Research on Magnetic-Thermal-Force Multi-Physical Field Coupling of a High-Frequency Transformer with Different Winding Arrangements
Abstract
:1. Introduction
2. Analysis of a Multi-Physics Coupling Model of a High-Frequency Transformer
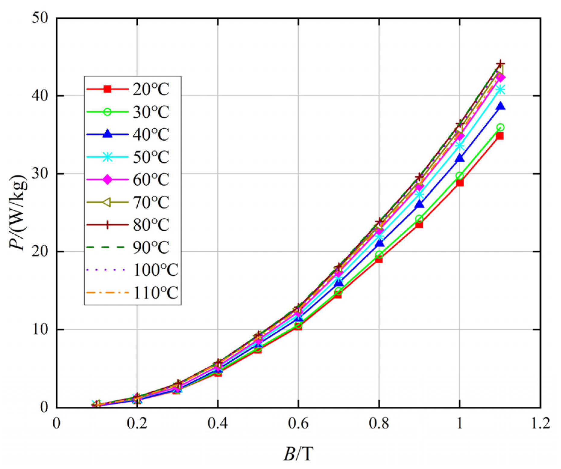
2.1. High-Frequency Transformer Electromagnetic Field Calculation
2.2. Calculation of the Temperature Field of a High-Frequency Transformer
2.3. Calculation of the Electromagnetic Force on High-Frequency Transformer Windings
3. Establishment of the Finite Element Simulation Model of High-Frequency Transformer
3.1. Model Building and Meshing
3.2. Material Properties
3.3. Non-Sinusoidal Excitation Waveforms and Temperature Field Boundary Conditions
4. High-Frequency Transformer Multi-Physical Field Simulation
4.1. Magnetic-Thermal Simulation Calculation under No-Load Conditions
4.1.1. Core Magnetic Density and Loss under Different Winding Arrangements
4.1.2. Transformer Temperature Rise under Different Winding Arrangements
4.2. Magnetic-Thermal Simulation Calculation under Short-Circuit Conditions
4.2.1. Winding Magnetic Density and Loss under Different Winding Arrangements
4.2.2. Transformer Temperature Rise under Different Winding Arrangements
4.2.3. The Winding Electromagnetic Force under Different Winding Arrangements
5. Conclusions
Author Contributions
Funding
Data Availability Statement
Conflicts of Interest
References
- Yu, X.; Su, J.; Lai, J.; Guo, S. Analytical Optimization of Nonsaturated Thermally Limited High-Frequency Transformer/Inductor Design Considering Discreteness of Design Variables. IEEE Trans. Power Electron. 2020, 35, 6231–6250. [Google Scholar] [CrossRef]
- Zhen, T.; Wang, K.; Zheng, Z.; Pang, J.; Li, Y. A review of research on power electronic transformers based on MMC topology. Proc. CSEE 2022, 42, 5630–5649. [Google Scholar]
- Chen, B. Analysis of Effect of Winding Interleaving on Leakage Inductance and Winding Loss of High Frequency Transformers. J. Electr. Eng. Technol. 2019, 14, 1211–1221. [Google Scholar] [CrossRef]
- Zhao, Y.; Wen, T.; Chen, J.; Zhang, Q.; Fu, Z. Characteristics of current distribution under low voltage spiral winding wire transposition structure of power transformer. High Volt. Eng. 2021, 47, 3218–3225. [Google Scholar]
- Zhen, T. Analysis of Electromagnetic Force of Windings in High-Capacity High-Frequency Transformers. Ph.D. Thesis, Shanghai Jiaotong University, Shanghai, China, 2015. [Google Scholar]
- Wang, J.; Zou, Q.; Hu, J.; Fei, W.; Zhao, Y. Optimization design method of a medium-voltage insulated high-power medium-frequency transformer. Trans. China Electrotech. Soc. 2022, 37, 3048–3060. [Google Scholar]
- Zhang, N. Optimization Design Method and Application Research of High Frequency Transformer. Ph.D. Thesis, North China Electric Power University, Beijing, China, 2016. [Google Scholar]
- Zhang, P.; Xiang, X.; Li, W.; Li, B.; Li, L.; Cao, Q. High frequency transformer technology for power electronic transformer. High Volt. Eng. 2022, 48, 4996–5011. [Google Scholar]
- Yin, Y. Loss Calculation, Heat Sink Design and Optimization of High Frequency Transformers. Ph.D. Thesis, North China Electric Power University, Beijing, China, 2017. [Google Scholar]
- Xu, Y.; Li, L.; Yuan, X. Magneto-thermal coupling simulation and experimental verification for a three-winding high-frequency transformer. Int. J. Appl. Electromagn. Mech. 2022, 68, 159–175. [Google Scholar] [CrossRef]
- Sun, C.; Li, L. Calculation and analysis of temperature distribution of high-frequency transformer under non-sinusoidal excitation. High Volt. Appar. 2022, 58, 96–105. [Google Scholar]
- Liu, J.; Lu, Y.; Li, L.; Chen, B. Transient simulation analysis of electromagnetic field and temperature field of high-frequency transformer. High Volt. Eng. 2019, 45, 1191–1200. [Google Scholar]
- Chen, B.; Liang, X.; Wan, N.; Tang, B.; Huang, L. Coupled transient electromagnetic-thermal fields analysis of medium-frequency transformer. High Volt. Eng. 2020, 46, 4400–4409. [Google Scholar]
- Górecki, K.; Detka, K. SPICE-Aided Models of Magnetic Elements—A Critical Review. Energies 2023, 16, 6568. [Google Scholar] [CrossRef]
- Xu, J.; Luo, L.; Li, Y.; Li, J.; Liu, F. Analysis and calculation of windings electromagnetic force of a novel converter transformer. High Volt. Eng. 2007, 33, 102–105. [Google Scholar]
- Wang, K.; Zeng, J.; Zheng, Y.; Lan, S.; Du, G.; Lin, Y. Power transformer based on field-circuit coupling in different operating modes simulation research on leakage magnetic field. J. Harbin Univ. Sci. Technol. 2021, 26, 28–37. [Google Scholar]
- Liang, X. Multiphysics Calculation and Optimal Design of High-Power Medium-Frequency Transformer. Ph.D. Thesis, China Three Gorges University, Hubei, China, 2021. [Google Scholar]
- Zhou, Y.; Guo, J. Optimal Design of Winding Transposition of High-power High-frequency Transformer Applied to HVDC Transmission. In Proceedings of the 2021 4th Asia Conference on Energy and Electrical Engineering (ACEEE), Bangkok, Thailand, 10–12 September 2021; pp. 110–115. [Google Scholar]
- Zhang, X.; Li, G.; Shi, L. Thermal Engineering Foundation, 3rd ed.; China Higher Education Press: Beijing, China, 2008; pp. 174–316. [Google Scholar]
- Ho, S.L.; Li, Y.; Wong, H.C.; Wang, S.H.; Tang, R.Y. Numerical simulation of transient force and eddy current loss in a 720-MVA power transformer. IEEE Trans. Magn. 2004, 40, 687–690. [Google Scholar] [CrossRef]
- Ebrahimi, B.M.; Fereidunian, A.; Saffari, S.; Faiz, J. Analytical estimation of short circuit axial and radial forces on power transformers windings. IET Gener. Transm. Distrib. 2014, 8, 250–260. [Google Scholar] [CrossRef]
- Shang, H.; Zhou, Q.; Ouyang, X.; Dai, J.; Zheng, J. Simulation analysis for partial deformation of transformer winding and distortion of magnetic leakage distribution considering asymmetric mechanical constraint. In Proceedings of the 22nd International Symposium on High Voltage Engineering (ISH 2021), Xi’an, China, 21–26 November 2021; pp. 1083–1088. [Google Scholar]
- Yan, X.; Wang, Z.; Yu, X.; Zhang, Y.; Bai, B.; Xie, D. Research of electromagnetic field for extra-high voltage autotransformer based on magnetic field circuit coupled model. Adv. Technol. Electr. Eng. Energy 2015, 34, 43–47. [Google Scholar]
- Chen, B.; Liang, X.; Qiao, X.; Liu, Z.; Zhang, N.; Zhang, D. Analysis on influence of winding layout on leakage magnetic field and electromagnetic force of high-frequency transformer. High Volt. Appar. 2022, 58, 95–102. [Google Scholar]
- Sha, G.; Wang, C.; Chen, H.; Deng, J.; Wang, J. Unified phasor analytical method for dual-active-bridge DC-DC converter under phase-shift control. Trans. China Electrotech. Soc. 2017, 32, 175–185. [Google Scholar]
- Ataullah, H.; Iqbal, T.; Khalil, I.U.; Ali, U.; Blazek, V.; Prokop, L.; Ullah, N. Analysis of the Dual Active Bridge-Based DC-DC Converter Topologies, High-Frequency Transformer, and Control Techniques. Energies 2022, 15, 8944. [Google Scholar] [CrossRef]
- Wang, B.; Zhang, D.; Tian, Z. CoroTrans-CL: A Novel Transformer-Based Continual Deep Learning Model for Image Recognition of Coronavirus Infections. Electronics 2023, 12, 866. [Google Scholar] [CrossRef]


















| Surface Number | Flow State | h | Ranges of Ra |
|---|---|---|---|
| vertical plane (Figure 2a) | laminar flow | 104 < Ra < 109 | |
| turbulent flow | 109 < Ra < 1013 | ||
| horizontal hot surface (Figure 2b) | laminar flow | 104 < Ra < 107 | |
| turbulent flow | 107 < Ra < 1011 | ||
| horizontal hot surface (Figure 2c) | laminar flow | 105 < Ra < 1011 |
| Structural Parameters | Number |
|---|---|
| number of primary layers × number of turns in a single layer | 4 × 7 |
| number of secondary layers × number of single layer turns | 4 × 7 |
| distance between secondary winding and core/mm | 5 |
| primary and secondary winding spacing/mm | 13 |
| copper foil thickness × width/mm2 | 1 × 5 |
| Materials | Relative Magnetic Permeability | Conductivity(S·m−1) | Loss/(W·kg−1) |
|---|---|---|---|
| iron core | B–H curve | — | B–P curve |
| windings | 1 | 5.77 × 107 | — |
| insulating paper | 1 | — | — |
| epoxy resin | 1 | — | — |
| air | 1 | — | — |
| Material | Density/(kg·m−3) | Thermal Conductivity/[W·(m·k)−1] | Specific Heat Capacity/[J·(kg·k)−1] | Emissivity |
|---|---|---|---|---|
| iron core | 7180 | 8 | 450 | 0.8 |
| windings | 8954 | 386 | 383 | 0.78 |
| insulating paper | 900 | 0.178 | 800 | 0.25 |
| epoxy resin | 1400 | 0.400 | 1700 | 0.25 |
| Part of HFT | Hot Surface Facing Upwards | Hot Surface Facing Down | Vertical Plane |
| iron-core surface | 14.002 | 7.001 | 7.643 |
| iron-core side pillar | — | — | 9.939 |
| high-voltage winding | 7.176 | 3.588 | 5.738 |
| low-voltage winding | 7.917 | 3.959 | 6.329 |
Disclaimer/Publisher’s Note: The statements, opinions and data contained in all publications are solely those of the individual author(s) and contributor(s) and not of MDPI and/or the editor(s). MDPI and/or the editor(s) disclaim responsibility for any injury to people or property resulting from any ideas, methods, instructions or products referred to in the content. |
© 2023 by the authors. Licensee MDPI, Basel, Switzerland. This article is an open access article distributed under the terms and conditions of the Creative Commons Attribution (CC BY) license (https://creativecommons.org/licenses/by/4.0/).
Share and Cite
Li, B.; Zhang, P.; Li, P.; Liu, Z.; Li, W.; Zhang, J. Research on Magnetic-Thermal-Force Multi-Physical Field Coupling of a High-Frequency Transformer with Different Winding Arrangements. Electronics 2023, 12, 5008. https://doi.org/10.3390/electronics12245008
Li B, Zhang P, Li P, Liu Z, Li W, Zhang J. Research on Magnetic-Thermal-Force Multi-Physical Field Coupling of a High-Frequency Transformer with Different Winding Arrangements. Electronics. 2023; 12(24):5008. https://doi.org/10.3390/electronics12245008
Chicago/Turabian StyleLi, Bofan, Pengning Zhang, Pengyang Li, Ze Liu, Wei Li, and Jian Zhang. 2023. "Research on Magnetic-Thermal-Force Multi-Physical Field Coupling of a High-Frequency Transformer with Different Winding Arrangements" Electronics 12, no. 24: 5008. https://doi.org/10.3390/electronics12245008
APA StyleLi, B., Zhang, P., Li, P., Liu, Z., Li, W., & Zhang, J. (2023). Research on Magnetic-Thermal-Force Multi-Physical Field Coupling of a High-Frequency Transformer with Different Winding Arrangements. Electronics, 12(24), 5008. https://doi.org/10.3390/electronics12245008
