Determination of Excitation Amplitude and Phase for Wide-Band Phased Array Antenna Based on Spherical Wave Expansion and Mode Filtering
Abstract
1. Introduction
2. Calculate Unit Excitation Amplitude and Phase
2.1. Coordinate Translation
2.2. Spherical Wave Expansion
2.3. Mode Filtering
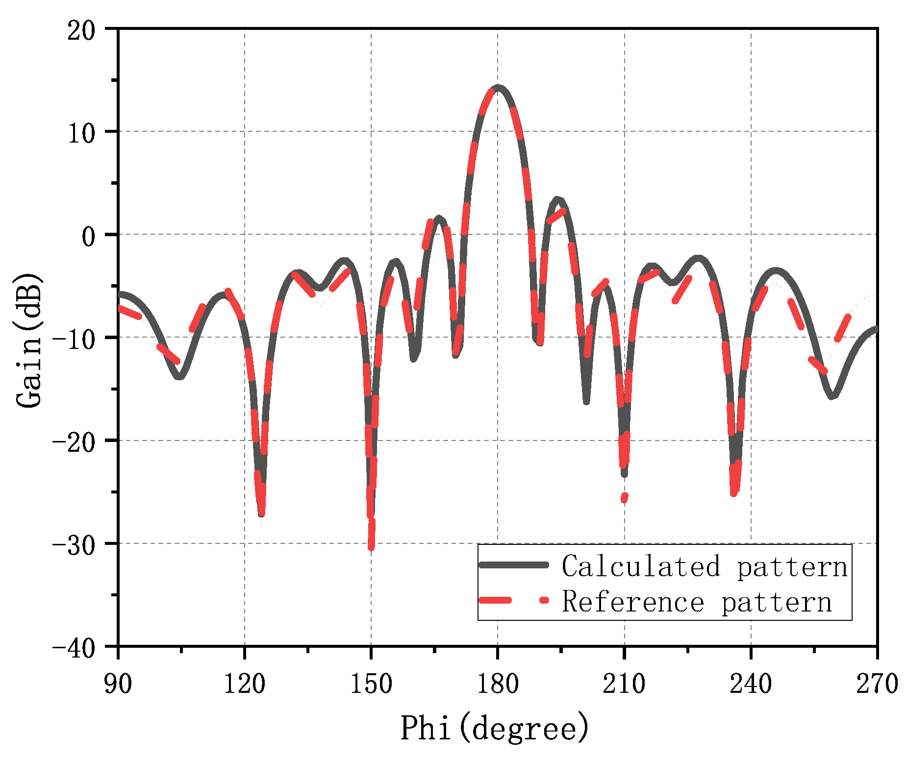
3. Simulation Experiment
3.1. Radiation Field Extraction Experiments
3.2. A 10 × 10 Low Sidelobe Plane Array
3.3. Vivaldi Linear Array


4. Conclusions
Author Contributions
Funding
Conflicts of Interest
References
- Jiang, Z.; Huang, J.; Liu, Z.; Zou, D. A method to diagnose the fault of phase array antenna element. In Proceedings of the 2015 12th IEEE International Conference on Electronic Measurement & Instruments (ICEMI), Qingdao, China, 16–18 July 2015; pp. 239–243. [Google Scholar]
 - Peters, T.J. A conjugate gradient-based algorithm to minimize the sidelobe level of planar arrays with element failures. IEEE Trans. Antennas Propagat. 1991, 39, 1497–1504. [Google Scholar] [CrossRef]
 - Xiong, C.; Xiao, G. A Diagnosing Method for Phased Antenna Array Element Excitation Amplitude and Phase Failures Using Random Binary Matrices. IEEE Access 2020, 8, 33060–33071. [Google Scholar] [CrossRef]
 - Mailloux, R.J. (Ed.) Phased Array Antenna Handbook, 2nd ed.; Artech House: Norwood, MA, USA, 2005. [Google Scholar]
 - Gattoufi, L.; Picard, D.; Rekiouak, A.; Bolomey, J.C. Matrix method for near-field diagnostic techniques of phased arrays. In Proceedings of the International Symposium on Phased Array Systems and Technology, Boston, MA, USA, 15–18 October 1996; pp. 52–57. [Google Scholar]
 - Yaccarino, R.G.; Rahmat-Samii, Y. Phaseless bi-polar planar near-field measurements and diagnostics of array antennas. IEEE Trans. Antennas Propagat. 1999, 47, 574–583. [Google Scholar] [CrossRef]
 - Gregson, S.F.; Newell, A.C.; Hindman, G.E.; Carey, M.J. A Pplication of Mathematical Absorber Reflection suppression to planar near-field antenna measurements. In Proceedings of the 5th European Conference on Antennas and Propagation (EUCAP), Rome, Italy, 11–15 April 2011; pp. 3412–3416. [Google Scholar]
 - Lord, J.A.; Cook, G.G.; Anderson, A.P. Reconstruction of the Excitation of Array Antennas from the Measured Near-Field Intensity using Phase Retrieval. In Proceedings of the 1992 22nd European Microwave Conference, Helsinki, Finland, 5–9 September 1992; pp. 525–530. [Google Scholar]
 - Gregson, S.F.; Parini, C.G.; Newell, A.C. A General and Effective Mode Filtering Method for the Suppression of Clutter in Far-Field Antenna Measurements. In Proceedings of the 2018 AMTA Proceedings, Williamsburg, VA, USA, 4–9 November 2018; pp. 1–5. [Google Scholar]
 - Yoon, H.-J.; Min, B.-W. Improved Rotating-Element Electric-Field Vector Method for Fast Far-Field Phased Array Calibration. IEEE Trans. Antennas Propagat. 2021, 69, 8021–8026. [Google Scholar] [CrossRef]
 - Shang, J.-P.; Li, X.-R.; Sun, L.-C.; Shang, F.-F. A novel fast measurement method and diagnostic of phased array antennas. In Proceedings of the 10th International Symposium on Antennas, Propagation & EM Theory (ISAPE), Xi’an, China, 22–26 October 2012; pp. 219–222. [Google Scholar]
 - Wang, Z.; Zhang, F.; Gao, H.; Franek, O.; Pedersen, G.F.; Fan, W. Over-the-Air Array Calibration of mmWave Phased Array in Beam-Steering Mode Based on Measured Complex Signals. IEEE Trans. Antennas Propagat. 2021, 69, 7876–7888. [Google Scholar] [CrossRef]
 - Xiong, C.; Xiao, G. A Phased Array Antenna Element Failure Diagnostic Method Using Independent Measurements of Different Phases. In Proceedings of the 2019 IEEE International Conference on Computational Electromagnetics (ICCEM), Shanghai, China, 20–22 March 2019; pp. 1–3. [Google Scholar]
 - Kuznetsov, G.; Temchenko, V.; Voskresenskiy, D.; Miloserdov, M. Phased antenna array reconstructive diagnostics using small number of measurements. In Proceedings of the 2018 Baltic URSI Symposium (URSI), Poznan, Poland, 15–17 May 2018; pp. 174–177. [Google Scholar]
 - Hasan, M.M.; Faruque, M.R.I.; Islam, M.T. Beam steering of eye shape metamaterial design on dispersive media by FDTD method. Int. J. Numer. Model. 2018, 31, e2319. [Google Scholar] [CrossRef]
 - Hasan, M.M.; Faruque, M.R.I.; Islam, M.T. Compact Left-Handed Meta-Atom for S-, C- and Ku-Band Application. Appl. Sci. 2017, 7, 1071. [Google Scholar] [CrossRef]
 - Hasan, M.M.; Rahman, M.; Faruque, M.R.I.; Islam, M.T.; Khandaker, M.U. Electrically Compact SRR-Loaded Metamaterial Inspired Quad Band Antenna for Bluetooth/WiFi/WLAN/WiMAX System. Electronics 2019, 8, 790. [Google Scholar] [CrossRef]
 - Hasan, M.M.; Faruque, M.R.I.; Islam, M.T. Dual Band Metamaterial Antenna For LTE/Bluetooth/WiMAX System. Sci. Rep. 2018, 8, 1240. [Google Scholar] [CrossRef]
 - Nguyen, Q.M.; Dang, V.; Kilic, O. An Alternative Plane Wave Decomposition of Electromagnetic Fields Using the Spherical Wave Expansion Technique. IEEE Antennas Wirel. Propag. Lett. 2017, 16, 153–156. [Google Scholar]
 - Gemmer, T.M.; Heberling, D. Accurate and Efficient Computation of Antenna Measurements Via Spherical Wave Expansion. IEEE Trans. Antennas Propagat. 2020, 68, 8266–8269. [Google Scholar] [CrossRef]
 - Gregson, S.F.; Dupuy, J.; Parini, C.G.; Newell, A.C.; Hindman, G.E. Application of Mathematical Absorber Reflection Suppression to far-field antenna measurements. In Proceedings of the 2011 Loughborough Antennas & Propagation Conference, Loughborough, UK, 14–15 November 2011; pp. 1–4. [Google Scholar]
 - Gregson, S.F.; Tian, Z. Verification of Generalized Far-Field Mode Filtering Based Reflection Suppression Through Computational Electromagnetic Simulation. In Proceedings of the 2020 IEEE International Symposium on Antennas and Propagation and North American Radio Science Meeting, Montreal, QC, Canada, 5–10 July 2020; pp. 2059–2060. [Google Scholar]
 - Hess, D.W. The IsoFilterTM Technique: A Method of Isolating the Pattern of an Individual Radiator from Data Measured in a Contaminated Environment. IEEE Antennas Propag Mag. 2010, 52, 174–181. [Google Scholar] [CrossRef]
 - Gregson, S.F.; Tian, Z. Comparison of Spherical and Cylindrical Mode Filtering Techniques for Reflection Suppression With mm-wave Antenna Measurements. In Proceedings of the 2018 IEEE Conference on Antenna Measurements & Applications (CAMA), Västerås, Sweden, 3–6 September 2018; pp. 1–4. [Google Scholar]
 - Thal, H.L.; Manges, J.B. Theory and practice for a spherical-scan near-field antenna range. IEEE Trans. Antennas Propag. 1988, 36, 815–821. [Google Scholar] [CrossRef]
 










| Order  Number  | Reference  Amplitude/V  | Calculated  Amplitude/V  | Error of  Amplitude/V  | Reference  Phase/deg  | Calculated  Phase/deg  | Error of  Phase/deg  | 
|---|---|---|---|---|---|---|
| 1 | 1 | 1.0169 | 0.0169 | 0 | −0.9422 | 0.9422 | 
| 2 | 1 | 1.0193 | 0.0193 | 0 | 4.3400 | 4.3400 | 
| 3 | 1 | 0.9760 | 0.0240 | 0 | −0.7941 | 0.7941 | 
| 4 | 1 | 0.9555 | 0.0445 | 45 | 41.7326 | 3.2674 | 
| 5 | 1 | 0.9764 | 0.0236 | 0 | −1.2332 | 1.2332 | 
| 6 | 1 | 1.0267 | 0.0267 | 0 | 4.4561 | 4.4561 | 
| 7 | 1 | 1.0103 | 0.0103 | 0 | −0.8867 | 0.8867 | 
| 8 | 1 | 0.9822 | 0.0178 | 0 | −2.5032 | 2.5032 | 
| Order  Number  | Reference  Amplitude/V  | Calculated  Amplitude/V  | Error of  Amplitude/V  | Reference  Phase/deg  | Calculated  Phase/deg  | Error of  Phase/deg  | 
|---|---|---|---|---|---|---|
| 1 | 0.7 | 0.7201 | 0.0201 | 0 | −2.98 | 2.98 | 
| 2 | 1 | 1.0320 | 0.0320 | 0 | −3.3172 | 3.3172 | 
| 3 | 1 | 0.9598 | 0.0402 | 0 | 1.8495 | 1.8495 | 
| 4 | 1 | 1.0230 | 0.0230 | 0 | 2.0716 | 2.0716 | 
| 5 | 0.7 | 0.7008 | 0.0008 | 0 | −1.4477 | 1.4477 | 
| 6 | 1 | 1.0321 | 0.0321 | 0 | −2.9093 | 2.9093 | 
| 7 | 1 | 0.9755 | 0.0245 | 0 | 1.0561 | 1.0561 | 
| 8 | 1 | 1.0101 | 0.0101 | 0 | 1.4165 | 1.4165 | 
| Number of  Measurements  | Efficiency | Testing Environment | Test Site | |
|---|---|---|---|---|
| SWEMF method | 1 | Test all units in one test. | Non absorbing environment or absorbing environment | Far field or near field | 
| REV method | 2M*N | Test one or more units in one test | Absorbing environment | Far field or near field or antenna aperture | 
| Phase-shift measurement method | 2M*N | Test all units in one test. | Absorbing environment | Far field or near field | 
| Compressed sensing-based (CS) method | N | Test one unit in one test. | Absorbing environment | Far field | 
Publisher’s Note: MDPI stays neutral with regard to jurisdictional claims in published maps and institutional affiliations.  | 
© 2022 by the authors. Licensee MDPI, Basel, Switzerland. This article is an open access article distributed under the terms and conditions of the Creative Commons Attribution (CC BY) license (https://creativecommons.org/licenses/by/4.0/).
Share and Cite
Su, Y.; Song, Z.; Zhang, S.; Gong, S. Determination of Excitation Amplitude and Phase for Wide-Band Phased Array Antenna Based on Spherical Wave Expansion and Mode Filtering. Electronics 2022, 11, 3479. https://doi.org/10.3390/electronics11213479
Su Y, Song Z, Zhang S, Gong S. Determination of Excitation Amplitude and Phase for Wide-Band Phased Array Antenna Based on Spherical Wave Expansion and Mode Filtering. Electronics. 2022; 11(21):3479. https://doi.org/10.3390/electronics11213479
Chicago/Turabian StyleSu, Yao, Zixuan Song, Shuai Zhang, and Shuxi Gong. 2022. "Determination of Excitation Amplitude and Phase for Wide-Band Phased Array Antenna Based on Spherical Wave Expansion and Mode Filtering" Electronics 11, no. 21: 3479. https://doi.org/10.3390/electronics11213479
APA StyleSu, Y., Song, Z., Zhang, S., & Gong, S. (2022). Determination of Excitation Amplitude and Phase for Wide-Band Phased Array Antenna Based on Spherical Wave Expansion and Mode Filtering. Electronics, 11(21), 3479. https://doi.org/10.3390/electronics11213479
        