An Improved Theoretical Model to Extract the Optical Conductivity of Two-Dimensional Material from Terahertz Transmission or Reflection Spectroscopy
Abstract
1. Introduction
2. Theoretical Model
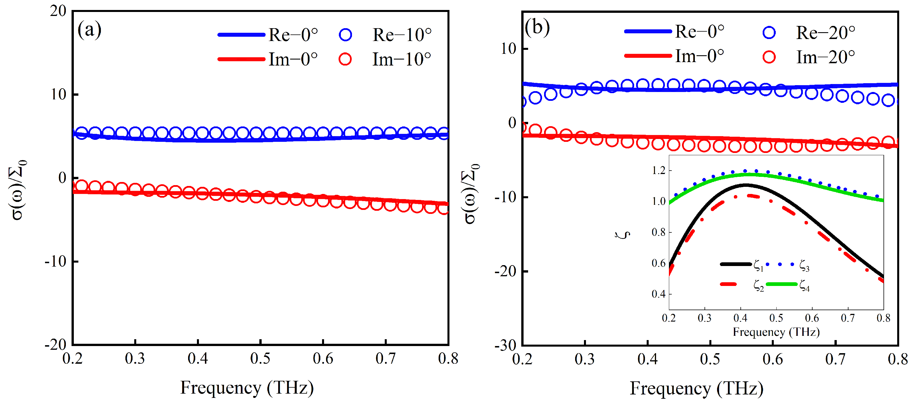
3. Results and Discussion
4. Conclusions
Supplementary Materials
Author Contributions
Funding
Institutional Review Board Statement
Informed Consent Statement
Data Availability Statement
Conflicts of Interest
References
- Ro/nne, C.; Thrane, L.; Åstrand, P.O.; Wallqvist, A.; Mikkelsen, K.V.; Keiding, S.R. Investigation of the temperature dependence of dielectric relaxation in liquid water by THz reflection spectroscopy and molecular dynamics simulation. J. Chem. Phys. 1997, 107, 5319–5331. [Google Scholar] [CrossRef]
- Zhou, L.; Xu, W.; Hua, T.; Lu, X.; Chen, J.; Jin, B.; Kang, L.; Wu, P. Transmission of THz wave by liquid dielectric waveguide. Sci. China Tech. Sci. 2010, 53, 1594–1597. [Google Scholar] [CrossRef]
- Nazarov, M.M.; Cherkasova, O.P.; Shkurinov, A.P. Study of the dielectric function of aqueous solutions of glucose and albumin by THz time-domain spectroscopy. Quantum Electron. 2016, 46, 488–495. [Google Scholar] [CrossRef]
- Torii, T.; Chiba, H.; Tanabe, T.; Oyama, Y. Measurements of glucose concentration in aqueous solutions using reflected THz radiation for applications to a novel sub-THz radiation non-invasive blood sugar measurement method. Digit. Health 2017, 3, 2055207617729534. [Google Scholar] [CrossRef] [PubMed]
- Baxter, J.B.; Schmuttenmaer, C.A. Carrier dynamics in bulk ZnO. I. Intrinsic conductivity measured by terahertz time-domain spectroscopy. Phys. Rev. B 2009, 80, 235205. [Google Scholar] [CrossRef]
- Sekiguchi, F.; Kim, C.; Akiyama, H.; Shimano, R. Exciton Mott transition in GaAs studied by terahertz spectroscopy. Proc. SPIE 2017, 10102, 88–93. [Google Scholar] [CrossRef]
- Song, D.; Tian, J.; Xu, W.; Wen, H.; Wang, C.; Tang, J.; Zhang, M.; Guo, M. Optically induced insulator-to-semiconductor transition in fluorescent carbon quantum dots measured by terahertz time-domain spectroscopy. Carbon 2021, 174, 741–749. [Google Scholar] [CrossRef]
- Cheng, B.; Wang, Y.; Barbalas, D.; Higo, T.; Nakatsuji, S.; Armitage, N.P. Terahertz conductivity of the magnetic Weyl semimetal Mn3Sn films. Appl. Phys. Lett. 2019, 115, 012405. [Google Scholar] [CrossRef]
- Zou, X.; Shang, J.; Leaw, J.; Luo, Z.; Luo, L.; Cheng, L.; Cheong, S.A.; Su, H.; Zhu, J.-X.; Liu, Y. Terahertz conductivity of twisted bilayer graphene. Phys. Rev. Lett. 2013, 110, 067401. [Google Scholar] [CrossRef]
- Chen, S.; Fan, F.; Miao, Y.; He, X.; Zhang, K.; Chang, S. Ultrasensitive terahertz modulation by silicon-grown MoS2 nanosheets. Nanoscale 2016, 8, 4713–4719. [Google Scholar] [CrossRef]
- Strait, J.H.; Wang, H.; Shivaraman, S.; Shields, V.; Spencer, M.; Rana, F. Very Slow Cooling Dynamics of Photoexcited Carriers in Graphene Observed by Optical-Pump Terahertz-Probe Spectroscopy. Nano Lett. 2011, 11, 4902–4906. [Google Scholar] [CrossRef]
- Sayers, C.J.; Dal Conte, S.; Wolverson, D.; Gadermaier, C.; Cerullo, G.; Carpene, E.; Da Como, E. Spectrally Resolving the Phase and Amplitude of Coherent Phonons in the Charge Density Wave State of 1T-TaSe2. Adv. Opt. Mater. 2022, 10, 2200362. [Google Scholar] [CrossRef]
- Ter Huurne, S.E.; Da Cruz, A.R.; Van Hoof, N.; Godiksen, R.H.; Elrafei, S.A.; Curto, A.G.; Flatté, M.E.; Rivas, J.G. High-Frequency Sheet Conductance of Nanolayered WS2 Crystals for Two-Dimensional Nanodevices. ACS Appl. Nano Mater. 2022, 5, 15557–15562. [Google Scholar] [CrossRef]
- He, C.; Zhu, L.; Zhao, Q.; Huang, Y.; Yao, Z.; Du, W.; He, Y.; Zhang, S.; Xu, X. Competition between Free Carriers and Excitons Mediated by Defects Observed in Layered WSe2 Crystal with Time-Resolved Terahertz Spectroscopy. Adv. Opt. Mater. 2018, 6, 1800290. [Google Scholar] [CrossRef]
- Lui, C.H.; Frenzel, A.J.; Pilon, D.V.; Lee, Y.H.; Ling, X.; Akselrod, G.M.; Kong, J.; Gedik, N. Trion induced negative photocon ductivity in monolayer MoS2. Phys. Rev. Lett 2014, 113, 166801. [Google Scholar] [CrossRef]
- Wang, Q.J.; Wang, H.; Zhou, Z.H.; Zuo, J.; Zhang, C.L. The split-off terahertz radiating dipoles on thermally reduced α-V2O5 (001) surface. Nanoscale 2020, 12, 21368–21375. [Google Scholar] [CrossRef]
- Ju, L.; Geng, B.; Horng, J.; Girit, C.; Martin, M.; Hao, Z.; Bechtel, H.A.; Liang, X.; Zettl, A.; Shen, Y.R. Graphene plasmonics for tunable terahertz metamaterials. Nat. Nanotechnol. 2011, 6, 630–634. [Google Scholar] [CrossRef]
- Colin-Ulloa, E.; Fitzgerald, A.; Montazeri, K.; Mann, J.; Natu, V.; Ngo, K.; Uzarski, J.; Barsoum, M.W.; Titova, L.V. Ultrafast Spectroscopy of Plasmons and Free Carriers in 2D MXenes. Adv. Mater. 2022, 12, e2208659. [Google Scholar] [CrossRef]
- Wang, C.; Xu, W.; Mei, H.; Qin, H.; Zhao, X.; Zhang, C.; Yuan, H.; Zhang, J.; Xu, Y.; Li, P.; et al. Substrate-induced electronic localization in monolayer MoS2 measured via terahertz spectroscopy. Opt. Lett. 2019, 44, 4139–4142. [Google Scholar] [CrossRef]
- Han, P.; Wang, X.; Zhang, Y. Time-Resolved Terahertz Spectroscopy Studies on 2D Van der Waals Materials. Adv. Opt. Mater. 2019, 8, 1900533. [Google Scholar] [CrossRef]
- Xing, X.; Zhao, L.; Zhang, Z.; Liu, X.; Zhang, K.L.; Yu, Y.; Lin, X.; Chen, H.Y.; Chen, J.Q.; Jin, Z.J. The Role of Photo-Induced Exciton in the Transient Terahertz Conductivity of Few-Layer WS2 Laminate. J. Phys. Chem. C 2017, 121, 20451–20457. [Google Scholar] [CrossRef]
- Duvillaret, L.; Garet, F.; Coutaz, J.L. A reliable method for extraction of material parameters in terahertz time-domain spectroscopy. IEEE J. Sel. Top. Quant. 1996, 2, 3. [Google Scholar] [CrossRef]
- Duvillaret, L.; Garet, F.; Coutaz, J.L. Highly precise determination of optical constants and sample thickness in terahertz time-domain spectroscopy. Appl. Opt. 1999, 38, 409–415. [Google Scholar] [CrossRef] [PubMed]
- Dorney, T.D.; Baraniuk, R.G.; Mittleman, D.M. Material parameter estimation with terahertz time-domain spectroscopy. J. Opt. Soc. Am. 2001, 18, 1562–1571. [Google Scholar] [CrossRef] [PubMed]
- Jin, B.; Zhang, C.; Shen, X.; Ma, J.; Chen, J.; Shi, S.; Wu, P. Extraction of material parameters of a bi-layer structure using Terahertz time-domain spectroscopy. Sci. China Inf. Sci. 2014, 57, 082408. [Google Scholar] [CrossRef]
- Thoman, A.; Kern, A.; Helm, H.; Walther, M. Nanostructured gold films as broadband terahertz antireflection coatings. Phys. Rev. B 2008, 77, 195405. [Google Scholar] [CrossRef]
- Tinkham, M. Energy Gap Interpretation of Experiments on Infrared Transmission through Superconducting Films. Phys. Rev. 1956, 104, 845–846. [Google Scholar] [CrossRef]
- Glover, R.E.; Tinkham, M. Conductivity of Superconducting Films for Photon Energies between 0.3 and 40k Tc. Phys. Rev. 1957, 108, 243–256. [Google Scholar] [CrossRef]
- Whelan, P.R.; Huang, D.; Mackenzie, D.; Messina, S.A.; Li, Z.; Li, X.; Li, Y.; Booth, T.; Jepsen, P.; Shi, H. Conductivity mapping of graphene on polymeric films by terahertz time-domain Spectroscopy. Opt. Express 2018, 26, 17749. [Google Scholar] [CrossRef]
- Bøggild, P.; Mackenzie, D.M.; Whelan, P.R.; Petersen, D.H.; Buron, J.D.; Zurutuza, A.; Gallop, J.; Hao, L.; Jepsen, P. Mapping the electrical properties of large-area graphene. 2D Mater. 2017, 4, 042003. [Google Scholar] [CrossRef]
- Gao, F.; Carr, G.L.; Porter, C.D.; Tanner, D.B.; Williams, G.P.; Hirschmugl, C.J.; Dutta, B.; Wu, X.D.; Etemad, S. Quasiparticle damping and the coherence peak in YBa2Cu3O7−δ. Phys. Rev. B 1996, 54, 699–710. [Google Scholar] [CrossRef]
- Jepsen, P.U.; Cooke, D.G.; Koch, M. Terahertz spectroscopy and imaging-Modern techniques and applications. Laser Photonics Rev. 2012, 5, 124–166. [Google Scholar] [CrossRef]
- Thrane, L.; Jacobsen, R.H.; Jepsen, P.U.; Keiding, S.R. THz reflection spectroscopy of liquid water. Chem. Phys. Lett. 1995, 240, 330–333. [Google Scholar] [CrossRef]
- Jepsen, P.U.; Møller, U.; Merbold, H. Investigation of aqueous alcohol and sugar solutions with reflection terahertz time-domain spectroscopy. Opt. Express 2007, 15, 14717–14737. [Google Scholar] [CrossRef]
- Chen, X.; Pickwell-MacPherson, E. An introduction to terahertz time-domain spectroscopic ellipsometry. APL Photon. 2022, 7, 071101. [Google Scholar] [CrossRef]
- Ding, L.; Qiu, T.; Zhang, J.; Wen, X. Generalized Brewster effect tuned optically in a graphene/substrate system. J. Opt. 2019, 21, 125602. [Google Scholar] [CrossRef]
- Grischkowsky, D.; Keiding, S.; Van Exter, M.; Fattinger, C. Far-infrared time-domain spectroscopy with terahertz beams of dielectrics and semiconductors. J. Opt. Soc. Am. B 1990, 7, 2006–2015. [Google Scholar] [CrossRef]
- Zhang, J.; Ding, L.; Zhou, S.; Xiao, Y.M.; Xu, W. Observation and Optical Control of Saturable Excitonic Behaviors in Monolayer MoS2. Phys. Status Solidi RRL 2020, 14, 2000222. [Google Scholar] [CrossRef]
- Bohren, C.F. What did Kramers and Kronig do and how did they do it? Eur. J. Phys. 2010, 31, 573–577. [Google Scholar] [CrossRef]






| Order | Transmission (p-/s-Polarized) | Reflection (p-/s-Polarized) |
|---|---|---|
| 1st | ||
| 2nd | ||
| 3rd | ||
| …… | …… | …… |
| m-th |
| 1st | p-Polarized | s-Polarized |
|---|---|---|
| Transmission coefficient | ||
| Complex optical conductivity | ||
| Real part | ||
| Imaginary part | ||
| Reflection coefficient | ||
| Complex optical conductivity | ||
| Real part | ||
| Imaginary part |
Disclaimer/Publisher’s Note: The statements, opinions and data contained in all publications are solely those of the individual author(s) and contributor(s) and not of MDPI and/or the editor(s). MDPI and/or the editor(s) disclaim responsibility for any injury to people or property resulting from any ideas, methods, instructions or products referred to in the content. |
© 2023 by the authors. Licensee MDPI, Basel, Switzerland. This article is an open access article distributed under the terms and conditions of the Creative Commons Attribution (CC BY) license (https://creativecommons.org/licenses/by/4.0/).
Share and Cite
Wang, Q.; Qin, J.; Xiao, Y.; Xu, W.; Ding, L. An Improved Theoretical Model to Extract the Optical Conductivity of Two-Dimensional Material from Terahertz Transmission or Reflection Spectroscopy. Electronics 2023, 12, 864. https://doi.org/10.3390/electronics12040864
Wang Q, Qin J, Xiao Y, Xu W, Ding L. An Improved Theoretical Model to Extract the Optical Conductivity of Two-Dimensional Material from Terahertz Transmission or Reflection Spectroscopy. Electronics. 2023; 12(4):864. https://doi.org/10.3390/electronics12040864
Chicago/Turabian StyleWang, Qiujin, Jian Qin, Yiming Xiao, Wen Xu, and Lan Ding. 2023. "An Improved Theoretical Model to Extract the Optical Conductivity of Two-Dimensional Material from Terahertz Transmission or Reflection Spectroscopy" Electronics 12, no. 4: 864. https://doi.org/10.3390/electronics12040864
APA StyleWang, Q., Qin, J., Xiao, Y., Xu, W., & Ding, L. (2023). An Improved Theoretical Model to Extract the Optical Conductivity of Two-Dimensional Material from Terahertz Transmission or Reflection Spectroscopy. Electronics, 12(4), 864. https://doi.org/10.3390/electronics12040864

