A Novel OFDM-Based Time Domain Quadrature GSM for Visible Light Communication System
Abstract
:1. Introduction
2. Channel Model
3. Two Proposed OFDM-Based QG-MIMO Schemes
3.1. TD-QGSM
3.2. TD-QGSMP
3.3. SE Analysis
4. Detection Methods
4.1. The Traditional ML-MRC Detection Algorithm
4.2. Proposed IVC-Based OMP Detection Algorithm
- (a)
- Determine the legitimacy of the obtained index vector . If the index vector is legal, it will be directly used as the final estimated index vector for demapping. If the index vector is illegal, it will be compared with each vector of the legal LED index matrix .
- (b)
- Sequentially select the vector from with the highest number of the same elements in the same position as .
- (c)
- If there are multiple vectors in that meet the condition in step (b), priority will be given to the vector that appears first in the order, and then the selected vector will be used as the final estimated index vector for demapping.
| Algorithm 1: The Proposed IVC-Based OMP Detection Method |
| Input: : the channel matrix, : the received signal vector, : the transmitted signal vector, N: signal sparsity or the number of the activated LEDs.
Output: : the estimated signal vector, : the activated LED index. |
| 1. Initialization: , , , . |
| 2. Normalize the matrix via (11) and obtain . |
| 3. for do |
| 4. for do |
| 5. Compute the inner product of and via (12). |
| 6. Put the first N inner products with the maximum absolute values into the set . |
| 7. Update , , and via (13), (14), and (15), respectively. |
| 8. Obtain by using least squares described in (16). |
| 9. Update and via (17) and (18), respectively. |
| 10. . |
| 11. end |
| 12. Obtain via (19). |
| 13. if legal index matrix then |
| 14. Obtain via the step (a) of Criterion A. |
| 15. else |
| 16. Obtain via the step (b) and (c) of Criterion A. |
| 17. end |
| 18. Obtain by arranging the elements in the set in iterative order. |
| 19. end |
4.3. Complexity Analysis
5. Simulations
5.1. Spectral Efficiency
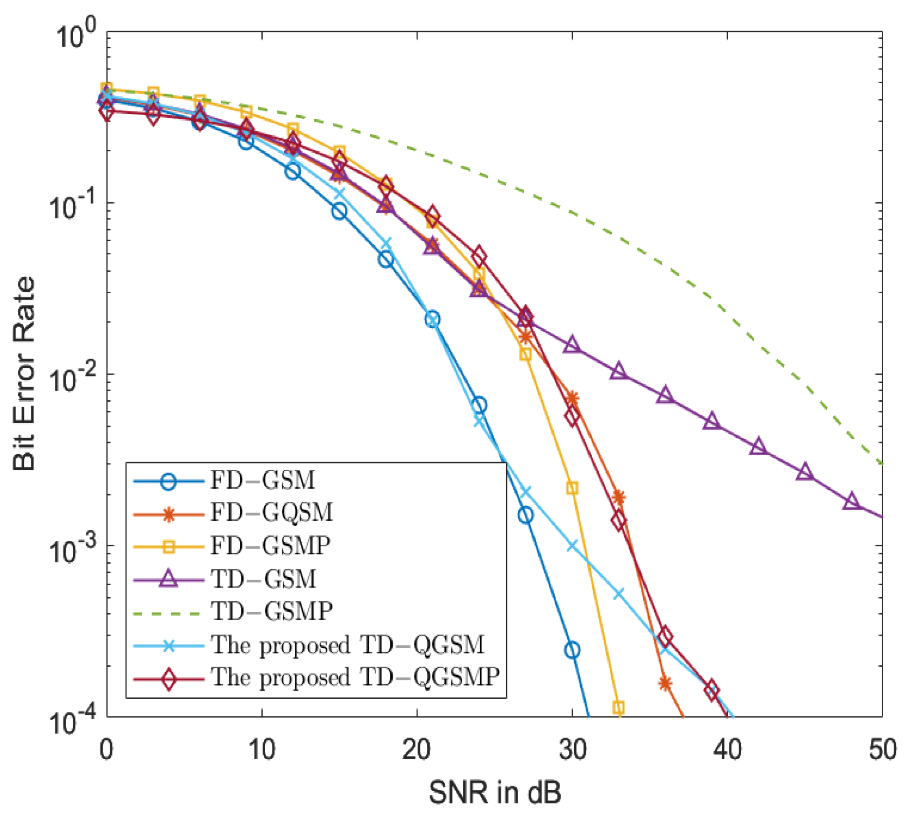
5.2. BER Performance
6. Conclusions
Author Contributions
Funding
Data Availability Statement
Conflicts of Interest
References
- Yang, P.; Xiao, Y.; Xiao, M.; Li, S. 6G Wireless Communications: Vision and Potential Techniques. IEEE Netw. 2019, 33, 70–75. [Google Scholar] [CrossRef]
- Chi, N.; Zhou, Y.; Wei, Y.; Hu, F. Visible Light Communication in 6G: Advances, Challenges, and Prospects. IEEE Veh. Technol. Mag. 2020, 15, 93–102. [Google Scholar] [CrossRef]
- Cogalan, T.; Haas, H. Why would 5G need optical wireless communications? In Proceedings of the 2017 IEEE 28th Annual International Symposium on Personal, Indoor, and Mobile Radio Communications (PIMRC), Montreal, QC, Canada, 8–13 October 2017; pp. 1–6. [Google Scholar]
- Miao, P.; Chen, G.; Wang, X.; Yao, Y.; Chambers, J.A. Adaptive Nonlinear Equalization Combining Sparse BaYesian Learning and Kalman Filtering for Visible Light Communications. J. Light. Technol. 2020, 38, 6732–6745. [Google Scholar] [CrossRef]
- Miao, P.; Chen, P.; Chen, Z. Low-complexity PAPR Reduction Scheme Combining Multi-band Hadamard Precoding and Clipping in OFDM-based Optical Communications. Electronics 2018, 7, 11. [Google Scholar] [CrossRef]
- Wang, K.; Song, T.; Wang, Y.; Fang, C.; He, J.; Nirmalathas, A.; Lim, C.; Wang, E.; Kandeepan, S. Evolution of Short-Range Optical Wireless Communications. J. Light. Technol. 2023, 41, 1019–1040. [Google Scholar] [CrossRef]
- Miao, P.; Chen, G.; Cumanan, K.; Yao, Y.; Chambers, J. Deep Hybrid Neural Network-Based Channel Equalization in Visible Light Communication. IEEE Commun. Lett. 2022, 26, 1593–1597. [Google Scholar] [CrossRef]
- Stepniak, G.; Schüppert, M.; Bunge, C.-A. Advanced Modulation Formats in Phosphorous LED VLC Links and the Impact of Blue Filtering. J. Light. Technol. 2015, 33, 4413–4423. [Google Scholar] [CrossRef]
- Chen, C.; Zeng, L.; Zhong, X.; Fu, S.; Zeng, Z.; Liu, M.; Hass, H. 2D Generalized Optical Spatial Modulation for O-MIMO Systems. IEEE Photonics J. 2022, 14, 7343606. [Google Scholar] [CrossRef]
- Soltani, M.D.; Arfaoui, M.A.; Tavakkolnia, I.; Ghrayeb, A.; Safari, M.; Assi, C.M.; Hasna, M.O.; Haas, H. Bidirectional Optical Spatial Modulation for Mobile Users: Toward a Practical Design for LiFi Systems. IEEE J. Sel. Areas Commun. 2019, 37, 2069–2086. [Google Scholar] [CrossRef]
- Chen, C.; Yang, H.; Du, P.; Zhong, W.; Alphones, A.; Yang, Y.; Deng, X. User-Centric MIMO Techniques for Indoor Visible Light Communication Systems. IEEE Syst. J. 2020, 14, 3202–3213. [Google Scholar] [CrossRef]
- Kumar, C.R.; Jeyachitra, R.K. Power Efficient Generalized Spatial Modulation MIMO for Indoor Visible Light Communications. IEEE Photonics Technol. Lett. 2017, 29, 921–924. [Google Scholar] [CrossRef]
- Al-Nahhal, M.; Basar, E.; Uysal, M. Flexible Generalized Spatial Modulation for Visible Light Communications. IEEE Trans. Veh. Technol. 2021, 29, 1041–1045. [Google Scholar] [CrossRef]
- Zhong, X.; Chen, C.; Fu, S.; Jian, X.; Liu, M.; Deng, X. OFDM-Based Generalized Spatial Modulation for Optical Wireless Communication. In Proceedings of the 2021 IEEE 16th Conference on Industrial Electronics and Applications (ICIEA), Chengdu, China, 1–4 August 2021; pp. 1311–1316. [Google Scholar]
- Chen, C.; Zhong, X.; Fu, S.; Jian, X.; Liu, M.; Yang, H.; Alphones, A.; Fu, H.Y. OFDM-Based Generalized Optical MIMO. J. Light. Technol. 2021, 39, 6063–6075. [Google Scholar] [CrossRef]
- Jeganathan, J.; Ghrayeb, A.; Szczecinski, L. Spatial Modulation: Optimal Detection and Performance Analysis. IEEE Commun. Lett. 2008, 12, 545–547. [Google Scholar] [CrossRef]
- Maleki, M.; Bahrami, H.R.; Alizadeh, A. On MRC-Based Detection of Spatial Modulation. IEEE Trans. Wirel. Commun. 2016, 15, 3019–3029. [Google Scholar] [CrossRef]
- Le, K.N. MRC Receivers Under Multivariate Equal-Correlated Rician Fading. IEEE Syst. J. 2021, 15, 4078–4081. [Google Scholar] [CrossRef]
- Chen, C.; Zeng, L.; Zhong, X.; Fu, S.; Liu, M.; Du, P. Deep Learning-Aided OFDM-Based Generalized Optical Quadrature Spatial Modulation. IEEE Photonics J. 2022, 14, 7302306. [Google Scholar] [CrossRef]
- Zuo, T.; Wang, F.; Zhang, J. Sparsity Signal Detection for Indoor GSSK-VLC System. IEEE Trans. Veh. Technol. 2021, 70, 12975–12984. [Google Scholar] [CrossRef]
- Komine, T.; Nakagawa, M. Fundamental Analysis for Visible-light Communication System Using LED Lights. IEEE Trans. Consum. Electron. 2004, 50, 100–107. [Google Scholar] [CrossRef]










| Spatial Bits | LED 1 | LED 2 | LED 3 | LED 4 | LED 5 | LED 6 |
|---|---|---|---|---|---|---|
| 000 | 0 | 0 | ||||
| 001 | 0 | 0 | ||||
| 010 | 0 | 0 | ||||
| 011 | 0 | 0 | ||||
| 100 | 0 | 0 | ||||
| 101 | 0 | 0 | ||||
| 110 | 0 | 0 | ||||
| 111 | 0 | 0 |
| Spatial Bits | LED 1 | LED 2 | LED 3 | LED 4 | LED 5 | LED 6 |
|---|---|---|---|---|---|---|
| 000 | 0 | 0 | ||||
| 001 | 0 | 0 | ||||
| 010 | 0 | 0 | ||||
| 011 | 0 | 0 | ||||
| 100 | 0 | 0 | ||||
| 101 | 0 | 0 | ||||
| 110 | 0 | 0 | ||||
| 111 | 0 | 0 |
| Transmission Scheme | Achievable Rate | Feature |
|---|---|---|
| FD-GSM | GSM performed in frequency domain. | |
| FD-GSMP | 1. Constellation mapping symbols divided into N groups; 2. GSM performed in frequency domain. | |
| FD-GQSM | 1. I/Q separation performed before OFDM modulation; 2. GSM performed in frequency domain. | |
| TD-GSM | GSM performed in time domain. | |
| TD-GSMP | 1. Constellation mapping symbols divided into groups; 2. GSMP performed in time domain. | |
| The proposed TD-QGSM | 1. I/Q separation performed before OFDM modulation; 2. GSM performed in time domain. | |
| The proposed TD-QGSMP | 1. Constellation mapping symbols divided into groups; 2. I/Q separation performed before OFDM modulation; 3. GSMP performed in time domain. |
| Detection Algorithm | Activated LED Number | Floating Point Operation Count |
|---|---|---|
| ML-MRC | 1 | 512 |
| 2 | 12,288 | |
| 3 | 262,144 | |
| 4 | 1,310,720 | |
| The proposed IVC-based OMP | 1 | 64 |
| 2 | 160 | |
| 3 | 288 | |
| 4 | 448 |
| Parameter | Value |
|---|---|
| Number of LEDs | 4 |
| Number of PDs | 4 |
| Room dimension | 4 m × 4 m × 3 m |
| Height of ceiling | 3 m |
| LED spacing | 2 m |
| Height of receiving plane | 0.85 m |
| PD spacing | 10 cm |
| Semi-angle at half power of LED | 60 |
| Responsivity of the PD | 0.53 A/W |
| Active area of PD | cm2 |
| Refractive index | 1.5 |
| Half-angle FOV of optical lens | 60 |
| Gain of the optical filter | 0.9 |
| Number of activated LEDs | 2 |
Disclaimer/Publisher’s Note: The statements, opinions and data contained in all publications are solely those of the individual author(s) and contributor(s) and not of MDPI and/or the editor(s). MDPI and/or the editor(s) disclaim responsibility for any injury to people or property resulting from any ideas, methods, instructions or products referred to in the content. |
© 2023 by the authors. Licensee MDPI, Basel, Switzerland. This article is an open access article distributed under the terms and conditions of the Creative Commons Attribution (CC BY) license (https://creativecommons.org/licenses/by/4.0/).
Share and Cite
Shi, Z.; Miao, P.; Pang, L.; Zhang, Y. A Novel OFDM-Based Time Domain Quadrature GSM for Visible Light Communication System. Electronics 2024, 13, 71. https://doi.org/10.3390/electronics13010071
Shi Z, Miao P, Pang L, Zhang Y. A Novel OFDM-Based Time Domain Quadrature GSM for Visible Light Communication System. Electronics. 2024; 13(1):71. https://doi.org/10.3390/electronics13010071
Chicago/Turabian StyleShi, Zichun, Pu Miao, Liyuan Pang, and Yudong Zhang. 2024. "A Novel OFDM-Based Time Domain Quadrature GSM for Visible Light Communication System" Electronics 13, no. 1: 71. https://doi.org/10.3390/electronics13010071
APA StyleShi, Z., Miao, P., Pang, L., & Zhang, Y. (2024). A Novel OFDM-Based Time Domain Quadrature GSM for Visible Light Communication System. Electronics, 13(1), 71. https://doi.org/10.3390/electronics13010071

