Next Article in Journal
Algorithms for the Structural Analysis of Multimode Modelica Models
Previous Article in Journal
An Effective Negotiation Strategy for Quantitative and Qualitative Issues in Multi-Agent Systems
 
 
Font Type:
Arial Georgia Verdana
Font Size:
Aa Aa Aa
Line Spacing:
Column Width:
Background:
Communication

An Investigation into the Comprehensive Impact of Self-Heating and Hot Carrier Injection

1
School of Microelectronics, Dalian University of Technology, Dalian 116000, China
2
China Electronic Product Reliability and Environmental Testing Research Institute, Guangzhou 510000, China
*
Authors to whom correspondence should be addressed.
Electronics 2022, 11(17), 2753; https://doi.org/10.3390/electronics11172753
Submission received: 15 July 2022 / Revised: 27 August 2022 / Accepted: 28 August 2022 / Published: 1 September 2022

Abstract

:
As the device feature size shrinks, the dissipation of power increases and further raises the carrier and lattice temperature, which finally affects device performance. In this paper, we analyze the comprehensive influence of the self-heating effect and hot carrier injection (HCI) using TCAD simulations. Based on the hydrodynamic and thermodynamic models, it is demonstrated that the thermal surface resistance had a positive impact on the carrier and lattice temperature and that the drain saturation current is reduced dramatically due to the self-heating effect. Moreover, the impact of HCI on device performance is discussed. Finally, it is concluded that the self-heating effect exacerbates the influence of HCI on device characteristics.

1. Introduction

With the continuous shrinking of the device feature size, the self-heating effect becomes more important [1]. The self-heating effect is mainly due to the fact that the carriers are accelerated to obtain higher energy under a high electric field at the drain region, and part of the energy of the carriers is transferred to the lattice by phonon scattering, which finally results in a local lattice temperature higher than the ambient temperature [2]. Because of the scattering, the carrier mobility decreases, and thus the saturation current reduces [3], which affects the performance and reliability of the device [4]. Therefore, a recent popular issue is the investigation of the influence of the self-heating effect on device performance using different device structures and new materials [5,6,7,8,9,10,11,12,13,14,15].
The energy gained by the carriers exceeds the energy delivered to the lattice, which causes the carriers to become hot carriers and the channel region to become filled with hot carriers [12]. The hot carriers with energy higher than the barrier of the Si/SiO2 interface are injected into the gate oxide, and thereby trapped charges are generated. Furthermore, the increasing lattice temperature raises the probability of energy bond breakage at the Si/SiO2 interface and further increases the number of trapped charges. Through the analysis of trapped charges [16,17,18,19,20,21,22], the impact of hot carrier injection (HCI) on device performance is typically discussed. However, the self-heating effect is not considered in these studies.
In this paper, the impact of the self-heating effect for different devices are analyzed. Simultaneously, we also investigate the comprehensive influence of the self-heating effect and HCI on the performance of a 22 nm n-channel bulk FinFET (NFinFET). The self-heating characteristics, including carrier mobility, lattice temperature, heat generation and thermal surface resistance (SR), are discussed. Moreover, the characteristic variations under HCI are revealed. Based on the above analysis, we disclose the impact of the self-heating effect and HCI on the device output characteristics.
The remainder of our work is organized as follows. Section 2 introduces the device parameters and the simulation setup. Section 3 reports the simulation results and discussion, and Section 4 provides a conclusion.

2. Experimental Setup

Since the self-heating effect has become increasingly important in small-scale devices, in our experiment, the 65 nm planar NMOS was used as a reference device to investigate the impact of self-heating on device performance by 2D electrothermal simulation. In order to better illustrate the self-heating effect, we compared the performance of 65 nm with 22 nm planar NMOS and 22 nm three-dimensional NFinFET under self-heating. These devices are available in the Sentaurus TCAD application library [23]. Compared with the structures of the other two planar NMOSs, the channel region of the NFinFET is a fin-shaped semiconductor surrounded by a gate, which increases the control area of the gate to the channel and greatly enhances the gate control capability, thereby effectively suppressing the short-channel effect and reducing the subthreshold leakage current. The physical parameters of the NMOS and the NFinFET are listed in Table 1 and Table 2, respectively. To simulate the characteristics of the devices, we adopted the Lombardi piezoresistance and high-field saturation models to simulate carrier mobility. The hydrodynamic and thermodynamic transport models were also coupled with the carrier transport model. Specially, the hydrodynamic model estimated the carrier temperature, and the lattice temperature was calculated by the thermodynamic model. To solve the lattice temperature, the ambient temperature was set to 300 K for the thermal boundary condition, and the thermal conductivity parameters used for the thermodynamic simulation are listed in Table 3. In addition, in order to simulate the self-heating effect, the temperature model was also coupled to the solver. With respect to HCI, the trap degradation model and lucky electron injection model were adopted to calculate the performance when the initial trapped charge concentration in the Si/SiO2 interface was assumed to be 1 × 108 cm3. The trap degradation model describes the process of depassivation of the dangling silicon bonds at the Si-SiO2 interface based on the reaction–diffusion with hydrogen atom transport in the gate oxide [23]. The lucky electron injection model was used to calculate the lucky electron current from an interface to a gate contact [23] (Figure 1).

3. Simulation Results and Discussion

To investigate the impact of self-heating, the thermal performances of different devices were compared. We took the lattice temperature and heat profiles under SR = 5 × 105 cm2 KW1 as an example to illustrate that self-heating becomes increasingly serious in small-scale devices, as shown in Figure 2. This is because the shrinking of voltage is not proportional to the device size [24], leading to an enhancement of the electric field in the channel, which further results in an increase in the thermal energy, as shown in Figure 3. In particular, the heat generation of the NFinFET was higher than the 65 nm and 22 nm NMOS. This is because the narrow fin-shaped channel region results in enhanced phonon-boundary scattering, which significantly affects thermal conductivity and increases thermal resistance. In addition, since the thermal conductivities of SiO2 and HfO2 surrounding the channel in the FinFET are 0.014 WK−1 cm−1 and 0.023 WK−1 cm−1, respectively, which is less than the thermal conductivity of the silicon substrate in the NMOSs, the heat accumulates. Therefore, we adopted the NFinFET for further investigation of the impact of the self-heating effect and HCI.

3.1. Performance Characteristics under the Self-Heating Effect

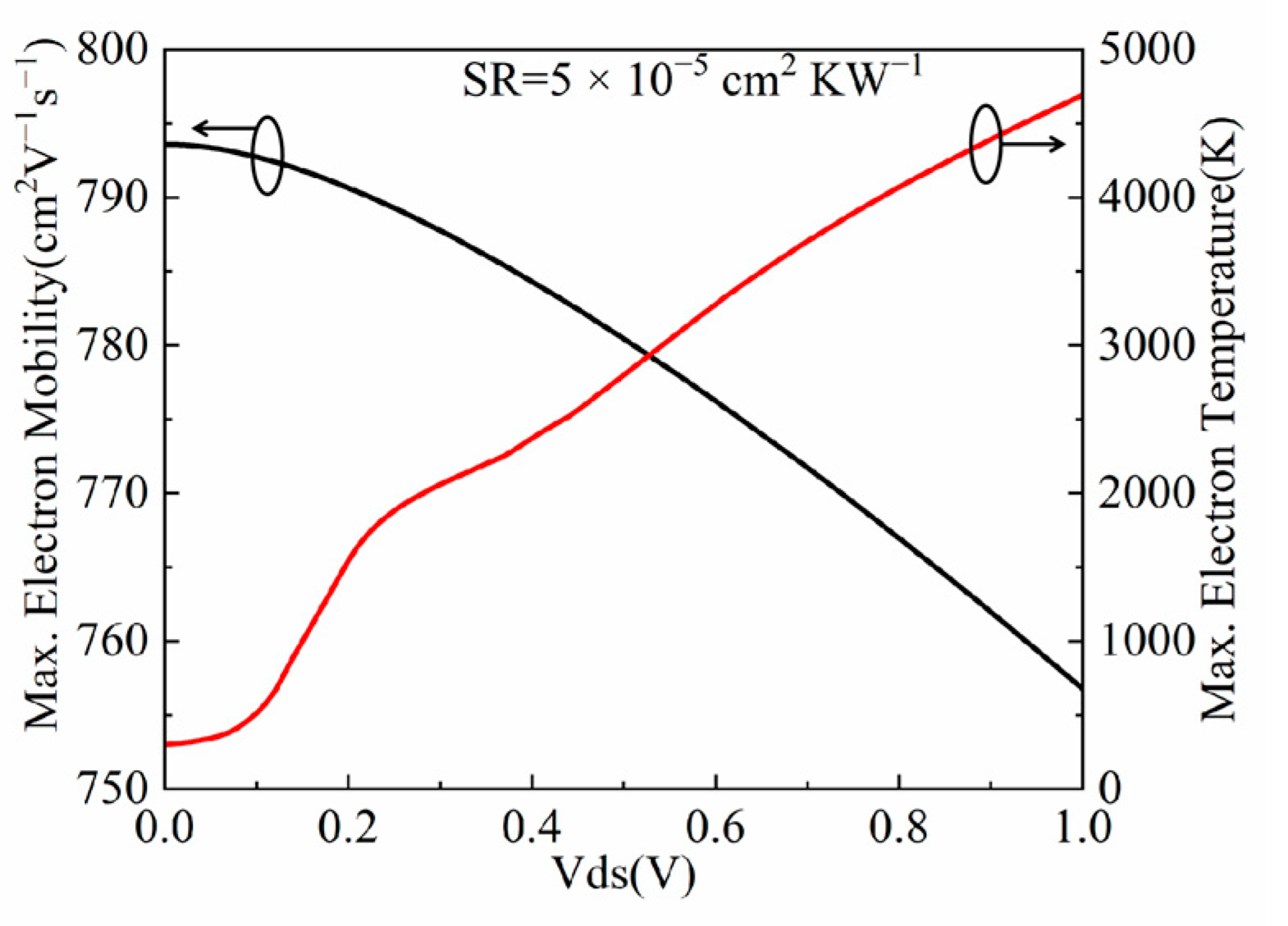
Figure 4 lists the variations of the maximum electron temperature and electron mobility against the drain voltage when SR = 5 × 10−5 cm2 KW−1. It can be inferred from Figure 4 that the electron temperature increases slowly when Vds is less than 0.1 V. Conversely, it increases dramatically when Vds is greater than 0.1 V.
This happens because the electrons are in low field transport in the linear region where the kinetic energy is lower, which leads to a lower electron temperature. On the contrary, in the saturation region, the electrons are in high field transport and absorb higher kinetic energy, which leads to an increase in the electron temperature. In this case, there are collisions between electrons and phonons. Because of the short relaxation of the electron and phonon scattering, the phonons accumulate, resulting in the enhancement of scattering, which further leads to a decrease in electron mobility. Through the collisions, the electron energy is delivered to the lattice, leading to an increase in the lattice temperature, as shown in Figure 5. It should be noticed that the maximum lattice temperature is near the drain region. This is because electrons are scattered with a large number of phonons near the drain, thereby transferring the electron energy to the lattice. Thus, the heat generation near the drain is much larger than that in the channel and source, which indicates that the heat distribution is non-uniform.
Figure 6 illustrates the effect of self-heating on the device output characteristics. Compared with the drain current of an NFinFET without the self-heating effect and that of an NFinFET under the self-heating effect, the drain current in the linear region is almost unchanged, while the drain saturation current is reduced under the self-heating effect. The essential reason is that the carrier mobility decreases due to phonons scattering.
In addition, SR plays an important role in thermal characteristics. It can be inferred from Figure 7 that under the same operating voltage, as SR increases from 1 × 10−5 cm2 KW−1 to 1 × 104 cm2 KW−1, the drain saturation current decreases. This is because the increasing SR leads to a reduction in electron mobility from 790.254 cm2 V1s1 to 705.194 cm2 V1s1. Moreover, the increasing SR raises the maximum lattice temperature from 314.37 K to 360.76 K, as illustrated in Figure 8. This is because the increasing SR offers a low-speed thermal conduction path for heat flow from the source and drain contacts [3]. The higher lattice temperature further increases the probability of the phonons scattering and decreases the carrier mobility, which finally reduces the saturation current.

3.2. Performance Characteristics under HCI

Figure 9 shows the variation of the threshold voltage against time under HCI. It can be concluded from Figure 9 that with an increase in operating time, the threshold voltage increases, which is consistent with the threshold voltage variation trend shown in [25]. This is because the carriers in the channel are continuously accelerated under the high electric field at the drain, the carriers acquire higher kinetic energy and thus become hot carriers. The hot carriers with high enough energy can cross the barrier of the Si/SiO2 interface and be injected into the gate oxide layer, then break the covalent bond, which finally generates the trapped charges. Due to the fact that the trapped charges cancel out part of the gate voltage, the threshold voltage increases.
According to the drain saturation current formula [26]:
I d s a t = W μ n C o x L V g s V t h ν s a t ,
the saturation current and threshold voltage are negatively related. Therefore, with the increase in operating time, the saturation current gradually decreases, as illustrated in Figure 10.

3.3. Performance Characteristics under the Self-Heating Effect and HCI

Figure 11 illustrates the saturation current variation under HCI and HCI with the self-heating effect when SR is 5 × 10−5 cm2 KW−1. The red curve denotes the variation of the saturation current under HCI against time, and the black curve represents the output characteristic variation under HCI with the self-heating effect. It can be seen from Figure 11 that the saturation current variation under HCI with the self-heating effect is greater than that under HCI as the operating time increases.
This is because as the operating time increases, the dissipation power increases, and so does the carrier temperature. Consequently, the carrier temperature exceeds the lattice temperature. Moreover, the hot carriers transfer energy to the lattice by phonon emission, which increases the lattice temperature. An increase in the lattice temperature promotes the probability of energy bond breakage at the Si/SiO2 interface and the probability of trapped charges in the oxide layer. Because the trapped charges cancel out part of the gate voltage, the saturation current at the drain decreases. From the above analysis, we can conclude that the self-heating effect exacerbates the influence of HCI on the device saturation current.
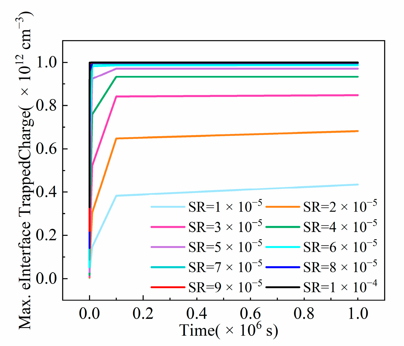
Moreover, we also investigate the impact of HCI with the self-heating effect on the saturation current of the NFinFET under different SRs at different times. It should be noted that the saturation current decreases gradually with an increase in SR, as shown in Figure 12. We took electric field and electron mobility under different SRs at a time of 1000 s as an example to illustrate the reason for the decreasing saturation current. As SR increases, the effective electric field decreases from 1.01 × 109 Vcm1 to 7.30869 × 108 Vcm1, which results in a reduction in electron mobility from 790.254 cm2 V1s1 to 705.826 cm2 V1s1 [27]. Moreover, the increasing SR hinders the thermal conduction speed from the source to the drain contacts [3], and the thermal conductivity of SiO2 and HfO2 is relatively low, which makes the heat dissipation slow, resulting in an increase in the maximum lattice temperature from 314.367 K to 360.3 K. The high lattice temperature enhances the phonon scattering and increases the probability of the Si-H bond breakage in the gate oxide, resulting in an increase in interface trapped charges, as shown in Figure 13, which finally leads to a reduction in the saturation current. In addition, the dissipated heat of NFinFET is less than the electrical power, as shown in Table 4. The reason for this phenomenon is that the SR provides resistance to the heat generation of the NFinFET, and the heat of the NFinFET is generated by electrons colliding with phonons in the drain, ignoring the heat caused by the collision of the electrons and phonons in other regions, which is consistent with [28].

4. Conclusions

Based on TCAD simulation results, we revealed that the self-heating effect is more pronounced in NFinFET by comparing the thermal characteristics of different devices. According to the thermal simulation of NFinFET, we demonstrated that the self-heating effect increases the local lattice temperature and decreases the carrier mobility, which led to a reduction in the saturation current. Finally, we revealed that the self-heating effect exacerbates the impact of HCI on the drain saturation current.

Author Contributions

Conceptualization, Y.L.; methodology, Y.L., Y.M. and Y.C.; investigation, Y.L., Z.Y., S.L. and Y.Q.; writing—original draft preparation, Y.L.; writing—review and editing, Y.M. and Y.C.; supervision, Y.C. All authors have read and agreed to the published version of the manuscript.

Funding

This research was funded by the National Natural Science Foundation of China (grant number 11975066), National Key Research and Development Program of China (grant number 2019YFB2204101) and Science and Technology Innovation Foundation of Dalian (grant number 2021JJ12GX012).

Data Availability Statement

The data and code are available from the corresponding authors upon reasonable request.

Conflicts of Interest

The authors declare no conflict of interest.

Abbreviations

HCIHot Carrier Injection
SRSurface Resistance
FinFETFin-shape Field Effect Transistor
NFinFETN-channel FinFET
NMOSN-channel MOSFET
STIShallow Trench Isolation

References

  1. Liao, M.H.; Hsieh, C.P.; Lee, C.C. Systematic investigation of self-heating effect on CMOS logic transistors from 20 to 5nm technology nodes by experimental thermoelectric measurements and finite element modeling. IEEE Trans. Electron Devices 2017, 64, 646–648. [Google Scholar] [CrossRef]
  2. Prasad, C. A review of self-heating effects in advanced CMOS Technologies. IEEE Trans. Electron Devices 2019, 66, 4546–4555. [Google Scholar] [CrossRef]
  3. Purwar, V.; Gupta, R.; Tiwari, P.K.; Dubey, S. Investigating the Impact of Self-Heating Effects on some Thermal and Electrical Characteristics of Dielectric Pocket Gate-all-around (DPGAA) MOSFETs. Silicon 2021, 14, 7053–7063. [Google Scholar] [CrossRef]
  4. Steven, M.; Fernando, G. Self-heating and its implications on hot carrier reliability evaluations. In Proceedings of the 2015 IEEE International Reliability Physics Symposium, Monterey, CA, USA, 19–23 April 2015; pp. 4A.4.1–4A.4.6. [Google Scholar]
  5. Takacs, D.; Trager, J. Temperature increase by self-hcating in VLSI CMOS. In Proceedings of the ESSDERC’87: 17th European Solid State Device Research Conference, Bologna, Italy, 14–17 September 1987; pp. 729–732. [Google Scholar]
  6. Mautry, P.G.; Trager, J. Self-heating and temperature measurement in sub-um-MOSFETs. In Proceedings of the ESSDERC’89: 19th European Solid State Device Research Conference, Berlin, Germany, 11–14 September 1989; pp. 675–678. [Google Scholar]
  7. Petrosyants, K.O.; Orekhov, E.; Kharitonov, I.; Popov, D.A.; Dmitri, A.; Orlikovsky, A.A. TCAD analysis of self-heating effects in bulk silicon and SOI n-MOSFETs. In Proceedings of the International Conference Micro-and Nano-Electronics 2012, Zvenigorod, Russian, 1–5 October 2012; SPIE: Bellingham, WA, USA, 2013. [Google Scholar]
  8. Petrosyants, K.O.; Popov, D.A. Simulating the self-heating effect for MOSFETs with various configurations of buried oxide. Russ. Microelectron. 2019, 48, 467–469. [Google Scholar] [CrossRef]
  9. Catoggio, E.; Guerrieri, S.D.; Bonani, F. Efficient TCAD thermal analysis of semiconductor devices. IEEE Trans. Electron Devices 2021, 68, 5462–5468. [Google Scholar] [CrossRef]
  10. Su, Y.L.; Lai, J.H.; Sun, L. Investigation of self-heating effects in vacuum gate dielectric gate-all-around vertically stacked silicon nanowire field effect transistors. IEEE Trans. Electron Devices 2020, 67, 4085–4091. [Google Scholar] [CrossRef]
  11. Jeon, J.; Jhon, H.S.; Kang, M. Circuit modeling of the electro-thermal behavior of nanoscale bulk-FinFETs. J. Comput. Electron. 2017, 17, 146–152. [Google Scholar] [CrossRef]
  12. Kumar, A.; Srinivas, P.S.T.N.; Tiwari, P.K. An insight into self-heating effects and its implications on hot carrier degradation for silicon-nanotube-based double gate-all-around(DGAA) MOSFETs. IEEE J. Electron Devi. 2019, 7, 1100–1108. [Google Scholar] [CrossRef]
  13. Yang, F.Y.; Dalcanale, S.; Gajda, M.; Karboyan, S.; Uren, M.J.; Kuball, M. The impact of hot electrons and self-heating during hard-switching in AlGaN/GaN HEMTs. IEEE Trans. Electron Devices 2020, 67, 869–874. [Google Scholar] [CrossRef]
  14. Thingujam, T.; Son, D.H.; Kim, J.G.; Cristoloveanu, S.; Lee, J.H. Effects of interface traps and self-heating on the performance of GAA GaN Vertical. IEEE Trans. Electron Devices 2020, 67, 816–821. [Google Scholar] [CrossRef]
  15. Kumar, U.S.; Rao, V.R. A thermal-aware device design considerations for nanoscale SOI and bulk FinFETs. IEEE Trans. Electron Devices 2016, 63, 280–287. [Google Scholar] [CrossRef]
  16. Dai, J.R.; Liu, S.Y.; Zhang, C.W.; Sun, C.C.; Sun, W.F. SPICE modeling for hot carrier effect of MOSFET device. J. Southeast Univ. 2015, 45, 12–16. [Google Scholar]
  17. Prabowo, B.A.; Amethystna, S.K.; Tsai, J.R.; Yang, S.M.; Sheu, G. Interface trap distribution for HCI reliability assessment on bend gate structure by 3D TCAD simulation. In Proceedings of the 2012 19th IEEE International Symposium on the Physical and Failure Analysis of Integrated Circuits, Singapore, 2–6 July 2012. [Google Scholar]
  18. Penzin, O.; Haggag, A.; Mcmahon, W.; Lyumkis, E.; Hess, K. MOSFET degradation kinetics and its simulation. IEEE Trans. Electron Devices 2003, 50, 1445–1450. [Google Scholar] [CrossRef]
  19. Ruch, B.; Pobegen, G.; Grassser, T. Localizing hot-carrier degradation in Silicon trench MOSFETs. IEEE Trans. Electron Devices 2021, 68, 1804–1809. [Google Scholar] [CrossRef]
  20. Couso, C.; Martin-Martinez, J.; Porti, M.; Nafria, M.; Aymerich, X. Efficient methodology to extract interface traps parameters for TCAD simulations. Microelectron. Eng. 2017, 178, 66–70. [Google Scholar] [CrossRef]
  21. Son, D.; Jeon, S.; Kang, M.; Shin, H. 3D TCAD analysis of hot-carrier degradation mechanisms in 10nm node input/output bulk FinFETs. J. Semicond. Technol. Sci. 2016, 16, 191–197. [Google Scholar] [CrossRef]
  22. Ren, Z.X.; Xia, A.; Wang, J.N.; Zhang, X.; Huang, R. Impact of TID radiation on hot-carrier effects in 65nm bulk Si NMOSFETs. In Proceedings of the 2018 China Semiconductor Technology International Conference (CSTIC), Shanghai, China, 11–12 March 2018; pp. 1–3. [Google Scholar]
  23. Synopsys, Inc. Sentaurus Device User Guide, Version N-2017.09; Synopsys: Mountain View, CA, USA, 2016. [Google Scholar]
  24. Yu, L.T.; Ren, J.G.; Lu, X.; Wang, X.X. NBTI and HCI Aging prediction and reliability screening during production test. IEEE Trans. Comput.-Aided Des. Integr. Circuits Syst. 2020, 39, 3000–3011. [Google Scholar] [CrossRef]
  25. Wang, B.S.; Cui, J.W.; Guo, Q.; Zheng, Q.W.; Wei, Y.; Xi, S.X. The influence of total ionizing dose on the hot carrier injection of 22 nm bulk nFinFET. J. Semicond. 2020, 41, 122102–122107. [Google Scholar] [CrossRef]
  26. Gao, L.; Liu, Y.; Yu, Y.Q. Correlation Analysis of TID and HCI Effect on Nanoscale MOS Devices; Xidian University: Xian, China, 2015. [Google Scholar]
  27. Jeong, M.K.; Lee, J.H. Mobility and effective electric field in nonplanar channel MOSFETs. IEEE Trans. Nanotechnol. 2008, 8, 106–110. [Google Scholar] [CrossRef]
  28. Swahn, B.; Hassoun, S. Electro-thermal analysis of multi-fin devices. IEEE Trans. Very Large Scale Integr. VLSI Syst. 2008, 16, 816–829. [Google Scholar] [CrossRef]
Figure 1. The device structures. (a) The structure of planar NMOS; (b) the cross-section view of NFinFET.
Figure 1. The device structures. (a) The structure of planar NMOS; (b) the cross-section view of NFinFET.
Electronics 11 02753 g001
Figure 2. The lattice temperature profiles for different devices.
Figure 2. The lattice temperature profiles for different devices.
Electronics 11 02753 g002
Figure 3. The heat profiles for different devices along the channel.
Figure 3. The heat profiles for different devices along the channel.
Electronics 11 02753 g003
Figure 4. The maximum electron temperature and electron mobility of NFinFET against the drain voltage.
Figure 4. The maximum electron temperature and electron mobility of NFinFET against the drain voltage.
Electronics 11 02753 g004
Figure 5. The temperature distribution of NFinFET with SR = 5 × 10−5 cm2 KW−1.
Figure 5. The temperature distribution of NFinFET with SR = 5 × 10−5 cm2 KW−1.
Electronics 11 02753 g005
Figure 6. Comparison of the drain current for an NFinFET without the self-heating effect and an NFinFET under the self-heating effect.
Figure 6. Comparison of the drain current for an NFinFET without the self-heating effect and an NFinFET under the self-heating effect.
Electronics 11 02753 g006
Figure 7. The saturation current variation of NFinFET under different surface resistances.
Figure 7. The saturation current variation of NFinFET under different surface resistances.
Electronics 11 02753 g007
Figure 8. The maximum lattice temperature variation of NFinFET under different surface resistances.
Figure 8. The maximum lattice temperature variation of NFinFET under different surface resistances.
Electronics 11 02753 g008
Figure 9. The threshold voltage variation of NFinFET under HCI for different times.
Figure 9. The threshold voltage variation of NFinFET under HCI for different times.
Electronics 11 02753 g009
Figure 10. The saturation current variation of NFinFET under HCI for different times.
Figure 10. The saturation current variation of NFinFET under HCI for different times.
Electronics 11 02753 g010
Figure 11. Comparison of results of the saturation current of NFinFET between HCI and HCI with self-heating effect at different time.
Figure 11. Comparison of results of the saturation current of NFinFET between HCI and HCI with self-heating effect at different time.
Electronics 11 02753 g011
Figure 12. The saturation current variations of NFinFET against time at different SRs.
Figure 12. The saturation current variations of NFinFET against time at different SRs.
Electronics 11 02753 g012
Figure 13. The maximum interface trapped charge variation of NFinFET against time at different SRs.
Figure 13. The maximum interface trapped charge variation of NFinFET against time at different SRs.
Electronics 11 02753 g013
Table 1. The physical parameters of NMOS used for TCAD simulations.
Table 1. The physical parameters of NMOS used for TCAD simulations.
ParameterSymbolValue
Channel length (nm)L65, 22
Gate oxide thickness (nm)Tox0.6
High-k oxide thickness (nm)THf20
Souce/Drain junction depth (nm)Xj40
Souce/Drain extension junction depth (nm)Xjs8
Halo pocket depth (nm)XjHalo50
Halo pocket concentration (cm−3)NHalo4 × 1018
Souce/Drain concentration (cm−3)NS/D1.5 × 1020
Souce/Drain extension concentration (cm−3)NExtension1 × 1019
Substrate concentration (cm−3)Nsub5 × 1015
Surface Resistance (cm2 KW−1)SR1 × 10−5–1 × 10−4
Drain to source voltage (V)Vds0–1
Gate to source voltage (V)Vgs0–1
Table 2. The physical parameters of NFinFET used for TCAD simulations.
Table 2. The physical parameters of NFinFET used for TCAD simulations.
ParameterSymbolValue
Channel length (nm)L22
Gate oxide thickness (nm)Tox1
High-k oxide thickness (nm)THf2
Fin Height (nm)HFin40
Fin Width (nm)WFin17
Souce/Drain concentration (cm−3)NS/D5 × 1015
Substrate concentration (cm−3)Nsub1 × 1015
Surface Resistance (cm2 KW−1)SR1 × 10−5–1 × 10−4
Drain to source voltage (V)Vds0–1
Gate to source voltage (V)Vgs0–1
Table 3. The thermal parameters used for self-heating simulations.
Table 3. The thermal parameters used for self-heating simulations.
MaterialThermal Conductivity (WK1 cm1)
SiO20.014
Si (bulk)1.48
Si (Fin)0.13
Poly Si1.5
HfO20.023
Si3N40.185
TiN0.192
Table 4. Comparison of results between heat and electric power under different SRs at different times.
Table 4. Comparison of results between heat and electric power under different SRs at different times.
SR (cm2 KW−1)Time (s)Total Heat (W) Electric Power (W)
1 × 105105.46388 × 1055.71516813464 × 105
1005.463616 × 1055.71481694648 × 105
10005.463014 × 1055.71384276547 × 10−5
10,0005.46018 × 1055.71127985774 × 105
100,0005.455764 × 1055.70695061607 × 105
1,000,0005.454896 × 1055.70600452826 × 105
2 × 105105.466508 × 1055.70651366756 × 105
1005.466068 × 1055.70593219536 × 105
10005.464068 × 1055.70432883455 × 10−5
10,0005.461038 × 1055.70012833352 × 105
100,0005.453421 × 1055.69307354766 × 105
1,000,0005.452013 × 1055.69155432188 × 105
3 × 105105.466111 × 1055.69675211279 × 105
1005.465413 × 1055.6958350135 × 105
10005.46283 × 1055.69331548613 × 105
10,0005.45705 × 1055.68673603157 × 105
100,0005.446274 × 1055.67580419574 × 105
1,000,0005.443128 × 1055.67351230947 × 105
4 × 105105.463975 × 1055.68634327628 × 105
1005.461902 × 1055.6849418515 × 105
10005.459479 × 1055.68110640842 × 105
10,0005.450186 × 1055.67114134919 × 105
100,0005.432998 × 1055.6548435426 × 105
1,000,0005.429868 × 1055.65152385571 × 105
5 × 105105.459634 × 1055.6753961365 × 105
1005.460443 × 1055.67330566528 × 105
10005.453399 × 1055.6676030086 × 105
10,0005.439573 × 1055.65291425804 × 105
100,0005.415387 × 1055.62936626834 × 105
1,000,0005.410054 × 1055.62481972882 × 105
6 × 105105.455347 × 1055.66394452119 × 105
1005.451982 × 1055.66088826268 × 105
10005.444668 × 1055.65258175509 × 105
10,0005.424986 × 1055.63144653359 × 105
100,0005.391934 × 1055.59850969861 × 105
1,000,0005.385224 × 1055.59258497826 × 105
7 × 105105.449223 × 1055.65197687632 × 105
1005.444807 × 1055.64758360032 × 105
10005.435171 × 1055.63571430317 × 105
10,0005.40695 × 1055.6059792514 × 105
100,0005.362063 × 1055.56146013132 × 105
1,000,0005.353012 × 1055.55423612409 × 105
8 × 105105.4423 × 1055.63945236534 × 105
1005.436438 × 1055.63323025709 × 105
10005.422656 × 1055.61657278472 × 105
10,0005.383865 × 1055.57567909814 × 105
100,0005.324494 × 1055.51782929022 × 105
1,000,0005.315336 × 1055.509621932 × 105
9 × 105105.434621 × 1055.62629974705 × 105
1005.425804 × 1055.61761841972 × 105
10005.406845 × 1055.59465483844 × 105
10,0005.355166 × 1055.53977980035 × 105
100,0005.281394 × 1055.46793156284 × 105
1,000,0005.270793 × 1055.45942119901 × 105
1 × 104105.426152 × 1055.61241803495 × 105
1005.414727 × 1055.60047540938 × 105
10005.388327 × 1055.56935774279 × 105
10,0005.320421 × 1055.49777477636 × 105
100,0005.231724 × 1055.412926789 × 105
1,000,0005.222591 × 1055.40506290857 × 105
Publisher’s Note: MDPI stays neutral with regard to jurisdictional claims in published maps and institutional affiliations.

Share and Cite

MDPI and ACS Style

Liu, Y.; Ma, Y.; Yu, Z.; Lou, S.; Qu, Y.; Chang, Y. An Investigation into the Comprehensive Impact of Self-Heating and Hot Carrier Injection. Electronics 2022, 11, 2753. https://doi.org/10.3390/electronics11172753

AMA Style

Liu Y, Ma Y, Yu Z, Lou S, Qu Y, Chang Y. An Investigation into the Comprehensive Impact of Self-Heating and Hot Carrier Injection. Electronics. 2022; 11(17):2753. https://doi.org/10.3390/electronics11172753

Chicago/Turabian Style

Liu, Yan, Yanhua Ma, Zhaojie Yu, Shanshan Lou, Yang Qu, and Yuchun Chang. 2022. "An Investigation into the Comprehensive Impact of Self-Heating and Hot Carrier Injection" Electronics 11, no. 17: 2753. https://doi.org/10.3390/electronics11172753

APA Style

Liu, Y., Ma, Y., Yu, Z., Lou, S., Qu, Y., & Chang, Y. (2022). An Investigation into the Comprehensive Impact of Self-Heating and Hot Carrier Injection. Electronics, 11(17), 2753. https://doi.org/10.3390/electronics11172753

Note that from the first issue of 2016, this journal uses article numbers instead of page numbers. See further details here.

Article Metrics

Back to TopTop