Digital LDO Analysis and All-Stable High-PSR One-LSB Oscillator Design
Abstract
1. Introduction: On-Chip Power Supplies for Digital Systems
2. Digital LDO
2.1. Operation
2.2. Loop Model
- Z-domain analysis masks effects beyond clock frequency, which might hide effects that show up when the clock is varied in DVFS;
- There already exists a multitude of prior art techniques outlining ways to improve system stability that use s-domain analysis that may be easily leveraged by a designer when compared to the more arcane z-domain analysis;
- S-domain analysis is more intuitive since it directly relates to component-level effects from resistors, capacitors, etc. that are easily converted to ohmic translations to avoid solving non-intuitive difference equations;
- Z-domain analysis assumes a zero-order-hold approximation for DACs, with voltages and currents assumed to be fixed in between clock cycles, so this cannot be extended to slow clock systems or for power supply ripple analysis.
2.3. Loaded Feedback Translation
3. ADC Response
3.1. Flash ADC
3.2. Timed ADC for Higher Resolution
4. DAC Response
4.1. Low-Frequency Gain
4.2. Frequency Response
5. Closed-Loop Operation
5.1. Oscillator
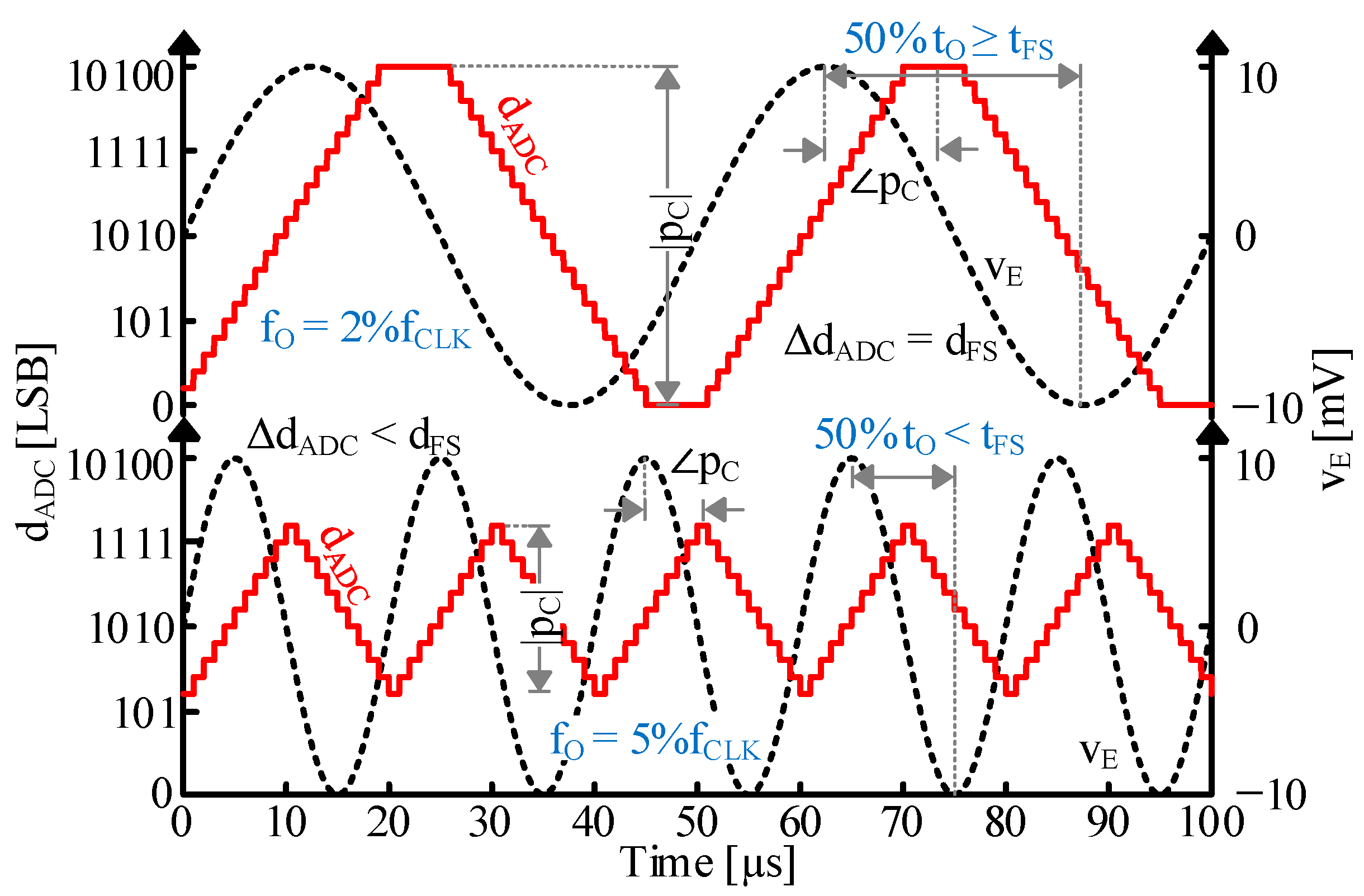
5.2. Sub-Clock Oscillation
5.3. One-LSB Regulator
6. Output Regulation
6.1. Power-Supply Rejection
6.2. Design
7. Conclusions
Author Contributions
Funding
Data Availability Statement
Acknowledgments
Conflicts of Interest
References
- Mao, X.; Lu, Y.; Martins, R.P. A 1-A Switching LDO with 40-mV Dropout Voltage and Fast DVS. IEEE Trans. Circuits Syst. II Express Briefs 2023, 70, 3454–3458. [Google Scholar] [CrossRef]
- Shylaja, A.D.; Rincón-Mora, G.A. High-PSR LDOs: Variations, Improvements, and Best Compromise. IEEE Trans. Circuits Syst. II Express Briefs 2021, 69, 924–928. [Google Scholar]
- Park, H.; Jung, W.; Kim, M.; Kim, S.; Lee, H.; Kim, S.; Lee, J.; Lee, H.M. A 0.3 V-VIN, 0.015 ps-FoM Fully Integrated Analog-Assisted Digital LDO with Dual-Negative Gate Control and Adaptive Transient Recovery Path. IEEE Trans. Power Electron. 2022, 38, 85–89. [Google Scholar] [CrossRef]
- Lai, L.F.; Ramiah, H.; Tan, Y.-C.; Lai, N.S.; Lim, C.-C.; Chen, Y.; Mak, P.-I.; Martins, R.P. Design Trends and Perspectives of Digital Low Dropout Voltage Regulators for Low Voltage Mobile Applications: A Review. IEEE Access 2023, 11, 85237–85258. [Google Scholar] [CrossRef]
- Rincón-Mora, G.A. Analog IC Design with Low-Dropout Regulators (LDOs); McGraw-Hill Education: New York, NY, USA, 2009. [Google Scholar]
- Huang, M.; Lu, Y.; Martins, R.P. An analog-proportional digital-integral multiloop digital LDO with PSR improvement and LCO reduction. IEEE J. Solid-State Circuits 2020, 55, 1637–1650. [Google Scholar] [CrossRef]
- Liu, X.; Krishnamurthy, H.K.; Na, T.; Weng, S.; Ahmed, K.Z.; Schaef, C.; Ravichandran, K.; Tschanz, J.W.; De, V. A universal modular hybrid LDO with fast load transient response and programmable PSRR in 14-nm CMOS featuring dynamic clamp strength tuning. IEEE J. Solid-State Circuits 2021, 56, 2402–2415. [Google Scholar] [CrossRef]
- Hwang, Y.-H.; Oh, J.; Choi, W.-S.; Jeong, D.-K.; Park, J.-E. A Residue-Current-Locked Hybrid Low-Dropout Regulator Supporting Ultralow Dropout of Sub-50 mV with Fast Settling Time Below 10 ns. IEEE J. Solid-State Circuits 2021, 57, 2236–2249. [Google Scholar] [CrossRef]
- Bang, S.; Lim, W.; Augustine, C.; Malavasi, A.; Khellah, M.; Tschanz, J.; De, V. 25.1 a fully synthesizable distributed and scalable all-digital LDO in 10 nm CMOS. In Proceedings of the 2020 IEEE International Solid-State Circuits Conference-(ISSCC), San Francisco, CA, USA, 16–20 February 2020; IEEE: Piscataway, NJ, USA, 2020. [Google Scholar]
- Okuma, Y.; Ishida, K.; Ryu, Y.; Zhang, X.; Chen, P.H.; Watanabe, K.; Takamiya, M.; Sakurai, T. 0.5-V input digital LDO with 98.7% current efficiency and 2.7-µA quiescent current in 65nm CMOS. In Proceedings of the IEEE Custom Integrated Circuits Conference 2010, San Jose, CA, USA, 19–22 September 2010; IEEE: Piscataway, NJ, USA, 2010. [Google Scholar]
- Rincón-Mora, G.A. Switched Inductor Power IC Design; Springer: Berlin/Heidelberg, Germany, 2023; p. 52. [Google Scholar]
- Oh, J.; Hwang, Y.-H.; Park, J.-E.; Seok, M.; Jeong, D.-K. An output-capacitor-free synthesizable digital LDO using CMP-triggered oscillator and droop detector. IEEE J. Solid-State Circuits 2022, 58, 1769–1781. [Google Scholar] [CrossRef]
- Nasir, S.B.; Gangopadhyay, S.; Raychowdhury, A. All-digital low-dropout regulator with adaptive control and reduced dynamic stability for digital load circuits. IEEE Trans. Power Electron. 2016, 31, 8293–8302. [Google Scholar] [CrossRef]
- Ding, Z.; Xu, X.; Song, H.; Rhee, W.; Wang, Z. Flash ADC-based digital LDO with non-linear decoder and exponential-ratio array. Electron. Lett. 2019, 55, 585–587. [Google Scholar] [CrossRef]
- Song, Y.; Oh, J.; Cho, S.Y.; Jeong, D.K.; Park, J.E. A fast droop-recovery event-driven digital LDO with adaptive linear/binary two-step search for voltage regulation in advanced memory. IEEE Trans. Power Electron. 2021, 37, 1189–1194. [Google Scholar] [CrossRef]
- Salem, L.G.; Warchall, J.; Mercier, P.P. A successive approximation recursive digital low-dropout voltage regulator with PD compensation and sub-LSB duty control. IEEE J. Solid-State Circuits 2017, 53, 35–49. [Google Scholar] [CrossRef]
- Kang, J.-G.; Park, J.; Jeong, M.-G.; Yoo, C. Digital low-dropout regulator with voltage-controlled oscillator based control. IEEE Trans. Power Electron. 2021, 37, 6951–6961. [Google Scholar] [CrossRef]
- Jang, J.-W.; Wahla, I.A.; Choi, J.; Akram, M.A.; Hwang, I.-C. A Fast-Transient Fully-Integrated Digital LDO with Current-Estimation Algorithm based Coarse Loop. IEEE Trans. Power Electron. 2023, 39, 94–100. [Google Scholar] [CrossRef]
- Kim, S.; Rincón-Mora, G.A.; Kwon, D. Extracting the frequency response of switching DC-DC converters in CCM and DCM from time-domain simulations. In Proceedings of the 2011 International SoC Design Conference, Jeju, Republic of Korea, 17–18 November 2011; IEEE: Piscataway, NJ, USA, 2011. [Google Scholar]
- Charania, T.; Opal, A.; Sachdev, M. Analysis and design of on-chip decoupling capacitors. IEEE Trans. VLSI Syst. 2012, 21, 648–658. [Google Scholar] [CrossRef]
- Yamaguchi, S.; Islam, M.; Hisakado, T.; Wada, O. Low-Power Design of Digital LDO With Nonlinear Symmetric Frequency Generation. IEEE Trans. Circuits Syst. II Express Briefs 2022, 69, 4644–4648. [Google Scholar] [CrossRef]
- Kim, S.J.; Kim, D.; Ham, H.; Kim, J.; Seok, M. A 67.1-ps FOM, 0.5-V-hybrid digital LDO with asynchronous feedforward control via slope detection and synchronous PI with state-based hysteresis clock switching. IEEE Solid-State Circuits Lett. 2018, 1, 130–133. [Google Scholar] [CrossRef]
- Chen, B.-H.; Wu, T.-Y.; Zheng, K.-L.; Chen, K.-H.; Lin, Y.-H.; Lin, S.-R.; Tsai, T.-Y. A Feedforward Controlled Digital Low-Dropout Regulator with Weight Redistribution Algorithm and Body Voltage Control for Improving Line Regulation with 99.99% Current Efficiency and 0.5-mV Output Voltage Ripple. IEEE J. Solid-State Circuits 2022, 58, 486–496. [Google Scholar] [CrossRef]
- Kim, J.; Koo, G.; Lee, S.; Shim, J.H.; Cho, K. An Output-Capacitor-Free NMOS Digital LDO Using Gate Driving Strength Modulation and Droop Detector. IEEE Trans. Circuits Syst. I Regul. Pap. 2023, 70, 4975–4985. [Google Scholar] [CrossRef]
- Xu, L.; Choo, K.; Blaauw, D.; Sylvester, D. An analog-assisted digital LDO with single subthreshold output pMOS achieving 1.44-fs FOM. IEEE Solid-State Circuits Lett. 2021, 4, 154–157. [Google Scholar] [CrossRef]
- Ma, X.; Lu, Y.; Li, Q.; Ki, W.-H.; Martins, R.P. An NMOS digital LDO with NAND-based analog-assisted loop in 28-nm CMOS. IEEE Trans. Circuits Syst. I Regul. Pap. 2020, 67, 4041–4052. [Google Scholar] [CrossRef]
- Huang, M.; Lu, Y.; Sin, S.-W.; U, S.-P.; Martins, R.P.; Ki, W.-H. Limit Cycle Oscillation Reduction for Digital Low Dropout Regulators. U.S. Patent No. 9,946,281, 17 April 2018. [Google Scholar]
- Akram, M.A.; Hong, W.; Ha, S.; Hwang, I.C. Capacitor-Less Dual-Mode All-Digital LDO with ΔΣ-Modulation-Based Ripple Reduction. IEEE Trans. Circuits Syst. II Express Briefs 2021, 68, 1620–1624. [Google Scholar] [CrossRef]
- Yuan, Z.; Fan, S.; Yuan, C.; Geng, L. A 100 MHz, 0.8-to-1.1 V, 170 mA digital LDO with 8-cycles mean settling time and 9-bit regulating resolution in 180-nm CMOS. IEEE Trans. Circuits Syst. II Express Briefs 2020, 67, 1664–1668. [Google Scholar] [CrossRef]
- Yang, F.; Mok, P.K.T. A nanosecond-transient fine-grained digital LDO with multi-step switching scheme and asynchronous adaptive pipeline control. IEEE J. Solid-State Circuits 2017, 52, 2463–2474. [Google Scholar] [CrossRef]
- Lee, Y.-H.; Peng, S.-Y.; Chiu, C.-C.; Wu, A.C.-H.; Chen, K.-H.; Lin, Y.-H.; Wang, S.-W.; Tsai, T.-Y.; Huang, C.-C.; Lee, C.-C. A low quiescent current asynchronous digital-LDO with PLL-modulated fast-DVS power management in 40 nm SoC for MIPS performance improvement. IEEE J. Solid-State Circuits 2013, 48, 1018–1030. [Google Scholar] [CrossRef]
- Oh, J.; Song, Y.; Hwang, Y.-H.; Park, J.-E.; Seok, M.; Jeong, D.-K. A Capacitorless External-Clock-Free Fully-Synthesizable Digital LDO with Time-Based Load-State Decision and Asynchronous Recovery. IEEE Trans. Power Electron. 2023, 39, 985–997. [Google Scholar] [CrossRef]
- Cherivirala, Y.K.; Wentzloff, D.D. A Capacitor-less Digital LDO Regulator with Synthesizable PID Controller Achieving 99.75% Efficiency and 93.3 ps Response Time in 65 nm. IEEE Trans. Circuits Syst. II Express Briefs 2023, 70, 1769–1773. [Google Scholar] [CrossRef]
- Zhang, Y.; Song, H.; Zhou, R.; Rhee, W.; Shim, I.; Wang, Z. A capacitor-less ripple-less hybrid LDO with exponential ratio array and 4000x load current range. IEEE Trans. Circuits Syst. II Express Briefs 2018, 66, 36–40. [Google Scholar] [CrossRef]



















Disclaimer/Publisher’s Note: The statements, opinions and data contained in all publications are solely those of the individual author(s) and contributor(s) and not of MDPI and/or the editor(s). MDPI and/or the editor(s) disclaim responsibility for any injury to people or property resulting from any ideas, methods, instructions or products referred to in the content. |
© 2024 by the authors. Licensee MDPI, Basel, Switzerland. This article is an open access article distributed under the terms and conditions of the Creative Commons Attribution (CC BY) license (https://creativecommons.org/licenses/by/4.0/).
Share and Cite
Vasudevan, U.; Rincón-Mora, G.A. Digital LDO Analysis and All-Stable High-PSR One-LSB Oscillator Design. Electronics 2024, 13, 5033. https://doi.org/10.3390/electronics13245033
Vasudevan U, Rincón-Mora GA. Digital LDO Analysis and All-Stable High-PSR One-LSB Oscillator Design. Electronics. 2024; 13(24):5033. https://doi.org/10.3390/electronics13245033
Chicago/Turabian StyleVasudevan, Utsav, and Gabriel A. Rincón-Mora. 2024. "Digital LDO Analysis and All-Stable High-PSR One-LSB Oscillator Design" Electronics 13, no. 24: 5033. https://doi.org/10.3390/electronics13245033
APA StyleVasudevan, U., & Rincón-Mora, G. A. (2024). Digital LDO Analysis and All-Stable High-PSR One-LSB Oscillator Design. Electronics, 13(24), 5033. https://doi.org/10.3390/electronics13245033

