Modeling and Simulation of Si Grating Photodetector Fabricated Using MACE Method for NIR Spectrum
Abstract
1. Introduction
2. Materials and Methods
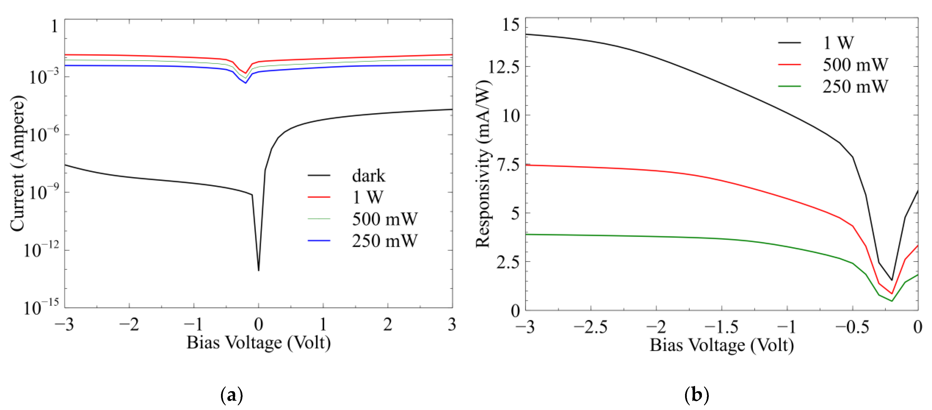
3. Results
4. Discussion
5. Conclusions
Author Contributions
Funding
Acknowledgments
Conflicts of Interest
Appendix A

References
- Haglund, E.P.; Kumari, S.; Haglund, E.; Gustavsson, J.S.; Baets, R.G.; Roelkens, G.; Larsson, A. Silicon-Integrated Hybrid-Cavity 850-nm VCSELs by Adhesive Bonding: Impact of Bonding Interface Thickness on Laser Performance. IEEE J. Sel. Top. Quantum Electron. 2017, 23, 1–9. [Google Scholar] [CrossRef]
- Cheng, C.-H.; Shen, C.-C.; Kao, H.-Y.; Hsieh, D.-H.; Wang, H.-Y.; Yeh, Y.-W.; Lu, Y.-T.; Chen, S.-W.H.; Tsai, C.-T.; Chi, Y.-C.; et al. 850/940-nm VCSEL for optical communication and 3D sensing. Opto-Electron. Adv. 2018, 1, 18000501–18000511. [Google Scholar] [CrossRef]
- Cheng, H.-T.; Yang, Y.-C.; Liu, T.-H.; Wu, C.-H. Recent Advances in 850 nm VCSELs for High-Speed Interconnects. Photonics 2022, 9, 107. [Google Scholar] [CrossRef]
- Fard, M.M.P.; Williams, C.; Cowan, G.; Liboiron-Ladouceur, O. A 35 Gb/s Silicon Photodetector for 850 Nm Wavelength Ap-plications. In Proceedings of the 2016 IEEE Photonics Conference (IPC), Waikoloa, HI, USA, 2–6 October 2016; pp. 1–2. [Google Scholar]
- Lee, H.C.; Van Zeghbroeck, B. A novel high-speed silicon MSM photodetector operating at 830 nm wavelength. IEEE Electron Device Lett. 1995, 16, 175–177. [Google Scholar] [CrossRef]
- Lee, M.-J.; Choi, W.-Y. A silicon avalanche photodetector fabricated with standard CMOS technology with over 1 THz gain-bandwidth product. Opt. Express 2010, 18, 24189–24194. [Google Scholar] [CrossRef]
- Wu, Q.; Cen, G.; Liu, Y.; Ji, Z.; Mai, W. A simple-structured silicon photodetector possessing asymmetric Schottky junction for NIR imaging. Phys. Lett. A 2021, 412, 127586. [Google Scholar] [CrossRef]
- Nusir, A.I.; Manasreh, M.O. Self-Powered Near-Infrared Photodetector Based on Asymmetrical Schottky Interdigital Contacts. IEEE Electron Device Lett. 2015, 36, 1172–1175. [Google Scholar] [CrossRef]
- Lv, P.; Zhang, X.; Zhang, X.; Deng, W.; Jie, J. High-Sensitivity and Fast-Response Graphene/Crystalline Silicon Schottky Junction-Based Near-IR Photodetectors. IEEE Electron Device Lett. 2013, 34, 1337–1339. [Google Scholar] [CrossRef]
- Cheng, L.; Mao, S.; Li, Z.; Han, Y.; Fu, H.Y. Grating Couplers on Silicon Photonics: Design Principles, Emerging Trends and Practical Issues. Micromachines 2020, 11, 666. [Google Scholar] [CrossRef]
- Chandra, Z.; Herkusuma, E.; Nugraha, R.A.; Surawijaya, A.; Sulthoni, M.A. Light Absorption Improvement of Si Photode-tector with 2D Grating Structure at Near-Infrared Wavelength Range. In Proceedings of the 2021 International Symposium on Electronics and Smart Devices (ISESD), Bandung, Indonesia, 29 June 2021; pp. 1–5. [Google Scholar]
- Feng, B.; Zhu, J.; Xu, C.; Wan, J.; Gan, Z.; Lu, B.; Chen, Y. All-Si Photodetectors with a Resonant Cavity for Near-Infrared Polarimetric Detection. Nanoscale Res. Lett. 2019, 14, 39. [Google Scholar] [CrossRef]
- Lin, K.-T.; Lin, H.; Jia, B. Plasmonic nanostructures in photodetection, energy conversion and beyond. Nanophotonics 2020, 9, 3135–3163. [Google Scholar] [CrossRef]
- Akbari, A.; Berini, P. Schottky contact surface-plasmon detector integrated with an asymmetric metal stripe waveguide. Appl. Phys. Lett. 2009, 95, 021104. [Google Scholar] [CrossRef]
- Leenheer, A.J.; Narang, P.; Lewis, N.S.; Atwater, H.A. Solar energy conversion via hot electron internal photoemission in metallic nanostructures: Efficiency estimates. J. Appl. Phys. 2014, 115, 134301. [Google Scholar] [CrossRef]
- Casalino, M. Internal Photoemission Theory: Comments and Theoretical Limitations on the Performance of Near-Infrared Silicon Schottky Photodetectors. IEEE J. Quantum Electron. 2016, 52, 1–10. [Google Scholar] [CrossRef]
- Yu, Y.; Cao, L. Coupled leaky mode theory for light absorption in 2D, 1D, and 0D semiconductor nanostructures. Opt. Express 2012, 20, 13847–13856. [Google Scholar] [CrossRef]
- Magnusson, R.; Ding, Y.; Lee, K.J.; Shin, D.; Priambodo, P.S.; Young, P.P.; Maldonado, T.A. Photonic devices enabled by waveguide-mode resonance effects in periodically modulated films. In Nano-and Micro-Optics for Information Systems; SPIE: Bellingham, WA, USA, 2003; Volume 5225, pp. 20–35. [Google Scholar] [CrossRef]
- Khaleque, T.; Magnusson, R. Light management through guided-mode resonances in thin-film silicon solar cells. J. Nanophotonics 2014, 8, 083995. [Google Scholar] [CrossRef]
- Romano, L.; Vila-Comamala, J.; Jefimovs, K.; Stampanoni, M. High-Aspect-Ratio Grating Microfabrication by Platinum-Assisted Chemical Etching and Gold Electroplating. Adv. Eng. Mater. 2020, 22, 2000258. [Google Scholar] [CrossRef]
- Romano, L.; Kagias, M.; Jefimovs, K.; Stampanoni, M. Self-assembly nanostructured gold for high aspect ratio silicon microstructures by metal assisted chemical etching. RSC Adv. 2016, 6, 16025–16029. [Google Scholar] [CrossRef]
- Azeredo, B.P.; Sadhu, J.S.; Ma, J.; Jacobs, K.; Kim, J.; Lee, K.; Eraker, J.H.; Li, X.; Sinha, S.; Fang, N.; et al. Silicon nanowires with controlled sidewall profile and roughness fabricated by thin-film dewetting and metal-assisted chemical etching. Nanotechnology 2013, 24, 225305. [Google Scholar] [CrossRef]
- Casalino, M.; Sirleto, L.; Moretti, L.; Gioffrè, M.; Coppola, G.; Rendina, I. Silicon resonant cavity enhanced photodetector based on the internal photoemission effect at 1.55μm: Fabrication and characterization. Appl. Phys. Lett. 2008, 92, 251104. [Google Scholar] [CrossRef]
- Casalino, M.; Coppola, G.; Gioffre, M.; Iodice, M.; Moretti, L.; Rendina, I.; Sirleto, L. Cavity Enhanced Internal Photoemission Effect in Silicon Photodiode for Sub-Bandgap Detection. J. Lightwave Technol. 2010, 28, 3266–3272. [Google Scholar] [CrossRef]
- Diels, W.; Steyaert, M.; Tavernier, F. Modelling, Design and Characterization of Schottky Diodes in 28nm Bulk CMOS for 850/1310/1550nm Fully Integrated Optical Receivers. In Proceedings of the 2017 47th European Solid-State Device Research Conference (ESSDERC), Leuven, Belgium, 11–14 September 2017; pp. 224–227. [Google Scholar]
- Youn, J.-S.; Lee, M.-J.; Park, K.-Y.; Choi, W.-Y. 10-Gb/s 850-nm CMOS OEIC Receiver with a Silicon Avalanche Photodetector. IEEE J. Quantum Electron. 2012, 48, 229–236. [Google Scholar] [CrossRef]








| Device Area (m2) | Operating Voltage (Volt) | Dark Current (A) | Responsivity (A/W) | Quantum Efficiency | Detectivity (Jones) | |
|---|---|---|---|---|---|---|
| Feng [12] | 6.4 × 10−9 | −2.0 | 2.9 × 10−9 | 0.386 | 0.56 | 3.21 × 108 | 
| Diels [25] | 3.07 × 10−9 | −1.5 | 40 | 0.00027 | 0.00039 | 4.18 | 
| Fard [4] | 8.4 × 10−11 | −12.0 | 0.4 | 0.15 | 0.22 | 3.84 × 103 | 
| Youn [26] | 10−10 | −10.2 | 100 | 4.67 | 6.81 | 8.26 × 103 | 
| This work | 1.83 × 10−11 | −1.0 | 2.94 × 10−9 | 0.019 | 0.03 | 2.62 × 106 | 
| Disclaimer/Publisher’s Note: The statements, opinions and data contained in all publications are solely those of the individual author(s) and contributor(s) and not of MDPI and/or the editor(s). MDPI and/or the editor(s) disclaim responsibility for any injury to people or property resulting from any ideas, methods, instructions or products referred to in the content. | 
© 2023 by the authors. Licensee MDPI, Basel, Switzerland. This article is an open access article distributed under the terms and conditions of the Creative Commons Attribution (CC BY) license (https://creativecommons.org/licenses/by/4.0/).
Share and Cite
Surawijaya, A.; Chandra, Z.; Sulthoni, M.A.; Idris, I.; Adiono, T. Modeling and Simulation of Si Grating Photodetector Fabricated Using MACE Method for NIR Spectrum. Electronics 2023, 12, 663. https://doi.org/10.3390/electronics12030663
Surawijaya A, Chandra Z, Sulthoni MA, Idris I, Adiono T. Modeling and Simulation of Si Grating Photodetector Fabricated Using MACE Method for NIR Spectrum. Electronics. 2023; 12(3):663. https://doi.org/10.3390/electronics12030663
Chicago/Turabian StyleSurawijaya, Akhmadi, Zefanya Chandra, Muhammad Amin Sulthoni, Irman Idris, and Trio Adiono. 2023. "Modeling and Simulation of Si Grating Photodetector Fabricated Using MACE Method for NIR Spectrum" Electronics 12, no. 3: 663. https://doi.org/10.3390/electronics12030663
APA StyleSurawijaya, A., Chandra, Z., Sulthoni, M. A., Idris, I., & Adiono, T. (2023). Modeling and Simulation of Si Grating Photodetector Fabricated Using MACE Method for NIR Spectrum. Electronics, 12(3), 663. https://doi.org/10.3390/electronics12030663
 
        


 
       