Designing Multifunctional Multiferroic Composites for Advanced Electronic Applications
Abstract
1. Introduction
2. Experimental
2.1. Cobalt Ferrite Nanoparticles Synthesis
2.2. PZT-5A Fibers
2.3. Electron Microscopy
2.4. Composite Assembly
2.5. PZT Fibers Poling
2.6. Dielectric Permittivity and Dielectric Loss Tangent Measurements
2.7. Magnetoelectric Measurements
3. Results and Discussion
3.1. Electron Microscopy
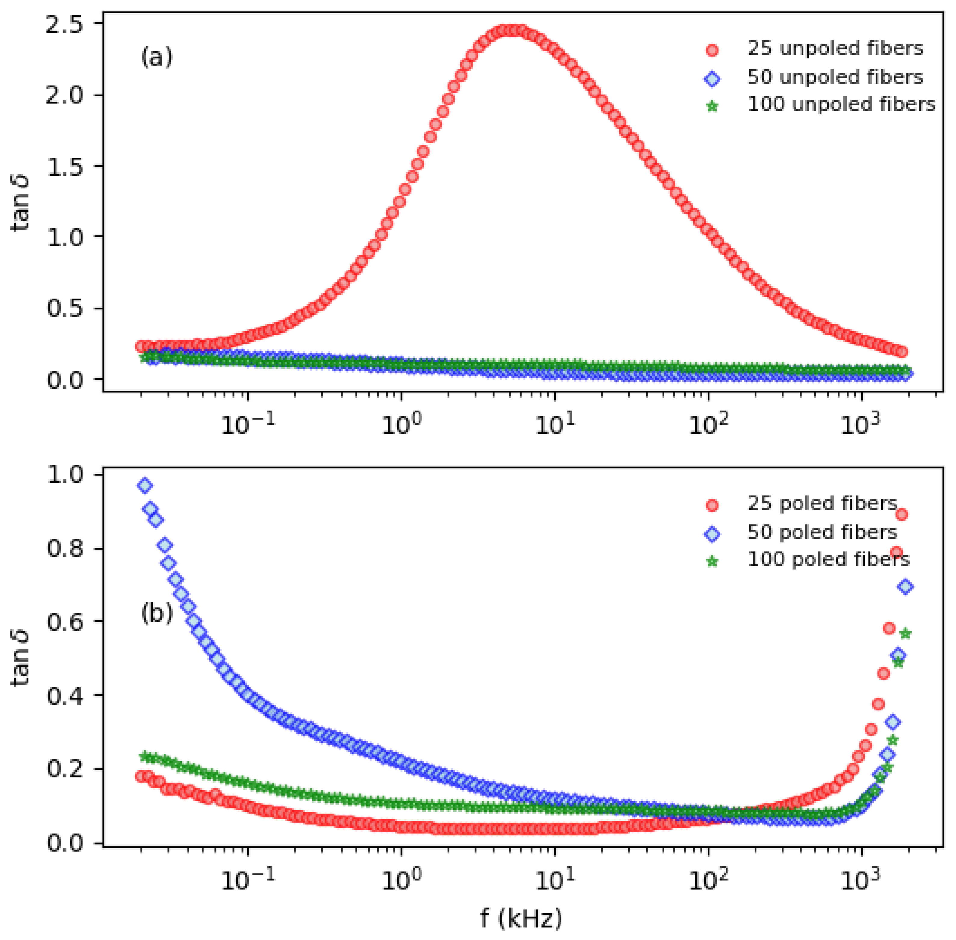
3.2. Dielectric Measurements
3.3. Magnetoelectric Measurements
4. Conclusions
Author Contributions
Funding
Data Availability Statement
Acknowledgments
Conflicts of Interest
References
- Spaldin, N.A.; Fiebig, M. The renaissance of magnetoelectric multiferroics. Science 2005, 309, 391–392. [Google Scholar] [CrossRef]
- Schmid, H. Multi-ferroic magnetoelectrics. Ferroelectrics 1994, 162, 317–338. [Google Scholar] [CrossRef]
- Nan, C.W.; Bichurin, M.I.; Dong, S.; Viehland, D.; Srinivasan, G. Multiferroic magnetoelectric composites: Historical perspective, status, and future directions. J. Appl. Phys. 2008, 103, 031101. [Google Scholar] [CrossRef]
- Pradhan, D.K.; Kumari, S.; Rack, P.D. Magnetoelectric Composites: Applications, Coupling Mechanisms, and Future Directions. Nanomaterials 2020, 10, 2072. [Google Scholar] [CrossRef]
- Rafique, M.; ul Hassan, S.Q.; Awan, M.S.; Manzoor, S. Dependence of magnetoelectric properties on the magnetostrictive content in 0–3 composites. Ceram. Int. 2013, 39, 213–216. [Google Scholar] [CrossRef]
- Getman, I. Magnetoelectric composite materials: Theoretical approach to determine their properties. Ferroelectrics 1994, 162, 45–50. [Google Scholar] [CrossRef]
- Katayama, T.; Yasui, S.; Hamasaki, Y.; Shiraishi, T.; Akama, A.; Kiguchi, T.; Itoh, M. Ferroelectric and Magnetic Properties in Room-Temperature Multiferroic GaxFe2−xO3 Epitaxial Thin Films. Adv. Funct. Mater. 2017, 28, 1704789. [Google Scholar] [CrossRef]
- Chu, Z.; PourhosseiniAsl, M.; Dong, S. Review of multi-layered magnetoelectric composite materials and devices applications. J. Phys. Appl. Phys. 2018, 51, 243001. [Google Scholar] [CrossRef]
- Wang, Y.; Hu, J.; Lin, Y.; Nan, C.W. Multiferroic magnetoelectric composite nanostructures. NPG Asia Mater. 2010, 2, 61–68. [Google Scholar] [CrossRef]
- Kopyl, S.; Surmenev, R.; Surmeneva, M.; Fetisov, Y.; Kholkin, A. Magnetoelectric effect: Principles and applications in biology and medicine—A review. Mater. Today Bio 2021, 12, 100149. [Google Scholar] [CrossRef]
- Leung, C.M.; Li, J.; Viehland, D.; Zhuang, X. A review on applications of magnetoelectric composites: From heterostructural uncooled magnetic sensors, energy harvesters to highly efficient power converters. J. Phys. D Appl. Phys. 2018, 51, 263002. [Google Scholar] [CrossRef]
- Nan, C.W. Magnetoelectric effect in composites of piezoelectric and piezomagnetic phases. Phys. Rev. B Condens. Matter 1994, 50, 6082–6088. [Google Scholar] [CrossRef]
- Lopatin, S.; Lopatina, I.; Lisnevskaya, I. Magnetoelectric PZT/ferrite composite material. Ferroelectrics 1994, 162, 63–68. [Google Scholar] [CrossRef]
- Ryu, J.; Carazo, A.V.; Uchino, K.; Kim, H.E. Magnetoelectric properties in piezoelectric and magnetostrictive laminate composites. Jpn. J. Appl. Phys. 2001, 40, 4948. [Google Scholar] [CrossRef]
- Cho, K.H.; Bichurin, M.I.; Petrov, V.M.; Bhalla, A.; Priya, S. Magnetoelectric laminate composite: Effect of piezoelectric layer on magnetoelectric properties. Ferroelectrics 2014, 473, 110–128. [Google Scholar] [CrossRef]
- Tian, R.; Liu, J.; Liu, X. Magnetoelectric properties of piezoelectric-piezomagnetic composites with elliptical nanofibers. Acta Mech. Solida Sin. 2020, 33, 368–380. [Google Scholar] [CrossRef]
- Bichurin, M.; Petrov, V. Modeling of Magnetoelectric Effects in Composites; Springer: Dordrecht, The Netherlands, 2014. [Google Scholar] [CrossRef]
- Elzenheimer, E.; Bald, C.; Engelhardt, E.; Hoffmann, J.; Hayes, P.; Arbustini, J.; Bahr, A.; Quandt, E.; Höft, M.; Schmidt, G. Quantitative Evaluation for Magnetoelectric Sensor Systems in Biomagnetic Diagnostics. Sensors 2022, 22, 1018. [Google Scholar] [CrossRef]
- Jahns, R.; Knochel, R.; Greve, H.; Woltermann, E.; Lage, E.; Quandt, E. Magnetoelectric sensors for biomagnetic measurements. In Proceedings of the 2011 IEEE International Symposium on Medical Measurements and Applications, Bari, Italy, 30–31 May 2011; IEEE: Piscataway, NJ, USA, 2011. [Google Scholar] [CrossRef]
- Elzenheimer, E.; Hayes, P.; Thormählen, L.; Engelhardt, E.; Zaman, A.; Quandt, E.; Frey, N.; Höft, M.; Schmidt, G. Investigation of Converse Magnetoelectric Thin-Film Sensors for Magnetocardiography. IEEE Sens. J. 2023, 23, 5660–5669. [Google Scholar] [CrossRef]
- Gao, J.; Wang, Y.; Li, M.; Shen, Y.; Li, J.; Viehland, D. Quasi-static (f<10−2Hz) frequency response of magnetoelectric composites based magnetic sensor. Mater. Lett. 2012, 85, 84–87. [Google Scholar]
- Duc, N.H.; Giang, D.T.H. Magnetic sensors based on piezoelectric-magnetostrictive composites. J. Alloys Compd. 2008, 449, 214–218. [Google Scholar] [CrossRef]
- Klug, M.J.; Thormählen, L.; Röbisch, V.; Toxværd, S.D.; Höft, M.; Knöchel, R.; Quandt, E.; Meyners, D.; McCord, J. Antiparallel exchange biased multilayers for low magnetic noise magnetic field sensors. Appl. Phys. Lett. 2019, 114, 192410. [Google Scholar] [CrossRef]
- Hu, J.M.; Nan, T.; Sun, N.X.; Chen, L.Q. Multiferroic magnetoelectric nanostructures for novel device applications. MRS Bull. 2015, 40, 728–735. [Google Scholar] [CrossRef]
- Hu, J.M.; Nan, C.W. Opportunities and challenges for magnetoelectric devices. APL Mater. 2019, 7, 080905. [Google Scholar] [CrossRef]
- Nan, T.; Lin, H.; Gao, Y.; Matyushov, A.; Yu, G.; Chen, H.; Sun, N.; Wei, S.; Wang, Z.; Li, M.; et al. Acoustically actuated ultra-compact NEMS magnetoelectric antennas. Nat. Commun. 2017, 8, 296. [Google Scholar] [CrossRef]
- Jiang, L.; Yang, Y.; Chen, R.; Lu, G.; Li, R.; Li, D.; Humayun, M.S.; Shung, K.K.; Zhu, J.; Chen, Y.; et al. Flexible piezoelectric ultrasonic energy harvester array for bio-implantable wireless generator. Nano Energy 2019, 56, 216–224. [Google Scholar] [CrossRef]
- Kuts, V.V.; Turutin, A.V.; Kislyuk, A.M.; Kubasov, I.V.; Maksumova, E.E.; Temirov, A.A.; Malinkovich, M.D.; Sobolev, N.A.; Parkhomenko, Y.N. Detection of inhomogeneous magnetic fields using magnetoelectric composites. Mod. Electron. Mater. 2023, 9, 105–113. [Google Scholar] [CrossRef]
- Turutin, A.V.; Kubasov, I.V.; Kislyuk, A.M.; Kuts, V.V.; Malinkovich, M.D.; Parkhomenko, Y.N.; Sobolev, N.A. Ultra-sensitive magnetoelectric sensors of magnetic fields for biomedical applications. Nanotechnol. Russ. 2022, 17, 261–289. [Google Scholar] [CrossRef]
- Liang, X.; Matyushov, A.; Hayes, P.; Schell, V.; Dong, C.; Chen, H.; He, Y.; Will-Cole, A.; Quandt, E.; Martins, P.; et al. Roadmap on Magnetoelectric Materials and Devices. IEEE Trans. Magn. 2021, 57, 1–57. [Google Scholar] [CrossRef]
- Plyushch, A.; Lewin, D.; Sokal, A.; Grigalaitis, R.; Shvartsman, V.V.; Macutkevič, J.; Salamon, S.; Wende, H.; Lapko, K.N.; Kuzhir, P.P.; et al. Magnetoelectric coupling in nonsintered bulk BaTiO3−xCoFe2O4 multiferroic composites. J. Alloys Compd. 2022, 917, 165519. [Google Scholar] [CrossRef]
- Plyushch, A.; Lewin, D.; Ažubalis, P.; Kalendra, V.; Sokal, A.; Grigalaitis, R.; Shvartsman, V.V.; Salamon, S.; Wende, H.; Selskis, A.; et al. Phosphate bonded CoFe2O4–BaTiO3 layered structures: Dielectric relaxations and magnetoelectric coupling. Lith. J. Phys. 2022, 62, 221–228. [Google Scholar] [CrossRef]
- Gao, R.; Zhang, Q.; Xu, Z.; Wang, Z.; Chen, G.; Fu, C.; Deng, X.; Cai, W. Anomalous Magnetoelectric Coupling Effect of CoFe2O4–BaTiO3 Binary Mixed Fluids. ACS Appl. Electron. Mater. 2019, 1, 1120–1132. [Google Scholar] [CrossRef]
- Srinivasan, G. Magnetoelectric Composites. Annu. Rev. Mater. Res. 2010, 40, 153–178. [Google Scholar] [CrossRef]
- Li, C.; Xu, R.; Gao, R.; Wang, Z.; Chen, G.; Deng, X.; Cai, W.; Fu, C.; Li, Q. A comparative study on the structural, dielectric, ferroelectric and magnetic properties of CoFe2O4/PbZr0.52Ti0.48O3 multiferroic composite with different molar ratios. J. Phys. Commun. 2019, 3, 125010. [Google Scholar] [CrossRef]
- Peng, J.-H.; Hojamberdiev, M.; Li, H.-Q.; Mao, D.-L.; Zhao, Y.-J.; Liu, P.; Zhou, J.-P.; Zhu, G.-Q. Electrical, magnetic, and direct and converse magnetoelectric properties of (1 − x)Pb(Zr0.52Ti0.48)O3 − (x)CoFe2O4 (PZT–CFO) magnetoelectric composites. J. Magn. Magn. Mater. 2015, 378, 298–305. [Google Scholar] [CrossRef]
- Lu, S.G.; Xu, Z.K.; Wang, Y.P.; Guo, S.S.; Chen, H.; Li, T.L.; Or, S.W. Effect of CoFe2O4 content on the dielectric and magnetoelectric properties in Pb(ZrTi)O3/CoFe2O4 composite. J. Electroceram. 2007, 21, 398–400. [Google Scholar] [CrossRef]
- Gao, J.; Jiang, Z.; Zhang, S.; Mao, Z.; Shen, Y.; Chu, Z. Review of Magnetoelectric Sensors. Actuators 2021, 10, 109. [Google Scholar] [CrossRef]
- Laletin, V.M.; Srinivasan, G. Magnetoelectric Effects in Composites of Nickel Ferrite and Barium Lead Zirconate Titanate. Ferroelectrics 2002, 280, 177–185. [Google Scholar] [CrossRef]
- Lam, K.H.; Lo, C.Y.; Chan, H.L.W. Frequency response of magnetoelectric 1–3-type composites. J. Appl. Phys. 2010, 107. [Google Scholar] [CrossRef]








Disclaimer/Publisher’s Note: The statements, opinions and data contained in all publications are solely those of the individual author(s) and contributor(s) and not of MDPI and/or the editor(s). MDPI and/or the editor(s) disclaim responsibility for any injury to people or property resulting from any ideas, methods, instructions or products referred to in the content. |
© 2024 by the authors. Licensee MDPI, Basel, Switzerland. This article is an open access article distributed under the terms and conditions of the Creative Commons Attribution (CC BY) license (https://creativecommons.org/licenses/by/4.0/).
Share and Cite
Pereira, L.N.; Pastoril, J.C.A.; Dias, G.S.; Santos, I.A.d.; Guo, R.; Bhalla, A.S.; Cotica, L.F. Designing Multifunctional Multiferroic Composites for Advanced Electronic Applications. Electronics 2024, 13, 2266. https://doi.org/10.3390/electronics13122266
Pereira LN, Pastoril JCA, Dias GS, Santos IAd, Guo R, Bhalla AS, Cotica LF. Designing Multifunctional Multiferroic Composites for Advanced Electronic Applications. Electronics. 2024; 13(12):2266. https://doi.org/10.3390/electronics13122266
Chicago/Turabian StylePereira, Lilian Nunes, Julio Cesar Agreira Pastoril, Gustavo Sanguino Dias, Ivair Aparecido dos Santos, Ruyan Guo, Amar S. Bhalla, and Luiz Fernando Cotica. 2024. "Designing Multifunctional Multiferroic Composites for Advanced Electronic Applications" Electronics 13, no. 12: 2266. https://doi.org/10.3390/electronics13122266
APA StylePereira, L. N., Pastoril, J. C. A., Dias, G. S., Santos, I. A. d., Guo, R., Bhalla, A. S., & Cotica, L. F. (2024). Designing Multifunctional Multiferroic Composites for Advanced Electronic Applications. Electronics, 13(12), 2266. https://doi.org/10.3390/electronics13122266

