Next Article in Journal
Enhanced Synchronization Algorithms for BOC Signals Based on Reconstructed Sub-Correlation Functions
Previous Article in Journal
Characterization of Low-Latency Next-Generation eVTOL Communications: From Channel Modeling to Performance Evaluation
 
 
Font Type:
Arial Georgia Verdana
Font Size:
Aa Aa Aa
Line Spacing:
Column Width:
Background:
Article

An Electronic Microsaccade Circuit with Charge-Balanced Stimulation and Flicker Vision Prevention for an Artificial Eyeball System

1
Graduate School of Engineering, Tohoku University, Sendai 980-8579, Japan
2
Graduate School of Biomedical Engineering, Tohoku University, Sendai 980-8579, Japan
3
Graduate School of Engineering, Nagasaki Institute of Applied Science, Nagasaki 851-0193, Japan
*
Author to whom correspondence should be addressed.
Electronics 2023, 12(13), 2836; https://doi.org/10.3390/electronics12132836
Submission received: 28 May 2023 / Revised: 21 June 2023 / Accepted: 24 June 2023 / Published: 27 June 2023

Abstract

This paper presents the first circuit that enables microsaccade function in an artificial eyeball system. Currently, the artificial eyeball is receiving increasing development in vision restoration. The main challenge is that the human eye is born with microsaccade that helps refresh vision, avoiding perception fading while the gaze is fixed for a long period, and without microsaccade, high-quality vision restoration is difficult. The proposed electronic microsaccade (E-μSaccade) circuit addresses the issue, and it is intrinsically safe because only charge-balanced stimulus pulses are allowed for stimulation. The E-μSaccade circuit adopts light-to-frequency modulation; due to the circuit’s leakage and dark current of light-sensitive elements, stimulus pulses of a frequency lower than tens of Hz occur, which is the cause of flickering vision. A flicker vision prevention (FVP) circuit is proposed to mitigate the issue. The proposed circuits are designed in a 0.18 μm standard CMOS process. The simulation and measurement results show that the E-μSaccade circuit helps refresh the stimulation pattern and blocks the low-frequency output.

1. Introduction

The ability to see is arguably humans primary information source. Millions of people worldwide suffer from eye diseases that can steal their vision, resulting in an increasing demand for vision restoration [1,2]. Individuals’ quality of life (QoL) could be lowered significantly if any internal or external cause robs them of their vision. Unfortunately, age-related macular degeneration (AMD) and retinitis pigmentosa (RP), for example, can kill the photoreceptor cells in the human retina and finally lead to blindness. However, if the rest of the retinal cells are alive, vision restoration for patients with AMD and RP is possible by releasing electrical stimulation to the retinal nerve [3,4,5]. Other than AMD and RP, diabetic retinopathy, eye cancer, and severe glaucoma are also common causes of blindness. Hyperglycemia can destroy the capillaries and the layers of cells that support them in the retina, which is the cause of diabetic retinopathy [6]. High intraocular pressure in glaucoma can cause damage and the loss of ganglion cells [7]. Therefore, retinal prostheses become unavailable since no living cell exists for impulse generation and transmission.
Currently, artificial eyeballs show their strength in humanoid robots [8]. In the early days, vision restoration was demonstrated by connecting a television camera to a patient’s visual cortex [9]. The previous work included a small computer, peripheral circuitry on a belt, and cables connecting with the patient’s brain. Although vision perception was generated successfully, the drawback is the risk of infection and the high failure rate of the complex system [10]. Advanced CMOS technology allows imaging and stimulation elements to be integrated into one chip, which makes a compact artificial vision system with high power efficiency possible. For powering the system, inductive links and photovoltaic cells are promising candidates [11,12,13]. Providing minor modifications, an artificial eyeball system mimicking the human eye can support vision restoration for virtually any blindness.
Figure 1 depicts an artificial eyeball system with an integrated image sensor and stimulator, which act as photoreceptor cells for light-to-nerve impulse conversion. In some previous studies, wireless power transfer was realized with the inductive coil, and a battery was expected to stabilize the power supply [11,14]. However, the human eye is born with an important ability, microsaccade, to prevent vision from fading [15,16,17,18,19]. In general, a strong neural response is generated in the biological eye when receiving rapid spatial and temporal brightness changes. With this feature, the human eye can efficiently detect subtle differences. The price to pay is that the still objects will fade away gradually due to neural adaptation. To counteract the issue, it is required to regularly refresh vision information.
Retinal prostheses are installed on the retina and share the eye’s movement, while the artificial eyeball has no connection with the eye muscle. Therefore, it has no vision refresh. Neural adaptation can arise when the gaze is fixed for a long period of time. For this reason, a weak response would be generated and finally fade away. Without addressing the issue, the user must constantly move the eyes for non-fading vision. In this work, the proposed approach adopts a customized circuit to regularly vary the vision information used for stimulation to alleviate vision fading. The details are included in Section 2.
As shown in Figure 2, because the charge balance of the stimulus current would be broken, a charge-balancing circuit is required for safe operation. In addition, low-frequency stimulus current can be generated because of transistor leakage and the photodiode’s dark current, resulting in flickering phosphenes [20,21,22,23,24,25,26,27]. This study is the first to propose the flicker vision prevention (FVP) circuit for dealing with the issue.
In this paper, we extend our previous work [28,29]. First, the methodology for designing the electronic microsaccade (E-μSaccade) circuit is described. Next, charge-balancing and FVP circuits are presented. Section 3 shows the experimental results. Discussion and conclusions are in Section 4 and Section 5, respectively.

2. Materials

2.1. Behavioral Model of Biological Eye

As depicted in Figure 3, the eyeball is constantly driven to move the gaze. The fixational eye movement, microsaccade, can prevent vision fading caused by neural adaptation [30]. In general, microsaccades show an amplitude of 1–120 arcmin and a frequency of 0.1–33 Hz [15]. The movement with 24 arcmin increases visibility most effectively, while the stimulus current with a frequency higher than 10 Hz is detrimental [31]. In our previous work, the pixel size of the retinal prosthesis was 75 × 75 μm2, which can be translated into an angular separation of lines of 21.5 arcmin on the retina [28,32,33].
The cause of vision fading and the proposed solution when implanted with artificial eyeballs are shown in Figure 4a,b, respectively. The yellow circles represent electrodes being activated. When a fixed stimulus current pattern is applied to the neuron for a long period of time, the related neurons generate a gradually diminishing response and eventually stop action, like when the gaze is fixed. The issue becomes prominent as visually impaired patients usually interact with stationary objects. It has been reported that users of the artificial eye circuit must learn to recognize objects through a fading image [34].
Mathematically, the microsaccade acts the same as a slight movement of geometric figures. The operation can be translated as image convolution with a time-varying kernel, as shown in Figure 5. The kernel has only one non-zero element, and the value is always 1 (the black square). Applying the convolution to the retinal image can achieve image shifting, or microsaccade, in other words.
There are two possible solutions for generating fixational eye movement in the artificial eyeball: (1) vibrating the lens system to vary the light pattern; (2) electrically re-routing the signal from an image sensor pixel to a biphasic current source (BCS). The former requires motion elements, and the risk of mechanical failure is high. This work employs an electrical solution for better reliability. As shown in Figure 6, with the proposed E-μSaccade circuit, the stimulation pattern is moved slightly in random directions, like the microsaccade in the biological eye (Figure 3). The refresh rate is designed to be as close as possible to that of the biological eye so that the human brain can filter out the small image jitter. The elicited phosphenes are, therefore, stable and non-fading.
The E-μSaccade circuit connects nine adjacent stimulus trigger generators (STG) to one BCS and keeps the charge balanced during the circuit’s operation. For activating vision neurons, the stimulus current depolarizes the cell membrane first and resets the membrane potential back to the resting potential [35]. The waveform parameters of stimulus current, such as pulse width and amplitude, must be designed elaborately to make the neurons respond to the stimulus current as maximally as possible. Since the E-μSaccade circuit connects the image sensor pixel to different electrodes and all the pixels work asynchronously, there are risks of charge imbalance because the matching between anodic and cathodic pulses can be broken, as shown in Figure 2. Unbalanced stimulation would result in incorrect visual perception and damage to the nerve cells. In this work, the issue is mitigated by the proposed charge-balancing multiplexer (CBMUX). It improves the device’s safety by making the anodic and cathodic pulses well-matched.

2.2. Implementation of Electronic Microsaccade Circuit

2.2.1. Light-to-Frequency Modulation

The STG is for light-to-frequency modulation. Its schematic is shown in Figure 7. Ambient light is converted into frequency-modulated VCTSTG and VATSTG signals for triggering the BCS. In this work, a p-diffusion/n-well/p-sub structure photodiode is adopted for light sensing. In future development, the light-sensing element will be moved to an image sensor chip, and the STG will be in the stimulator chip. They can be connected through 3D-stacking technology. Following the photodiode, the current mirrors copy and amplify the photocurrent and then feed it to the modulation circuit. As shown in Figure 8 and described by Equations (1)–(5), the frequency of VCTSTG and VATSTG signals is a function of photocurrent.
The timing diagram of STG is depicted in Figure 8. If the DISSTG signal is 1, no stimulus current pulse appears on the output. The capacitor CA determines the stimulus current’s pulse repetition frequency (PRF). CA is charged to the power rail after the reset phase. Then the photocurrent continuously discharges the CA, and a Schmitt trigger monitors if VA crosses the threshold voltage VSCH. The RS latch in Figure 7 is for controlling the operation phase switching.
The pulse width of VCTSTG is given by Equation (3). In the beginning, the RS latch is in the initial state (Q = 0 and QN = 1), and when VA reaches VSCH, the AND gate outputs 1, turning on the current source IB, and the cathodic pulse starts. After the Schmitt trigger flips to high, the capacitor CB begins to be charged. The stored VB is compared with the reference voltage VCW, and the result is sent to the S terminal of the latch. If VB crosses VCW, the VCTSTG signal is stopped, and VB is reset to 0 right after.
When Q changes to high, VC starts to ramp up from 0 V. At the beginning, both current sources on the output terminal are turned off, and the electrode is in a high impedance state until VC exceeds VGAP. The VATSTG pulse starts after VC crosses VGAP and finishes when VC reaches VAW. The switch, SW, is for resetting and making the operation sustainable. When VC exceeds VAW, VA is charged to the power rail. Since each pixel in the stimulator can decide to output individually, the global clock is not required.
f = 1 T D I S + T V C T + T G A P + T V A T
T D I S = C A V D D V S C H I A
T V C T = C B V C W I B
T G A P = C C V G A P I C
T V A T = C C V A W V G A P I C
The above formulas calculate the key parameter of stimulus current. The PRF of the stimulus pulses is represented by f. TVCT is the pulse width of the cathodic pulse, and TVAT is the pulse width of the anodic pulse. TGAP represents the interval between cathodic and anodic pulses, which helps to reduce the stimulation threshold [36,37,38]. TDIS is the interval between two stimulation periods where no stimulus current appears. The threshold voltage of the Schmitt trigger is represented by VSCH. The current flows into capacitors CA, CB, and CC, which are represented by IA, IB, and IC, respectively.
In the proposed circuit, to save space and achieve large capacitance, MIM capacitors are used. The process variation can result in circuit mismatches, lowering performance and reliability. Later, the effect will be described in Section 3.

2.2.2. Flicker Vision Prevention Circuit

Continuous vision perception is available when the PRF of the biphasic current is sufficiently high. The STG should not generate VCTSTG and VATSTG signals whose frequency is lower than the perception threshold to avoid flickering vision. However, due to the transistor’s leakage current and the photodiode’s dark current, slow VCTSTG and VATSTG signals are generated even without ambient light. For this reason, dark backgrounds or objects are represented by low-frequency stimulus pulses. The patients can perceive flickering patterns that correspond to the dark area. To improve image quality, the low-frequency stimulus current must be cut off.
The schematic of the FVP circuit is shown in Figure 9. It comprises AND gates, a timing capacitor CD, and an RS latch. The electrode must be connected to the ground in the period between the cathodic and anodic pulses to release the residual charge on the cell membrane after the cathodic and anodic pairs are absorbed. The DISSTG signal is high during these periods. A slow DISSTG indicates a long stimulation period, and vice versa.
The timing diagram of the FVP circuit is plotted in Figure 10. VD ramps up when both the power down and DISSTG are logically high. If EN is 1, VCTSTG and VATSTG signals are allowed to pass through. With low illuminance conditions, the high level of DISSTG lasts so long that VD exceeds the threshold voltage of the latch and EN is set to low, stopping the stimulus pulse. When DISSTG becomes low, the S terminal of the latch turns low instantly, and so does VD. However, the R terminal remains high for a short period because of the additional delay. Therefore, EN is kept at 0, and all VCTSTG and VATSTG pulses are blocked. EN is reset to high when a rising edge of the DISSTG signal occurs. The FVP circuit enters the next operation period. With higher stimulation frequencies, because DISSTG is short and VD does not cross the trigger threshold, EN stays at 1, allowing pulses to pass through.

2.2.3. Charge-Balancing Multiplexer for Safe Electronic Microsaccade

The core component of the E-μSaccade circuit is the CBMUX; the schematic is depicted in Figure 11. In the CBMUX, the 9-channel MUX selects VCT and VAT signals according to the pixel selection code (PSC). The definition of PSC is listed in Table 1. DFF1 receives an external clock signal, CLKMS, and DFF2 controls the phase switching. DFF3 generates a DISO signal for residual charge release during two stimulation periods. For charge balancing, DFF4 and DFF5 count the VCTI pulses and change the circuit state properly. Then stimulus trigger signals VATO and VCTO are generated after two rising edges of the VCTI. For not breaking the matched pulses, a latch is used to save PSC temporally.
The timing diagram of CBMUX is shown in Figure 12. For simplicity, only two related channels, VCTFVP,1–2 and VATFVP,1–2, are demonstrated. The CLKMS signal controls circuit-state switching. Before t2, there is no clock signal. VCTFVP,1 and VATFVP,1 pass through CBMUX to VCTO and VATO. Then, CLKMS rises at t2, indicating that a switching event occurs. At the same time, a PSC is fed to the CBMUX. The switching event is recorded by setting the SW signal to 1. VCTO and VATO follow VCTFVP,1 and VATFVP,1 because the latch holds the previous PSC. At t4, a stimulation period is completed. The latch is enabled because EN is high, and the new PSC is sent to the MUX. Then the MUX selects VCTFVP,2 and VATFVP,2. Meanwhile, TG is pulled low, stopping the stimulus-triggered pulses. No pulse is allowed between t4 and t5. To not break down the charge balance, two DFFs are used for counting the VCTI signal. When VCTI triggers the circuit reset procedure at t5, the circuit is reset to the initial state (SW = 0, EN = 0, TG = 1). With this mechanism, the anodic and cathodic pulses are well matched.

3. Results

Circuit simulation is conducted for functional verification. The photodiode in STG is replaced with a current source, and a resistor of 10 kΩ is added to the electrode terminal of BCS as a tissue load. First, the FVP circuit is turned off to verify the time-domain response of STG. A current step is applied to the STG. Due to the fact that incident light is attenuated in the eyeball when reaching the retina, the STG is designed to work with low illuminance. The current steps are from 1 pA to 100 pA at 0 s. Figure 13a shows the frequency step of the stimulus current, and the input current step is plotted. The corresponding waveform of stimulus current (converted into voltage with a 10 kΩ resistor) is plotted in Figure 13b. The results report that the STG can correctly track the rapid change of incident light. Figure 13c depicts the frequency variation of stimulus current when photocurrent ramps from 1 pA at 0 s to 100 pA at 1 s. Despite some nonlinear distortion, STG gives a satisfactory result in tracking the ramp change of the photocurrent. The corresponding time-domain waveform is shown in Figure 13d.
Due to the unavoidable process variation, the frequency of biphasic current can vary from wafer to wafer or lot to lot. Figure 14a,b show the Monte Carlo simulation of the proposed circuit. As a reference, the red lines indicate the measured results. Process variation can change the threshold of transistors. An elaborately designed layout can minimize the mismatch. Furthermore, the transistors in digital parts act as switches; they are robust to process variation.
The most variation-vulnerable component in the circuit is the capacitor, which has good matching characteristics but whose absolute value is greatly affected by manufacturing. As described in Equations (1)–(5), the capacitors CA, CB, and CC determine the PRF and pulse width of biphasic current. With a well-designed layout, the cathodic and anodic pulse widths still well match each other, maintaining the charge balance. On the other hand, the PRF of stimulus current varies between 4~34 Hz with 1 pA photocurrent and 46~276 Hz with 100 pA photocurrent. It means that trimming is necessary, and it can be done through the configuration of the current source IA, IB, and IC in the STG.
Next, the FVP circuit is enabled for functional verification. The photocurrent is swept from 1 pA to 100 pA with ten steps per decade. The flicker fusion threshold is set to 10 pA (corresponding to a PRF of about 50 Hz). As shown in Figure 15, when the current is lower than 10 pA, the frequency of VCTSTG and VATSTG pulses is below the flicker fusion threshold, and the FVP circuit blocks the stimulus current. Therefore, no current pulse occurs on the output of BCS, as marked by the circle.
With a larger input current, the pulse width of DISSTG becomes short enough. As shown in Figure 10, the accumulated voltage on the capacitor will not cross the threshold of the latch; the EN signal is always high. The FVP circuit allows VCTSTG and VATSTG signals to pass through. The BCS generates the current pulse as usual.
To verify the E-μSaccade function, a circuit prototype is fabricated in a 0.18 μm standard CMOS process. Table 2 summarizes the design information. Figure 16a–c show the micrograph of the E-μSaccade circuit. As shown in Figure 16d, a probe card is used to apply the necessary signals to the fabricated chip and read the biphasic stimulus current, and a light source is used to provide the test light pattern to the circuit. The CBMUX array is designed as a 3 × 3 array, the minimum required pixel number to perform microsaccade operation for conducting microsaccade operation. To maximize the illumination difference for better output observation, the four SCG are maximally separated. The distance between them is about 700 μm.
The block diagram of the measurement setup is shown in Figure 17. Four STG are configured to sense ambient light (corresponding to the PSC of 0, 2, 5, and 7). A signal generator is used for directly feeding frequency-controllable VCT and VAT signals to the rest of the input terminals of CBMUX (corresponding to the PSC of 1, 3, 4, 6, and 8). The center BCS is connected to an oscilloscope for monitoring the stimulus current waveform. Thus, the biphasic current with different frequencies can be observed on the oscilloscope by sending the proper value of PSC to CBMUX.
A PSC of 4 sets the CBMUX to connect the STG4 running at 160 Hz to the BCS connected to an oscilloscope. Therefore, a biphasic current of 160 Hz can be observed, as shown in Figure 18. Although in practice, the stimulus current is tens of μA not to hurt the retina cell. This test sets the stimulus current to a higher level for better observation. With the fabrication process and the designed transistor size, the maximum output current is about 80 μA, which is translated into ±0.8 V by the 10 kΩ tissue load resistor. To verify dynamic microsaccade operation, PSC is varied every 100 ms (10 Hz) and 1 s (1 Hz), and the CBMUX changes the signal path from different STGs to the center BCS.
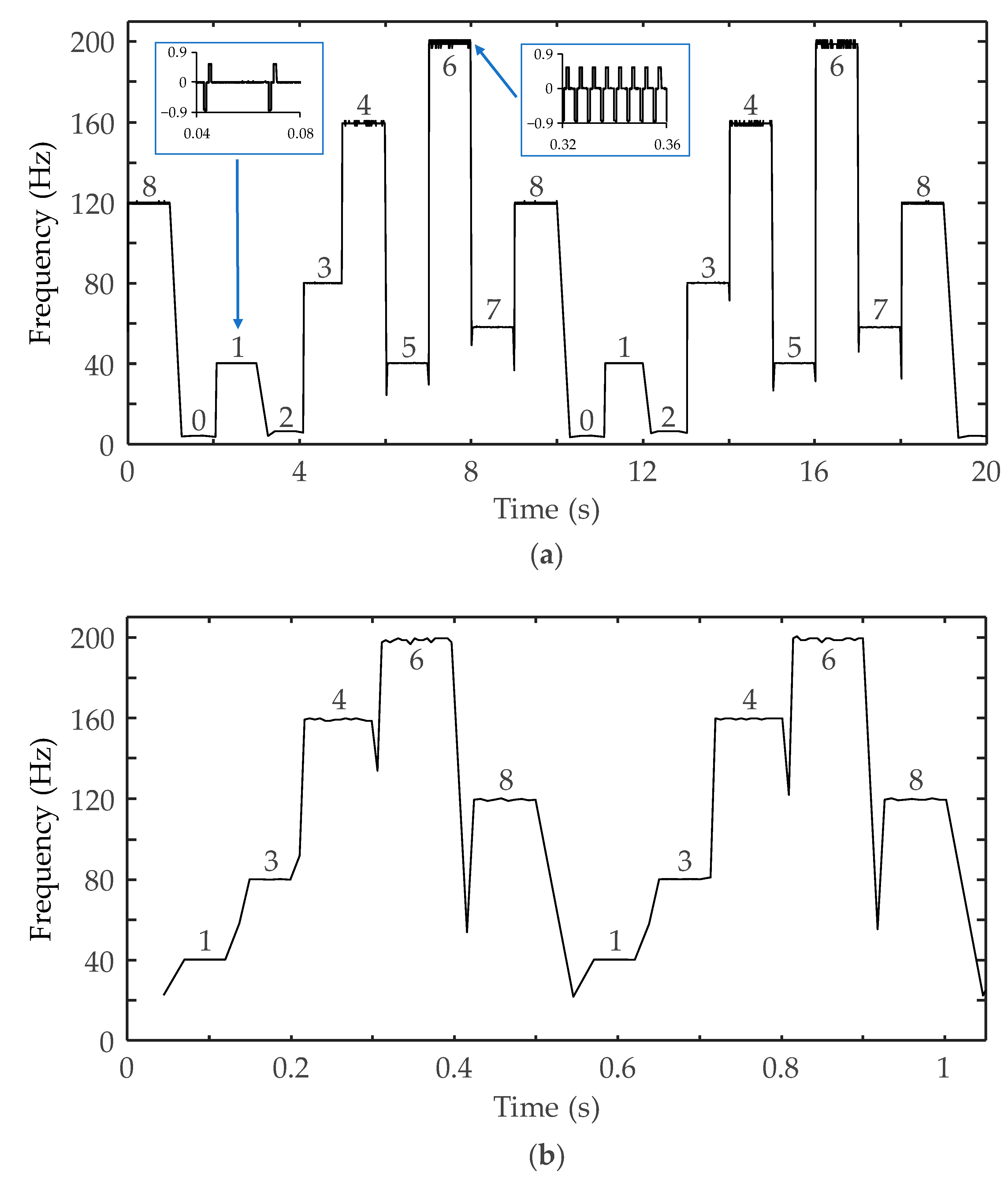
The frequency variation of biphasic current during microsaccade operation is shown in Figure 19. First, the frequency of CLKMS is set to 1 Hz. When fed by a PSC sequence of {0, 1, 2, 3, 4, 5, 6, 7, 8, 9}, the frequency of the biphasic current of the center BCS varies in the order of {4 Hz, 40 Hz, 6 Hz, 80 Hz, 160 Hz, 40 Hz, 200 Hz, 58 Hz, and 120 Hz}, and then returns to 4 Hz again. The frequency of stimulus current is stable during the silent phase of the microsaccade, which is expected to provide a more stable visual perception.
Due to the high operation speed of pattern movement, only several stable pulses can be sent out in a short microsaccade period (0.1 s) when the PRF of the stimulus current is as low as tens of Hz. When the CLKMS is increased to 10 Hz and a PSC sequence of {1, 3, 4, 6, and 8} is fed to the circuit, the frequency drop that comes from signal switching is no longer negligible. Details about the frequency drop are in Section 4.

4. Discussion

The main function of the proposed circuit relies on VAT and VCT signals. Therefore, any improper waveform, such as a glitch, can lead to the malfunction of the circuit. In the STG shown in Figure 7, QN must be reset to 1 only when the output of the Schmitt trigger falls to the ground. If not, a glitch can be generated on the VCT signal line. Although a narrow pulse of several tens of nanoseconds would not affect the neurons’ charge balance, the timing chart of the proposed circuit could break down. Therefore, an additional delay must be considered at the R terminal of the latch.
The artificial eyeball system must satisfy the need for low power consumption. In the FVP circuit shown in Figure 8, given a slow-varying stimulus trigger signal, the dynamic current of the RS latch can be too large to prevent normal operation. Therefore, an inverter with a large L/W ratio is added to the R terminal of the latch to avoid excessive dynamic current and introduce an extra delay for correct operation.
In Figure 13c, the conversion gain degenerates when the photocurrent is high. The reason for the results is that the portion of the stimulation period (TVCT + TVAT + TGAP = 3 ms) is small at low frequency, and the DIS signal dominates the PRF of the stimulus current. As the biphasic current goes faster, the DIS phase, the variable portion, also becomes shorter. Finally, the PRF will converge to the theoretical limit of 333 Hz (TVCT = TVAT = TGAP = 1 ms).
For stable visual perception, a slow microsaccade operation is desired. If the operation speed of the microsaccade is too fast, the vision nerve cannot receive enough pulses to generate perception. The results shown in Figure 19a,b indicate that if allowed in clinical usage, the microsaccade operation should be in the range of seconds, and they match the finding in [30] well that high-frequency eye movement is detrimental to visual perception.
In our previous work, the vision fading problem in vision restoration was found and addressed. However, the artificial eyeball still suffers from flickering vision problems. There is no current work that focuses on the issue. This work proposed and added the flicker vision prevention circuit to the microsaccade circuit, making it the first practical artificial vision system.
In the future, to build a fully functional artificial eyeball system, all the verified building blocks in this work will be expanded into a full array with 32 by 32 pixels for achieving simple pattern recognition. For solving the mismatch problem, binary stimulation instead of continuous stimulation can be adopted, which means that only pixels with brightness over the threshold are allowed to send out stimulation current. To connect the proposed artificial eye circuit to the visual neuron, a cuffless electrode that surrounds the optic nerve or a Utah array that deepens into brain tissue can be considered.

5. Conclusions

The artificial eyeball is becoming a promising treatment for every blindness, which replaces the biological eye and restores vision for virtually all blindness. In the human eye, microsaccade is critical to avoiding vision fading. This study is the first to focus on mimicking microsaccades in the biological eye. In addition, the flickering vision comes from low-frequency stimulus current, and charge imbalance issues are also considered.
A 3 × 3 circuit prototype is designed and fabricated for function verification in the TSMC 0.18 μm CMOS process. In the future, the simulation results will show that the light-to-frequency ratio correctly tracks the ambient light change and that the FVP circuit stops the stimulation in low illuminance conditions. The measurement results show that the circuit can move the image in eight directions at the frequency given by the global clock. Furthermore, pre-defined commands define the direction of the movement. The stimulus current waveform shows that no pulse mismatch occurs. With the proposed E-μSaccade circuit, the vision fading issue can be alleviated, and the more visually impaired can benefit from the artificial eyeball system.

Author Contributions

Conceptualization, Y.L., B.D. and T.T.; methodology, Y.L., K.N. and B.D.; validation, Y.L., S.W., B.I. and Y.A.; formal analysis, Y.L.; investigation, Y.L. and K.N.; resources, H.K., T.F. and K.K.; writing—original draft preparation, Y.L.; writing—review and editing, Y.L. and T.T.; supervision, T.T.; funding acquisition, T.T. All authors have read and agreed to the published version of the manuscript.

Funding

This work was partly funded by JSPS KAKENHI Grant Number 21H04951.

Data Availability Statement

Not applicable.

Acknowledgments

This work was supported by JSPS KAKENHI Grant Number 21H04951. This work was also supported through the activities of VDEC, The University of Tokyo, in collaboration with Cadence Design Systems and Siemens Electronic Design Automation Japan K.K. Y.L. appreciates the financial support from the China Scholarship Council (Grant Number: 201806380013).

Conflicts of Interest

The authors declare no conflict of interest.

References

  1. Bourne, R.; Steinmetz, J.D.; Flaxman, S.; Briant, P.S.; Taylor, H.R.; Resnikoff, S.; Casson, R.J.; Abdoli, A.; Abu-Gharbieh, E.; Afshin, A.; et al. Trends in Prevalence of Blindness and Distance and near Vision Impairment over 30 Years: An Analysis for the Global Burden of Disease Study. Lancet Glob. Health 2021, 9, e130–e143. [Google Scholar] [CrossRef]
  2. Zrenner, E. Fighting Blindness with Microelectronics. Sci. Transl. Med. 2013, 5, 210ps16. [Google Scholar] [CrossRef]
  3. Weiland, J.D.; Humayun, M.S. Retinal Prosthesis. IEEE Trans. Biomed. Eng. 2014, 61, 1412–1424. [Google Scholar] [CrossRef]
  4. Ong, J.M.; da Cruz, L. The Bionic Eye: A Review. Clin. Experiment. Ophthalmol. 2012, 40, 6–17. [Google Scholar] [CrossRef]
  5. Chuang, A.T.; Margo, C.E.; Greenberg, P.B. Retinal Implants: A Systematic Review. Br. J. Ophthalmol. 2014, 98, 852–856. [Google Scholar] [CrossRef]
  6. Hammes, H.-P.; Feng, Y.; Pfister, F.; Brownlee, M. Diabetic Retinopathy: Targeting Vasoregression. Diabetes 2011, 60, 9–16. [Google Scholar] [CrossRef]
  7. El-Danaf, R.N.; Huberman, A.D. Characteristic Patterns of Dendritic Remodeling in Early-Stage Glaucoma: Evidence from Genetically Identified Retinal Ganglion Cell Types. J. Neurosci. 2015, 35, 2329–2343. [Google Scholar] [CrossRef] [PubMed]
  8. Gu, L.; Poddar, S.; Lin, Y.; Long, Z.; Zhang, D.; Zhang, Q.; Shu, L.; Qiu, X.; Kam, M.; Javey, A.; et al. A Biomimetic Eye with a Hemispherical Perovskite Nanowire Array Retina. Nature 2020, 581, 278–282. [Google Scholar] [CrossRef]
  9. Dobelle, W.H. Artificial Vision for the Blind by Connecting a Television Camera to the Visual Cortex. ASAIO J. 2000, 46, 3–9. [Google Scholar] [CrossRef]
  10. Rush, A.D.; Troyk, P.R. A Power and Data Link for a Wireless-Implanted Neural Recording System. IEEE Trans. Biomed. Eng. 2012, 59, 3255–3262. [Google Scholar] [CrossRef]
  11. Tomioka, K.; Toyoda, K.; Ishizaki, T.; Noda, T.; Ohta, J.; Kimura, M. Retinal Prosthesis Using Thin-Film Devices on a Transparent Substrate and Wireless Power Transfer. IEEE Trans. Electron. Devices 2020, 67, 529–534. [Google Scholar] [CrossRef]
  12. Wu, C.-Y.; Tseng, C.-K.; Liao, J.-H.; Chiao, C.-C.; Chu, F.-L.; Tsai, Y.-C.; Ohta, J.; Noda, T. CMOS 256-Pixel/480-Pixel Photovoltaic-Powered Subretinal Prosthetic Chips with Wide Image Dynamic Range and Bi/Four-Directional Sharing Electrodes and Their Ex Vivo Experimental Validations with Mice. IEEE Trans. Circuits Syst. Regul. Pap. 2020, 67, 3273–3283. [Google Scholar] [CrossRef]
  13. Lemaire, W.; Benhouria, M.; Koua, K.; Besrour, M.; Gauthier, L.-P.; Martin-Hardy, G.; Rossignol, T.; Roy, S.; Fontaine, R. Retinal Stimulator ASIC Architecture Based on a Joint Power and Data Optical Link. IEEE J. Solid-State Circuits 2021, 56, 2158–2170. [Google Scholar] [CrossRef]
  14. Kelly, S.K.; Shire, D.B.; Chen, J.; Doyle, P.; Gingerich, M.D.; Cogan, S.F.; Drohan, W.A.; Behan, S.; Theogarajan, L.; Wyatt, J.L.; et al. A Hermetic Wireless Subretinal Neurostimulator for Vision Prostheses. IEEE Trans. Biomed. Eng. 2011, 58, 3197–3205. [Google Scholar] [CrossRef]
  15. Martinez-Conde, S.; Macknik, S.L.; Hubel, D.H. The Role of Fixational Eye Movements in Visual Perception. Nat. Rev. Neurosci. 2004, 5, 229–240. [Google Scholar] [CrossRef]
  16. Hafed, Z.M.; Goffart, L.; Krauzlis, R.J. A Neural Mechanism for Microsaccade Generation in the Primate Superior Colliculus. Science 2009, 323, 940–943. [Google Scholar] [CrossRef]
  17. Dimigen, O.; Valsecchi, M.; Sommer, W.; Kliegl, R. Human Microsaccade-Related Visual Brain Responses. J. Neurosci. 2009, 29, 12321–12331. [Google Scholar] [CrossRef]
  18. Collewijn, H.; Kowler, E. The Significance of Microsaccades for Vision and Oculomotor Control. J. Vis. 2008, 8, 20. [Google Scholar] [CrossRef]
  19. Kowler, E. Eye Movements: The Past 25years. Vision Res. 2011, 51, 1457–1483. [Google Scholar] [CrossRef]
  20. Stronks, H.C.; Dagnelie, G. The Functional Performance of the Argus II Retinal Prosthesis. Expert Rev. Med. Devices 2014, 11, 23–30. [Google Scholar] [CrossRef]
  21. Singh, P.R.; Liu, W.; Sivaprakasam, M.; Humayun, M.S.; Weiland, J.D. A Matched Biphasic Microstimulator for an Implantable Retinal Prosthetic Device. In Proceedings of the 2004 IEEE International Symposium on Circuits and Systems (ISCAS), Vancouver, BC, Canada, 23–26 May 2004; Volume 4, p. IV–1. [Google Scholar]
  22. Sivaprakasam, M.; Liu, W.; Humayun, M.S.; Weiland, J.D. A Variable Range Bi-Phasic Current Stimulus Driver Circuitry for an Implantable Retinal Prosthetic Device. IEEE J. Solid-State Circuits 2005, 40, 763–771. [Google Scholar] [CrossRef]
  23. Sivaprakasam, M.; Liu, W.; Wang, G.; Weiland, J.D.; Humayun, M.S. Architecture Tradeoffs in High-Density Microstimulators for Retinal Prosthesis. IEEE Trans. Circuits Syst. Regul. Pap. 2005, 52, 2629–2641. [Google Scholar] [CrossRef]
  24. Palanker, D.; Le Mer, Y.; Mohand-Said, S.; Muqit, M.; Sahel, J.A. Photovoltaic Restoration of Central Vision in Atrophic Age-Related Macular Degeneration. Ophthalmology 2020, 127, 1097–1104. [Google Scholar] [CrossRef]
  25. Liu, W.; Hurnayun, M.S. Retinal Prosthesis. In Proceedings of the 2004 IEEE International Solid-State Circuits Conference (IEEE Cat. No.04CH37519), San Francisco, CA, USA, 15–19 February 2004; Volume 1, pp. 218–219. [Google Scholar]
  26. Horsager, A.; Greenberg, R.J.; Fine, I. Spatiotemporal Interactions in Retinal Prosthesis Subjects. Investig. Ophthalmol. Vis. Sci. 2010, 51, 1223–1233. [Google Scholar] [CrossRef]
  27. Eisen-Enosh, A.; Farah, N.; Burgansky-Eliash, Z.; Polat, U.; Mandel, Y. Evaluation of Critical Flicker-Fusion Frequency Measurement Methods for the Investigation of Visual Temporal Resolution. Sci. Rep. 2017, 7, 15621. [Google Scholar] [CrossRef]
  28. Shimokawa, K.; Qian, Z.; Takezawa, Y.; Kino, H.; Fukushima, T.; Kiyoyama, K.; Tanaka, T. Experimental Evaluation of Stimulus Current Generator with Laplacian Edge-Enhancement for 3-D Stacked Retinal Prosthesis Chip. In Proceedings of the 2017 IEEE Biomedical Circuits and Systems Conference (BioCAS), Turin, Italy, 19–21 October 2017; pp. 1–4. [Google Scholar]
  29. Liang, Y.; Qian, Z.; Du, B.; Ye, J.; Nakamura, K.; Wang, S.; Kino, H.; Fukushima, T.; Kiyoyama, K.; Tanaka, T. Design and Evaluation of Electronic-Microsaccade with Balanced Stimulation for Artificial Vision System. In Proceedings of the 2021 IEEE Biomedical Circuits and Systems Conference (BioCAS), Berlin, Germany, 7–9 October 2021; pp. 01–04. [Google Scholar]
  30. Martinez-Conde, S.; Macknik, S.L.; Troncoso, X.G.; Dyar, T.A. Microsaccades Counteract Visual Fading during Fixation. Neuron 2006, 49, 297–305. [Google Scholar] [CrossRef]
  31. Rolfs, M. Microsaccades: Small Steps on a Long Way. Vision Res. 2009, 49, 2415–2441. [Google Scholar] [CrossRef]
  32. Naganuma, H.; Kiyoyama, K.; Tanaka, T. A 37 × 37 Pixels Artificial Retina Chip with Edge Enhancement Function for 3-D Stacked Fully Implantable Retinal Prosthesis. In Proceedings of the 2012 IEEE Biomedical Circuits and Systems Conference (BioCAS), Hsinchu, Taiwan, 28–30 November 2012; pp. 212–215. [Google Scholar]
  33. Bekerman, I.; Gottlieb, P.; Vaiman, M. Variations in Eyeball Diameters of the Healthy Adults. J. Ophthalmol. 2014, 2014, 503645. [Google Scholar] [CrossRef]
  34. Pérez Fornos, A.; Sommerhalder, J.; da Cruz, L.; Sahel, J.A.; Mohand-Said, S.; Hafezi, F.; Pelizzone, M. Temporal Properties of Visual Perception on Electrical Stimulation of the Retina. Investig. Ophthalmol. Vis. Sci. 2012, 53, 2720–2731. [Google Scholar] [CrossRef]
  35. Asher, A.; Segal, W.A.; Baccus, S.A.; Yaroslavsky, L.P.; Palanker, D.V. Image Processing for a High-Resolution Optoelectronic Retinal Prosthesis. IEEE Trans. Biomed. Eng. 2007, 54, 993–1004. [Google Scholar] [CrossRef]
  36. Weitz, A.C.; Behrend, M.R.; Ahuja, A.K.; Christopher, P.; Wei, J.; Wuyyuru, V.; Patel, U.; Greenberg, R.J.; Humayun, M.S.; Chow, R.H.; et al. Interphase Gap as a Means to Reduce Electrical Stimulation Thresholds for Epiretinal Prostheses. J. Neural Eng. 2014, 11, 016007. [Google Scholar] [CrossRef]
  37. Carlyon, R.P.; van Wieringen, A.; Deeks, J.M.; Long, C.J.; Lyzenga, J.; Wouters, J. Effect of Inter-Phase Gap on the Sensitivity of Cochlear Implant Users to Electrical Stimulation. Hear. Res. 2005, 205, 210–224. [Google Scholar] [CrossRef]
  38. John, S.E.; Shivdasani, M.N.; Williams, C.E.; Morley, J.W.; Shepherd, R.K.; Rathbone, G.D.; Fallon, J.B. Suprachoroidal Electrical Stimulation: Effects of Stimulus Pulse Parameters on Visual Cortical Responses. J. Neural Eng. 2013, 10, 056011. [Google Scholar] [CrossRef]
Figure 1. Concept images of artificial eyeball system for vision restoration.
Figure 1. Concept images of artificial eyeball system for vision restoration.
Electronics 12 02836 g001
Figure 2. Charge imbalance in stimulus current.
Figure 2. Charge imbalance in stimulus current.
Electronics 12 02836 g002
Figure 3. Microsaccade in the biological eye.
Figure 3. Microsaccade in the biological eye.
Electronics 12 02836 g003
Figure 4. Operation of E-μSaccade circuit: (a) Stationary stimulation pattern causes vision fading; (b) Varying stimulation pattern helps to refresh visual perception.
Figure 4. Operation of E-μSaccade circuit: (a) Stationary stimulation pattern causes vision fading; (b) Varying stimulation pattern helps to refresh visual perception.
Electronics 12 02836 g004
Figure 5. Principle of E-μSaccade circuit.
Figure 5. Principle of E-μSaccade circuit.
Electronics 12 02836 g005
Figure 6. E-μSaccade in the artificial eyeball.
Figure 6. E-μSaccade in the artificial eyeball.
Electronics 12 02836 g006
Figure 7. Stimulus Trigger Generator (STG).
Figure 7. Stimulus Trigger Generator (STG).
Electronics 12 02836 g007
Figure 8. Timing diagram of stimulus trigger generator.
Figure 8. Timing diagram of stimulus trigger generator.
Electronics 12 02836 g008
Figure 9. Schematic of flicker vision prevention (FVP) circuit.
Figure 9. Schematic of flicker vision prevention (FVP) circuit.
Electronics 12 02836 g009
Figure 10. Timing diagram of flicker vision prevention circuit.
Figure 10. Timing diagram of flicker vision prevention circuit.
Electronics 12 02836 g010
Figure 11. Schematic of charge-balancing multiplexer (CBMUX).
Figure 11. Schematic of charge-balancing multiplexer (CBMUX).
Electronics 12 02836 g011
Figure 12. Timing diagram of charge-balance multiplexer.
Figure 12. Timing diagram of charge-balance multiplexer.
Electronics 12 02836 g012
Figure 13. Simulation results of stimulus trigger generator: (a) Circuit response with photocurrent step; (b) Biphasic current waveform of step response; (c) Circuit response with photocurrent ramp; (d) Biphasic current waveform of ramp response.
Figure 13. Simulation results of stimulus trigger generator: (a) Circuit response with photocurrent step; (b) Biphasic current waveform of step response; (c) Circuit response with photocurrent ramp; (d) Biphasic current waveform of ramp response.
Electronics 12 02836 g013
Figure 14. Monte Carlo simulation results: (a) Frequency variation of biphasic current when photocurrent = 1 pA; (b) Frequency variation of biphasic current when photocurrent = 100 pA.
Figure 14. Monte Carlo simulation results: (a) Frequency variation of biphasic current when photocurrent = 1 pA; (b) Frequency variation of biphasic current when photocurrent = 100 pA.
Electronics 12 02836 g014
Figure 15. Simulation results of flicker vision prevention (FVP) circuit.
Figure 15. Simulation results of flicker vision prevention (FVP) circuit.
Electronics 12 02836 g015
Figure 16. Measurement setup: (a) Micrograph of the fabricated prototype; (b) Micrograph of the CBMUX array; (c) Micrograph of the STG; (d) The probe card and light source for circuit function verification.
Figure 16. Measurement setup: (a) Micrograph of the fabricated prototype; (b) Micrograph of the CBMUX array; (c) Micrograph of the STG; (d) The probe card and light source for circuit function verification.
Electronics 12 02836 g016
Figure 17. Block diagram of the measurement setup.
Figure 17. Block diagram of the measurement setup.
Electronics 12 02836 g017
Figure 18. Measured waveform of biphasic current when PSC = 4.
Figure 18. Measured waveform of biphasic current when PSC = 4.
Electronics 12 02836 g018
Figure 19. Measured results of the proposed E-μSaccade circuit: (a) Microsaccade operates at 1 Hz; (b) Microsaccade operates at 10 Hz.
Figure 19. Measured results of the proposed E-μSaccade circuit: (a) Microsaccade operates at 1 Hz; (b) Microsaccade operates at 10 Hz.
Electronics 12 02836 g019
Table 1. True table of charge-balancing multiplexer.
Table 1. True table of charge-balancing multiplexer.
PSC (BCD Code)Signal Path from STG to BSC
0VAT and VCT from the upper-left STG
1VAT and VCT from the upper-center STG
2VAT and VCT the upper-right STG
3VAT and VCT from the middle-left STG
4VAT and VCT from the middle-right STG
5VAT and VCT from the lower-left STG
6VAT and VCT from the lower-center STG
7VAT and VCT from the lower-right STG
8VAT and VCT from the central STG
≥9N/A
Table 2. Summary of design information.
Table 2. Summary of design information.
Process0.18 μm Standard CMOS 1P6M
Power Supply1.8 V
Pixel Count3 × 3
STG Pixel Size75 × 75 μm2 (Including FVP circuit)
CBMUX Pixel Size45 × 26 μm2
Power Consumption8.255 μW/pixel @PRF = 100 Hz
Microsaccade Speed0.1 or 1 Hz
External ComponentDecoupling Capacitors
Disclaimer/Publisher’s Note: The statements, opinions and data contained in all publications are solely those of the individual author(s) and contributor(s) and not of MDPI and/or the editor(s). MDPI and/or the editor(s) disclaim responsibility for any injury to people or property resulting from any ideas, methods, instructions or products referred to in the content.

Share and Cite

MDPI and ACS Style

Liang, Y.; Nakamura, K.; Du, B.; Wang, S.; Inoue, B.; Aruga, Y.; Kino, H.; Fukushima, T.; Kiyoyama, K.; Tanaka, T. An Electronic Microsaccade Circuit with Charge-Balanced Stimulation and Flicker Vision Prevention for an Artificial Eyeball System. Electronics 2023, 12, 2836. https://doi.org/10.3390/electronics12132836

AMA Style

Liang Y, Nakamura K, Du B, Wang S, Inoue B, Aruga Y, Kino H, Fukushima T, Kiyoyama K, Tanaka T. An Electronic Microsaccade Circuit with Charge-Balanced Stimulation and Flicker Vision Prevention for an Artificial Eyeball System. Electronics. 2023; 12(13):2836. https://doi.org/10.3390/electronics12132836

Chicago/Turabian Style

Liang, Yaogan, Kohei Nakamura, Bang Du, Shengwei Wang, Bunta Inoue, Yuta Aruga, Hisashi Kino, Takafumi Fukushima, Koji Kiyoyama, and Tetsu Tanaka. 2023. "An Electronic Microsaccade Circuit with Charge-Balanced Stimulation and Flicker Vision Prevention for an Artificial Eyeball System" Electronics 12, no. 13: 2836. https://doi.org/10.3390/electronics12132836

APA Style

Liang, Y., Nakamura, K., Du, B., Wang, S., Inoue, B., Aruga, Y., Kino, H., Fukushima, T., Kiyoyama, K., & Tanaka, T. (2023). An Electronic Microsaccade Circuit with Charge-Balanced Stimulation and Flicker Vision Prevention for an Artificial Eyeball System. Electronics, 12(13), 2836. https://doi.org/10.3390/electronics12132836

Note that from the first issue of 2016, this journal uses article numbers instead of page numbers. See further details here.

Article Metrics

Back to TopTop