A Fractional-Order Multi-Rate Repetitive Controller for Single-Phase Grid-Connected Inverters
Abstract
1. Introduction
2. Fractional Order Multi-Rate Repetitive Controller
2.1. MRC
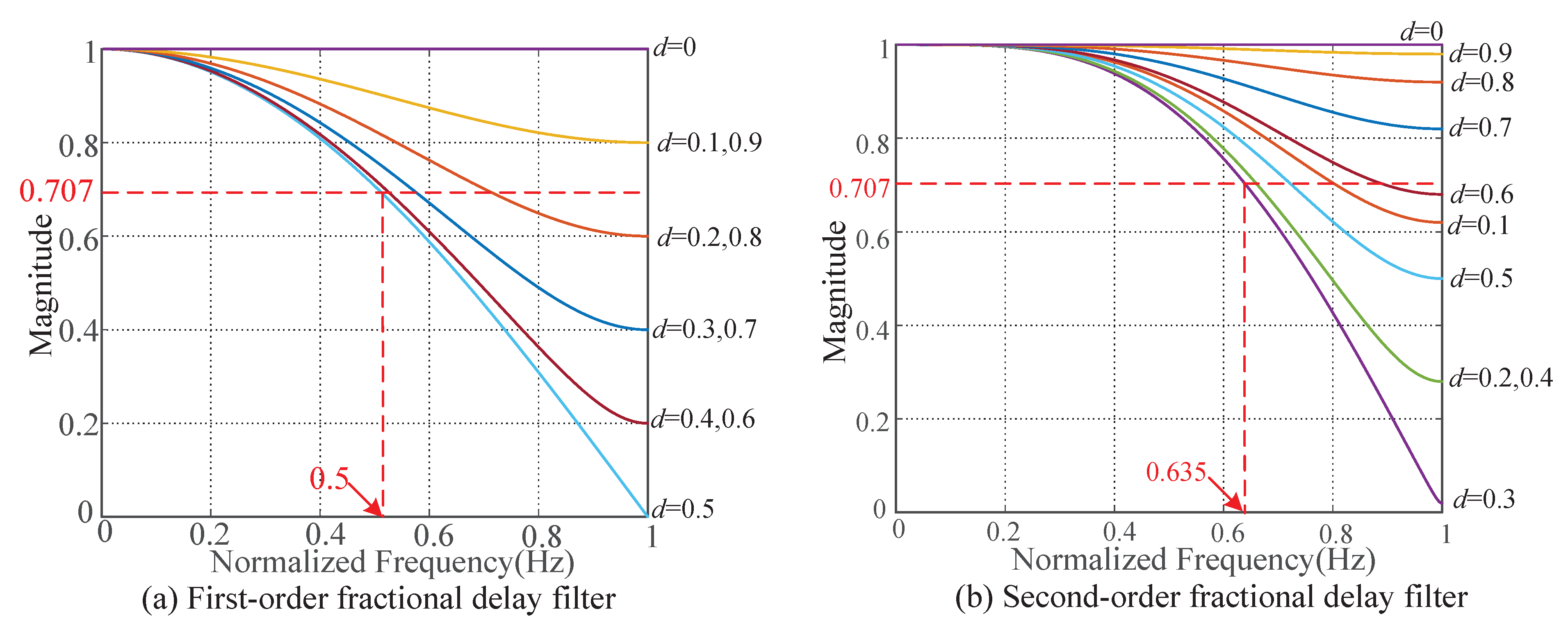
2.2. Farrow Structure FD Filter Design Based on Taylor Series
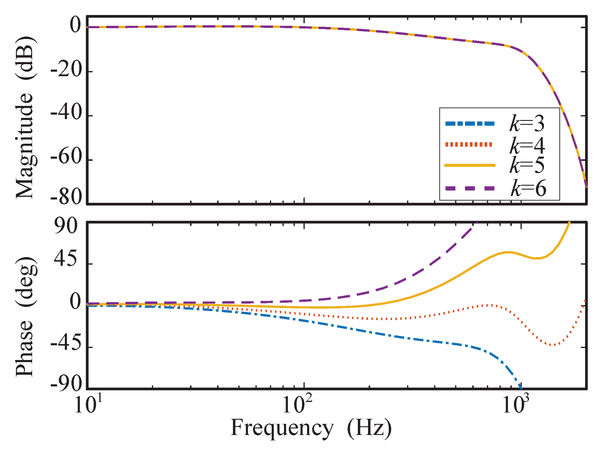
2.3. Stability Analysis of FOMRC
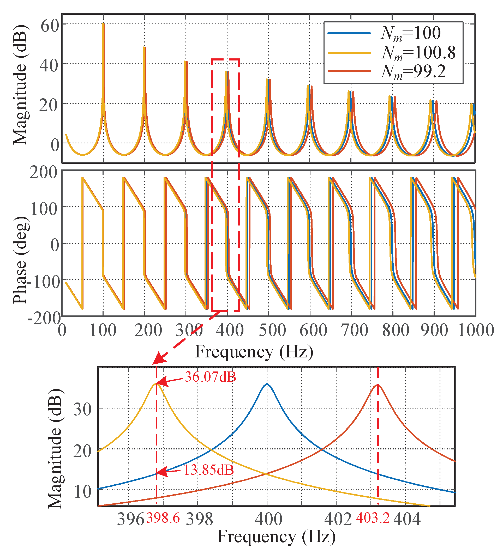
2.4. Analysis of Harmonic Suppression Characteristics of FOMRC
3. Modeling and Parameter Design of LCL Single-Phase Grid-Connected Inverter
4. Simulation Analysis
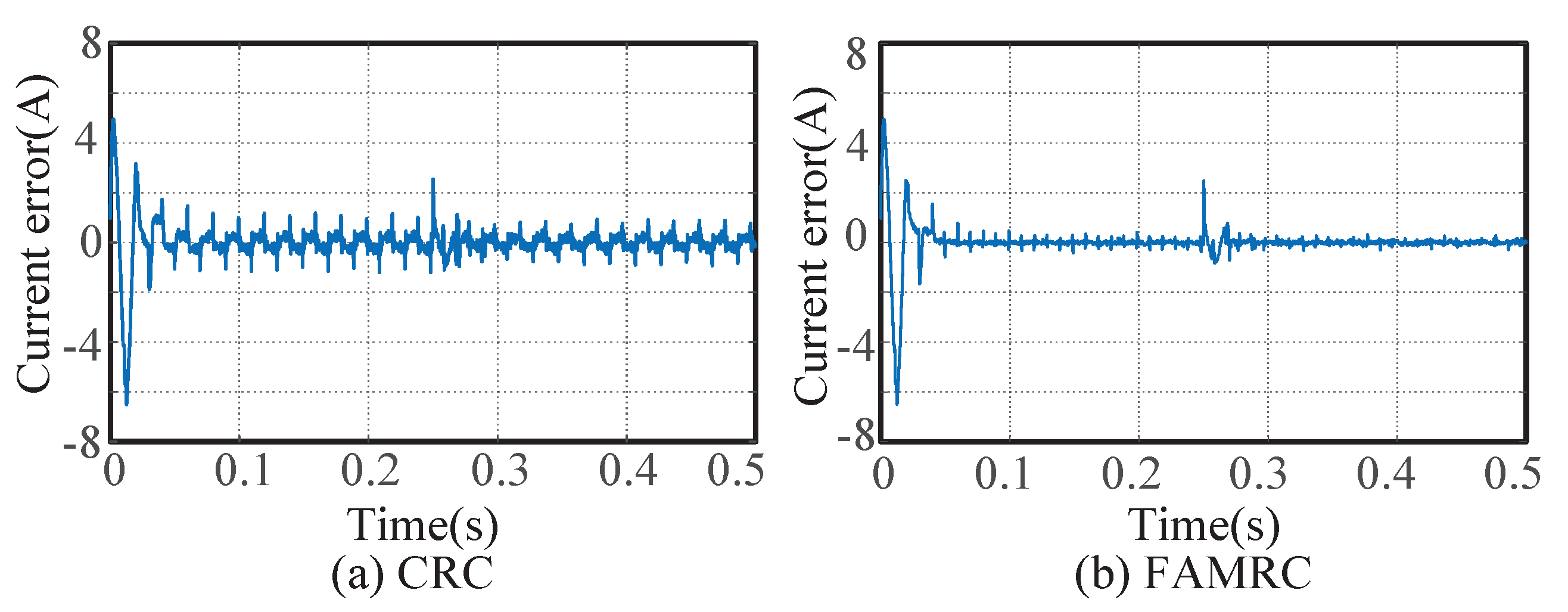
4.1. Steady-State Performance
4.2. Dynamic Performance
5. Conclusions
Author Contributions
Funding
Data Availability Statement
Conflicts of Interest
Abbreviations
| MRC | Multi-rate Repetitive Controller |
| CRC | Conventional Repetitive Controller |
| FOMRC | Fractional Order Multi-rate Repetitive Controller |
| FD | Fractional Delay |
| THD | Total Harmonic Distortion |
| PI | Proportional Integral |
| PR | Proportional Resonant |
| PMR | Proportional Multi-resonant |
| RC | Repetitive Controller |
| FIR | Finite Impulse Response |
References
- Guerrero, J.M.; Blaabjerg, F.; Zhelev, T.; Hemmes, K.; Monmasson, E.; Jemei, S.; Comech, M.P.; Granadino, R.; Frau, J.I. Distributed generation: Toward a new energy paradigm. IEEE Ind. Electron. Mag. 2010, 3, 52–64. [Google Scholar] [CrossRef]
- Jayalath, S.; Hanif, M. Generalized LCL-filter design algorithm for grid-connected voltage-source inverter. IEEE Trans. Ind. Electron. 2017, 3, 1905–1915. [Google Scholar] [CrossRef]
- Zhang, Z.; Ding, W. Improved Active Disturbance Rejection Control Strategy for LCL-Type Grid-Connected Inverters Based on the Backstepping Method. Electronics 2022, 11, 2237. [Google Scholar] [CrossRef]
- Imam, A.A.; Sreerama Kumar, R.; Al-Turki, Y.A. Modeling and Simulation of a PI Controlled Shunt Active Power Filter for Power Quality Enhancement Based on P-Q Theory. Electronics 2020, 9, 637. [Google Scholar] [CrossRef]
- Abbasi, S.; Ghadimi, A.A.; Abolmasoumi, A.H.; Reza Miveh, M.; Jurado, F. Enhanced Control Scheme for a Three-Phase Grid-Connected PV Inverter under Unbalanced Fault Conditions. Electronics 2020, 9, 1247. [Google Scholar] [CrossRef]
- Zhao, Q.; Ye, Y. A PIMR-type repetitive control for a grid-tied inverter: Structure, analysis, and design. IEEE Trans. Power Electron. 2018, 3, 2730–2739. [Google Scholar] [CrossRef]
- Lee, J.-Y.; Cho, Y. Synchronous Reference Frame Repetitive Control of a Single-Phase Three-Level Dual-Buck Photovoltaic Inverter. Electronics 2018, 7, 226. [Google Scholar] [CrossRef]
- Li, H.; Chen, X.; Xiang, B.; Wang, X. Periodic Signal Suppression in Position Domain Based on Repetitive Control. Electronics 2022, 11, 4069. [Google Scholar] [CrossRef]
- Yao, W.-S.; Lin, C.-Y. Dynamic Stiffness Enhancement of the Quadcopter Control System. Electronics 2022, 11, 2206. [Google Scholar] [CrossRef]
- Zhang, B.; Zhou, K.; Wang, D. Multirate repetitive control for PWM DC/AC converters. IEEE Trans. Ind. Electron. 2014, 6, 2883–2890. [Google Scholar] [CrossRef]
- Liu, Z.; Zhang, B.; Zhou, K. Universal fractional-order design of linear phase lead compensation multirate repetitive control for PWM inverters. IEEE Trans. Ind. Electron. 2017, 9, 7132–7140. [Google Scholar] [CrossRef]
- Xie, C.; Zhao, X.; Savaghebi, M.; Meng, L.; Guerrero, J.M.; Vasquez, J.C. Multirate fractional-order repetitive control of shunt active power filter suitable for microgrid applications. IEEE J. Emerg. Sel. Top. Power Electron. 2017, 6, 809–819. [Google Scholar] [CrossRef]
- Wang, W.; Lu, W.; Zhou, K.; Fan, Q. Fractional-order new generation of nkm-order harmonic repetitive control for PWM converters. IEEE Access 2020, 180706–180721. [Google Scholar] [CrossRef]
- Chen, S.; Zhao, Q.; Ye, Y.; Qu, B. Using IIR Filter in Fractional Order Phase Lead Compensation PIMR-RC for Grid-Tied Inverters. IEEE Trans. Ind. Electron. 2022. [Google Scholar] [CrossRef]
- Kurniawan, E.; Cao, Z.; Man, Z. Design of Robust Repetitive Control With Time-Varying Sampling Periods. IEEE Trans. Ind. Electron. 2014, 6, 2834–2841. [Google Scholar] [CrossRef]
- Liao, W.; Sun, Y.; Zhao, Q.; Chen, S. Double-fractional OPIMR controller for a single-phase grid-tied inverter. In Proceedings of the 2021 IEEE 10th Data Driven Control and Learning Systems Conference (DDCLS), Suzhou, China, 14–16 May 2021; pp. 871–876. [Google Scholar]
- Cui, P.; Wang, Q.; Zhang, G.; Gao, Q. Hybrid Fractional Repetitive Control for Magnetically Suspended Rotor Systems. IEEE Trans. Ind. Electron. 2018, 4, 3491–3498. [Google Scholar] [CrossRef]
- Yang, Y.; Zhou, K.; Wang, H.; Blaabjerg, F.; Wang, D.; Zhang, B. Frequency Adaptive Selective Harmonic Control for Grid-Connected Inverters. IEEE Trans. Power Electron. 2015, 7, 3912–3924. [Google Scholar] [CrossRef]
- Moller, T.; Machiraju, R.; Mueller, K.; Yagel, R. Evaluation and design of filters using a Taylor series expansion. IEEE Trans. Vis. Comput. Graph. 1997, 4-6, 184–199. [Google Scholar] [CrossRef]
- Farrow, C.W. A continuously variable digital delay element. In Proceedings of the IEEE International Symposium on Circuits and Systems, Espoo, Finland, 7–9 June 1988; pp. 2641–2645. [Google Scholar]
- Nazir, R.; Wood, A.; Laird, H.; Watson, N. An adaptive repetitive controller for three-phase PWM regenerative rectifiers. In Proceedings of the International Conference on Renewable Energy Research and Applications (ICRERA), Palermo, Italy, 22–25 November 2015; pp. 1126–1131. [Google Scholar]
- Valimaki, V. A new filter implementation strategy for Lagrange interpolation. In Proceedings of the ISCAS’95—International Symposium on Circuits and Systems, Seattle, WA, USA, 30 April–3 May 1995; pp. 361–364. [Google Scholar]













| Parameters | Value |
|---|---|
| Inverter side inductance: | 3.8 |
| Grid side inductance: | 2.2 |
| Filter capacitance: C | 10 |
| Passive damping resistor: R | 10 |
| Dc bus voltage: | 380 |
| Grid frequency: | 50 |
| Sampling frequency: | 10 |
| Switching frequency: | 10 |
| Switch dead time: | 3 |
| Sampling ratio: | 2 |
Disclaimer/Publisher’s Note: The statements, opinions and data contained in all publications are solely those of the individual author(s) and contributor(s) and not of MDPI and/or the editor(s). MDPI and/or the editor(s) disclaim responsibility for any injury to people or property resulting from any ideas, methods, instructions or products referred to in the content. |
© 2023 by the authors. Licensee MDPI, Basel, Switzerland. This article is an open access article distributed under the terms and conditions of the Creative Commons Attribution (CC BY) license (https://creativecommons.org/licenses/by/4.0/).
Share and Cite
Zhao, Q.; Liu, K.; Li, H. A Fractional-Order Multi-Rate Repetitive Controller for Single-Phase Grid-Connected Inverters. Electronics 2023, 12, 1021. https://doi.org/10.3390/electronics12041021
Zhao Q, Liu K, Li H. A Fractional-Order Multi-Rate Repetitive Controller for Single-Phase Grid-Connected Inverters. Electronics. 2023; 12(4):1021. https://doi.org/10.3390/electronics12041021
Chicago/Turabian StyleZhao, Qiangsong, Kaiyue Liu, and Hengyi Li. 2023. "A Fractional-Order Multi-Rate Repetitive Controller for Single-Phase Grid-Connected Inverters" Electronics 12, no. 4: 1021. https://doi.org/10.3390/electronics12041021
APA StyleZhao, Q., Liu, K., & Li, H. (2023). A Fractional-Order Multi-Rate Repetitive Controller for Single-Phase Grid-Connected Inverters. Electronics, 12(4), 1021. https://doi.org/10.3390/electronics12041021

