Far-Field Wireless Power Transfer for the Internet of Things
Abstract
1. Introduction
2. Methodology and Design
2.1. Approach I
2.1.1. The Transmitter System
The RF Power Source
The Microstrip Patch Array Antenna
2.1.2. The Receiver System
Receiving Antenna Design
Rectenna Design
2.2. Approach II
2.2.1. The Transmitter System
Antenna Design
The Butler Matrix
3. Result and Analysis
3.1. Approach I
3.1.1. Antennas
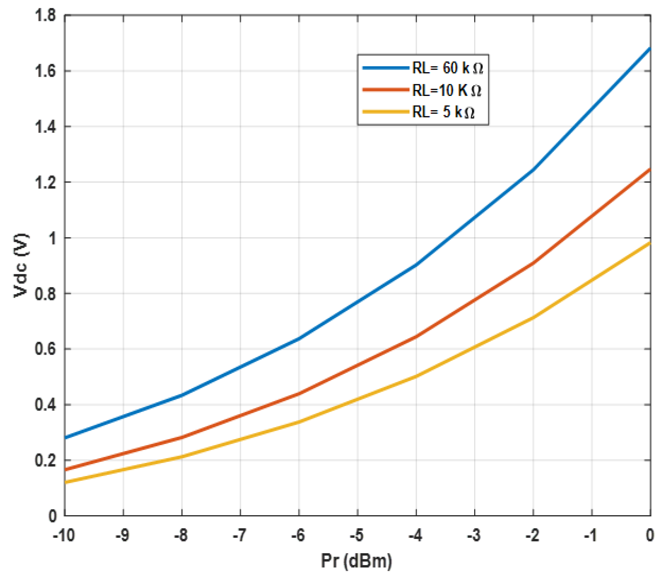
3.1.2. The Rectifier Circuit
3.1.3. The Stress Test
3.1.4. The System Test
3.2. Approach II
3.2.1. Antennas
3.2.2. The Butler Matrix
3.2.3. The Rectifier
3.2.4. The Mobile App
3.2.5. System Test
4. Conclusions
Author Contributions
Funding
Data Availability Statement
Acknowledgments
Conflicts of Interest
References
- Ahlgren, B.; Hidell, M.; Ngai, E. Internet of Things for Smart Cities: Interoperability and Open Data. IEEE Internet Comput. 2016, 20, 52–56. [Google Scholar] [CrossRef]
- Park, J.; Tran, N.; Hwang, S.; Kim, D.; Choi, K. Design and Implementation of 5.8 GHz RF Wireless Power Transfer System. IEEE Access 2021, 9, 168520–168534. [Google Scholar] [CrossRef]
- Hui, S.; Zhong, W.; Lee, C. A Critical Review of Recent Progress in Mid-Range Wireless Power Transfer. IEEE Trans. Power Electron. 2014, 29, 4500–4511. [Google Scholar] [CrossRef]
- Clerckx, B.; Zhang, R.; Schober, R.; Ng, D.; Kim, D.; Poor, H. Fundamentals of Wireless Information and Power Transfer: From RF Energy Harvester Models to Signal and System Designs. IEEE J. Sel. Areas Commun. 2019, 37, 4–33. [Google Scholar] [CrossRef]
- Liu, C.; Guo, Y.; Sun, H.; Xiao, S. Design and Safety Considerations of an Implantable Rectenna for Far-field Wireless Power Transfer. IEEE Trans. Antennas Propag. 2014, 62, 5798–5806. [Google Scholar] [CrossRef]
- Tesla, N. Apparatus for Transmitting Electrical Energy. US Patent 1,119,732, 1 December 1914. [Google Scholar]
- Brown, W.C. Experimental Airborne Microwave Supported Platform; Technical Report; Raytheon Co.: Burlington, MA, USA; Spencer Lab: Newark, DE, USA, 1965. [Google Scholar]
- Khoury, P. A Power-efficient Radio Frequency Energy-harvesting Circuit. Master’s Thesis, University of Ottawa, Ottawa, ON, Canada, 2013. [Google Scholar]
- Ettorre, M.; Alomar, W.; Grbic, A. 2-D Van Atta Array of Wideband, Wide-angle Slots for Radiative Wireless Power Transfer Systems. IEEE Trans. Antennas Propag. 2018, 66, 4577–4585. [Google Scholar] [CrossRef]
- Poveda-García, M.; Oliva-Sánchez, J.; Sanchez-Iborra, R.; Cañete-Rebenaque, D.; Gomez-Tornero, J. Dynamic Wireless Power Transfer for Cost-Effective Wireless Sensor Networks Using Frequency-Scanned Beaming. IEEE Access 2019, 7, 8081–8094. [Google Scholar] [CrossRef]
- Hong, H.; Soo Park, H.; Hong, S. Design of Rotman Lens for Far-field Wireless Power Transfer at Ka-band. In Proceedings of the 2020 IEEE Wireless Power Transfer Conference (WPTC), Seoul, Korea, 15–19 November 2020. [Google Scholar]
- Pabbisetty, G.; Murata, K.; Taniguchi, K.; Mitomo, T.; Mori, H. Evaluation of Space-time Beamforming Algorithm to Realize Maintenance-free IoT Sensors with Wireless Power Transfer System in the 5.7-GHz Band. IEEE Trans. Microw. Theory Tech. 2019, 67, 5228–5234. [Google Scholar] [CrossRef]
- An, C.; Kwon, H.; Ryu, H. Beamforming Design of the Wireless Power Transfer System into Multiple IoT Sensors. In Proceedings of the 2022 24th International Conference On Advanced Communication Technology (ICACT), Phoenix Pyeongchang, Republic of Korea, 13–16 February 2022. [Google Scholar]
- Bae, J.; Yi, S.; Koo, H.; Oh, S.; Oh, H.; Choi, W.; Shin, J.; Song, C.; Hwang, K.; Lee, K.; et al. LUT-Based Focal Beamforming System Using 2-D Adaptive Sequential Searching Algorithm for Microwave Power Transfer. IEEE Access 2020, 8, 196024–196033. [Google Scholar] [CrossRef]
- Mansour, A.; Shehata, N.; Hamza, B.; Rizk, M. Efficient Design of Flexible and Low-cost Paper-based Inkjet-printed Antenna. Hindawi Int. J. Antennas Propag. 2015, 2015, 845042. [Google Scholar] [CrossRef]
- Din, N.; Chakrabarty, C.; Ismail, A.; Devi, K.; Chen, W. Design of RF Energy Harvesting System for Energizing Low-power Devices. Prog. Electromagn. Res. 2012, 132, 49–69. [Google Scholar] [CrossRef]
- Balanis, C. Antenna Theory: Analysis and Design, 4th ed.; Wiley-Interscience: Hoboken, NJ, USA, 2016; ISBN 978-1-118-64206-1. [Google Scholar]
- Butler, J. Beam-forming Matrix Simplifies the Design of Electronically Scanned Antennas. Electron. Des. 1961, 9, 170–173. [Google Scholar]
- Prakash, V.; Dahiya, S.; Kumawat, S.; Singh, P. Design of 4X4 Butler Matrix and Its Process Modeling using Petri-nets for Phase Array Systems. Prog. Electromagn. Res. C 2020, 103, 137–153. [Google Scholar] [CrossRef]
- Sfar, I.; Osman, L.; Gharsallah, A. Design of a 4X4 Butler Matrix for Beamforming Antenna Applications. In Proceedings of the 2014 Mediterranean Microwave Symposium (MMS2014), Marrakech, Morocco, 12–14 December 2014. [Google Scholar]
- Tutorials for MIT App Inventor. Available online: http://appinventor.mit.edu/explore/ai2/tutorials.html (accessed on 26 November 2022).




























| References | Transmitter Type, Frequency (GHz) | Angular Scan or Coverage (Degrees) |
|---|---|---|
| [9] | Van Atta and 4 slot array, 5.8 | 118 |
| [10] | Leakywave, 2.4–2.5 | 74 |
| [11] | Rotman lens and Vivaldi array, 33 | 60 |
| [12] | Timed shared beamforming patch phased array, 5.745 | Four beams at 45, 135, 225 and 315 |
| [14] | Circular polarized patch array, 5.2 | Look up table of phase |
| [13] | Electronically steered parasitic array array, 2.45 | 30 |
| This work, Approach I | Stepper motor and patch array, 2.4 | 360 |
| This work, Approach II | Butler matrix and patch array, 2.4 | 90 |
| Transmitted Power (dBm) | Highest Received Power (dBm) | D (cm) |
| 5 | −9.54 | 1 |
| 15 | −2.97 | 1 |
| Lowest Received Power (dBm) | ||
| 5 | −37.78 | 20 |
| 15 | −29.38 | 20 |
Disclaimer/Publisher’s Note: The statements, opinions and data contained in all publications are solely those of the individual author(s) and contributor(s) and not of MDPI and/or the editor(s). MDPI and/or the editor(s) disclaim responsibility for any injury to people or property resulting from any ideas, methods, instructions or products referred to in the content. |
© 2022 by the authors. Licensee MDPI, Basel, Switzerland. This article is an open access article distributed under the terms and conditions of the Creative Commons Attribution (CC BY) license (https://creativecommons.org/licenses/by/4.0/).
Share and Cite
Nusrat, T.; Roy, S.; Lotfi-Neyestanak, A.A.; Noghanian, S. Far-Field Wireless Power Transfer for the Internet of Things. Electronics 2023, 12, 207. https://doi.org/10.3390/electronics12010207
Nusrat T, Roy S, Lotfi-Neyestanak AA, Noghanian S. Far-Field Wireless Power Transfer for the Internet of Things. Electronics. 2023; 12(1):207. https://doi.org/10.3390/electronics12010207
Chicago/Turabian StyleNusrat, Tasin, Sayan Roy, Abbas Ali Lotfi-Neyestanak, and Sima Noghanian. 2023. "Far-Field Wireless Power Transfer for the Internet of Things" Electronics 12, no. 1: 207. https://doi.org/10.3390/electronics12010207
APA StyleNusrat, T., Roy, S., Lotfi-Neyestanak, A. A., & Noghanian, S. (2023). Far-Field Wireless Power Transfer for the Internet of Things. Electronics, 12(1), 207. https://doi.org/10.3390/electronics12010207

