency of the laser beams, and in the proposed mechanism one can have longitudinal surface plasmon resonance (~12 THz) and transverse surface plasmon resonance (~40 THz), leading to frequency-tunable THz radiation. The role of height and inter particle distance between the adjacent nanocylinders on the THz field amplitude and the efficiency of the mechanism is uncovered by controlling the aspect ratio in the nanocylinders. For example, reducing the inter particle distance from 180 nm to 60 nm leads to the enhancement of THz field from 1 × 108 V/m to 5.48 × 108 V/m. The profile of the emitted THz radiation is investigated in detail under the effect of various parameters in order to prove the practicality of the proposal. The proposed design and mechanism would be attractive for electromagnetic and communication societies which are dealing with millimeter-waves and THz components in addition to its medical application.
1. Introduction
THz radiation, the millimetre waves, having photons of low energy, i.e., of the order of 4.1 meV corresponding to 1 THz, find various applications in diverse fields including communication [1,2,3], spectroscopy [4,5], and food industry [6,7]. However, new applications are continuously being investigated due to the advancement in THz sources and detectors [8,9]. The erratic characteristics of these radiation hastened the scientific community all over the world for generating them. Therefore, a variety of techniques for THz radiation generation such as optical rectification [10], photoconductive emitters [11], synchrotron radiation [12], Cherenkov [13], laser plasma interaction [14,15,16,17,18], semiconductor antennas [19] have been explored. Antenna systems have proved to be quite useful for the generation of such radiation and their various applications [20,21,22,23]. For stronger THz radiation generation, laser and plasma interaction has been investigated in detail focusing on laser pulse shape effects, collisional effects and density ripples contribution in the mechanisms such as beating and photo-mixing. The external magnetic field has proved to play an important role in the THz radiation generation [24,25,26,27,28]. Generating THz radiation on the basis of excitation of plasma oscillations induced by ionization when an ultrashort laser pulse moves across a pre-formed plasma has been explored by Gildenburg and Vvedenskii [29]. Chen et al. studied generation of strong THz radiation by modulating duration of pulse of relativistic laser which is circularly polarized [30]. While generating THz radiations on the basis of laser and plasma interaction, the role of plasma electron temperature has also been explored [31,32]. In addition, the effect of fixed electric field on generated THz radiations from filaments of laser in plasma has been investigated [33]. In addition, in an experimental study by Chen et al., generating THz radiation using more than one laser-produced air plasma signifies that the amplitude of the THz radiation can be increased by summation of fields [34].
Nanomaterials have also been most captivating field for research. Generating THz radiation by the interaction between laser and nanomaterials is one of the interesting areas for scientific world. Different structures of nanomaterials such as nanospheres, nanocylinders have been found to affect the amplitude of emitted THz radiation [35,36,37,38]. In addition to these experiments, a theoretical investigation for generating THz radiation with the help of nanoparticles has been performed by Sepehri Javan and Rouhi Erdi [39]. Further, a comparative analytical study has been performed by our group for a medium of spherical and cylindrical nanoparticles irradiated by super-Gaussian laser beams [40].
In all the above mechanisms, this is important that the laser-matter interaction be quite nonlinear and also the problem of breakdown does not take place that limits the intensity of the incident lasers and hence, a proper tuning of emitted THz radiation is difficult to achieve. However, in the present work, we propose the laser-matter interaction based on two hat-top beams impinging on the medium with conducting nanocylinders. We show an efficient THz emission based on this highly nonlinear interaction due to smooth dip in the peak intensity and fast rise and fall in the intensity pattern of the lasers. Not only this, the role of aspect ratio of the nanocylinders and the alignment of basal planes is revealed in this theoretical investigation.
2. Hat-Top Laser Beams
A survey of parameters, applications and different methods for shaping of hat-top beams using Gaussian beams has been given by Homburg and Mitra [41]. Le et al. have shown how laser micro structuring is affected by hat-top beams processing and scanning [42]. The oscillating electric field of two hat-top laser beams polarized in the y-direction and considered for the present mechanism are taken as
These beams are propagating along the z-axis with beam width . Both beams with the frequencies and and the electric field strike concurrently on the system having nanocylinders.
Figure 1 depicts the electric field profile of the hat-top beam and Gaussian beam. The solid thick blue line shows the profile of the hat-top laser beam. It can be observed that the field of hat-top laser beam is almost constant over a region from −0.65 (y/) to + 0.65 (y/). If we compare this profile with that of the Gaussian beam, we realize that there is a sharp rise and fall in the pattern in the hat-top beam. More specifically, the general hat-top beams having lasers index 8 and skewness parameter 0.3 encompass such a property. Skewness in the lasers field and their other profiles have also proved their significance in optics [43,44,45].
Figure 1.
Solid thick line shows profile of a hat top beam, whereas the dotted line corresponds to the Gaussian beam.
3. Origination of Ponderomotive Force
A system having graphite nanocylinders is illuminated by the electric fields of the two hat-top laser beams, as shown in Figure 2. The total observable macroscopic density for such a system is , being fractional volume of the nanocylinders and the density of conduction electrons when the basal plane (plane perpendicular to the principal axis, denoted by ) of the nanocylinders is either parallel or perpendicular to the electric field of the laser beams. The parameters are radius, height and distance between any two adjacent nanocylinders in either configuration of basal planes with respect to the electric field of incident laser beams. On irradiation, the electron clouds of the nanocylinders experience a force at the frequency, , and they start vibrating with the frequency . The force which electron clouds experience is non-linear in nature and is called ponderomotive force. For calculating the ponderomotive force, we proceed with the following equation regulating the motion of the electrons on interaction with the laser beams
where is the oscillatory velocity of the electron cloud and for the respective lasers. is a constant corresponding to the restoring force acting on the nanocylinders to bring the electron clouds in their normal configuration, whose value is together with as the electron plasma frequency, where is the density of the conduction electrons. Because of the presence of the electrons some scattering phenomena may take place, which lead to the damping process; hence there is a term containing damping coefficient . The oscillatory velocity of the electrons is calculated as . The ponderomotive force is evaluated from potential [15] such as /2e. The y-component of the force experienced by the nanocylinders is obtained as
Figure 2.
Schematic of the interaction of hat top beams and a medium containing graphite nanocylinders with parallel and/or perpendicular orientation of their basal planes.
Here . Due to the ponderomotive force the displacement of the electron clouds takes place. Therefore, the motion of negatively charged particles is given by the equation
Because of the displacement, the electron clouds oscillate nonlinearly. Therefore, the nonlinear velocity can be calculated from Equation (4) which yields nonlinear current. The expression for the nonlinear velocity is obtained as
This is clear here that the profile of the top-hat beams greatly controls the nonlinear velocity and hence the nonlinear current, which is responsible for the generation of THz radiation. The ponderomotive force exerted by the said hat-top laser beams plays an important role in the excitation of nonlinear current and it shows a stronger dependence on the incident lasers field , as shown in Figure 3. This is clear from the figure that two-fold increment in the field leads to four times enhancement in the peak value of this force. Another interesting feature of this force can be noted that it shows two symmetrical peaks based on which it will be possible to manipulate the nonlinear current and its profile tuning.
Figure 3.
Variation of ponderomotive force with transverse distance from the beam axis for different values of incident lasers electric field, when rad/s, rad/s, and of the nanocylinders.
4. Nonlinear Current and THz Generation
The equation by which nonlinear current density is calculated depends on the macroscopic density of the nanocylinders and nonlinear velocity in accordance with . The modulation in the macroscopic density of the nanocylinders is given by , α being the wave number of the ripple density. On substituting the values, the expression of the nonlinear current density comes out to be
The transverse profile of the nonlinear current density is shown in Figure 4 for different values of the height of the nanocylinders. Consistent to the variation of the ponderomotive force, the current also peaks at the two places. The maximum value of the current shows a stronger dependence on the size of the nanocylinders and this increases in its direct proportion. For example, four-fold enhancement in their height leads to four times increment in the peak value. This is due to the increased number of the electrons taking part in the generation of the current.
Figure 4.
Variation of current density with transverse distance from the beam axis for different values of height of nanocylinders with their basal planes parallel to the electric field of laser beams, when , , = 2.0 × m, rad/s and rad/s.
Generation of the THz radiation is understood with the help of the following wave equation, obtained from the Maxwell’s equations:
Here the nonlinear current density has already been calculated and i.e., effective permittivity of the system is evaluated using the approach of electromagnetic mixing [46]. The effective permittivity of the system is the combination of bound electrons permittivity and the permittivity due to the electrons that take part in conduction. The contribution due to later one is already taken into consideration while calculating the nonlinear current density. The permittivity of the bound electron system containing nanocylinders embedded in a host medium with permittivity is given by:
Here , are the volume fraction of nanocylinders and the permittivity of only bound electrons for either parallel or perpendicular orientation of basal planes with respect to the hat-top laser beam’s electric field. The values of plasma frequency and constant of damping for parallel orientation of the basal planes are rad/s and , respectively, considered from empirical data [47,48]. The values of these constants vary with the configuration of the basal planes and the incident electric field due to the anisotropy in the medium of the graphite nanocylinders. The emitted THz radiation is obtained by taking divergence of Equation (7) and assuming the fast variation of the field . This yields
or
The left side of the above equation vanishes. Therefore, the expression of the emitted THz field can be written in terms of the nonlinear current as . Finally, the field reads
Here is the ratio of ripples in the density and the density of the conduction electrons when orientation of basal planes is either parallel or perpendicular to the electric field of the laser beams.
In order to discuss the potential of the scheme, we calculate the efficiency (), which is the ratio of the emitted THz radiation energy density and the energy density of the incident lasers, . Following the method used in [49] we find:
and
Therefore, the expression of the efficiency reads
5. Results and Discussion
In the present scheme, CO2 and N2O gas lasers with frequencies rad/s and rad/s, respectively, are considered to illuminate the system of graphite nanocylinders placed in a host medium of argon gas (Figure 2). The magnitude of the electric field incident on the medium is E0 = 4.0 × 1010 V/m and the beam width = 2.0 × m. Until specified, we consider that all the nanocylinders are equal in size and have diameter equal to 60 nm. Further, height of the nanocylinders and distance between any two adjacent cylinders are 5 and 6, respectively.
Figure 5 depicts the dependence of the emitted THz field on the laser beam width for different values of the incident field . It can be seen that the electric field of the emitted THz radiation is of the order of MV/m and with the increase in the incident electric field, this field becomes larger and hence stronger radiation is emitted. However, one cannot increase the amplitude of the incident electric field to very large extent in view of breakdown problem. However, in the proposed scheme, if we keep on increasing the incident lasers intensity the formation of plasma is expected. In that situation, the damping shall not exit, and a much stronger THz emission will take place but that radiation may not be frequency-tunable. In addition, it is observed that the emitted THz radiation has higher field for the lower beam width values. This is consistent to the observations made by other researchers [25,37,50]. Another important aspect of the present scheme is that the emitted THz field in the case of nanocylinders having parallel orientation is much larger than the situation where nanocylinders are situated in their perpendicular orientation.
Figure 5.
Variation of emitted THz radiation field with the beam width for different values of incident lasers field, when y = 0.95 rad/s, rad/s, and of the nanocylinders.
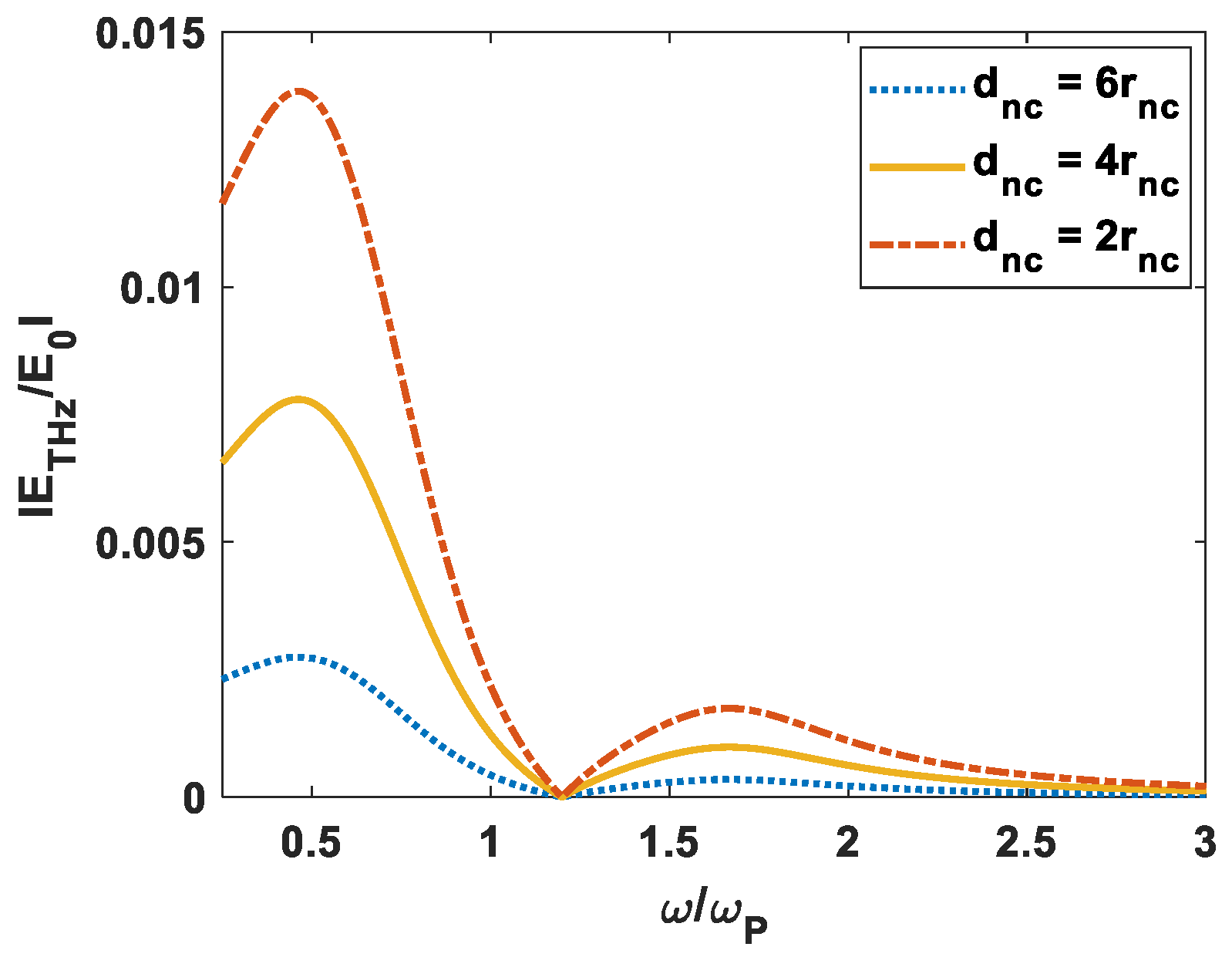
Variation of the emitted THz radiation field for different values of inter-particle distance between any two adjacent nanocylinders is shown in Figure 6. It can be seen that both the amplitude of the emitted THz radiation field and the distance between any two nanocylinders are inversely proportional to each other. This is because when two nanocylinders come closer to each other, the electron clouds of the cylinders start merging. Under this situation, an effectively larger number of electrons take part in the conduction that leads to higher THz emission. Moreover, two peaks are observed which occur due to asymmetrical geometry of the nanocylinders. Because of the asymmetry in the proposed medium, one can have longitudinal surface plasmon resonance and transverse plasmon resonance. This leads to bifrequency THz radiation which can be tuned by varying the aspect ratio in the nanocylinders. In view of different density of electron clouds in the two regions, we have the THz radiation at two different resonance frequencies. By reducing the length of the nanocylinders which is not difficult to manipulate experimentally [15,51], one can convert this bifrequency radiation into unifrequency radiation [14]. This way the tuning can be achieved based on which one can tune the intensities of two types of the THz radiations. Such radiations would be useful in medical applications [16,17,27,43].
Figure 6.
Variation of emitted THz radiation field with normalized frequency for different inter-particle distance of the adjacent nanocylinders with their basal planes parallel to the incoming electric field, when , , = 2.0 × m and y = 0.95.
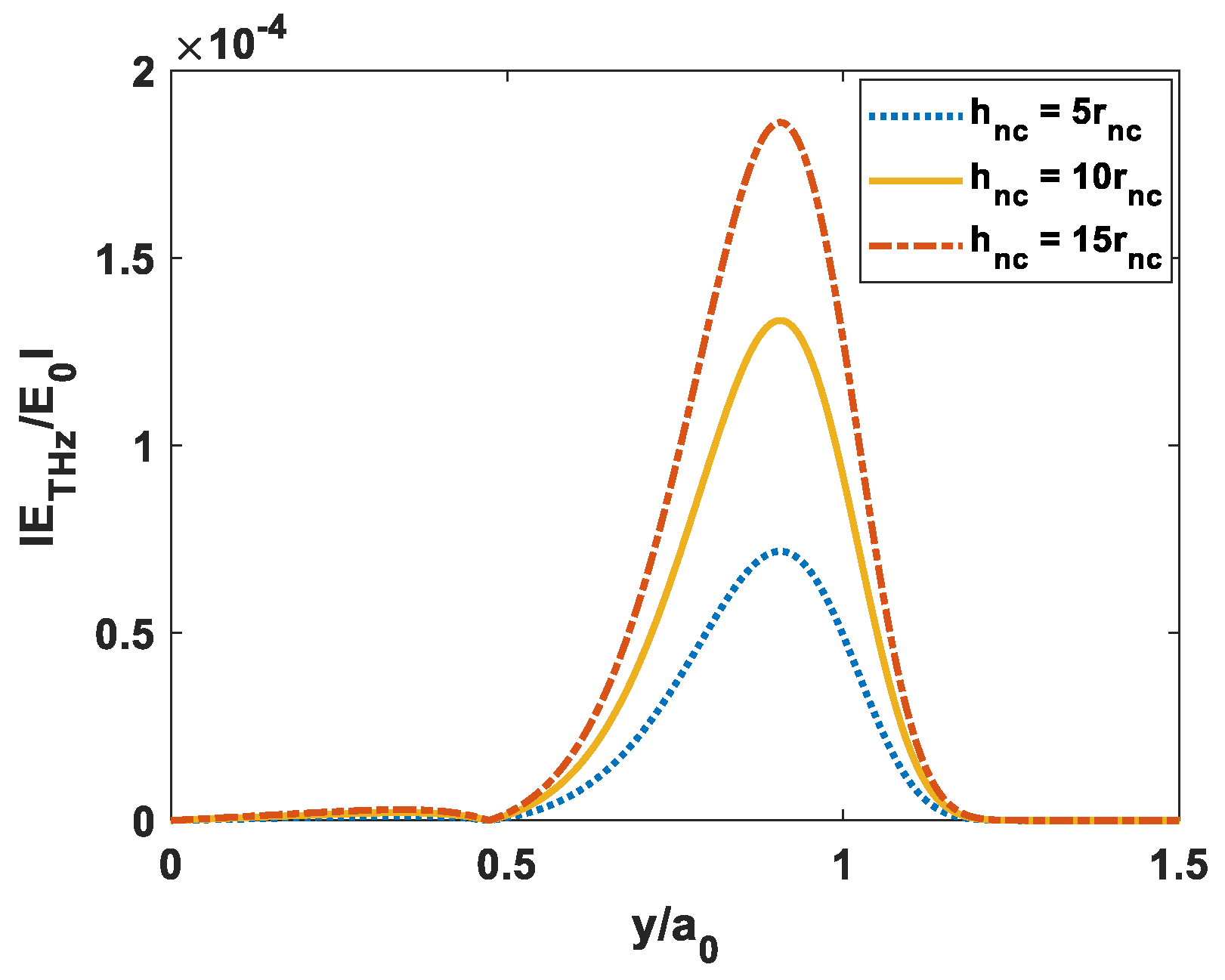
In order to further discuss the tuning of the emitted THz radiation, we plot its spatial profile in Figure 7 for different height of the nanocylinders in the medium. This can be seen that taller nanocylinders result in the emission of stronger THz emission. This radiation is focused at one place only, as we plot only the highest peak obtained in Figure 6. Since the present mechanism is a nonlinear interaction, this is understood that longer nanocylinders in the medium lead to highly nonlinear situation and hence the THz emission is stronger in terms of its field and hence the intensity. For example, the amplitude (normalized) of the emitted THz field is when which is increased to when . In addition, a comparison of the graphs in Figure 7 reveals that the emitted radiation is more symmetric for the case of longer cylindrical nanoparticles. It means the aspect ratio plays vital role in producing stronger and symmetrical THz radiation emission.
Figure 7.
Spatial profile of emitted THz radiations with normalized distance from axis of beam for different values of height of nanocylinders with their basal planes parallel to the electric field of laser beams, when , , = 2.0 × m, rad/s and rad/s.
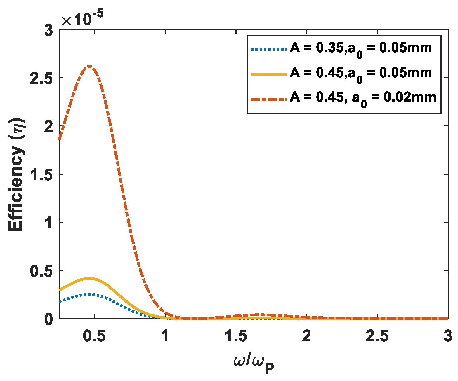
Finally, we discuss the potential of the present scheme through the efficiency plotted in Figure 8 for different values of density ripples A and beam width . It is observed that the THz efficiency increases as the amplitude of density ripples increases due to the involvement of a larger number of negatively charged particles/electrons on increment in the density of ripples. More electrons lead to a larger nonlinear current. Since this current is responsible for the THz emission, a stronger radiation is emitted that leads to enhanced efficiency. The efficiency also increases from 0.5 to 2.7 when the beam width is reduced from 0.05 mm to 0.02 mm. However, on reducing the beam width, the gradient in the lasers intensity is enhanced in view of which stronger ponderomotive force is realized. The stronger ponderomotive force generates stronger nonlinear current and hence the THz radiation of larger field. This finally leads to the enhanced efficiency of the scheme.
Figure 8.
Dependence of efficiency on the normalized frequency for different values of beam width and ripple density, A = , when , , and y = 0.95 The medium contains only parallel oriented nanocylinders with respect to the electric field of the incident laser beam.
We have compared our results with the experimental findings of Polyushkin et al. [35], Welsh et al. [36] and Zhang et al. [37], and theoretical studies of Kajikawa et al. [38], Sepehri Javan and Rouhi Erdi [39], Sharma et al. [40], Varshney et al. [52], Thakur et al. [53] and Sepehri Javan et al. [54] who considered Gaussian, super-Gaussian, top head, ring shaped or hollow Gaussian laser beams for their study. In our case, the host medium having cylindrical graphite nanocylinders is irradiated by the hat-top laser beams. Our finding that the emitted THz field is higher when the basal planes of the nanocylinders are parallel to the electric field of the incident laser beams as compared to when they are perpendicular to the electric field and the field of the order of MV/m agrees with the experimental and theoretical findings of Zhang et al. [37] and Kajikawa et al. [38] for their s-polarized or p-polarized light. The effect of inter-particle distance on the nature and amplitude of the emitted THz radiation is similar to the experimental findings obtained by Polyushkin et al. [35], Welsh et al. [36] and Zhang et al. [37]. The order of the emitted THz field in our case is the same as in Ref. [52], while it is and times higher in magnitudes as compared to the one obtained by Sepehri Javan and Rouhi Erdi [39] and Sharma et al. [40], respectively. An identical behavior to [39,40,52] for their investigation on size of nanoparticles has also been obtained in our scheme when height-to-radius ratio of the cylinders is evaluated on the THz field. Moreover, higher efficiency has been obtained in our case as compared to [39,40,52,53,54]. Overall we can conclude that our results are in agreement with the observations of the other researchers [26,35,36,37,38,39,40,52,53,54] while the amplitude of the emitted THz radiation and the efficiency in our case is much higher. In addition, our proposal of a medium containing conductive nanocylinders which is illuminated by the hat-top lasers is quite effective based on which we can tune the emitted THz radiation in terms of its frequency, focus and intensity. There are methods available that can convert the Gaussian beams into the considered hat-top beams [55,56,57,58] for achieving highly nonlinear interaction. This also strengthens the practicality of the proposal.
The present work produced results on the THz radiation generation through the interaction of lasers and a medium of conducting nanocylinders, and there is no inclusion of experimental results on the same. However, the calculations clearly demonstrate the role of the hat-top lasers in realizing stronger nonlinear interaction with the nano-sized graphite cylinders for the generation of efficient THz radiation, where tunability of the radiation is based on the variation of the laser and medium properties. Experiments have been performed by different groups via femtosecond lasers to generate THz radiation from nano-sized metallic structures, ordered arrays and metal films [35,36,37]. For example, the electro-optical sampling with 100 fs laser in a standard THz-TDS setup has been used by Polyushkin et al. [35] for the generation and detection of THz radiation from silver nanoparticles and nanohole arrays. The experimental set up of Welsh et al. [36] consisted of electro-optic crystal, a quarter wave plate, prism and balanced photodiodes. Here the THz radiation from metal grating coated with gold has been generated and detected for s-polarized and p-polarized light. Zhang et al. [37] have used a Fourier-transform Michelson interferometer to quantitatively characterize the spectra emitted by random 2D metallic nanostructures. Here the nanostructured sample was positioned in the beam path with the metallic film surface facing the incident beam. Further, 100 nm metallic films deposited by magnetron sputtering were used and the THz radiation was collected from the side of the sample that faced away from the beam and were detected by the Golay cell. This might be possible to extend these experiments for the proposed mechanism where the laser pulses are hat-top in shape and the irradiating material is the medium consisting of graphite nanocylinders. It will be interesting to perform the experiments with different sized nanocyliners and with different interparticle distances in order to confirm our findings and establish any relationship between the properties of the medium and the impinging lasers for effective THz radiation generation. Not only this, it will also open up new avenues for conducting research on laser pulse shaping via different mechanisms involving optical spectral shapers [55], adaptive optics [56], frequency-to-time mapping [57] and fibre-optic shaping method [58].
6. Conclusions
Our proposal of using hat-top lasers for illuminating a medium having conductive graphite nanocylinders proves to be an effective scheme for THz emission based on which we can tune the frequency, focus and intensity of the radiation. Consistent with other cases, these laser beams also lead to similar results of an enhanced THz field for their higher intensity and smaller beam width. THz emission is enhanced when the inter-particle distance of the nanocylinders is reduced, inferring that the formation of nanoclusters may lead to much stronger THz emission. With the increase in the height of the cylinders, amplitude of the THz field increases from to (when is increased from to ) and its transverse profile becomes symmetrical, proving that the aspect ratio plays an important role in tuning the emitted intensity. The aspect ratio can also tune the two resonance frequencies, which means the bifocal radiation can be achieved which is convertible to the unifocal THz radiation. Efficiency of the scheme rises when the ripples in the density of the medium have higher amplitude and lasers of smaller beam width are employed. For example, the efficiency increases from 0.5 to 2.7 when the beam width is reduced from 0.05 mm to 0.02 mm.
Author Contributions
Conceptualization, H.K.M.; methodology, T.P. and D.S.; software, T.P. and D.S.; validation, H.K.M. and T.P.; investigation, T.P.; resources, H.K.M. and T.P.; writing—original draft preparation, T.P.; writing—review and editing, H.K.M. All authors have read and agreed to the published version of the manuscript.
Funding
The research received no external funding.
Data Availability Statement
The details of data taken are cited in the text.
Conflicts of Interest
The authors do not have any conflict of interest for this work.
References
- Dragoman, D.; Dragoman, M. Terahertz fields and applications. Prog. Quantum Electron. 2004, 28, 1–66. [Google Scholar] [CrossRef]
- Tonouchi, M. Cutting-edge terahertz technology. Nat. Photonics 2007, 1, 97–105. [Google Scholar] [CrossRef]
- Krumbholz, N.; Gerlach, K.; Rutz, F.; Koch, M.; Piesiewicz, R.; Kürner, T.; Mittleman, D. Omnidirectional terahertz mirrors: A key element for future terahertz communication systems. Appl. Phys. Lett. 2006, 88, 3–5. [Google Scholar] [CrossRef]
- Ebbinghaus, S.; Schröck, K.; Schauer, J.C.; Bründermann, E.; Heyden, M.; Schwaab, G.; Böke, M.; Winter, J.; Tani, M.; Havenith, M. Terahertz time-domain spectroscopy as a new tool for the characterization of dust forming plasmas. Plasma Sources Sci. Technol. 2006, 15, 72–77. [Google Scholar] [CrossRef]
- Nishizawa, S.; Sakai, K.; Hangyo, M.; Nagashima, T.; Takeda, M.W.; Tominaga, K.; Oka, A.; Tanaka, K.; Morikawa, O. Terahertz time-domain spectroscopy. Terahertz Optoelectron. 2005, 203–270. [Google Scholar] [CrossRef]
- Yan, Z.-K.; Zhang, H.-J.; Ying, Y.-B. Research progress of terahertz wave technology in quality measurement of food and agricultural products. Guang pu xue yu Guang pu fen xi= Guang pu 2007, 27, 2228–2234. [Google Scholar]
- Qin, J.; Ying, Y.; Xie, L. The detection of agricultural products and food using terahertz spectroscopy: A review. Appl. Spectrosc. Rev. 2013, 48, 439–457. [Google Scholar] [CrossRef]
- Sizov, F. THz radiation sensors. Opto-Electron. Rev. 2010, 18, 10–36. [Google Scholar] [CrossRef] [Green Version]
- Ulbricht, R.; Hendry, E.; Shan, J.; Heinz, T.F.; Bonn, M. Carrier dynamics in semiconductors studied with time-resolved terahertz spectroscopy. Rev. Mod. Phys. 2011, 83, 543–586. [Google Scholar] [CrossRef] [Green Version]
- Carr, G.L.; Martin, M.C.; McKinney, W.R.; Jordan, K.; Neil, G.R.; Williams, G.P. High-power terahertz radiation from relativistic electrons. Nature 2002, 420, 153–156. [Google Scholar] [CrossRef] [PubMed]
- Shen, Y.C.; Upadhya, P.C.; Beere, H.E.; Linfield, E.H.; Davies, A.G.; Gregory, I.S.; Baker, C.; Tribe, W.R.; Evans, M.J. Generation and detection of ultrabroadband terahertz radiation using photoconductive emitters and receivers. Appl. Phys. Lett. 2004, 85, 164–166. [Google Scholar] [CrossRef] [Green Version]
- Glyavin, M.Y.; Luchinin, A.G.; Golubiatnikov, G.Y. Generation of 1.5-kW, 1-THz coherent radiation from a gyrotron with a pulsed magnetic field. Phys. Rev. Lett. 2008, 100, 1–3. [Google Scholar] [CrossRef]
- Cook, A.M.; Tikhoplav, R.; Tochitsky, S.Y.; Travish, G.; Williams, O.B.; Rosenzweig, J.B. Observation of narrow-band terahertz coherent cherenkov radiation from a cylindrical dielectric-lined waveguide. Phys. Rev. Lett. 2009, 103, 1–4. [Google Scholar] [CrossRef] [Green Version]
- Malik, H.K. Generalized treatment of skew-cosh-Gaussian lasers for bifocal terahertz radiation. Phys. Lett. Sect. A Gen. At. Solid State Phys. 2020, 384, 126304. [Google Scholar] [CrossRef]
- Malik, H.K. Laser-Matter Interaction for Radiation and Energy; CRC Press: Boca Raton, FL, USA, 2021; ISBN 1315396009. [Google Scholar]
- Gill, R.; Singh, D.; Malik, H.K. Multifocal terahertz radiation by intense lasers in rippled plasma. J. Theor. Appl. Phys. 2017, 11, 103–108. [Google Scholar] [CrossRef] [Green Version]
- Punia, S.; Malik, H.K. THz radiation generation in axially magnetized collisional pair plasma. Phys. Lett. Sect. A Gen. At. Solid State Phys. 2019, 383, 1772–1777. [Google Scholar] [CrossRef]
- Malik, A.K.; Malik, H.K.; Stroth, U. Strong terahertz radiation by beating of spatial-triangular lasers in a plasma. Appl. Phys. Lett. 2011, 99, 2–4. [Google Scholar] [CrossRef]
- Jepsen, P.U.; Jacobsen, R.H.; Keiding, S.R. Generation and detection of terahertz pulses from biased semiconductor antennas. J. Opt. Soc. Am. B 1996, 13, 2424. [Google Scholar] [CrossRef]
- Althuwayb, A.A. On-Chip Antenna Design Using the Concepts of Metamaterial and SIW Principles Applicable to Terahertz Integrated Circuits Operating over 0.6-0.622 THz. Int. J. Antennas Propag. 2020, 2020. [Google Scholar] [CrossRef]
- Alibakhshikenari, M.; Virdee, B.S.; Salekzamankhani, S.; Aïssa, S.; See, C.H.; Soin, N.; Fishlock, S.J.; Althuwayb, A.A.; Abd-Alhameed, R.; Huynen, I.; et al. High-isolation antenna array using SIW and realized with a graphene layer for sub-terahertz wireless applications. Sci. Rep. 2021, 11, 1–14. [Google Scholar] [CrossRef]
- Alibakhshikenari, M.; Virdee, B.S.; Althuwayb, A.A.; Aïssa, S.; See, C.H.; Abd-Alhameed, R.A.; Falcone, F.; Limiti, E. Study on on-Chip Antenna Design Based on Metamaterial-Inspired and Substrate-Integrated Waveguide Properties for Millimetre-Wave and THz Integrated-Circuit Applications. J. Infrared Millim. Terahertz Waves 2021, 42, 17–28. [Google Scholar] [CrossRef]
- Alibakhshikenari, M.; Virdee, B.S.; Khalily, M.; See, C.H.; Abd-Alhameed, R.; Falcone, F.; Denidni, T.A.; Limiti, E. High-Gain On-Chip Antenna Design on Silicon Layer with Aperture Excitation for Terahertz Applications. IEEE Antennas Wirel. Propag. Lett. 2020, 19, 1576–1580. [Google Scholar] [CrossRef]
- Dorranian, D.; Starodubtsev, M.; Kawakami, H.; Ito, H.; Yugami, N.; Nishida, Y. Radiation from high-intensity ultrashort-laser-pulse and gas-jet magnetized plasma interaction. Phys. Rev. E—Stat. Nonlinear, Soft Matter Phys. 2003, 68, 026409/1–026409/7. [Google Scholar] [CrossRef] [PubMed]
- Dorranian, D.; Ghoranneviss, M.; Starodubtsev, M.; Ito, H.; Yugami, N.; Nishida, Y. Generation of short pulse radiation from magnetized wake in gas-jet plasma and laser interaction. Phys. Lett. Sect. A Gen. At. Solid State Phys. 2004, 331, 77–83. [Google Scholar] [CrossRef]
- Malik, A.K.; Malik, H.K.; Nishida, Y. Terahertz radiation generation by beating of two spatial-Gaussian lasers. Phys. Lett. Sect. A Gen. At. Solid State Phys. 2011, 375, 1191–1194. [Google Scholar] [CrossRef]
- Malik, A.K.; Malik, H.K. Tuning and focusing of terahertz radiation by dc magnetic field in a laser beating process. IEEE J. Quantum Electron. 2013, 49, 232–237. [Google Scholar] [CrossRef]
- Ghaem, E.N.; Dorranian, D.; Sari, A.H. External magnetic field effects on the characteristics of cobalt nanoparticles prepared by pulsed laser ablation. Opt. Quantum Electron. 2021, 53, 1–14. [Google Scholar] [CrossRef]
- Gildenburg, V.B.; Vvedenskii, N.V. Optical-to-THz wave conversion via excitation of plasma oscillations in the tunneling-ionization process. Phys. Rev. Lett. 2007, 98, 1–4. [Google Scholar] [CrossRef]
- Chen, Z.Y.; Li, X.Y.; Yu, W. Intense terahertz emission from relativistic circularly polarized laser pulses interaction with overdense plasmas. Phys. Plasmas 2013, 20, 1–6. [Google Scholar] [CrossRef]
- Malik, H.K.; Singh, D.; Kumar, R. Strong Terahertz radiation generation via wakefield in collisional plasma. J. Taibah Univ. Sci. 2020, 14, 1279–1287. [Google Scholar] [CrossRef]
- Kumar, M.; Tripathi, V.K.; Jeong, Y.U. Laser driven terahertz generation in hot plasma with step density profile. Phys. Plasmas 2015, 22, 1–3. [Google Scholar] [CrossRef]
- Bhasin, L.; Tripathi, V.K. Terahertz generation from laser filaments in the presence of a static electric field in a plasma. Phys. Plasmas 2011, 18, 18–21. [Google Scholar] [CrossRef]
- Chen, M.K.; Kim, J.H.; Yang, C.E.; Yin, S.S.; Hui, R.; Ruffin, P. Terahertz generation in multiple laser-induced air plasmas. Appl. Phys. Lett. 2008, 93, 3–5. [Google Scholar] [CrossRef] [Green Version]
- Polyushkin, D.K.; Márton, I.; Rácz, P.; Dombi, P.; Hendry, E.; Barnes, W.L. Mechanisms of THz generation from silver nanoparticle and nanohole arrays illuminated by 100 fs pulses of infrared light. Phys. Rev. B—Condens. Matter Mater. Phys. 2014, 89, 1–7. [Google Scholar] [CrossRef] [Green Version]
- Welsh, G.H.; Hunt, N.T.; Wynne, K. Terahertz-pulse emission through laser excitation of surface plasmons in a metal grating. Phys. Rev. Lett. 2007, 98, 3–6. [Google Scholar] [CrossRef]
- Zhang, L.; Mu, K.; Zhou, Y.; Wang, H.; Zhang, C.; Zhang, X.C. High-power THz to IR emission by femtosecond laser irradiation of random 2D metallic nanostructures. Sci. Rep. 2015, 5, 1–8. [Google Scholar] [CrossRef] [Green Version]
- Kajikawa, K.; Nagai, Y.; Uchiho, Y.; Ramakrishnan, G.; Kumar, N.; Ramanandan, G.K.P.; Planken, P.C.M. Terahertz emission from surface-immobilized gold nanospheres. Opt. Lett. 2012, 37, 4053. [Google Scholar] [CrossRef] [Green Version]
- Sepehri Javan, N.; Rouhi Erdi, F. Theoretical study of the generation of terahertz radiation by the interaction of two laser beams with graphite nanoparticles. J. Appl. Phys. 2017, 122, 1–7. [Google Scholar] [CrossRef]
- Sharma, D.; Singh, D.; Malik, H.K. Shape-Dependent Terahertz Radiation Generation Through Nanoparticles. Plasmonics 2020, 15, 177–187. [Google Scholar] [CrossRef]
- Homburg, O.; Mitra, T. Gaussian-to-top-hat beam shaping: An overview of parameters, methods, and applications. In Proceedings of the Laser Resonators, Microresonators, and Beam Control XIV. Int. Soc. Opt. Photonics 2012, 8236, 82360A. [Google Scholar] [CrossRef]
- Le, H.; Penchev, P.; Henrottin, A.; Bruneel, D.; Nasrollahi, V.; Ramos-de-Campos, J.A.; Dimov, S. Effects of top-hat laser beam processing and scanning strategies in laser micro-structuring. Micromachines 2020, 11, 221. [Google Scholar] [CrossRef] [Green Version]
- Malik, L.; Escarguel, A. Role of the temporal profile of femtosecond lasers of two different colours in holography. EPL 2018, 124, 64002. [Google Scholar] [CrossRef]
- Malik, L.; Escarguel, A.; Kumar, M.; Tevatia, A.; Singh Sirohi, R. Uncovering the remarkable contribution of lasers peak intensity region in holography. Laser Phys. Lett. 2021, 18, 086003. [Google Scholar] [CrossRef]
- Malik, L. Dark hollow lasers may be better candidates for holography. Opt. Laser Technol. 2020, 132, 106485. [Google Scholar] [CrossRef]
- Sihvola, A.H. Electromagnetic Mixing Formulas and Applications; IET: London, UK, 1999; ISBN 0852967721. [Google Scholar]
- Johnson, L.G.; Dresselhaus, G. Optical properies of graphite. Phys. Rev. B 1973, 7, 2275–2285. [Google Scholar] [CrossRef]
- Taft, E.A.; Philipp, H.R. Optical properties of graphite. Phys. Rev. 1965, 138, A197. [Google Scholar] [CrossRef]
- Rothwell, E.J.; Cloud, M.J. Electromagnetics; CRC Press: Boca Raton, FL, USA, 2018; ISBN 1439878188. [Google Scholar]
- Wang, T.J.; Marceau, C.; Chen, Y.; Yuan, S.; Théberge, F.; Châteauneuf, M.; Dubois, J.; Chin, S.L. Terahertz emission from a dc-biased two-color femtosecond laser-induced filament in air. Appl. Phys. Lett. 2010, 96, 2–4. [Google Scholar] [CrossRef]
- Jana, N.R.; Gearheart, L.; Murphy, C.J. Wet chemical synthesis of high aspect ratio cylindrical gold nanorods. J. Phys. Chem. B 2001, 105, 4065–4067. [Google Scholar] [CrossRef]
- Varshney, P.; Gopal, K.; Upadhyay, A. Terahertz emission from nonlinear interaction of laser beat wave with nanoparticles. Laser Phys. Lett. 2020, 17, 126002. [Google Scholar] [CrossRef]
- Thakur, V.; Kant, N.; Vij, S. Effect of cross-focusing of two laser beams on THz radiation in graphite nanoparticles with density ripple. Phys. Scr. 2020, 95, 45602. [Google Scholar] [CrossRef]
- Sepehri Javan, N.; Rouhi Erdi, F.; Najafi, M.N. Magnetic field effect on the self-focusing of an intense laser pulse interacting with a bulk medium of graphite nanoparticles. Phys. Plasmas 2017, 24, 052301. [Google Scholar] [CrossRef]
- Chou, J.; Han, Y.; Jalali, B. Adaptive RF-photonic arbitrary waveform generator. IEEE Photonics Technol. Lett. 2003, 15, 581–583. [Google Scholar] [CrossRef]
- Cherezova, T.Y.; Chesnokov, S.S.; Kaptsov, L.N.; Kudryashov, A.V. Super-Gaussian output laser beam formation by bimorph adaptive mirror. Opt. Commun. 1998, 155, 99–106. [Google Scholar] [CrossRef]
- Ye, J.; Yan, L.; Pan, W.; Luo, B.; Zou, X.; Yi, A.; Yao, S. Photonic generation of triangular-shaped pulses based on frequency-to-time conversion. Opt. Lett. 2011, 36, 1458. [Google Scholar] [CrossRef]
- Wang, H.; Latkin, A.I.; Boscolo, S.; Harper, P.; Turitsyn, S.K. Generation of triangular-shaped optical pulses in normally dispersive fibre. J. Opt. 2010, 12, 035205. [Google Scholar] [CrossRef]
Publisher’s Note: MDPI stays neutral with regard to jurisdictional claims in published maps and institutional affiliations. |
© 2021 by the authors. Licensee MDPI, Basel, Switzerland. This article is an open access article distributed under the terms and conditions of the Creative Commons Attribution (CC BY) license (https://creativecommons.org/licenses/by/4.0/).







