Abstract
Immersive virtual reality applications based on head-mounted displays are gaining momentum among students and educational institutes, but there is a lack of information about the preferences of virtual characters and emotional engagement in these applications. The objectives of this study were to: (i) evaluate participants’ preferences on virtual characters in virtual reality; (ii) measure emotional engagement among the users in terms of Feelings of Being; and (iii) identify relationships between virtual characters and emotional engagement. We conducted a mixed-method user experience evaluation on the HHVR virtual reality application that introduces the premises of a Finnish university and has three virtual characters: a human virtual character based on a real person, a fictional human virtual character, and a cat virtual character. We set up an eSports event where presenters (N = 12, mean age: 31.09) experienced HHVR using a head-mounted display and spectators (N = 38, mean age: 25.95) observed the experiment through large screens. We administered a questionnaire and conducted semi-structured interviews to gain insights into the participants’ preferences on virtual characters and emotional engagement. The results indicated that the virtual character preferences varied between the presenters and spectators; the cat was a highly liked virtual character in both groups, and the realistic human virtual character garnered mixed reactions from the spectators, although she was generally liked by the presenters. Both groups experienced several Feelings of Being, such as engagement, effectiveness, security, trust, enjoyment, and excitement, during the HHVR experience. Moderate and significant correlations were identified between the virtual characters and some of the Feelings of Being, thus indicating that the type of virtual character could impact emotional engagement; however, this requires further exploration.
1. Introduction
Virtual reality (VR) based on head-mounted displays (HMDs) can provide immersive and realistic experiences to users. A well-designed immersive VR environment provides the user with a means to interact with virtual objects as if they were in the real world. The affordability and popularity of VR technology have made it prevalent among students at higher educational institutes. However, the usage of VR is associated with challenges, e.g., cybersickness [1] and keeping the users engaged with the application [2]. Therefore, special attention is required at the design phase to gain a positive user experience (UX). One way to overcome the challenges is to keep the user emotionally engaged with the application by recreating a familiar environment, encouraging the user to interact with the application, and making users feel that they are part of the application [3].
VR is known to be able to invoke emotions in users [4] and there has been extensive research on emotional engagement in VR. For example, Reger et al. [5] investigated whether VR can provide sufficient emotional engagement of participants in the context of exposure therapy for post-traumatic stress disorder. Their results showed no significant differences between the VR method versus a traditional imagination-based method. However, they recommend further research on the role of emotional engagement. In contrast, Bastiaansen et al. [6] demonstrated that a VR rollercoaster application showed higher valence and arousal scores from participants than a non-VR roller coaster ride. They also found that skin conductance is a potential method for measuring emotional engagement in VR applications. In another study, Allcoat et al. [7] showed that VR improves the performance of learning and remembering in comparison to traditional learning or using video clip approaches. Furthermore, they showed that VR increases positive emotions whilst decreasing negative emotions, which is the opposite of what the other approaches do.
The emotions which users experience in VR are like those that people experience in the real world from the neuro-mechanism perspective [8,9]. The ability of VR environments to operate as affective computing systems was also suggested by Riva et al. [10], who explored the relationship between presence and emotions in VR environments. This ability of VR to evoke emotions in users has been shown to provide better results than two-dimensional solutions [11]. Virtual characters (VCs), in particular, have a key role in engaging users in immersive VR experiences. As Slater [12] suggested, VCs in VR are more intense than in any form of media due to the immersive and interactive nature of VR application. VCs can take different forms depending on the VR application goal and style. Examples include animated animals [13], cartoon-like characters [14], and human-like characters [15], each of which can arouse different emotions in users.
Previous research has explored the intersection of VCs and emotions in the context of VR. For example, Bekele et al. [16] showed that emotions expressed on the faces of VCs are recognizable by users both with and without autism spectrum disorders. In another example, Liu and Pan [17] created an affective VC that can perceive and respond to emotional stimuli. However, there is a lack of studies that explore the emotional engagement of users in relation to different types of virtual characters. This is important because by identifying the factors of VCs contributing to emotional engagement of the user, we can create more engaging and affective VR experiences. Moreover, previous studies on emotional engagement in VR environments focused largely on basic emotions such as happiness, sadness, disgust, fear, surprise, and anger, or dimensions of an emotional model such as valence and arousal in Russell’s Circumplex model [18]. In contrast, Feelings of Being (FoB)—existential feelings related to how we find ourselves in the world [19]—is an unexplored emotional construct in the context of VR. The recently published FoB model [20] presents a number of FoB, such as trust, engagement, empowerment, effectiveness, security, freedom, and ownership, that can be influenced in different stages of an application’s usage life cycle. Our previous work has shown that FoB are essential in mobile application UX design [20], and we are currently studying them in the context of immersive VR UX.
The aim of this study is to examine how VCs based on a real person, a fictional person, and an animal affect emotional engagement of users, more specifically, the FoB that they experienced, in an immersive VR experience. For this purpose, we evaluated HHVR, a university campus tutorial implemented as an immersive VR application with gamification features. Gamification was used because it has proven to be an efficient way to motivate and engage users in learning [21]. The HHVR application was evaluated using a mixed-method strategy in an eSports setup where a group of participants experienced the application as presenters who wore the immersive VR equipment, and another group of participants were spectators who watched the gameplay on a large screen. The results of the study provide the following contributions to the existing body of literature in emotional engagement and UX in the context of VR: (i) an analysis of users’ preferences on realistic human, fictional human, and fictional animal VCs; (ii) an analysis of the effects of said VCs on FoB experienced by users of the HHVR application; (iii) discussion of the importance of customization of VCs in immersive VR application design; and (iii) a demonstration of using an eSports setup to conduct a UX evaluation of immersive VR technology.
2. Related Research
2.1. User Experience Design
UX has been considered an important factor in digital applications’ success among users and it has become an important supplement to the traditional human–computer interaction design. UX design is a multidimensional phenomenon in which many factors influence the success of a robust design. Hassenzahl [22] referred to UX as the quality of interactive technology focusing on the human and not on the product. Furthermore, Hassenzahl and Tractinsky [23] argued that with the advancement of technology, interactive products and services would become not only useful and usable but also trendy. Emotions and feelings are important factors in UX design for sustainable application usage and user engagement [20]. Rebelo et al. [24] recommended VR as a robust tool for evaluating UX by conducting user studies and evaluating user expectations. Sagnier et al. [25] defined immersive UX to comprise traditional UX components (pragmatic quality, hedonic quality) and VR components (presence, cybersickness) and conducted an experiment with 52 users to measure the immersive UX aspects. The results showed that gender affected presence and hedonic qualities of UX, whereas previous VR experience was linked to presence, pragmatic quality, and hedonic quality. Finally, Rebelo et al. [24] analyzed the suitability of VR for UX evaluation of products and proposed a theoretical framework for doing so.
2.2. Virtual Characters and Emotional Engagement
The term virtual character in our study refers to a computer-generated graphical entity that has an appearance and behavior of a human, animal, or fictional character. Emotional engagement is defined as the sensation that the users form as a result of their emotions [26]. Emotional engagement pertains to the user’s emotional states that are evoked during their interaction with applications. This may elicit either positive emotions like enjoyment or negative emotions such as frustration. In VR, emotional engagement occurs through two types of immersion: emotional immersion and spatial immersion [27]. Although VCs are widely used in VR environments and other virtual worlds, they have received relatively little attention from researchers focusing on emotional engagement in the context of VR. Although there is limited information available on the effects of VCs on emotional engagement on users of VR applications, some researchers have studied narratives and social interaction in the context of immersive VR; VCs are often used to channel for narratives and social interaction. Irshad and Perkis [2] explored how interactive narratives in VR affect UX and user engagement. Their findings reveal that interactive VR applications based on narratives can trigger emotional responses in users and strengthen their engagement in the application. In another study, Kyrlitsias and Michael-Grigoriou [28] reviewed literature on the social interaction with VCs, embodiment of the user in their avatar, agency, and level of immersion.
Other researchers have explored the qualities that make VCs affective. Liu and Pan proposed an emotion model of VCs that is applied to VCs capable of sensing and perceiving external stimuli and expressing emotions in response [17]. They recommended that VCs need to be believable and designed to be autonomous with sense, emotion, actions, and behavior. In another study, Ochs et al. [29] demonstrated that the emotion expression of VCs influences the user’s interaction with the application. Furthermore, Cabral et al. [30] determined that the use of synthetic voice for VCs did not significantly affect their attractiveness, believability, or human-like qualities.
It is essential to know for VR designers what qualities make VCs believable and appealing for engagement. In a book on VC design for games and interactive media, Sloan [31] emphasized that the main design elements of VCs, such as proportions, body types, and gender, make the VC believable to users. Furthermore, the appearance, behavior, and personality of a VC impacts the user engagement with the VC. Aligned with this, Zibrek et al. [32] investigated the effect of the level of realism in VC design users perceptions on VCs. Furthermore, they investigated whether the VC’s personality impacts their appeal. Their findings indicate that the level of VC realism has a positive impact on VC appeal. A study conducted by Ma and Pan [33] demonstrated that VCs have an impact on users’ first impressions. For example, when self-alike avatars were used, users tend to focus elsewhere rather than on the avatar. Violante et al. [34] investigated the effects of VCs on consumer shopping behavior. The results indicate that utilizing VR in the marketing sector can help engage consumers by providing a virtual experience of the product which they want. Bailenson et al. [35] demonstrated that for a VR application to be engaging, there must be a consistency in levels of realism among the elements that we use to construct the VCs and the virtual world.
2.3. Feelings of Being (FoB)
Ratcliffe [19] proposed Feelings of Being (FoB) as a construct to address existential feelings that connect to how we find ourselves in the world; they define the way we react to the world and impact our attitude and disposition to act. These feelings, e.g., ownership, belonging, and separation, are not necessarily associated with emotional reactions, but these feelings help us to identify ourselves in our surroundings. In our previously published study [20] we identified 12 FoB (trust, excitement, frustration, empowerment, enjoyment, effectiveness, gratification, engagement, adjustability, ownership, contribution, security, and needs fulfilment) and proposed the FoB model that explains how FoBs evolve in UX from hedonic and eudemonic aspects of experience during the application life cycle. The FoB model extends Karapanos et al.’s Temporality of Experience model [36] which proposes a foundation for UX design with four stages of application usage: anticipation, orientation, incorporation, and identification. In the study, we also designed a questionnaire to evaluate the UX of a product from the perspective of FoB at the design and usability evaluation phases.
3. Research Design
3.1. Research Objectives and Questions
The first objective of this study was to conduct a UX evaluation of the gamified HHVR application to measure the participants’ preferences of different VCs. Secondly, we focused on exploring to what extent the HHVR application can elicit 12 FoB in the participants and sought to identify any relationships between the VCs and the FoB. Therefore, we pursued answers to the following research questions:
- What types of virtual characters do users prefer in the HHVR application?
- How emotionally engaged are users of the HHVR application in terms of 12 FoB?
- Are there any relationships between the VC preferences and emotional engagement in the HHVR application?
3.2. Experiment Stimulus
HHVR is an immersive and gamified campus tutorial for Oculus Quest. It was built with the Unity game engine version 2019.3.2f1 and the Oculus Integration SDK. HHVR comprises scenes based on 360-degree camera recordings of specific areas of the Haaga-Helia University of Applied Sciences campus. The user can freely look around in the virtual environment by moving their head and use the Oculus VR controllers to interact with the environment and user interface. The primary index finger button is used for triggering interactions. The user can navigate between scenes by clicking on the buttons on the user interface (navigation map, main menu, pause menu) or destination points placed in the environment. We used the MP3 audio format for all narrated descriptions and presentations by the virtual characters. The C# programming language was used for scripting the application. Moreover, we used Unity Analytics for gathering usage data in the application. The gathered data can be viewed in the Unity dashboard section on the Unity Website.
Figure 1a presents a sample of the application at the entry scene, with two of the VCs: Felix the Cat and Riitta the Guide. The HHVR application is targeted at university students, visitors, and other people interested in the university. The application enables users to explore the main Haaga-Helia University of Applied Sciences campus in a 360-degree view and learn about the services at various locations, and it offers a virtual guide. During the VR experience, the player can meet and interact with three VCs—two humans and a cartoon cat—with each having unique characteristics. The application contains recorded narrations for the human VCs, which provide information about the university. The details of the VCs are as follows:
Figure 1.
Screenshots of the VCs in the HHVR application. (a) Felix the Cat, (b) Riitta the Guide, and (c) Elias the Freshman.
- Riitta the Guide (Figure 1a) was designed based on a real person working at the university. We recorded Riitta’s own voice for the VC. She is a very well-known person among students and staff on the campus. She is known to be friendly, outgoing, funny, and has a good relationship with everybody. The main reason for selecting this character for our application was her personality and her role as an academic advisor at the university.
- Elias the Freshman (Figure 1b) is a fictional freshman student from abroad who has been at the university for a year and is familiar with the campus environment, its services, and most of all, speaks the students’ language. The idea behind the creation of this character was to create a friendly yet neutral student character to whom users could relate.
- Felix the Cat (Figure 1a) is a cartoon character that is a part of gamification in the application to engage users in exploring the virtual environment. Felix hides in different places across the campus building, waiting for the user to find them. The user does not directly interact with the cat apart from receiving information from the cat after finding it in the hide-and-seek game.
Upon starting the application, users are instructed to find five instances of Felix the Cat as they traverse different floors and locations. Each instance of Felix offers useful information about its whereabouts. Apart from finding the cat instances, there are no other gamification features in the HHVR application.
3.3. Participants
We recruited 50 voluntary adult participants among students and staff at a university in Helsinki, Finland. The participants, who represented both novice and experienced VR users, were divided into two groups: presenters (N = 12), who experienced the HHVR application, and spectators (N = 38), who observed the experiment via large screens. The participants were asked to sign an informed consent about the experiment, data recording, and use of the anonymized data for publications. The participants’ demographics are presented in Table 1. Five students and three staff members voluntarily agreed to carry out the experiment as presenters.
Table 1.
Demographics of the participants who were divided into presenters and spectators.
3.4. Data Collection
We utilized a questionnaire to analyze the participants’ perceptions on the invoked FoB and their attitudes towards the VCs. The questionnaire was developed during a previous study based on the results of a systematic literature review that identified 12 identified FoB in UX design [20]. Furthermore, the questionnaire was applied to the UX design and evaluation of 9 mobile and web-based applications. The questionnaire was administered to both groups through Google Forms. The first part of the questionnaire consisted of the participants’ basic information such as age, gender, and previous VR experience. The second part of the questionnaire focused on measuring emotional engagement with the application and included statements on 12 FoB. The questionnaire scales used in this study ranged from 1 to 5, where the value 1 indicates a strong negative opinion or strong disagreement, and the value 5 indicates a strong positive opinion or strong agreement.
We set up the experiment as an eSports event where 12 participants experienced the HHVR application (presenters), and 38 participants followed the presenters’ activity from large screens (spectators). The presenters experienced the HHVR application one by one using the Oculus Quest HMD. At the same time, the spectators followed each scene in the application, which are based on 360-degree images, from large screens. After the experiment, we asked both groups to fill in the questionnaire. Finally, we invited volunteers for a short semi-structured interview.
Following the experiment, 17 voluntary participants were interviewed to inquire more information about their experience with the HHVR application. The main aim of the semi-structured interview is to complement the findings of the questionnaire. We prepared a set of questions in advance; however, if we realized that additional information is needed, we developed new questions during the interview sessions. All interviews were conducted in English and recorded after receiving the participants’ consent. Each interview took approximately 15–20 min. During the interviews, the participants were asked more in-depth questions about their feelings about and attitudes to the application and experiment.
Figure 2 presents an eSports data collection event organized during a user experience lecture. One of the students is a presenter and experiments with the application using a VR headset while others (spectators) follow the experiment through large screens.
Figure 2.
An eSports event during a UX lecture.
3.5. Data Analysis
The quantitative questionnaire data were analyzed with Microsoft Excel. We applied descriptive statistics (mean, standard deviation, one-way ANOVA, Pearson’s correlation) to gain insights on the VC preferences and elicited FoB among the presenters and spectators. Furthermore, we created visualizations to further analyze the data and present the findings.
By the consent of the participants, we recorded all the interview sessions which were subsequently transcribed for analysis. Both authors analyzed the transcriptions over several iterations to learn how the interview answers complement or differ from the questionnaire results. Additionally, we sought to identify the quotes that include keywords related to the 12 FoB.
4. Results
The results of our analysis of the presenters’ and spectators’ preferences on VCs and experienced FoB are presented in this section. Specifically, we present the relevant questionnaire data analysis followed by semi-structured interview analysis that complements the questionnaire findings. The scale 1–5 is used in figures reporting the results on quantitative statements, where 1 indicates a strong negative opinion or disagreement and 5 means a strong positive opinion or agreement.
4.1. Emotional Engagement
Several statistical analyses were utilized to uncover the experiences of the participants regarding their emotional engagement and the VCs. These analyses included examining the frequencies associated with the VC preferences by both presenters and spectators, as well as determining the mean and standard deviation values for these.
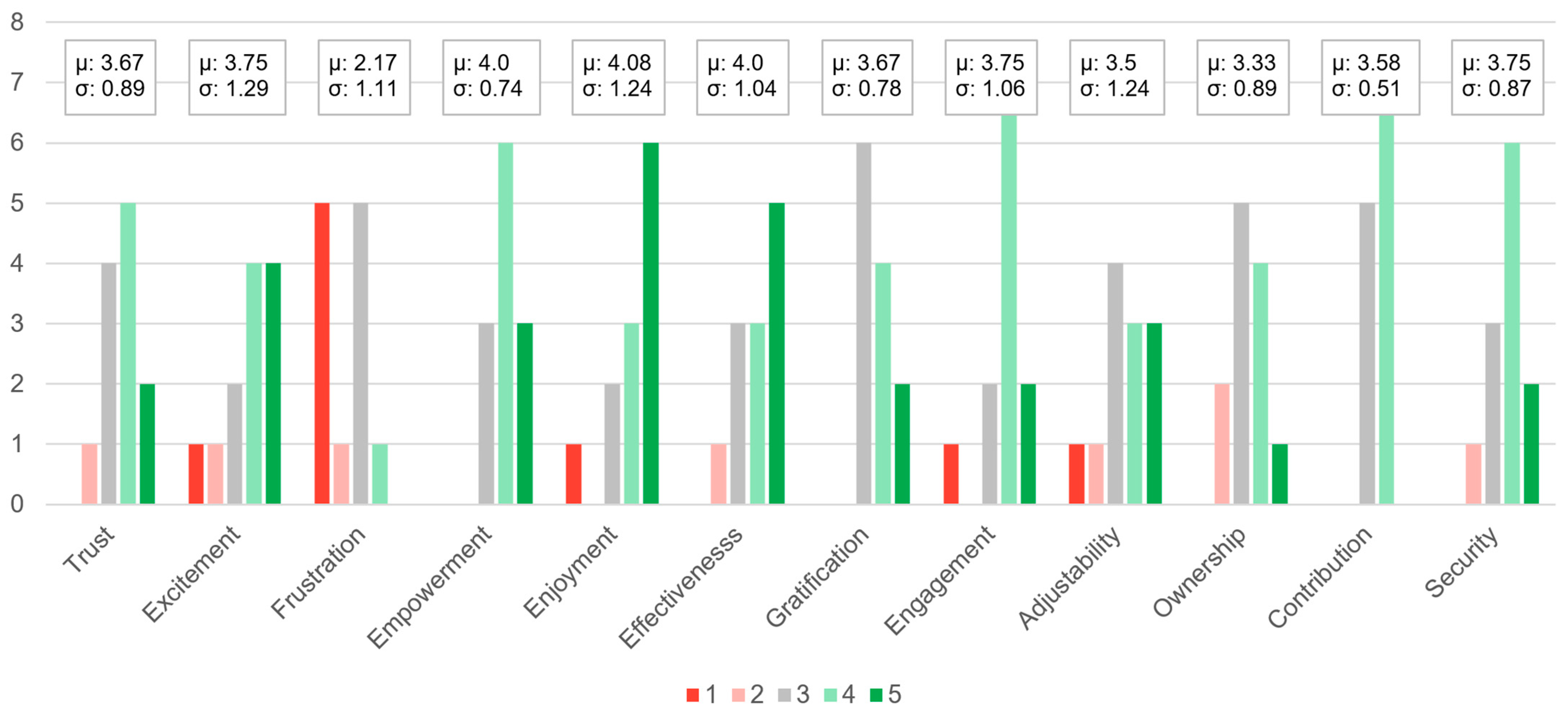
The questionnaire collected data on how much the participants were emotionally engaged with respect to 12 FoB: trust, excitement, frustration, empowerment, enjoyment, effectiveness, gratification, engagement, adjustability, ownership, contribution, and security. Figure 3 and Figure 4 present the ratings of the presenters and spectators, respectively, on the FoB. As indicated in the presenters’ data, they found the application to facilitate most of the FoB, with particularly high ratings for empowerment (μ: 4.0, σ: 0.74), enjoyment (μ: 4.08, σ: 1.24), and effectiveness (μ: 4.0, σ: 1.04), followed by excitement (μ: 3.75, σ: 1.29), engagement (μ: 3.75, σ: 1.06), security (μ: 3.75, σ: 0.87), and trust (μ: 3.67, σ: 0.89). Frustration (μ: 2.17, σ: 1.11), as the sole negative FoB, was only rated high by one presenter. In contrast, the spectators’ ratings are more balanced, with the highest ratings given to trust (μ: 3.66, σ: 0.94), effectiveness (μ: 3.66, σ: 0.88), security (μ: 3.63, σ: 0.91), engagement (μ: 3.53, σ: 1.18), enjoyment (μ: 3.47, σ: 0.95), and excitement (μ: 3.45, σ: 0.98). Moreover, eight (21%) of the spectators experienced frustration during the experiment. It is noteworthy that there were significantly large numbers of neutral answers for some of the FoB especially among the spectators, thus indicating indecisiveness for an unknown reason.
Figure 3.
FoB experienced by the presenters.
Figure 4.
FoB experienced by the spectators.
The results show that both groups were able to some extent to emotionally engage with the application through several FoB, in particular, trust, security, effectiveness, enjoyment, and excitement. These results also indicate that some FoB, like adjustability, ownership, and empowerment, are dependent on the degree of control the user has of the application; as the spectators were only observing the events, they could not adjust the VR application, could not feel empowered by it, and felt too distant to feel ownership to it.
4.2. Preferences for Virtual Characters
The HHVR application has three different VCs that were analyzed in the evaluation. Riitta the Guide was modeled based on a real person working at the campus. We brought the real Riitta’s voice and behavior into the VC. The second VC is student representative Elias the Freshman. Unlike Riitta the Guide, Elias is a fictional student who moved to Finland as an undergraduate student. Finally, Felix the Cat is a fictional pet that appears in the HHVR application as a gamification element. The goal of playing hide-and-seek with the cat was to make the user pay closer attention to the virtual environment based on the campus building.
Figure 5a shows a summary of the spectators’ answers to the questions we asked about how they liked each of the characters. A high value indicates a strong positive feeling about the character, whereas a low value indicates strong dislike. The mean scores by spectators for Riitta the Guide, Elias the Freshman, and Felix the Cat were 3.05 (σ: 1.16), 3.55 (σ: 0.98), and 4.26 (σ: 1.13), respectively. This indicates that Felix the Cat was the most liked VC among the spectators, with 76.32% of them showing a positive response to it. Elias was also liked by a majority of the spectators, as he garnered 57.89% of positive responses. However, the spectators’ opinions of Riitta were much more mixed, with only 36.84% of them feeling positive about her.
Figure 5.
The frequencies of the spectators’ (a) and presenters’ (b) answers on what they liked about each of the VCs. The values range from 1 (strong negative opinion) to 5 (strong positive opinion).
The 12 presenters also gave their opinions about the three VCs. Their results are shown in Figure 5b, which indicates general positive feeling for all the characters. The mean scores for Riitta the Guide, Elias the Freshman, and Felix the Cat were 3.67 (σ: 1.23), 3.75 (σ: 1.06), and 4.08 (σ: 1.0), respectively. The proportions of positive responses for the three characters were 50%, 50%, and 58.33%, respectively. It is noteworthy that only one presenter disliked Riitta and Elias each.
To complement the aforementioned results, we conducted one-way ANOVA to determine whether there are any statistically significant differences between the means of the preferences for the VCs among the presenters and spectators. The one-way ANOVA results on the presenters’ preferences for Riitta, Elias, and Felix indicated that there was no statistically significant difference in the mean preference scores of the groups (F (2,33) = (3.28), p = 0.62). In contrast, the one-way ANOVA on the spectators’ preferences for the VCs indicated that there was a statistically significant difference in the mean preference scores (F (2,111) = (3.08), p = 0.00002). Post hoc comparisons using the Tukey HSD test confirmed that the mean scores for the VCs were significantly different from each other.
4.3. Correlations among Emotional Engagement and Virtual Character Preferences
In this section, we present the results of Pearson’s correlation analysis between the VC preferences and emotional engagement. We only included the FoB that showed moderate (<−0.3, >0.3) or significant correlations (<−0.5, >0.5) with at least one of the VCs. Full details of correlations are presented in Appendix A (Table A1 and Table A2). Table 2 shows the results for spectators, with trust, empowerment, engagement, and security showing moderate positive correlations with Riitta and Felix. Moreover, there is a moderate negative correlation between Elias and empowerment (−0.31). These results indicate that Riitta and Felix can have an influence on building feelings of trust, engagement, and security in the application among the spectators. Moreover, the spectators’ VC preferences for Riitta the Guide moderately correlated with the feeling of security (0.35), which prompts a future investigation on the role of familiar human characters in making people feel more secure in VR environments.
Table 2.
Correlations between emotional engagement and VC preferences among the spectators.
The correlation results for the presenters’ VC preferences and emotional engagement are shown in Table 3. Preferences for Elias the Freshman negatively correlated with trust (−0.39), excitement (−0.32), enjoyment (−0.47), gratification (−0.44), and engagement (−0.39). The presenters’ preferences for Riitta the Guide correlated negatively with frustration (−0.35) and positively with adjustability (0.53) and security (0.34). In the case of Felix the Cat, the presenters’ preferences correlated positively with effectiveness (0.35), gratification (0.39), and adjustability (0.48). However, we found moderate negative correlation (−0.32) between the preferences for Felix the Cat and engagement. The correlation results for the presenters are merely suggestive because of the small sample size (N = 12).
Table 3.
Correlations between emotional engagement and VC preferences among the presenters.
4.4. Interview Analysis
Table 4 presents the summary of the interview transcript analysis including relevant quotes from the participants, associated FoB, and our notes to elaborate on the data. These findings further explain the abovementioned questionnaire results.
Table 4.
Summary of the interview transcript analysis.
5. Discussion
As technology advances, immersive VR applications have become easier to design and develop. Furthermore, the advancement has also made immersive VR applications popular among students and educators. Therefore, these applications are becoming a supplemented medium in the various educational offerings [37]. However, immersive VR applications are still associated with many challenges related to supporting wide-spread continuous usage, such as cybersickness, embodiment, and presence [1]. Although immersive VR application usage affects the user’s perception of application adaptability [38], designers can apply motivational tools such as gamification to engage users more efficiently, as we have done in the HHVR application with Felix the Cat. In this study, we explored how users of the HHVR application perceive different VCs and how they emotionally engage with the application.
5.1. Evolution of Riitta, Elias, and Felix
The HHVR application uses Riitta the Guide and Elias the Freshman to guide the user to the premises and services at the university. Additionally, Felix the Cat plays hide-and-seek with the player as a form of gamification. The real Riitta’s voice and appearance were used to design Riitta the Guide, whereas Elias the Freshman and Felix the Cat were fictional characters.
To understand the motivation behind the designs of three VCs, we need to revisit the development of HHVR. Early in the development process, we conducted a low-fidelity prototype evaluation with potential users. The evaluation revealed the need to motivate users for continuous use. Therefore, we designed and implemented Riitta as a guide that the user can interact with during the tour. A semi-functional prototype UX evaluation revealed that test users highly appreciated Riitta the Guide. The fidelity of prototyping and the evaluation continued with the implementation of Elias as a student representative to whom student users could relate to. In the latest prototype evaluation, we recognized that an additional motivational factor was needed. Therefore, we implemented Felix the Cat as a gamification element to further enhance the motivational value of the application. A cat was chosen over other animals because cats are generally likeable and are naturally good at sneaking and hiding unlike other pets such as dogs.
5.2. Answer to Research Question 1: What Types of Virtual Characters do Users Prefer in the HHVR Application?
We answered the first research question by asking the participants how much they liked each of the three VCs: a realistic human, a fictional human, and an animal The evaluation data analysis indicated some differences between the spectators’ and presenters’ preferences for the VCs. Before conducting the evaluation, we hypothesized that Riitta the Guide would be the most liked VC based on the feedback garnered from the development prototype tests. The evaluation results showed that although many participants liked Riitta the Guide, there were several, especially among the spectators, who gave a negative response to her character. As indicated by Figure 5, both spectators and presenters had a generally positive attitude towards Elias the Freshman and Felix the Cat, while Riitta the Guide received mixed reactions from the spectators. Felix the Cat garnered the most positive responses from both groups, thus being the most liked VC in the HHVR application. This result contradicts with the findings of Piumsomboon et al. [39] who showed that human-like VCs engage users and create positive UX. We suspect that the use of gamification through Felix the Cat may have influenced the positive reception of it among the participants, albeit some critical comments regarding Felix were presented in the interviews.
The results of the one-way ANOVA on the participants’ preferences for the VCs suggested that there is a significant difference between the VCs based on the answers given by the spectators. In contrast, the one-way ANOVA results on the presenters’ VC preferences showed that there were no significant differences between the means of the groups. This is aligned with the results in Figure 5 that indicate greater differences in the spectators’ preferences between the VCs. One possible reason for this is that the presenters were able to get closer to the VCs in the virtual environment, which allowed them to observe the VCs in close proximity and interact with them. However, this hypothesis remains to be tested in a future study.
In the gamification feature of HHVR, the user is quested to find five instances of Felix the Cat while exploring the virtual premises of the university. Nicola et al. [40] demonstrated that gamification in VR improves the effectiveness of the learning process and provides a better UX. Almost all participants enjoyed having Felix in the application, but some interviewed participants wished to have another VC instead. These preferences are aligned with Lin et al.’s [41] study where users had mixed feelings about virtual pets in a VR application. For example, dog-lovers are more likely to enjoy spending time with virtual dogs than those who do not like dogs. Differences in VC preferences among the participants were also seen in the interview answers regarding the human VCs, Riitta the Guide and Elias the Freshman. For example, some participants liked Riitta because she was a familiar and likeable figure at the university, whilst other showed negative responses to her. Similarly, although Elias was a liked VC according to the questionnaire results, some interview answers proposed that he should be designed to better match the user’s own background. These differences in the participants’ VC preferences indicate a need for providing means of personalization of the VCs.
5.3. Answer to Research Question 2: How Emotionally Engaged Are Users of the HHVR Application in Terms of 12 FoB?
The second research question was answered by analyzing the results of the questionnaire and interviews on emotional engagement with the application. The results indicated that the HHVR application was able to elicit several of the 12 FoB (trust, excitement, frustration, empowerment, enjoyment, effectiveness, gratification, engagement, adjustability, ownership, contribution, and security) among the presenters and spectators. The presenters had stronger overall emotional engagement than the spectators, with means of all FoB scores of 3.6 and 3.22, respectively. Moreover, both groups gave relatively high ratings for engagement, effectiveness, security, trust, enjoyment, and excitement. Additionally, the presenters scored high on empowerment. Spectators experienced relatively a lot of frustration, which was linked to the choice of VCs in some interview answers. Moreover, we suspect that watching the VR contents through large screens can feel frustrating due to a lack of control and immersion.
The feeling of trust, which is an important aspect of any computer system from the user’s perspective, was felt by most of the participants. Possible reasons as to why HHVR invokes trust in the participants are as follows: the application is publicly available, having Riitta based on a real person to guide the user, good reputation of the application developers among the participants, and the ability to use the application without providing any personal information. These reasons can also contribute to the feeling of security as it is related to trust: poor security can have an adverse effect on trust.
The emotional engagement evaluation results indicated that the immersive experiences of the presenters contributed to stronger feelings of excitement and enjoyment. The interview analysis revealed that VCs influenced these and other emotions, thus suggesting that the choice of VCs can help improve emotional engagement in immersive VR applications for both spectators and presenters.
Although we are satisfied with the fact that the VCs in HHVR were able to emotionally engage the users, there is room for improvements in the implementation of the VCs. Riitta, Elias, and Felix were stupid in the sense that they were programmed to deliver the content upon the user’s explicit commands. Therefore, they did not sense or perceive any further information from the user’s context that would allow them to display more context-aware or affective behavior. An emotional model of VCs, such as the one proposed by Liu and Pan [17], could be utilized in the future to add the ability for the VCs to “read” the user through sensors like eye tracker, facial tracker, and EEG, thereby becoming more affective toward the user.
5.4. Answer to Research Question 3: Are There Any Relationships between the VC Preferences and Emotional Engagement in the HHVR Application?
The correlation analysis conducted on the questionnaire data on emotional engagement and VC preferences indicated several moderate and a few significant correlations between the experienced FoB and VC preferences. We found that the spectators‘ preferences for Riitta the Guide correlated positively with the feelings of trust (0.46), engagement (0.37), and security (0.35), whilst similar positive correlations were found between the spectators’ preferences for Felix the Cat and the feelings of trust (0.5) and engagement (0.38). These results suggest that Riitta the Guide and Felix the Cat can elicit trust in users; the interview results confirmed that the familiarity of Riitta was a factor in building trust toward the application. Moreover, the interview results also suggested that both Riitta and Felix help to make the application engaging. This means that animal characters and human characters based on real humans are potentially useful in immersive VR content as facilitators of trust and engagement among users. The interview results also identified connections between VCs and enjoyment and frustration.
The presenters’ questionnaire data revealed that their preferences for Riitta the Guide had positive correlations towards adjustability (0.53) and security (0.34), whereas their preferences for Felix the Cat correlated positively with effectiveness (0.35), gratification (0.39), and adjustability (0.53). In contrast, the presenters’ preferences for Elias the Freshman showed negative correlations with trust (−0.39), excitement (−0.32), enjoyment (−0.47), gratification (−0.44), and engagement (−0.39). In the case of spectators, preferences for Elias had weak correlations with the FoB, except for a moderate negative correlation with the feeling of empowerment (−0.31). Although these correlations were based on a small sample of presenters (N = 12), they indicate that unfamiliar VCs may have negative relationships with FoB. In the case of Elias, we can speculate that this can be because Elias may not feel as relatable and interesting as the other VCs; this was also suggested in the interview results. However, this requires further exploration in a future study.
The evidence garnered from the data analyses suggests that some relationships exist between the participants’ preferences of VCs and FoB that they experienced. However, further research is required to confirm these relationships and analyze their deeper nature. For example, it would be interesting to explore what aspects of the VCs contribute to the FoB. Similarly, it is necessary to study whether these relationships exist in other VR contents.
5.5. On Using eSports Method in UX Research
Most usability and UX experiments on immersive VR applications involve participants using the VR equipment individually or in groups. The eSports method used in this study has certain advantages over traditional methods. The financial and time costs per participant are lower in the eSports method than in traditional methods because a researcher can collect data from a large group of participants in a brief time with only a few VR devices. Related to this, it may be infeasible to collect data in large classrooms using dedicated HMDs for all students. Additionally, as cybersickness is a significant issue in VR application development [1], the eSports method allows those participants prone to cybersickness to experience VR contents as spectators. This is naturally less immersive than experiencing the contents via an HMD; however, it can be sufficient for many usability and UX testing scenarios, especially when evaluating prototypes. Our experience with the eSports method also helped us learn the differences between presenters and spectators.
5.6. Implications of the Findings
Immersive VR has become a mainstream digital media platform alongside computers, gaming consoles, and handheld devices. VR enables the user to embark on highly immersive virtual journeys, thus effectively disengaging them from their real-world context. VCs are essential in these experiences, as they often are used as key components of storytelling and interactions in the virtual world. Due to the importance of VCs in immersive VR experiences, they must be carefully designed and implemented. The findings of our study can facilitate this work by providing useful information about the influence of VC types on emotional engagement. One of the key findings was that using a realistic human VC that resembles a person who is likely to be known by the users can increase engagement, enjoyment, and trust; however, it may also bring negative reactions. This exemplifies the differences in the participants’ opinions and emotional engagement, which suggests that VR experience designers should consider implementing different types of VCs and personalizing the VC interactions according to the personal preferences and desired emotional engagement.
In addition to facilitating the design process of immersive VR, our study can also be of use in evaluating UX of immersive VR applications from the perspective of VCs and emotional engagement. Both the eSports setup and FoB model employed in this study can be effective methodological aids for UX researchers involved with immersive VR evaluations. Moreover, the initial findings regarding the influence of different VRs on emotional engagement can be explored further in other studies using different VCs and VR experiences. We expect that this area has much room for research because, to the best of our knowledge, this study is the first to explore the intersection of FoB, immersive VR, and VCs.
Until now, we have discussed VCs from the perspective of non-player characters that are controlled by the VR software and possibly influenced by data acquired from the user’s actions and expressions. Yet, there is another important application area of VCs, namely, the metaverse, for which multi-user VR is one of the key technologies. When multiple users simultaneously connect to a shared VR environment, they have VCs to represent themselves as avatars. These avatar VCs follow the user’s behavior and commands, and their appearance can be largely personalized. Although our study did not explore VCs in a multi-user VR environment, the results might be partially applicable to it. Our results suggested that different VCs can elicit different emotional reactions in users; this is likely to be true in the case of human avatars in VR as well. Although further research is required to understand what types of FoB, or emotions in general, can be associated with different types of avatar VCs in multi-user VR environments, the designers of such avatars can already consider the emotional engagement in the design process by considering previous research related to emotional design of virtual characters (e.g., [17,42,43]).
5.7. Limitations
This study has the following limitations. The sample sizes of the spectators and the presenters are significantly different. This imbalance was due to the use of the eSports mode, which was chosen as a time- and cost-effective UX evaluation method. Therefore, the results based on the presenters’ data lack reliability due to the small sample size. Aligned with this, the sample of size (N = 50) is not large enough to make the quantitative results statistically significant, so the results should be considered as indicative, not conclusive. Moreover, the use of an eSports setup also limits the results’ applicability to immersive VR because only the presenters experienced the content first-hand; however, the results can be useful in understanding emotional engagement in eSports setups. Another limitation is that the three different VCs were only evaluated in the context of the HHVR application, so the applicability of the results to other immersive VR applications remains to be evaluated. Moreover, interaction with Felix the Cat was limited to hide-and-seek and simple information provision, which is different from the dialogue-based interactions with Riitta the Guide and Elias the Freshman. Finally, this study did not consider other animal or creature VCs than cats. To gain a better understanding of the different effects of VCs on UX, more evaluations are needed with different immersive VR applications and VCs with a similar level of interactivity.
6. Conclusions and Future Work
In this study, we conducted a UX evaluation of the HHVR immersive VR application using an eSports setup to explore the preferences of the participants over different VCs, their emotional engagement, and relationships between the VC preferences and emotional engagement. The first research question investigated the presenters’ and spectators’ preferences on VCs including a realistic human character (Riitta the Guide), a fictional human character (Elias the Freshman), and a fictional animal character (Felix the Cat). The results revealed that all characters received mostly positive ratings except for Riitta who received mixed reactions from the spectators. Moreover, the presenters and spectators liked Felix the Cat the most, thus indicating that an animal VC, especially when used in conjunction with gamification, can be attractive to many users. The second research question explored whether the participants experienced the 12 FoB while using the HHVR application. The results indicated that most presenters and spectators felt several FoB, with engagement, effectiveness, security, trust, enjoyment, and excitement garnering high ratings from both groups. Additionally, the presenters’ scores for FoB were higher than those of the spectators, which indicates that first-hand immersive VR experience can provide higher emotional engagement than watching the experience from a large screen. Finally, the third research question sought to identify any relationships between the VC preferences and the investigated FoB. The findings showed that the spectators’ preferences for Riitta and Felix showed moderate positive correlations with trust and engagement, with preferences for Riitta also correlating positively with security. The presenters’ data showed negative correlations between Elias and trust, excitement, enjoyment, gratification, and engagement. Moreover, moderate positive correlations were identified between the presenters’ preferences for Felix and effectiveness, gratification, and adjustability, as well as between preferences for Riitta and adjustability and security. These findings indicate that a familiar human character and a cat character have a potential to increase emotional engagement among users in terms of FoB. However, this finding should be explored more with a larger sample size and different immersive VR contents.
The primary expected Impact of the results of this study is on developers of VR applications who are interested in incorporating VCs, particularly those that are based on real persons, fictional persons, or animals. In particular, our study results suggested that it would be beneficial for users to have the ability to personalize VCs, with animal-like avatars being likely to be particularly appealing to users. In addition, our analysis of emotional engagement in the application and the VCs revealed that FoB experienced by the spectators and presenters were not identical. Nevertheless, both groups reported FoB such as trust, enjoyment, engagement, and frustration during the interview sessions. We expect that FoB, in contrast to basic emotions, can be a useful instrument of VR application developers who are interested in the affective aspects of the UX in their application.
An additional finding in the study was that several participants wished to personalize the VCs and the gamification elements. As a future work, we aim at developing a customizable version of the HHVR application and evaluate the impact of the personalization on UX. In addition, as a future study, we plan to investigate how demographics like age and gender impact on construction of FoB in immersive VR applications.
Author Contributions
Conceptualization, A.D.; methodology, A.D.; software, A.D.; validation, A.D. and T.H.L.; formal analysis, A.D. and T.H.L.; investigation, A.D. and T.H.L.; resources, A.D. and T.H.L.; data curation, A.D.; writing—original draft preparation, A.D. and T.H.L.; writing—review and editing, A.D. and T.H.L.; visualization, A.D. and T.H.L.; supervision, A.D. and T.H.L.; project administration, A.D.; funding acquisition, A.D. and T.H.L. All authors have read and agreed to the published version of the manuscript.
Funding
This research was partly supported by the MSIT (Ministry of Science and ICT), Korea, under the ITRC (Information Technology Research Center) support program (IITP-2021-0-02051) supervised by the IITP (Institute for Information & Communications Technology Planning & Evaluation).
Data Availability Statement
Data are available from the first author on a reasonable request.
Acknowledgments
This work is dedicated to the beloved Arsen E. (RIP). We are thankful to staff and students who supported this project at Haaga-Helia University of Applied Sciences.
Conflicts of Interest
The authors declare no conflict of interest.
Appendix A
Table A1.
All correlations between emotional engagement and VC preferences among the presenters.
Table A1.
All correlations between emotional engagement and VC preferences among the presenters.
| Riitta the Guide | Elias the Freshman | Felix the Cat | |
|---|---|---|---|
| Trust | 0.139 | −0.388 | 0.034 |
| Excitement | −0.229 | −0.318 | 0.018 |
| Frustration | −0.353 | −0.039 | 0.068 |
| Empowerment | 0.000 | −0.233 | 0.000 |
| Enjoyment | −0.159 | −0.469 | 0.141 |
| Effectiveness | 0.071 | −0.082 | 0.349 |
| Gratification | 0.253 | −0.443 | 0.391 |
| Engagement | −0.280 | −0.388 | −0.324 |
| Adjustability | 0.535 | −0.035 | 0.477 |
| Ownership | −0.139 | −0.194 | −0.240 |
| Contribution | −0.096 | −0.209 | −0.103 |
| Security | 0.341 | 0.025 | 0.132 |
Table A2.
All correlations between emotional engagement and VC preferences among the spectators.
Table A2.
All correlations between emotional engagement and VC preferences among the spectators.
| Riitta the Guide | Elias the Freshman | Felix the Cat | |
| Trust | 0.464 | 0.212 | 0.495 |
| Excitement | 0.193 | −0.068 | 0.233 |
| Frustration | −0.074 | −0.088 | −0.192 |
| Empowerment | −0.026 | −0.312 | −0.013 |
| Enjoyment | 0.026 | 0.002 | 0.182 |
| Effectiveness | 0.204 | 0.132 | 0.229 |
| Gratification | 0.199 | −0.138 | 0.207 |
| Engagement | 0.374 | 0.139 | 0.379 |
| Adjustability | 0.266 | 0.101 | 0.104 |
| Ownership | 0.090 | −0.072 | −0.203 |
| Contribution | 0.245 | 0.084 | 0.135 |
| Security | 0.350 | 0.204 | 0.253 |
References
- Pan, X.; Hamilton, A.F.D.C. Why and How to Use Virtual Reality to Study Human Social Interaction: The Challenges of Exploring a New Research Landscape. Br. J. Psychol. 2018, 109, 395–417. [Google Scholar] [CrossRef] [PubMed]
- Irshad, S.; Perkis, A. Increasing User Engagement in Virtual Reality:The Role of Interactive Digital Narratives to Trigger Emotional Responses. In Proceedings of the 11th Nordic Conference on Human-Computer Interaction: Shaping Experiences, Shaping Society, Tallinn, Estonia, 25–29 October 2020. [Google Scholar]
- Hoppe, A.H.; van de Camp, F.; Stiefelhagen, R. ShiSha: Enabling Shared Perspective With Face-to-Face Collaboration Using Redirected Avatars in Virtual Reality. Proc. ACM Hum.-Comput. Interact. 2021, 4, 1–22. [Google Scholar] [CrossRef]
- Brivio, E.; Serino, S.; Negro Cousa, E.; Zini, A.; Riva, G.; De Leo, G. Virtual Reality and 360° Panorama Technology: A Media Comparison to Study Changes in Sense of Presence, Anxiety, and Positive Emotions. Virtual Real. 2021, 25, 303–311. [Google Scholar] [CrossRef]
- Reger, G.M.; Smolenski, D.; Norr, A.; Katz, A.; Buck, B.; Rothbaum, B.O. Does Virtual Reality Increase Emotional Engagement during Exposure for PTSD? Subjective Distress during Prolonged and Virtual Reality Exposure Therapy. J. Anxiety Disord. 2019, 61, 75–81. [Google Scholar] [CrossRef]
- Bastiaansen, M.; Oosterholt, M.; Mitas, O.; Han, D.; Lub, X. An Emotional Roller Coaster: Electrophysiological Evidence of Emotional Engagement during a Roller-Coaster Ride with Virtual Reality Add-On. J. Hosp. Tour. Res. 2022, 46, 29–54. [Google Scholar] [CrossRef]
- Allcoat, D.; von Mühlenen, A. Learning in Virtual Reality: Effects on Performance, Emotion and Engagement. Res. Learn. Technol. 2018, 26, 2140. [Google Scholar] [CrossRef]
- Alcañiz, M.; Rey, B.; Tembl, J.; Parkhutik, V. A Neuroscience Approach to Virtual Reality Experience Using Transcranial Doppler Monitoring. Presence Teleoperators Virtual Environ. 2009, 18, 97–111. [Google Scholar] [CrossRef]
- Tarr, M.J.; Warren, W.H. Virtual Reality in Behavioral Neuroscience and Beyond. Nat. Neurosci. 2002, 5, 1089–1092. [Google Scholar] [CrossRef]
- Riva, G.; Mantovani, F.; Capideville, C.S.; Preziosa, A.; Morganti, F.; Villani, D.; Gaggioli, A.; Botella, C.; Alcañiz, M. Affective Interactions Using Virtual Reality: The Link between Presence and Emotions. CyberPsychology Behav. 2007, 10, 45–56. [Google Scholar] [CrossRef]
- Chen, M.; Jin, Y.; Goodall, T.; Yu, X.; Bovik, A.C. Study of 3D Virtual Reality Picture Quality. IEEE J. Sel. Top. Signal. Process. 2020, 14, 89–102. [Google Scholar] [CrossRef]
- Slater, M. Immersion and the Illusion of Presence in Virtual Reality. Br. J. Psychol. 2018, 109, 431–433. [Google Scholar] [CrossRef] [PubMed]
- Chouinard-Thuly, L.; Gierszewski, S.; Rosenthal, G.G.; Reader, S.M.; Rieucau, G.; Woo, K.L.; Gerlai, R.; Tedore, C.; Ingley, S.J.; Stowers, J.R.; et al. Technical and Conceptual Considerations for Using Animated Stimuli in Studies of Animal Behavior. Curr. Zool. 2017, 63, 5–19. [Google Scholar] [CrossRef] [PubMed]
- Monteiro, D.; Liang, H.-N.; Wang, J.; Wang, L.; Wang, X.; Yue, Y. Evaluating the Effects of a Cartoon-Like Character with Emotions on Users’ Behaviour within Virtual Reality Environments. In Proceedings of the 2018 IEEE International Conference on Artificial Intelligence and Virtual Reality (AIVR), Taichung, Taiwan, 10–12 December 2018; pp. 229–236. [Google Scholar]
- Stein, J.P.; Ohler, P. Venturing into the Uncanny Valley of Mind—The Influence of Mind Attribution on the Acceptance of Human-like Characters in a Virtual Reality Setting. Cognition 2017, 160, 43–50. [Google Scholar] [CrossRef] [PubMed]
- Bekele, E.; Zheng, Z.; Swanson, A.; Crittendon, J.; Warren, Z.; Sarkar, N. Understanding How Adolescents with Autism Respond to Facial Expressions in Virtual Reality Environments. IEEE Trans. Visual. Comput. Graphics 2013, 19, 711–720. [Google Scholar] [CrossRef]
- Liu, Z.; Pan, Z.G. An Emotion Model of 3D Virtual Characters in Intelligent Virtual Environment. In Affective Computing and Intelligent Interaction; Tao, J., Tan, T., Picard, R.W., Eds.; Lecture Notes in Computer Science; Springer: Berlin/Heidelberg, Germany, 2005; Volume 3784, pp. 629–636. ISBN 978-3-540-29621-8. [Google Scholar]
- Russell, J.A. A Circumplex Model of Affect. J. Personal. Social. Psychol. 1980, 39, 1161. [Google Scholar] [CrossRef]
- Ratcliffe, M. The Feeling of Being. J. Conscious. Stud. 2005, 12, 43–60. [Google Scholar]
- Dirin, A.; Nieminen, M.; Laine, T.H. Feelings of Being for Mobile User Experience Design. Int. J. Hum.-Comput. Interact. 2022, 1–21. [Google Scholar] [CrossRef]
- Laine, T.H.; Lindberg, R.S.N. Designing Engaging Games for Education: A Systematic Literature Review on Game Motivators and Design Principles. IEEE Trans. Learning Technol. 2020, 13, 804–821. [Google Scholar] [CrossRef]
- Hassenzahl, M. User Experience (UX): Towards an Experiential Perspective on Product Quality. In Proceedings of the Proceedings of the 20th International Conference of the Association Francophone d’Interaction Homme-Machine, Metz, France, 2–5 September 2008. [Google Scholar]
- Hassenzahl, M.; Tractinsky, N. User Experience—A Research Agenda. Behav. Inf. Technol. 2006, 25, 91–97. [Google Scholar] [CrossRef]
- Rebelo, F.; Noriega, P.; Duarte, E.; Soares, M. Using Virtual Reality to Assess User Experience. Hum. Factors 2012, 54, 964–982. [Google Scholar] [CrossRef]
- Sagnier, C.; Loup-Escande, E.; Valléry, G. Effects of Gender and Prior Experience in Immersive User Experience with Virtual Reality. In Advances in Usability and User Experience: Proceedings of the AHFE 2019 International Conferences on Usability & User Experience, and Human Factors and Assistive Technology, Washington DC, USA, 24–28 July 2019; Springer: Berlin/Heidelberg, Germany, 2020. [Google Scholar]
- Ekman, P. Basic Emotions. Cognition 1999, 98, 45–60. [Google Scholar] [CrossRef]
- Kukkakorpi, M.; Pantti, M. A Sense of Place: VR Journalism and Emotional Engagement. J. Pract. 2021, 15, 785–802. [Google Scholar] [CrossRef]
- Kyrlitsias, C.; Michael-Grigoriou, D. Social Interaction With Agents and Avatars in Immersive Virtual Environments: A Survey. Front. Virtual Real. 2022, 2, 786665. [Google Scholar] [CrossRef]
- Ma, F.; Pan, X. Visual Fidelity Effects on Expressive Self-Avatar in Virtual Reality: First Impressions Matter. In Proceedings of the 2022 IEEE Conference on Virtual Reality and 3D User Interfaces (VR), Christchurch, New Zealand, 12–16 March 2022; pp. 57–65. [Google Scholar]
- Sloan, R.J.S. Virtual Character Design: For Games and Interactive Media; CRC Press LLC: Boca Raton, FL, USA, 2015; ISBN 978-1-4665-9819-5. [Google Scholar]
- Zibrek, K.; Kokkinara, E.; Mcdonnell, R. The Effect of Realistic Appearance of Virtual Characters in Immersive Environments—Does the Character’s Personality Play a Role? IEEE Trans. Visual. Comput. Graph. 2018, 24, 1681–1690. [Google Scholar] [CrossRef]
- Violante, M.G.; Vezzetti, E.; Piazzolla, P. How to Design a Virtual Reality Experience That Impacts the Consumer Engagement: The Case of the Virtual Supermarket. Int. J. Interact. Des. Manuf. 2019, 13, 243–262. [Google Scholar] [CrossRef]
- Bailenson, J.N.; Blascovich, J.; Beall, A.C.; Loomis, J.M. Equilibrium Theory Revisited: Mutual Gaze and Personal Space in Virtual Environments. Presence Teleoperators Virtual Environ. 2001, 10, 583–598. [Google Scholar] [CrossRef]
- Ochs, M.; Niewiadomski, R.; Pelachaud, C. Facial Expressions of Emotions for Virtual Characters. In the Oxford Handbook of Affective Computing; Oxford University Press: New York, NY, USA, 2015; pp. 261–272. [Google Scholar]
- Cabral, J.P.; Cowan, B.R.; Zibrek, K.; McDonnell, R. The Influence of Synthetic Voice on the Evaluation of a Virtual Character. In Proceedings of the Interspeech 2017, ISCA, Stockholm, Sweden, 20–24 August 2017; pp. 229–233. [Google Scholar]
- Karapanos, E.; Zimmerman, J.; Forlizzi, J.; Martens, J. User Experience over Time: An Initial Framework. In Proceedings of the 27th SIGCHI Conference on Human Factors in Computing Systems, Boston, MA, USA, 4–9 April 2009; pp. 729–738. [Google Scholar] [CrossRef]
- Hussein, M.; Nätterdal, C. The Benefits of Virtual Reality in Education: A Comparison Study. Bachelor’s Thesis, University of Gothenburg, Chalmers University of Technology, Gothenburg, Sweden, 2015. [Google Scholar]
- Saballe, C.; Le, H.; Dirin, A. Experience Changes the Perceptions and Feelings: A Case Study on MVR Application in Educational Context. In Proceedings of the 10th International Conference on Education and New Learning Technologies, Palma, Spain, 2–4 July 2018; pp. 10204–10213. [Google Scholar]
- Piumsomboon, T.; Lee, G.A.; Hart, J.D.; Ens, B.; Lindeman, R.W.; Thomas, B.H.; Billinghurst, M. Mini-Me: An Adaptive Avatar for Mixed Reality Remote Collaboration. In Proceedings of the Conference on Human Factors in Computing Systems, Montreal, QC, Canada, 21–26 April 2018. [Google Scholar]
- Nicola, S.; Virag, I.; Stoicu-Tivadar, L. VR Medical Gamification for Training and Education. In eHealth; IOS Press: Amsterdam, the Netherlands, 2017. [Google Scholar]
- Lin, C.; Faas, T.; Brady, E. Exploring Affection-Oriented Virtual Pet Game Design Strategies in VR Attachment, Motivations and Expectations of Users of Pet Games. In Proceedings of the 2017 7th International Conference on Affective Computing and Intelligent Interaction, ACII, San Antonio, TX, USA, 23–26 October 2017. [Google Scholar]
- del Valle-Canencia, M.; Moreno Martínez, C.; Rodríguez-Jiménez, R.-M.; Corrales-Paredes, A. The Emotions Effect on a Virtual Characters Design—A Student Perspective Analysis. Front. Comput. Sci. 2022, 4, 892597. [Google Scholar] [CrossRef]
- Korn, O.; Stamm, L.; Moeckl, G. Designing Authentic Emotions for Non-Human Characters: A Study Evaluating Virtual Affective Behavior. In Proceedings of the 2017 Conference on Designing Interactive Systems, Edinburgh, UK, 10–14 June 2017; ACM: Edinburgh, UK, 2017; pp. 477–487. [Google Scholar]
Disclaimer/Publisher’s Note: The statements, opinions and data contained in all publications are solely those of the individual author(s) and contributor(s) and not of MDPI and/or the editor(s). MDPI and/or the editor(s) disclaim responsibility for any injury to people or property resulting from any ideas, methods, instructions or products referred to in the content. |
© 2023 by the authors. Licensee MDPI, Basel, Switzerland. This article is an open access article distributed under the terms and conditions of the Creative Commons Attribution (CC BY) license (https://creativecommons.org/licenses/by/4.0/).




