Design of a New Non-Coherent Cross-QAM-Based M-ary DCSK Communication System
Abstract
:1. Introduction
2. Non-Coherent XQAM-DCSK System
3. Performance Analysis
3.1. XQAM-MDCSK ()
3.2. XQAM-8DCSK
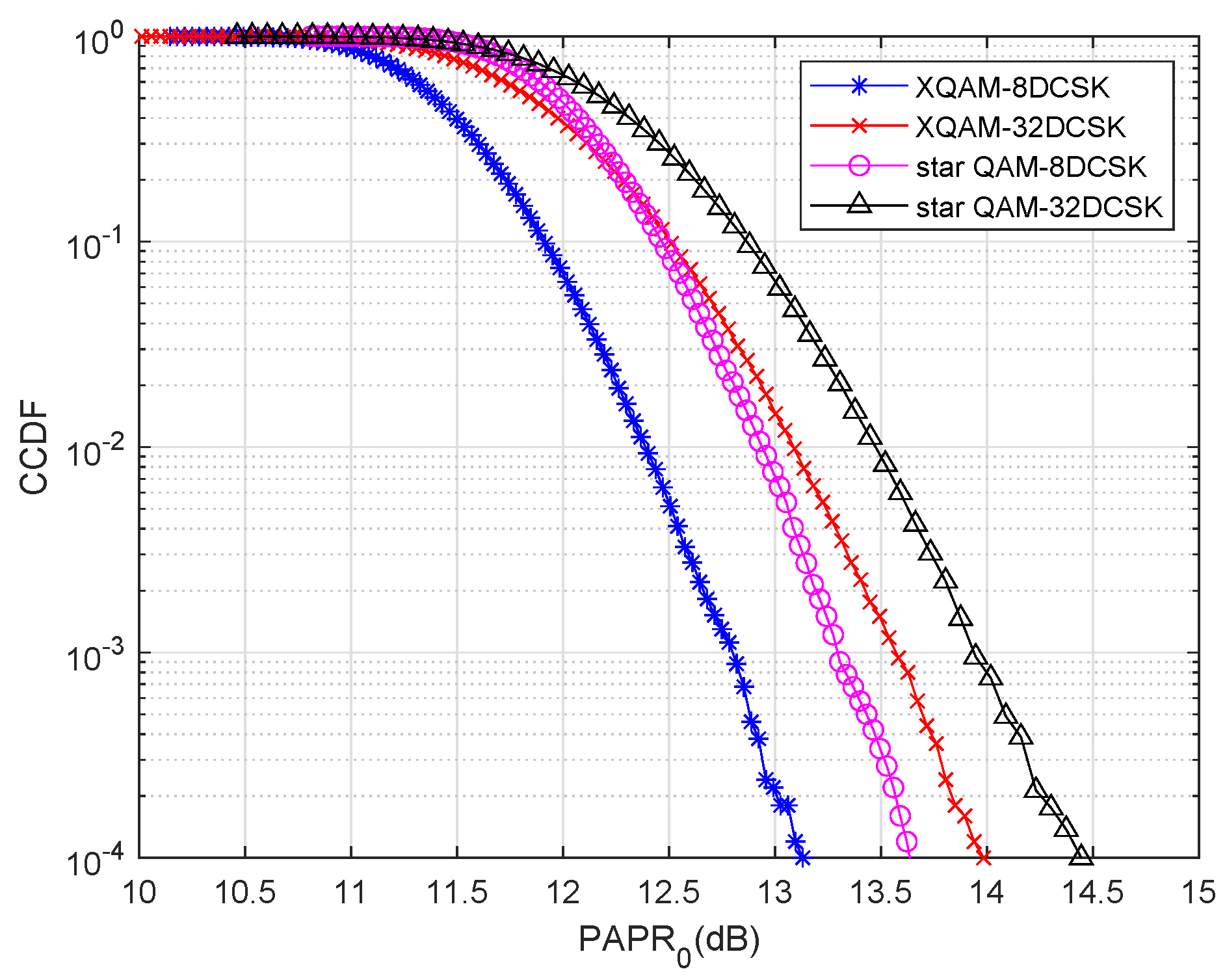
4. Results and Discussion
5. Conclusions
Author Contributions
Funding
Data Availability Statement
Conflicts of Interest
References
- Fang, Y.; Han, G.; Chen, P.; Lau, F.C.M.; Chen, G.; Wang, L. A survey on DCSK-based communication systems and their application to UWB scenarios. IEEE Commun. Surv. Tutor. 2016, 18, 1804–1837. [Google Scholar] [CrossRef]
- Cai, X.; Xu, W.; Wang, L.; Kaddoum, G. Joint energy and correlation detection assisted non-coherent OFDM-DCSK system for underwater acoustic communications. IEEE Trans. Commun. 2022, 70, 3742–3759. [Google Scholar] [CrossRef]
- Kaddoum, G.; Tran, H.-V.; Kong, L.; Atallah, M. Design of simultaneous wireless information and power transfer scheme for short reference DCSK communication systems. IEEE Trans. Commun. 2017, 65, 431–443. [Google Scholar] [CrossRef]
- Cai, G.; Fang, Y.; Chen, P.; Han, G.; Cai, G.; Song, Y. Design of an MISO-SWIPT-aided code-index modulated multi-carrier M-DCSK system for e-health IoT. IEEE J. Sel. Areas Commun. 2021, 39, 311–324. [Google Scholar] [CrossRef]
- Kaddoum, G.; Tadayon, N. Differential chaos shift keying: A robust modulation scheme for power-line communications. IEEE Trans. Circuits Syst. II Express Briefs 2017, 64, 31–35. [Google Scholar] [CrossRef]
- Miao, M.; Wang, L.; Chen, G.; Xu, W. Design and analysis of replica piecewise M-ary DCSK scheme for power line communications with asynchronous impulsive noise. IEEE Trans. Circuits Syst. I Regul. Pap. 2020, 67, 5443–5453. [Google Scholar] [CrossRef]
- Baeza, V.M.; Armada, A.G.; Zhang, W.; El-Hajjar, M.; Hanzo, L. A noncoherent multiuser large-scale SIMO system relying on M-ary DPSK and BICM-ID. IEEE Trans. Veh. Technol. 2018, 67, 1809–1814. [Google Scholar] [CrossRef]
- Manolakos, A.; Chowdhury, M.; Goldsmith, A. Energy-based modulation for noncoherent massive SIMO systems. IEEE Trans. Wirel. Commun. 2016, 15, 7831–7846. [Google Scholar] [CrossRef]
- Baeza, V.M.; Armada, A.G.; El-Hajjar, M.; Hanzo, L. Performance of a non-coherent massive SIMO M-DPSK system. In Proceedings of the IEEE 86th Vehicular Technology Conference (VTC-Fall), Toronto, ON, Canada, 24–27 September 2017; pp. 1–5. [Google Scholar]
- Song, J.; Zhu, Z. A scheme of combining differential chaos shift keying with multiple-input multiple-output system. In Proceedings of the International Conference on Information Technology and Computer Application (ITCA), Guangzhou, China, 20–22 December 2019; pp. 175–179. [Google Scholar]
- Holla, N.; Sudha, K.L. Performance analysis of MIMO system with the combination of different types of STBC and DCSK. In Proceedings of the 2nd PhD Colloquium on Ethically Driven Innovation and Technology for Society (PhD EDITS), Danvers, MA, USA, 7–8 November 2020; pp. 1–2. [Google Scholar]
- Ma, H.; Fang, Y.; Tao, Y.; Chen, P.; Li, Y. A novel differential chaos shift keying scheme with transmit diversity. IEEE Commun. Lett. 2022, 26, 1668–1672. [Google Scholar] [CrossRef]
- Galias, Z.; Maggio, G.M. Quadrature chaos-shift keying: Theory and performance analysis. IEEE Trans. Circuits Syst. I Fundam. Theory Appl. 2001, 48, 1510–1519. [Google Scholar] [CrossRef]
- Wang, L.; Cai, G.; Chen, G.R. Design and performance analysis of a new multiresolution M-ary differential chaos shift keying communication system. IEEE Trans. Wirel. Commun. 2015, 14, 5197–5208. [Google Scholar] [CrossRef]
- Cai, G.; Fang, Y.; Han, G. Design of an adaptive multiresolution M-ary DCSK system. IEEE Commun. Lett. 2017, 21, 60–63. [Google Scholar] [CrossRef]
- Cai, G.; Fang, Y.; Han, G.; Lau, F.C.M.; Wang, L. A square-constellation-based M-ary DCSK communication system. IEEE Access 2016, 4, 6295–6303. [Google Scholar] [CrossRef]
- Cai, G.; Fang, Y.; Han, G.; Wang, L.; Chen, G. A new hierarchical M-ary DCSK communication system: Design and analysis. IEEE Access 2017, 5, 414–417. [Google Scholar] [CrossRef]
- Fan, T.; Xu, W.; Wang, L.; Zhang, L. A new APSK-based M-ary differential chaos shift keying modulation system. IEEE Commun. Lett. 2020, 24, 2701–2704. [Google Scholar] [CrossRef]
- Singya, P.K.; Shaik, P.; Kumar, N.; Bhatia, V.; Alouini, M.-S. A survey on higher-order QAM constellations: Technical challenges, recent advances, and future trends. IEEE Open J. Commun. Soc. 2021, 2, 617–655. [Google Scholar] [CrossRef]
- Craig, J. A new, simple and exact result for calculating the probability of error for two-dimensional signal constellations. In Proceedings of the MILCOM 91— Conference Record, McLean, VA, USA, 4–7 November 1991; Volume 2, pp. 571–575. [Google Scholar]
- Vitthaladevuni, P.; Alouini, M.-S.; Kieffer, J. Exact BER computation for cross QAM constellations. IEEE Trans. Wirel. Commun. 2005, 4, 3039–3050. [Google Scholar] [CrossRef]






Publisher’s Note: MDPI stays neutral with regard to jurisdictional claims in published maps and institutional affiliations. |
© 2022 by the authors. Licensee MDPI, Basel, Switzerland. This article is an open access article distributed under the terms and conditions of the Creative Commons Attribution (CC BY) license (https://creativecommons.org/licenses/by/4.0/).
Share and Cite
Yang, Z.; Cai, G. Design of a New Non-Coherent Cross-QAM-Based M-ary DCSK Communication System. Electronics 2022, 11, 3128. https://doi.org/10.3390/electronics11193128
Yang Z, Cai G. Design of a New Non-Coherent Cross-QAM-Based M-ary DCSK Communication System. Electronics. 2022; 11(19):3128. https://doi.org/10.3390/electronics11193128
Chicago/Turabian StyleYang, Zhuwen, and Guofa Cai. 2022. "Design of a New Non-Coherent Cross-QAM-Based M-ary DCSK Communication System" Electronics 11, no. 19: 3128. https://doi.org/10.3390/electronics11193128
APA StyleYang, Z., & Cai, G. (2022). Design of a New Non-Coherent Cross-QAM-Based M-ary DCSK Communication System. Electronics, 11(19), 3128. https://doi.org/10.3390/electronics11193128

