Silicon-Germanium Heterojunction Bipolar Transistor DC and AC Analysis Operating under Cryogenic Temperature
Abstract
:1. Introduction
2. Energy Band Gap Model
3. Numerical Device Structure and Simulation Methodology
BVCEO and Impact-Ionization on Base Current
4. Effect of Reduced Ambient Temperature
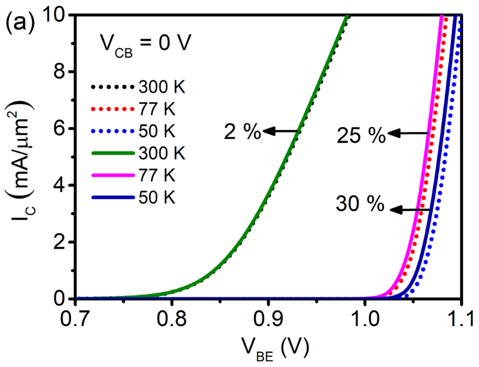
4.1. Incomplete Ionization
4.2. Collector Current Tunneling Leakage
4.3. Cryogenic AC Analysis
4.4. Comparison with 90 nm SiGe HBT
5. Conclusions
Author Contributions
Funding
Institutional Review Board Statement
Informed Consent Statement
Data Availability Statement
Conflicts of Interest
References
- Schörter, M.; Rosenbaum, T.; Chevalier, P.; Heinemann, B.; Voinigescu, S.P.; Preisler, E.; Böck, J.; Mukherjee, A. Sige hbt technology: Future trends and tcad-based roadmap. Proc. IEEE 2016, 105, 1068–1086. [Google Scholar] [CrossRef]
- Yuan, J.; Cressler, J.D.; Krithivasan, R.; Thrivikraman, T.; Khater, M.H.; Ahlgren, D.C.; Joseph, A.J.; Rieh, J.-S. On the performance limits of cryogenically operated sige hbts and its relation to scaling for terahertz speeds. IEEE Trans. Electron Devices 2009, 56, 1007–1019. [Google Scholar] [CrossRef]
- Zimmer, T.; Böck, J.; Buchali, F.; Chevalier, P.; Collisi, M.; Debaillie, B.; Deng, M.; Ferrari, P.; Fregonese, S.; Gaquiere, C.; et al. Sige hbts and bicmos technology for present and future millimeter-wave systems. IEEE J. Microw. 2021, 1, 288–298. [Google Scholar] [CrossRef]
- Chevalier, P.; Avenier, G.; Ribes, G.; Montagn´e, A.; Canderle, E.; Céli, D.; Derrier, N.; Deglise, C.; Durand, C.; Quémerais, T.; et al. A 55 nm triple gate oxide 9 metal layers sige bicmos technology featuring 320 ghz f t/370 ghz f max hbt and high-q millimeter-wave passives. In Proceedings of the 2014 IEEE International Electron Devices Meeting, San Francisco, CA, USA, 15–17 December 2014; IEEE: Piscataway, NJ, USA, 2014; pp. 3–9. [Google Scholar] [CrossRef]
- Voinigescu, S.P.; Shopov, S.; Bateman, J.; Farooq, H.; Hoffman, J.; Vasilakopoulos, K. Silicon millimeter-wave, terahertz, and high-speed fiber-optic device and benchmark circuit scaling through the 2030 itrs horizon. Proc. IEEE 2017, 105, 1087–1104. [Google Scholar] [CrossRef]
- Cressler, J.D.; Niu, G. Silicon-Germanium Heterojunction Bipolar Transistors; Artech House: Norwood, MA, USA, 2003. [Google Scholar]
- Chakraborty, P.S.; Cardoso, A.S.; Wier, B.R.; Omprakash, A.P.; Cressler, J.D.; Kaynak, M.; Tillack, B. A 0.8 thz fmax sige hbt operating at 4.3 k. IEEE Electron Device Lett. 2014, 35, 151–153. [Google Scholar] [CrossRef]
- Ying, H.; Teng, J.W.; Tzintzarov, G.N.; Omprakash, A.P.; Rao, S.G.; Raghunathan, U.; Ildefonso, A.; Fernandez, M.S.; Cressler, J.D. Dc and rf variability of sige hbts operating down to deep cryogenic temperatures. In Proceedings of the 2019 IEEE BiCMOS and Compound semiconductor Integrated Circuits and Technology Symposium (BCICTS), Nashville, TN, USA, 3–6 November 2019; IEEE: Piscataway, NJ, USA, 2019; pp. 1–4. [Google Scholar]
- Ying, H.; Wier, B.R.; Dark, J.; Lourenco, N.E.; Ge, L.; Omprakash, A.P.; Mourigal, M.; Davidovic, D.; Cressler, J.D. Operation of sige hbts down to 70 mk. IEEE Electron Device Lett. 2016, 38, 12–15. [Google Scholar] [CrossRef]
- Gupta, D.; Venkateswarlu, S.; Badami, O.; Nayak, K. Thz device design for sige hbt under sub-room temperature to cryogenic conditions. In Proceedings of the 5th IEEE International Conference on Emerging Electronics (ICEE), Delhi, India, 26–28 November 2020; pp. 1–4. [Google Scholar]
- Bonen, S.; Cooke, G.; Jager, T.; Bharadwaj, A.; Tripathi, S.P.; C´eli, D.; Chevalier, P.; Schvan, P.; Voinigescu, S.P. Cryogenic characterization of the high frequency and noise performance of sige hbts from dc to 70 ghz and down to 2 k. IEEE Microw. Wirel. Compon. Lett. 2022, 32, 696–699. [Google Scholar] [CrossRef]
- Braunstein, R.; Moore, A.R.; Herman, F. Intrinsic optical absorption in germanium-silicon alloys. Phys. Rev. 1958, 109, 695. [Google Scholar] [CrossRef]
- Varshni, Y.P. Temperature dependence of the energy gap in semiconductors. Physica 1967, 34, 149–154. [Google Scholar] [CrossRef]
- Sentaurus Device User Guide, Version R-2021.06-SP2; Synopsys: Mountain View, CA, USA, 2021.
- Ashburn, P. SiGe Heterojunction Bipolar Transistors; John Wiley & Sons: Hoboken, NJ, USA, 2004. [Google Scholar]
- Arienzo, M.; Iyer, S.S.; Meyerson, B.S.; Patton, G.L.; Stork, J.M. Sige alloys: Growth, properties and applications. Appl. Surf. Sci. 1991, 48, 377–386. [Google Scholar] [CrossRef]
- Arora, N.D.; Hauser, J.R.; Roulston, D.J. Electron and hole mobilities in silicon as a function of concentration and temperature. IEEE Trans. Electron Devices 1982, 29, 292–295. [Google Scholar] [CrossRef]
- Lombardi, C.; Manzini, S.; Saporito, A.; Vanzi, M. A physically based mobility model for numerical simulation of nonplanar devices. IEEE Trans. Comput. Aided Des. Integr. Circuits Syst. 1988, 7, 1164–1171. [Google Scholar] [CrossRef]
- Klaassen, D. A unified mobility model for device simulation-ii. temperature dependence of carrier mobility and lifetime. Solid-State Electron. 1992, 35, 961–967. [Google Scholar] [CrossRef]
- Choo, S.C. Theory of a forward-biased diffused-junction pln rectifier|part i: Exact numerical solutions. IEEE Trans. Electron Devices 1972, 19, 954–966. [Google Scholar] [CrossRef]
- Stratton, R. Diffusion of hot and cold electrons in semiconductor barriers. Phys. Rev. 1962, 126, 2002. [Google Scholar] [CrossRef]
- Altermatt, P.; Schenk, A.; Heiser, G. A simulation model for the density of states and for incomplete ionization in crystalline silicon. i.establishing the model in si: P. J. Appl. Phys. 2006, 100, 113715. [Google Scholar] [CrossRef]
- Ying, H.; Teng, J.W.; Raghunathan, U.S.; Moody, J.P.; Cressler, J.D. Variability of pn junctions and sige hbts at cryogenic temperatures. IEEE Trans. Electron Devices 2021, 68, 2021. [Google Scholar] [CrossRef]
- Gaworzewski, P.; Tittelbach-Helmrich, K.; Penner, U.; Abrosimov, N. Electrical properties of lightly doped p-type silicon{germanium single crystals. J. Appl. Phys. 1998, 83, 5258–5263. [Google Scholar] [CrossRef]
- Puglisi, F.M.; Larcher, L.; Pavan, P. Mixed-mode stress in silicon-germanium heterostructure bipolar transistors: Insights from experiments and simulations. IEEE Trans. Device Mater. Reliab. 2019, 19, 275–282. [Google Scholar] [CrossRef]
- Deng, M.; Qu´emerais, T.; Bouvot, S.; Gloria, D.; Chevalier, P.; L’epilliet, S.; Danneville, F.; Dambrine, G. Small-signal characterization and modelling of 55 nm sige bicmos hbt up to 325 ghz. Solid-State Electron. 2017, 129, 150–156. [Google Scholar] [CrossRef]
- Moen, K.A.; Cressler, J.D. Measurement and modeling of carrier transport parameters applicable to sige bicmos technology operating in extreme environments. IEEE Trans. Electron Devices 2010, 57, 551–561. [Google Scholar] [CrossRef]
- Cressler, J.D. Silicon-germanium as an enabling technology for extreme environment electronics. IEEE Trans. Device Mater. Reliab. 2010, 10, 437–448. [Google Scholar] [CrossRef]
- Ying, H.; Dark, J.; Omprakash, A.P.; Wier, B.R.; Ge, L.; Raghunathan, U.; Lourenco, N.E.; Fleetwood, Z.E.; Mourigal, M.; Davidovic, D.; et al. Collector transport in sige hbts operating at cryogenic temperatures. IEEE Trans. Electron Devices 2018, 65, 3697–3703. [Google Scholar] [CrossRef]
- Taur, Y.; Ning, T.H. Fundamentals of Modern VLSI Devices; Cambridge University Press: Cambridge, UK, 2021. [Google Scholar]











| Parameter | For Si | For Ge |
|---|---|---|
| α (eV/K) | 4.73 × 10−4 | 4.80 × 10−4 |
| β (K) | 636 | 235 |
| Eg(0) (eV) | 1.17 | 0.742 |
| Parameter | Value |
|---|---|
| Device Dimension | |
| Emitter window width (WE) | 0.1 µm |
| Emitter base spacer width (WSP) | 25 nm |
| Effective vertical base width (wb) | ∼19 nm |
| Peak emitter doping (NEp) | 1.5 × 1020 cm−3 |
| Peak intrinsic base doping (NBi) | 9.9 × 1019 cm−3 |
| Extrinsic base doping (NB) | 1.0 × 1020 cm−3 |
| Collector doping (min) (Nc) | 3 × 1017 cm−3 |
| Collector doping (max) (NC) | 1.5 × 1020 cm−3 |
| Calibrated Model Parameters | |
| Incomplete ionization model | |
| NM (Si) | 3.5 × 1018 cm−3 |
| gD (Si) | 2 |
| NM (SiGe) | 9.0 × 1017 cm−3 |
| gD (SiGe) | 4 |
| Philips unified mobility (PhU-Mob) model | |
| µmax (e), µmax (h) | 2.036 × 103, 9.154 × 102 (cm2/V·s) |
| µmin (e), µmin (h) | 69.15, 58.675 (cm2/V·s) |
| θ (e), θ (h) | 2.1, 2.2 |
| Nref (e), Nref (h) | 1.476 × 1017, 2.673 × 1017 (cm−3) |
| Parameter/Temperature | 300 K | 78 K | 50 K |
|---|---|---|---|
| Peak fmax (GHz) | 375 | 580 | 610 |
| Peak fT (GHz) | 330 | 510 | 535 |
| τec (ps) | 2.67 | 1.76 | 1.63 |
| Parameter | This Work | 90 nm SiGe HBT | ||
|---|---|---|---|---|
| 300 K | 78 K | 300 K | 78 K | |
| Peak fT (GHz) | 330 | 510 | 315 | 467 |
| Peak β | 1830 | 12,200 | 566 | 1013 |
| gm(S/µm2) @ IC (=1 mA/µm2) | 0.07 | 0.17 | 0.05 | 0.12 |
Publisher’s Note: MDPI stays neutral with regard to jurisdictional claims in published maps and institutional affiliations. |
© 2022 by the authors. Licensee MDPI, Basel, Switzerland. This article is an open access article distributed under the terms and conditions of the Creative Commons Attribution (CC BY) license (https://creativecommons.org/licenses/by/4.0/).
Share and Cite
Gupta, D.; Nayak, K. Silicon-Germanium Heterojunction Bipolar Transistor DC and AC Analysis Operating under Cryogenic Temperature. Electronics 2022, 11, 4164. https://doi.org/10.3390/electronics11244164
Gupta D, Nayak K. Silicon-Germanium Heterojunction Bipolar Transistor DC and AC Analysis Operating under Cryogenic Temperature. Electronics. 2022; 11(24):4164. https://doi.org/10.3390/electronics11244164
Chicago/Turabian StyleGupta, Dinesh, and Kaushik Nayak. 2022. "Silicon-Germanium Heterojunction Bipolar Transistor DC and AC Analysis Operating under Cryogenic Temperature" Electronics 11, no. 24: 4164. https://doi.org/10.3390/electronics11244164
APA StyleGupta, D., & Nayak, K. (2022). Silicon-Germanium Heterojunction Bipolar Transistor DC and AC Analysis Operating under Cryogenic Temperature. Electronics, 11(24), 4164. https://doi.org/10.3390/electronics11244164

