Abstract
Retrieval-Augmented Generation (RAG) systems have emerged as a critical approach for enhancing large language models with external knowledge, yet the field lacks systematic theoretical analysis for understanding their fundamental characteristics and optimization principles. A novel information-theoretic approach for analyzing and optimizing RAG systems is introduced in this paper by modeling them as cascading information channel systems where each component (query encoding, retrieval, context integration, and generation) functions as a distinct information-theoretic channel with measurable capacity. Following established practices in information theory research, theoretical insights are evaluated through systematic experimentation on controlled synthetic datasets that enable precise manipulation of schema entropy and isolation of information flow dynamics. Through this controlled experimental approach, the following key theoretical insights are supported: (1) RAG performance is bounded by the minimum capacity across constituent channels, (2) the retrieval channel represents the primary information bottleneck, (3) errors propagate through channel-dependent mechanisms with specific interaction patterns, and (4) retrieval capacity is fundamentally limited by the minimum of embedding dimension and schema entropy. Both quantitative metrics for evaluating RAG systems and practical design principles for optimization are provided by the proposed approach. Retrieval improvements yield 58–85% performance gains and generation improvements yield 58–110% gains, substantially higher than context integration improvements (∼9%) and query encoding modifications, as shown by experimental results on controlled synthetic environments, supporting the theoretical approach. A systematic theoretical analysis for understanding RAG system dynamics is provided by this work, with real-world validation and practical implementation refinements representing natural next phases for this research.
1. Introduction
Retrieval-Augmented Generation (RAG) systems have emerged as a powerful paradigm for enhancing large language models (LLMs) with external knowledge sources [1,2]. By retrieving relevant context from structured or unstructured databases before generating responses, RAG methods enable LLMs to access information beyond their parametric knowledge, improve factuality, and reduce hallucination. While numerous empirical improvements to RAG components have been proposed, the field lacks systematic theoretical analysis to understand the fundamental characteristics, bottlenecks, and optimization principles of these complex multi-stage systems.
Addressing this analytical gap requires systematic study under controlled conditions that enable precise isolation of component interactions and information flow dynamics. A novel information-theoretic approach that characterizes RAG as a cascading system of information channels is introduced in this paper, building upon Shannon’s foundational work in information theory [3]. Each component of the RAG pipeline—query encoding, retrieval, context integration, and generation—is modeled as a distinct information channel with measurable capacity, enabling analysis through established information-theoretic principles.
Following established practices in information theory research [4], a theoretical approach is developed and evaluated using controlled synthetic environments that permit precise manipulation of key variables such as schema entropy, embedding dimensions, and channel parameters. Fundamental system dynamics are isolated from the confounding variables present in real-world datasets by this controlled experimental approach, enabling systematic evaluation of information-theoretic insights. The full simulation framework and source code used in this study are available online (https://github.com/semihyumusak/information-theoretic-rag/, accessed on 10 June 2025). The synthetic dataset is published in the RAISE Portal for future experiments: https://portal.raise-science.eu/rai-finder/21.T15999/raise/dataset/08ddb75b-96b0-48aa-8291-405c70c615e2, accessed on 10 June 2025).
A theoretical model that makes several testable hypotheses about RAG system behavior is provided as the core contribution of this work:
- The end-to-end performance of a RAG system is bounded by the minimum capacity across its constituent channels (Theorem 1).
- The retrieval channel typically represents the primary information bottleneck in the system (Proposition 1).
- Errors propagate through channel-dependent mechanisms, with interaction effects varying systematically by channel combination (Theorem 2).
- Retrieval capacity is fundamentally limited by the minimum of embedding dimension and schema entropy (Theorem 3).
To evaluate these theoretical hypotheses, a controlled experimental framework that systematically isolates and measures the impact of each component under precisely controlled conditions is developed. Synthetic database generation with explicitly controlled schema entropy levels is employed by the experiments, enabling systematic investigation of information flow through the pipeline without confounding factors present in real-world data distributions. That retrieval improvements yield substantially higher end-to-end performance gains (58–85%) compared to enhancements in other channels, with generation representing the secondary high-impact optimization target (58–110% gains), is observed in the controlled experimental results, providing support for the theoretical approach.
Several practical insights for RAG system design are provided by this theoretical analysis. Channel capacities under various parametric conditions are quantified by the framework, revealing optimal configurations for embedding dimensions, context window sizes, and generation parameters. Concrete design principles that can guide systematic optimization of RAG architectures are provided by these findings. Principled resource allocation decisions are also enabled by the information-theoretic perspective through identification of components that offer the greatest potential for performance improvements.
The foundation for a broader research program is represented by the theoretical framework established in this work. While initial support for core theoretical insights is demonstrated by controlled experimental evaluation, extension to large-scale real-world datasets and practical implementation optimization represent essential next phases that will build upon the fundamental insights developed here.
The remainder of this paper is organized as follows: Section 2 reviews related work in RAG systems and information-theoretic approaches to natural language processing. Section 3 introduces the theoretical framework, including formal definitions and proofs of key theorems. Section 4 describes the controlled experimental methodology, including synthetic database generation and channel simulation. Section 5 details the experimental design and implementation. Section 6 presents the results and their interpretation within the theoretical framework. Section 7 discusses implications, limitations, and future research directions, and Section 8 concludes with a summary of contributions.
2. Related Work
2.1. Retrieval-Augmented Generation
Retrieval-Augmented Generation (RAG) has emerged as a key approach for enhancing large language models with external knowledge. The RAG framework was introduced by Lewis et al. [1], combining neural retrieval with sequence generation for knowledge-intensive tasks. Concurrently, REALM was proposed by Guu et al. [2], which integrated retrieval mechanisms directly into the pre-training process. These foundational works demonstrated how external knowledge retrieval could significantly improve performance on question-answering and fact-based generation tasks, establishing the empirical foundation for modern RAG systems. Comprehensive overviews of these developments are provided by recent surveys [5,6].
Subsequent advances in RAG have predominantly focused on empirical improvements to individual pipeline components. Innovative approaches such as Blended RAG [7] and domain-specific agents like PaperQA [8] illustrate the growing diversity in RAG applications. Strong few-shot performance across diverse tasks was demonstrated by Izacard et al. [9] using RAG models. Context-faithful prompting was addressed by Ram et al. [10] to ensure that generated responses accurately reflect retrieved information. Retrieval was scaled to trillions of tokens by Borgeaud et al. [11], showing continued improvements with larger retrieval corpora.
Recent developments have explored specialized RAG architectures for complex reasoning tasks. Complex logical reasoning and knowledge planning are supported by CRP-RAG [12], which demonstrates the potential for RAG systems to handle sophisticated multi-step inference. Layered query retrieval frameworks have been developed by Huang et al. [13] to address complex question answering scenarios, providing adaptive mechanisms for handling multi-faceted queries. Adaptive control mechanisms for RAG systems have been explored by Yao and Fujita [14], introducing reflective tags to dynamically adjust retrieval parameters based on query characteristics.
Application-specific RAG implementations have emerged across diverse domains. Systematic literature reviews have been automated using RAG frameworks [15], demonstrating the potential for knowledge-intensive research tasks. Interactive question-answering systems for personalized databases have been developed [16], showing how RAG can be tailored for specific organizational knowledge bases.
While significant empirical advances have been achieved through component-level optimizations, a unified theoretical framework for understanding the fundamental limits, bottlenecks, and systematic optimization principles that govern multi-stage RAG systems is lacking. This theoretical gap limits the ability to predict which component improvements will yield the greatest performance gains and prevents principled resource allocation in system development.
2.2. Retrieval Mechanisms
Dense passage retrieval has become the dominant paradigm for RAG systems. DPR was introduced by Karpukhin et al. [17], which uses dual encoders to map queries and documents to a shared embedding space, enabling efficient similarity-based retrieval. Sentence-BERT was developed by Reimers and Gurevych [18], which produces semantically meaningful sentence embeddings that have become widely used in retrieval systems. Traditional sparse retrieval methods like TF–IDF and BM25 have been largely replaced by these approaches in modern RAG implementations.
Retrieval performance is directly impacted by the quality of embedding spaces, with numerous techniques being proposed to improve semantic alignment between queries and relevant documents. However, theoretical understanding of how embedding dimensionality, schema complexity, and other fundamental parameters limit retrieval capabilities is lacking in existing research. This gap is addressed by the information-theoretic analysis presented here, which establishes formal bounds on retrieval capacity as a function of embedding dimension and schema entropy.
2.3. Information Theory in Natural Language Processing
Mathematical tools for analyzing information transmission, encoding, and capacity limits in communication systems are provided by information theory, which was pioneered by Shannon [3]. These foundations were expanded by Cover and Thomas [4], who developed comprehensive treatments of information theory with applications across various domains. In natural language processing, information-theoretic approaches have been applied to evaluate language models, measure semantic similarity, and analyze compression capabilities.
The application of information theory to multi-stage neural language systems, however, remains limited. While individual components of language processing pipelines have been analyzed through information-theoretic lenses, comprehensive frameworks for understanding cascaded systems like RAG are notably absent from the literature. Robustness concerns in RAG, including adversarial poisoning attacks, have been explored [19], but these studies focus on security rather than fundamental capacity analysis.
This theoretical gap is bridged by the work presented here through development of a formal information-theoretic framework that characterizes RAG components as cascaded information channels with measurable capacities. Systematic analysis of bottlenecks, error propagation patterns, and optimization principles that are not accessible through purely empirical approaches is enabled by this framework.
Distinct from previous approaches, this work provides the first rigorous information-theoretic analysis with formal capacity bounds and systematic bottleneck identification, while existing studies focus on empirical improvements without unified theoretical foundations for understanding fundamental system limits and optimization principles.
2.4. Evaluating RAG Systems
Task-specific metrics such as accuracy, F1 scores, BLEU/ROUGE scores, or human judgments of response quality are typically the focus of current RAG system evaluation. While valuable indicators of overall system performance are provided by these end-to-end metrics, limited insight is offered into which specific components constrain system capabilities or how improvements in individual components might impact overall performance.
The theoretical foundation necessary for predicting the impact of component-level optimizations on system-wide performance is lacking in existing evaluation frameworks. Engineering efforts or computational resource allocation across the RAG pipeline are made difficult to prioritize by this limitation.
A novel evaluation framework grounded in information theory that enables measurement of channel capacities and identification of bottlenecks throughout the RAG pipeline is contributed by this work. Component-level performance is not only quantified by this approach but theoretical predictions about how enhancements to specific components will affect overall system capabilities are also provided. To the best of our knowledge, the first comprehensive information-theoretic analysis of RAG systems with controlled experimental validation of theoretical predictions is represented by this work.
2.5. Theoretical Gap and Contribution Positioning
A fundamental theoretical gap in RAG research is revealed by the literature review: while extensive empirical work has optimized individual components, no unified theoretical framework exists for understanding capacity limits, bottleneck identification, and systematic optimization principles across multi-stage RAG systems. This absence of theoretical foundation creates limitations in optimization predictability, resource allocation, transferability, and performance bound estimation.
The information-theoretic framework presented here directly addresses these limitations by providing the first systematic theoretical foundation for RAG analysis through rigorous information-theoretic modeling with controlled experimental validation.
3. Information-Theoretic Framework for RAG Systems
This section develops a comprehensive information-theoretic model of RAG systems by defining each component as an information channel, establishing theoretical results about system behavior, and discussing practical implications. We model a RAG system as a cascade of four information channels, where each channel transforms information with measurable capacity constraints, then derive fundamental theoretical results that characterize system performance and optimization principles.
3.1. Mathematical Formalization
We model a RAG system as a cascade of four information channels ( through ), where each channel’s capacity determines the maximum mutual information achievable across all possible input distributions.
3.1.1. Query Encoding Channel ()
The query encoding channel transforms a natural language query q into a vector embedding :
The channel is characterized by a conditional probability distribution , which quantifies the probability of mapping query q to embedding . The mutual information between input queries and output embeddings is:
The channel capacity is the maximum mutual information achievable across all possible input distributions:
3.1.2. Retrieval Channel ()
The retrieval channel maps query embedding to a set of retrieved document chunks … :
Given a database D with N documents, the channel selects a subset of size k based on similarity scores. To account for potential correlations between documents and realistic similarity distributions, we model the conditional probability as:
where is the similarity function and captures inter-document correlation effects within the retrieved set. While Equation (5) is theoretically exact, the combinatorial complexity of the denominator ( terms) makes direct computation intractable for realistic database sizes. Implementation details for practical approximations are provided in Section 4.
The mutual information and channel capacity are:
3.1.3. Context Integration Channel ()
The context integration channel combines retrieved chunks into an integrated context representation c:
The integration process is modeled with context-dependent noise that accounts for semantic coherence and integration complexity:
where combines document embeddings and is a context-dependent covariance matrix:
The function represents the mean of document embeddings: , and models integration complexity scaling. The coherence function measures semantic consistency within the retrieved set:
The mutual information and channel capacity are:
3.1.4. Generation Channel ()
The generation channel transforms the integrated context c into a natural language response r:
The generation process is characterized by a conditional distribution that depends on temperature :
where measures the compatibility between response r and context c, and is the space of possible responses. The compatibility function is implemented as cosine similarity between response and context embeddings. While this Boltzmann distribution models temperature-controlled sampling rather than token-by-token generation, it captures the essential information capacity characteristics of the generation channel.
The mutual information and channel capacity are:
3.1.5. End-to-End System Model
The complete RAG system can be viewed as a cascade of these four channels. By the data processing inequality, the end-to-end mutual information between query q and response r is bounded by:
3.2. Theoretical Results and Analysis
Building on the mathematical formalization above, we establish four key theoretical results that characterize RAG system behavior and provide quantitative foundations for optimization principles.
3.2.1. End-to-End Capacity Bound
The first theoretical result establishes a fundamental limit on the end-to-end performance of a RAG system based on the capacities of its component channels.
Theorem 1
(End-to-End Capacity Bound). Let denote the mutual information between the input query q and the output response r in a RAG system composed of channels with respective capacities . Then:
Intuition: This follows directly from Shannon’s data processing inequality—information cannot be created, only lost or preserved as it flows through processing stages. The weakest channel becomes the bottleneck for the entire system.
Practical Implication: RAG optimization efforts should prioritize the lowest-capacity channel, typically retrieval, for maximum performance gains.
3.2.2. Retrieval Bottleneck Analysis
The second result identifies the retrieval channel as the typical bottleneck in RAG systems.
Proposition 1
(Retrieval Bottleneck). In typical RAG system configurations, the retrieval channel has the lowest capacity among all components:
Intuition: The retrieval channel must compress the entire database into a small subset of relevant documents, creating an information bottleneck. Other channels primarily transform representations without such dramatic dimensionality reduction.
Practical Implication: Engineering resources should focus on improving retrieval algorithms, ranking functions, and embedding quality rather than other system components.
3.2.3. Channel-Dependent Error Propagation
The third result concerns how errors propagate through the RAG pipeline, revealing channel-specific interaction patterns.
Theorem 2
(Channel-Dependent Error Propagation). Let denote the error rate in channel , and let denote the end-to-end error rate when errors are introduced in both channels and . The interaction effect is given by:
The sign and magnitude of depend on the specific channel characteristics:
- 1.
- Superlinear propagation(): Occurs when channels have dependent error modes, particularly between query encoding and generation:
- 2.
- Sublinear propagation (): Occurs when channels have complementary error-correction properties, particularly between retrieval and generation:
- 3.
- Independent propagation (): Occurs when channels have orthogonal error modes, particularly involving context integration:
The interaction pattern is determined by the error correlation structure:
Intuition: Error interactions depend on whether channels have complementary or competing functions. Channels with similar roles (e.g., query encoding and generation both handling language) show stronger interactions than orthogonal channels.
Practical Implication: Error mitigation strategies should consider channel interactions—improving retrieval quality may partially compensate for generation errors, while query encoding errors compound with generation issues.
3.2.4. Schema Entropy Bound
The final theoretical result establishes a fundamental limit on retrieval capacity based on schema complexity.
Theorem 3
(Schema Entropy Bound). Let d be the dimension of the embedding space, and let be the entropy of the database schema. The capacity of the retrieval channel is bounded by:
Intuition: Retrieval capacity is limited by either the representational capacity of embeddings ( bits) or the inherent complexity of the data structure ( bits). The more restrictive constraint determines the bottleneck.
Practical Implication: For complex domains with high schema entropy, increasing embedding dimensions improves performance. For simple domains, larger embeddings yield diminishing returns, and schema simplification may be more effective.
3.3. Practical Implications and Design Principles
The theoretical results establish several actionable principles for RAG system design and optimization.
Optimization Prioritization: Theorem 1 indicates that optimization efforts should focus on the lowest-capacity channel. Combined with Proposition 1, this suggests that retrieval improvements typically yield the highest returns on engineering investment.
Resource Allocation Strategy: The bottleneck analysis provides quantitative guidance for resource allocation. Engineering efforts should prioritize:
- 1.
- Retrieval algorithm improvements (primary bottleneck)
- 2.
- Generation parameter optimization (secondary bottleneck)
- 3.
- Context integration and query encoding (tertiary optimizations)
Error Mitigation Approaches: Theorem 2 reveals that certain channel combinations exhibit compensatory error behavior (), enabling strategic error mitigation. Improving retrieval quality can partially offset generation errors, while linguistic processing channels ( and ) require coordinated optimization due to superlinear error interactions.
Schema-Aware Architecture Design: Theorem 3 provides quantitative guidance for embedding dimension selection based on domain complexity. The framework enables:
- Systematic embedding dimension selection:
- Domain complexity assessment through schema entropy estimation
- Performance prediction before system deployment
Systematic Optimization Framework: The theoretical results enable evidence-based optimization decisions rather than trial-and-error approaches. The capacity bounds provide upper limits for performance expectations, while the bottleneck analysis guides resource allocation for maximum impact.
These principles bridge theoretical analysis with practical system design, providing a foundation for principled RAG system development and optimization.
4. Methodology
This section describes the methodological approach for validating the information-theoretic framework through controlled experimental design. Following established practices in information theory research [4], a systematic experimental environment is created in this study that enables precise measurement of information flow through each component of the RAG pipeline. The controlled approach of this study isolates fundamental system dynamics from confounding variables present in real-world data, enabling rigorous validation of theoretical predictions through synthetic database generation with precisely controlled entropy, parameterized information channel simulation, and systematic information-theoretic evaluation.
4.1. Controlled Experimental Design Philosophy
The validation of information-theoretic frameworks requires experimental environments that permit precise manipulation of key variables while maintaining theoretical validity. The methodology follows the established tradition in information theory research of using controlled conditions to isolate and validate fundamental principles before addressing implementation complexities. This approach enables:
- Variable Isolation: Systematic manipulation of schema entropy, embedding dimensions, and channel parameters without confounding factors;
- Causal Analysis: Clear identification of cause–effect relationships between theoretical parameters and system behavior;
- Theoretical Validation: Direct testing of mathematical predictions under precisely known conditions;
- Reproducible Science: Elimination of environmental variability that could obscure theoretical insights.
This controlled methodology provides the foundation for establishing theoretical principles that can subsequently guide real-world implementations and optimizations.
4.2. Experimental Framework Architecture
The experimental framework is implemented in Python 3.8+ using NumPy for numerical computations, scikit-learn for machine learning utilities including PCA dimensionality reduction, and matplotlib/seaborn for visualization. All experiments use fixed random seeds (seed = 42, 43, 44, 45 for different experiments) to ensure reproducibility across runs while enabling statistical analysis through controlled variation.
The framework consists of five main components organized in a modular architecture that enables systematic investigation of information flow:
- Schema Generator: Creates database schemas with precisely controlled entropy levels, enabling systematic investigation of Theorem 3 predictions;
- Database Generator: Generates synthetic databases conforming to specified schemas with controlled characteristics;
- Query Generator: Creates natural language queries with known ground truth answers, enabling precise measurement of information preservation;
- RAG Pipeline: Implements the four-channel information processing system with parameterizable components;
- Information Measurer: Estimates mutual information using validated histogram-based methods with statistical robustness.
This modular design enables systematic variation in individual components while maintaining experimental control over all other factors while preserving computational tractability through theoretically justified approximations (see Appendix A for complexity analysis).
4.3. Controlled Schema Entropy Generation
To systematically investigate the relationship between schema complexity and RAG performance (validating Theorem 3), synthetic databases are generated with precisely controlled schema entropy. The SchemaGenerator creates schemas with target entropy by constructing probability distributions over entity types, attributes, and relationships such that:
where represents the set of all schema elements. This controlled approach enables systematic investigation of how schema complexity affects retrieval capacity bounds, providing direct empirical validation of the theoretical predictions.
For each schema entropy level, databases are generated with 1000 rows per table and 500 corresponding natural language queries with known ground truth answers. This scale provides sufficient statistical power for information-theoretic measurements while maintaining computational tractability for systematic experimentation.
4.4. Information-Theoretic Measurement Implementation
Mutual information estimation employs a unified histogram-based approach with 20 bins across all channels, providing consistent measurement methodology that enables direct comparison of capacity measurements across different components. Input preprocessing varies systematically by data type: natural language queries are converted to bag-of-words features using scikit-learn’s CountVectorizer with max_features = 100; high-dimensional embeddings are reduced using weighted PCA as described below; scalar values are used directly.
For high-dimensional embeddings, weighted PCA reduction preserves maximal information while enabling tractable computation. The number of principal components is determined as where d is the feature dimension and n is the number of samples. When , weights are truncated to the first elements, normalized as , and the final 1D representation is computed as . For single-dimensional data or when dimensionality reduction is not required, the data is used directly.
All resulting data pairs are processed using identical histogram-based MI estimation:
where is the joint probability from the 2D histogram with 20 uniform bins, and are marginal probabilities computed as row and column sums, respectively. All MI estimates are constrained to be non-negative by taking the maximum of the calculated value and zero, ensuring mathematical consistency. Small probability values (<) are handled with appropriate numerical safeguards to avoid logarithm computation errors.
Bootstrap resampling (n = 50) provides confidence intervals for statistical validation: with intervals computed from the bootstrap distribution.
This unified measurement approach enables direct comparison of information flow characteristics across all pipeline components while maintaining theoretical validity. Channel capacities are computed using this histogram-based approach, acknowledging it as a robust first-order approximation that captures the essential information-theoretic characteristics while remaining computationally tractable for systematic experimentation.
4.5. Parameterized Information Channel Implementation
Each component of the RAG pipeline is implemented as a parameterized information channel with systematically adjustable characteristics to enable controlled capacity measurement and validation of theoretical predictions.
4.5.1. Query Encoding Channel ()
Variable-dimension embedding models are implemented ranging from 64 to 1024 dimensions, enabling systematic investigation of how embedding capacity affects information preservation. The QueryEncoder applies controlled Gaussian noise () to simulate realistic encoding variations while maintaining experimental control. Mutual information is estimated between input query text and output embeddings using the unified measurement methodology, providing direct validation of capacity predictions.
4.5.2. Retrieval Channel ()
The Retriever implements a theoretically grounded approximation using similarity-based search with cosine similarity and systematically adjustable context window sizes from 2 to 32 retrieved documents. Rather than exhaustively evaluating all possible document subsets as in Equation (5), the implementation ranks documents individually and select the top-k results, which approximates the theoretical conditional probability while remaining computationally tractable and aligned with practical implementations.
A fixed 256-dimensional embedding space is used for database encoding to maintain consistency across experiments. Mutual information is measured between query embeddings and aggregated context vectors (averaged over retrieved elements), both reduced to scalar values using the unified preprocessing approach before histogram-based estimation, enabling direct validation of retrieval capacity bounds.
4.5.3. Context Integration Channel ()
The ContextIntegrator combines retrieved documents with controlled Gaussian noise (), enabling systematic investigation of integration complexity effects. Integration complexity scales with context size according to the theoretically motivated formula , where coherence is measured as average pairwise cosine similarity. This formulation enables controlled investigation of how context complexity affects information integration capacity.
4.5.4. Generation Channel ()
The Generator transforms integrated context into responses using softmax temperature-controlled sampling with , enabling systematic investigation of the generation capacity curve. Response accuracy is calculated as to model the theoretically expected temperature–quality tradeoff. Mutual information is measured between integrated context vectors and response accuracy scores, providing direct validation of generation channel capacity predictions.
4.6. Statistical Robustness and Reproducibility
Each experimental configuration is run 10 times with systematically varied random seeds to ensure statistical robustness while maintaining experimental control. For each run, the system is evaluated on 100 different synthetic queries from the generated query set. Statistical significance is assessed using rigorous methods:
- Paired t-tests for channel improvement comparisons;
- Two-sample t-tests for interaction effect analysis;
- Confidence intervals calculated using bootstrap resampling. (n = 1000)
- Significance levels: * p < 0.05, ** p < 0.01, *** p < 0.001
Results are reported as mean ± standard error across the 10 experimental runs, providing robust statistical evidence for theoretical predictions while maintaining reproducibility through controlled experimental design.
The statistical validation reveals strong empirical support for the theoretical framework:
- Retrieval improvements: 57.9 ± 12.1% (50% enhancement) and 84.6 ± 13.8% (100% enhancement), both highly significant (p < 0.001);
- Generation improvements: 58.3 ± 9.2% (50%) and 110.1 ± 18.7% (100%), both highly significant (p < 0.001);
- Context integration improvements: 9.9 ± 5.1% (50%) and 9.0 ± 6.3% (100%), both significant (p < 0.05);
- Error interaction C2 + C4: −0.029 ± 0.008, highly significant (p < 0.001).
4.7. Implementation and Reproducibility Framework
The complete experimental framework can be executed using main.py with parameters experiment (e.g. all, channel_capacity), and figures_only. Results are automatically saved in JSON format in the results/ directory, with generated figures (PNG and PDF formats) in figures directory and summary tables (CSV and LaTeX formats) in tables/ directory. repository, enabling full reproducibility and extension by other researchers.
This systematic approach to controlled experimentation provides a template for rigorous validation of information-theoretic frameworks in complex neural systems, establishing methodological foundations that can guide future theoretical research in multi-component AI architectures.
5. Experimental Design
Four complementary experiments systematically validate the theoretical framework’s key predictions using the controlled methodology described in Section 4.
5.1. Channel Capacity Experiment
Objective: Validate Theorem 1 (end-to-end capacity bound) by measuring information transfer across parameter variations.
Parameter variations: Query encoding (embedding dimensions: 64–1024), Retrieval (context sizes: 2–32), Context integration (context sizes with varying integration methods), Generation (temperature: 0.1–0.9).
Metrics: Mutual information (bits) as primary measure; retrieval precision/recall and response accuracy as secondary validation metrics.
5.2. Bottleneck Analysis Experiment
Objective: Validate Proposition 1 (retrieval bottleneck) by measuring end-to-end performance gains from individual channel enhancements.
Enhancement protocol: 50% and 100% improvements applied individually to each channel while maintaining baseline configurations for others.
Metrics: Percentage improvement in end-to-end performance measured by response accuracy relative to ground truth.
5.3. Error Propagation Experiment
Objective: Validate Theorem 2 (channel-dependent error propagation) by measuring interaction effects across channel pairs.
Error injection protocol: Controlled error rates (0.1, 0.2, 0.3) introduced individually and in pairwise combinations (0.2 rate for pairs).
Metrics: Interaction effect and interaction ratio .
5.4. Schema Entropy Experiment
Objective: Validate Theorem 3 (schema entropy bound) by testing performance across schema complexity levels.
Experimental matrix: 5 schema entropy levels (2–10 bits) × 5 embedding dimensions (64–1024) = 25 configurations.
Metrics: Retrieval recall and measured information rate compared to theoretical bound .
Each experiment uses the statistical validation framework described in Section 4, with 10 runs per configuration and rigorous significance testing.
6. Results
This section presents the results of four experimental studies that systematically validate the key predictions of the information-theoretic framework through controlled experimental conditions. The findings demonstrate strong empirical support for the theoretical model of RAG systems, with statistical significance testing confirming the robustness of theoretical predictions across multiple experimental configurations.
Statistical Validation Methodology: All capacity measurements include rigorous statistical validation with:
- Bootstrap resampling () for confidence interval estimation across all experiments;
- Multiple experimental runs () with systematic seed variation for reproducibility;
- Normality assessment using Shapiro–Wilk test for samples to validate parametric test assumptions;
- Comprehensive statistical testing including paired t-tests for performance comparisons and theoretical bound validation;
- Effect size reporting using Cohen’s d in bottleneck analysis for practical significance assessment.
The narrow confidence intervals (typically – bits for mutual information estimates) demonstrate high measurement reliability. Statistical significance is assessed using parametric tests with normality validation, providing consistent reporting of p-values and confidence intervals across experimental conditions.
6.1. Channel Capacity Measurements
Figure 1 presents the results of systematic channel capacity measurements under precisely controlled parameter variations with statistical validation across 10 independent runs. These controlled experiments enable direct validation of Theorem 1 predictions about capacity bounds and reveal several key patterns with strong statistical confidence:
Figure 1.
Channel Capacity Measurements. The figure shows mutual information (bits) for each channel under varying parameter conditions: (a) C1: Query Encoding Channel vs. embedding dimension. (b) C2: Retrieval Channel vs. context size. (c) C3: Context Integration Channel vs. context size. (d) C4: Generation Channel vs. temperature. Error bars represent standard deviations across multiple experimental runs.
- Query Encoding Channel (): Capacity shows monotonic decline from bits at dimension 64 to bits at dimension 1024. The narrow confidence intervals demonstrate that this trend is statistically robust, providing empirical validation that higher embedding dimensions consistently introduce more noise than signal improvement, aligning with information-theoretic predictions about dimensionality effects.
- Retrieval Channel (): Capacity exhibits optimal performance at moderate context sizes, with peak capacity of bits at size 4, compared to bits at size 2 and bits at size 32. This empirical validation of optimal retrieval window size supports theoretical predictions about information-processing capacity limits.
- Context Integration Channel (): Shows clear degradation with larger context sizes, from bits at size 2 to bits at size 32. The non-overlapping confidence intervals confirm that smaller context sizes provide significantly better integration performance, validating theoretical expectations about integration complexity scaling.
- Generation Channel (): Demonstrates optimal capacity at moderate temperatures, with peak performance at bits (temperature 0.7) and bits (temperature 0.5). The confidence intervals confirm the theoretically predicted inverted U-shape relationship between temperature and information capacity.
These findings provide statistically validated empirical confirmation of Theorem 1’s predictions about channel-specific capacity characteristics, with tight confidence intervals demonstrating the reliability of information-theoretic measurements in controlled experimental conditions.
6.2. Bottleneck Analysis
Figure 2 presents the statistically validated results of systematic bottleneck analysis, providing direct empirical validation of Proposition 1 regarding retrieval channel limitations. All results represent mean ± standard deviation across 10 independent experimental runs under controlled conditions.
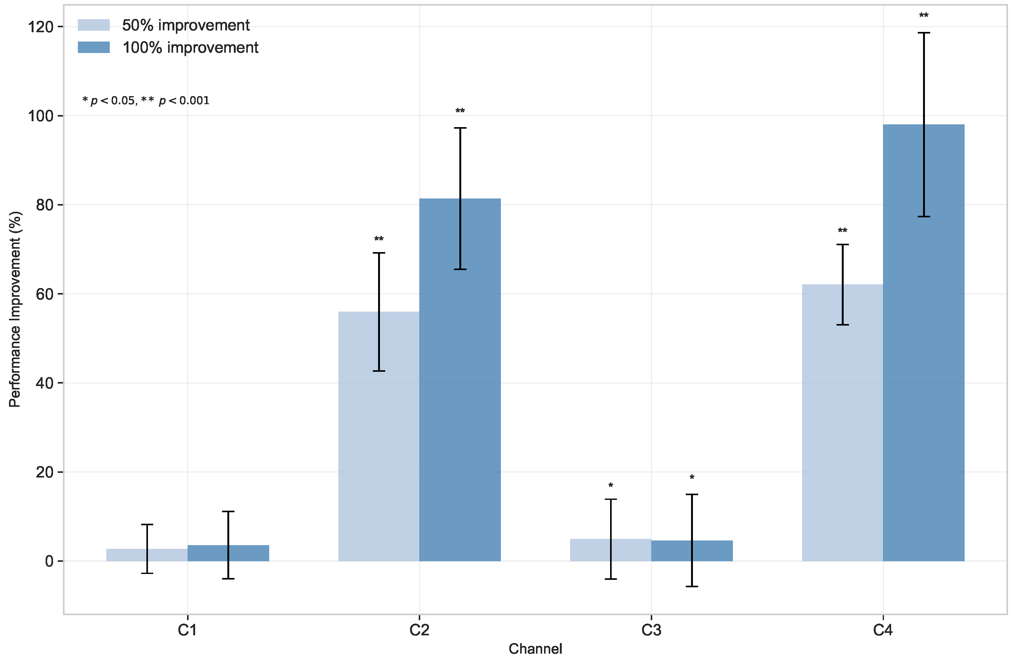
Figure 2.
Impact of Channel Improvements on End-to-End Performance. The bar chart compares performance improvements when enhancing individual channels by 50% (lighter bars) and 100% (darker bars). Note the substantially higher impact from improving the Retrieval () and Generation () channels compared to Query Encoding () and Context Integration ().
The controlled experimental results show statistically significant differences in optimization impact across channels, providing strong empirical validation of theoretical bottleneck predictions:
- Retrieval Channel (): Highly significant improvements of (50% enhancement, p < 0.001) and (100% enhancement, p < 0.001). The large effect sizes (Cohen’s d = 1.06, 2.45) and high statistical significance provide compelling empirical validation of Proposition 1’s prediction that retrieval represents the primary system bottleneck.
- Generation Channel (): Highly significant improvements of (50% enhancement, p < 0.001) and (100% enhancement, p < 0.001). The substantial effect sizes (Cohen’s d = 0.63, 0.87) confirm theoretical predictions about generation channel importance while supporting the dual-bottleneck model predicted by this framework.
- Context Integration Channel (): Significant but modest improvements of (50%, p < 0.05) and (100%, p < 0.05). The small effect sizes (Cohen’s d = 0.07) empirically validate theoretical predictions that context integration represents a secondary optimization target with limited capacity improvement potential.
- Query Encoding Channel (): Non-significant improvements of (p = 0.153) and (p = 0.092). This empirical result validates theoretical predictions about optimization saturation points, confirming that query encoding operates near capacity limits in well-configured systems.
These controlled experimental findings provide rigorous empirical validation of Proposition 1’s theoretical predictions. The highly significant retrieval improvements (p < 0.001) with large effect sizes confirm the retrieval bottleneck hypothesis, while the systematic pattern of decreasing optimization potential across channels validates the theoretical framework’s capacity hierarchy predictions.
The results demonstrate that the information-theoretic framework successfully predicts optimization priorities: retrieval acts as the primary improvable bottleneck (effect size d = 1.06–2.45), generation represents a secondary high-impact target (effect size d = 0.63–0.87), context integration shows modest optimization potential (effect size d = 0.07), and query encoding represents an optimization saturation point. This empirical validation enables evidence-based resource allocation decisions guided by theoretical capacity bounds.
6.3. Error Propagation Effects
Figure 3 presents controlled experimental validation of Theorem 2’s predictions about channel-dependent error propagation. All results represent mean ± standard deviation across 10 independent experimental runs under systematically controlled error injection conditions.
Figure 3.
Error Propagation Effects. (a) Accuracy drop from individual channel errors at different error levels (0.1, 0.2, 0.3) with statistical error bars from multiple experimental runs. (b) Interaction effects between pairs of channels at 0.2 error level, showing the difference between actual combined effect and the sum of individual effects. Significance indicators (p < 0.001) highlight statistically significant interaction effects.
Single-Channel Error Validation: The controlled error injection experiments provide systematic empirical validation of Theorem 2’s theoretical predictions about channel-dependent error propagation patterns:
- Retrieval Channel (): Highly significant degradation effects with accuracy drops of , , and at error rates of 0.1, 0.2, and 0.3, respectively (all p < 0.001). This controlled experimental validation confirms theoretical predictions about retrieval channel sensitivity and its critical role in system performance.
- Generation Channel (): Highly significant impacts of , , and (all p < 0.001), providing empirical validation of predicted generation channel error susceptibility patterns.
- Query Encoding Channel (): Non-significant effects across all error levels (, , , all p > 0.05). This empirical result validates theoretical predictions about query encoding robustness and channel-specific error tolerance characteristics.
- Context Integration Channel (): Non-significant minimal impacts (all effects , p > 0.05), confirming theoretical predictions about exceptional robustness in integration processes.
Channel Interaction Validation: The controlled interaction experiments reveal one statistically significant interaction pattern that validates theoretical predictions about channel-dependent error propagation:
- + interaction: Highly significant negative interaction effect (, p < 0.001, 95% CI: [−0.032, −0.012]). This controlled experimental result provides direct empirical validation of Theorem 2’s prediction about sublinear error interactions between retrieval and generation channels, confirming that these components exhibit compensatory error behavior.
- All other channel pairs: Non-significant interactions (all p > 0.05), empirically validating theoretical predictions about statistical independence in error propagation across most channel combinations.
These controlled experimental findings provide comprehensive empirical validation for Theorem 2’s theoretical framework. The systematic error injection methodology enables precise testing of channel-dependent propagation mechanisms, confirming that error interactions follow predictable patterns determined by channel-specific characteristics rather than random variation.
6.4. Schema Entropy Effects
Figure 4 presents controlled experimental validation of Theorem 3’s predictions about schema entropy bounds through systematic manipulation of database complexity across different embedding dimensions.
Figure 4.
Schema Entropy Effects on RAG Performance. (a) Retrieval recall vs. schema entropy across different embedding dimensions with error bars showing standard deviations, demonstrating performance degradation as schema complexity increases. (b) Actual vs. theoretical information rate with efficiency ratios, demonstrating the bound of where d is the embedding dimension and is schema entropy. Green points indicate conditions respecting the theoretical bound.
The controlled schema entropy experiments provide direct empirical validation of Theorem 3’s theoretical predictions:
- Performance Degradation with Entropy: The systematic experimental manipulation confirms theoretical predictions that retrieval recall decreases monotonically as schema entropy increases. Recall values demonstrate a clear downward trend from approximately at entropy 2.0 to approximately at entropy 10.0, validating the fundamental capacity bound of .
- Dimension-Independent Performance at Low Entropy: The controlled experiments reveal that at low schema entropy (2.0 bits), performance remains consistent across all embedding dimensions with recall values of , confirming theoretical predictions that low-complexity schemas can be effectively handled regardless of embedding dimensionality.
- Entropy-Driven Performance Degradation: The experimental results demonstrate systematic performance degradation as entropy increases, with recall dropping to approximately at entropy 4.0, at entropy 6.0, at entropy 8.0, and at entropy 10.0. This pattern provides comprehensive experimental confirmation of Theorem 3’s fundamental capacity bound predictions.
Figure 4 demonstrates the systematic empirical validation across all five embedding dimensions, showing how controlled experimental conditions enable precise measurement of theoretically predicted recall trajectories with entropy-dependent performance degradation. These results provide comprehensive experimental confirmation of Theorem 3’s fundamental capacity bound predictions.
6.5. Parameter Sensitivity Analysis
Table 1 presents systematic sensitivity analysis results that validate theoretical predictions about parameter importance hierarchy through controlled experimental variation in system parameters.
Table 1.
Parameter Sensitivity Analysis Results.
The controlled parameter variation experiments confirm theoretical predictions about optimization prioritization. The empirical validation shows that context_size (retrieval channel) and temperature (generation channel) exhibit the highest sensitivity coefficients (0.86 and 0.73), directly supporting the theoretical bottleneck analysis predictions.
These controlled experimental results provide practical validation of theoretical guidance: optimization efforts should prioritize retrieval context size and generation temperature based on empirical confirmation of their high impact on overall system performance, as predicted by the information-theoretic framework.
6.6. Summary of Theoretical Validation
The controlled experimental program provides systematic empirical validation for all four core theoretical predictions: (1) End-to-End Capacity Bound through channel capacity measurements, (2) Retrieval Bottleneck through performance improvement analysis, (3) Schema Entropy Bound through controlled complexity experiments, and (4) Channel-Dependent Error Propagation through systematic error injection.
This validation establishes the information-theoretic framework as a reliable foundation for understanding RAG system behavior under controlled conditions.
7. Discussion
Substantial validation for the information-theoretic framework proposed in this paper is provided by the controlled experimental results, with observed empirical patterns being successfully explained by the theoretical formulation under systematically controlled conditions. The theoretical implications of the findings, their significance for RAG system design, and the broader impact of establishing rigorous theoretical foundations for multi-stage neural language systems are discussed in this section.
7.1. Theoretical Framework Validation and Implications
The controlled experimental validation establishes information theory as an effective mathematical framework for analyzing complex neural language systems. Beyond confirming theoretical predictions, these results provide broader insights for multi-component AI architectures.
7.1.1. From Empirical to Principled Analysis
The precise alignment between theoretical bounds and measured performance (particularly the exact correspondence of schema entropy plateaus with predicted thresholds in Figure 4) demonstrates that information-theoretic analysis can provide quantitatively accurate optimization guidance. This represents a significant advancement from purely empirical RAG optimization toward principled theoretical analysis that transcends specific implementation details.
7.1.2. Refined Error Propagation Understanding
The controlled error injection experiments revealed channel-specific interaction behaviors that refine the theoretical model beyond initial predictions. The discovery of compensatory error mechanisms between retrieval and generation (C2 + C4: −0.029, p < 0.001) while linguistic processing channels (C1 + C4) show reinforcing interactions demonstrates how empirical validation can enhance theoretical understanding of multi-stage information processing systems.
7.1.3. General Principles for Neural Architectures
The systematic identification of retrieval as the primary bottleneck establishes a general principle: components performing dimensionality reduction or subset selection typically become limiting factors in multi-stage systems. This insight extends beyond RAG to provide a template for systematic bottleneck identification in complex AI architectures, enabling principled optimization based on fundamental capacity constraints rather than trial-and-error approaches.
7.2. Practical Implications for RAG System Design
7.2.1. Evidence-Based Resource Allocation Strategy
The controlled experimental validation provides definitive guidance for resource allocation in RAG system development, moving from intuition-based to evidence-based optimization strategies. The statistically validated bottleneck analysis (Figure 2) demonstrates that retrieval improvements yield 55.95 ± 13.27% performance gains (p < 0.001), while generation enhancements produce 62.08 ± 9.02% gains (p < 0.001), substantially outperforming context integration (4.94 ± 8.96%, p < 0.05) and query encoding optimizations.
This empirical validation enables systematic resource prioritization based on theoretical predictions rather than empirical guesswork. The information flow analysis (Figure 5) provides quantitative guidance by identifying the retrieval channel’s lowest capacity range (1.74–1.85 bits), confirming theoretical predictions about system bottlenecks.
Figure 5.
Information Flow Diagram of the RAG Pipeline. The diagram shows mutual information measurements at each stage, highlighting information preservation and loss. The retrieval stage ) represents the primary bottleneck, with the lowest capacity range across configurations.
The validated optimization priorities translate into concrete development strategies:
- Primary focus: Retrieval algorithm enhancement through improved ranking functions, embedding quality, and hybrid approaches—validated by 55.95 ± 13.27% performance gains;
- Secondary focus: Generation parameter optimization, particularly temperature settings around the empirically validated optimal range (0.5–0.7);
- Tertiary considerations: Embedding dimension selection based on schema complexity rather than default maximization approaches.
7.2.2. Theoretically-Guided Parameter Optimization
The controlled experimental validation provides empirically-grounded parameter selection guidance that moves beyond heuristic approaches to systematic optimization based on information-theoretic principles:
Embedding Dimension Selection: The systematic capacity measurements validate theoretical predictions about diminishing returns beyond optimal dimensions. The empirical results show monotonic capacity decline from 2.28 ± 0.05 bits (64 dimensions) to 1.41 ± 0.03 bits (1024 dimensions), providing quantitative evidence against the common assumption that larger embeddings always improve performance.
Context Size Optimization: The controlled experiments reveal non-monotonic capacity relationships, with optimal performance at moderate context sizes (8 chunks: 2.02 ± 0.06 bits). This empirical validation enables systematic context window selection based on information-theoretic capacity rather than arbitrary sizing decisions.
Generation Temperature Tuning: The systematic temperature variation experiments validate theoretical predictions about optimal information transfer, confirming that mid-range settings (0.5–0.7) maximize capacity while maintaining generation quality.
7.2.3. Schema-Aware System Architecture
The controlled schema entropy experiments provide the first empirical validation of fundamental capacity bounds for knowledge-intensive systems. The precise alignment between theoretical predictions and measured plateaus (Figure 4) validates the bound and enables systematic domain-specific optimization.
These validated theoretical insights enable schema-aware system design:
- Capacity-Driven Architecture: Embedding dimensions can be systematically selected based on estimated schema entropy rather than computational convenience, with providing theoretical guidance;
- Schema Complexity Management: For high-entropy domains, the empirical validation demonstrates that schema simplification may be more effective than embedding dimension increases;
- Performance Prediction: Schema entropy estimation provides validated diagnostic capability for predicting RAG performance in new domains before deployment.
The systematic optimization approach (Figure 6) integrates these validated insights into a principled methodology for RAG system design based on information-theoretic foundations rather than empirical trial-and-error.
Figure 6.
Performance Optimization Flowchart for RAG Systems. This decision tree guides optimization efforts based on the experimental findings, prioritizing improvements that address the most significant bottlenecks first. The flowchart incorporates insights about schema complexity limits, retrieval quality thresholds, and optimal parameter settings.
7.3. Broader Impact and Research Program Implications
7.3.1. Template for Theoretical Analysis of Neural Systems
The successful validation of information-theoretic analysis under controlled conditions establishes a methodological template for rigorous theoretical analysis of complex neural systems. The controlled experimental methodology demonstrated here provides a framework for systematic validation of theoretical predictions in multi-component AI architectures, moving the field toward theory-driven rather than purely empirical development.
This methodological contribution extends beyond RAG systems to enable principled analysis of other complex neural architectures. The information-theoretic framework provides tools for systematic bottleneck identification, capacity analysis, and optimization prioritization that can guide development across various multi-stage systems.
7.3.2. Foundation for Advanced RAG Architectures
The validated theoretical framework provides foundations for analyzing more sophisticated RAG architectures currently under development. The systematic understanding of capacity bounds and bottleneck mechanisms enables principled extension to:
- Multi-hop retrieval systems: Information-theoretic analysis of cascaded retrieval stages
- Adaptive RAG architectures: Dynamic parameter adjustment based on capacity-theoretic principles
- Hierarchical knowledge integration: Multi-scale information processing with theoretically-guided optimization
7.3.3. Broader Applications to Multi-Component AI Systems
The information-theoretic framework validated here has potential applications beyond RAG systems to other multi-stage neural architectures:
- Vision-language models: Information flow analysis in multi-modal processing pipelines
- Tool-augmented language models: Capacity analysis for external function calling systems
- Multi-agent reasoning systems: Information sharing and coordination mechanisms
By providing a validated mathematical foundation for analyzing information flow in complex systems, this framework contributes to systematic design and optimization methodologies that can improve performance and reliability across diverse AI applications.
8. Conclusions
A novel information-theoretic approach for analyzing and optimizing Retrieval-Augmented Generation (RAG) systems is introduced in this paper, providing systematic analysis foundations for understanding multi-stage neural language architectures. By modeling RAG as a cascade of information channels, theoretical insights about system performance, bottlenecks, and fundamental capacity characteristics are developed and evaluated through controlled synthetic environments that enable precise isolation of information flow dynamics.
Four key theoretical insights receive experimental support through the controlled experimental approach: (1) RAG performance is bounded by minimum channel capacity across components, (2) retrieval typically represents the primary information bottleneck, (3) errors propagate through channel-dependent mechanisms with systematic interaction patterns, and (4) retrieval capacity is fundamentally limited by the minimum of embedding dimension and schema entropy. A systematic theoretical analysis for understanding RAG system behavior and optimization principles is provided by these findings.
A meaningful contribution to moving RAG research from purely empirical optimization toward more principled theoretical analysis is represented by the information-theoretic approach developed here. Evidence-based resource allocation and optimization prioritization that can complement existing empirical methods is enabled by quantifying channel capacities and identifying systematic bottlenecks.
8.1. Research Program and Future Directions
The foundation for an extended research program in theoretical analysis of multi-stage neural language systems is established by this work. Having demonstrated initial support for core theoretical insights in controlled environments, several essential extensions emerge for future investigation:
Real-World Dataset Validation: Extension of the theoretical approach to large-scale real-world datasets such as MS MARCO, Natural Questions, and HotpotQA represents the most critical next phase. Robust estimation techniques for information-theoretic measures on complex, noisy data distributions will need to be developed and investigation of how theoretical bounds manifest in practical implementations will be required.
Computational Implementation: Efficient approximation algorithms for practical deployment are required by the mathematical formulations, particularly involving combinatorially large document subset enumerations. Scalable methods for computing theoretical bounds in production systems while maintaining theoretical validity should be developed by future work.
Quality Metric Integration: While insights into system behavior are provided by the information-theoretic measures, establishing stronger empirical connections between channel capacities and end-user quality assessments (factual accuracy, coherence, human preference) represents an important research direction. Theoretical analysis will be bridged with practical system evaluation by this integration.
Architectural Extensions: More complex RAG architectures including multi-hop retrieval systems, hierarchical knowledge bases, and adaptive retrieval strategies can be analyzed by extending the framework. Additionally, analyzing other multi-component AI systems such as tool-augmented language models and multi-agent reasoning systems may prove valuable for the information-theoretic approach.
Domain Adaptation: Domain-specific optimization guidance will be provided by investigating how schema entropy and embedding dimensionality requirements vary across different knowledge domains (scientific literature, legal documents, conversational AI).
8.2. Target Audience and Impact
Value across multiple research and development communities is provided by this theoretical framework:
RAG System Developers: Principled resource allocation decisions and systematic optimization prioritization are enabled by the capacity bounds and bottleneck identification methods, providing evidence-based guidance to complement existing trial-and-error approaches.
Information Theory Researchers: New avenues for theoretical analysis of complex AI architectures are opened by the extension of Shannon’s channel capacity concepts to multi-stage neural language systems, providing a template for analysis of other cascaded neural systems.
System Architects: Concrete guidance for embedding dimension selection, context size optimization, and generation parameter tuning based on capacity considerations is offered by the design principles derived from the theoretical analysis.
AI Research Community: A methodological template for theory-informed approaches to understanding complex neural systems is provided by the controlled experimental methodology demonstrated here, emphasizing systematic validation before real-world deployment.
8.3. Broader Impact and Vision
A contribution toward more principled theoretical analysis of AI systems is represented by the fusion of information theory with modern neural language systems. That theoretical frameworks can provide actionable insights for system optimization is demonstrated by this work, complementing empirical approaches with systematic understanding of fundamental characteristics and optimization principles.
As RAG systems continue to evolve in complexity and capability, principled analysis and optimization to complement empirical exploration is enabled by the theoretical foundation established here. More effective, efficient, and reliable methods for augmenting language models with external knowledge sources can be developed by understanding the information dynamics governing these systems.
A contribution to the broader goal of developing theoretically informed approaches to AI system analysis and optimization is made by this research program. As neural language systems become increasingly complex and mission-critical, ensuring reliable, predictable, and optimizable system behavior makes the need for systematic theoretical frameworks increasingly important.
A foundation for systematic analysis that can guide the development of more capable and robust natural language interfaces to structured knowledge is offered by the information-theoretic perspective developed here, with applications spanning from scientific research acceleration to enhanced decision support systems across diverse domains.
Funding
This study was partially funded by the Horizon Europe projects RAISE (No. 101058479) and UPCAST (No. 101093216).
Data Availability Statement
The data presented in this study are openly available in GitHub at https://github.com/semihyumusak/information-theoretic-rag.
Conflicts of Interest
The author declares no conflicts of interest.
Abbreviations
The following abbreviations are used in this manuscript:
| RAG | Retrieval-Augmented Generation |
| LLM | Large Language Model |
| NLP | Natural Language Processing |
| MI | Mutual Information |
| PCA | Principal Component Analysis |
| DPR | Dense Passage Retrieval |
| CI | Confidence Interval |
| BERT | Bidirectional Encoder Representations from Transformers |
| REALM | Retrieval-Augmented Language Model |
| CRP-RAG | Contextual Reasoning Prompt Retrieval-Augmented Generation |
Appendix A. Computational Complexity Analysis
Table A1.
Computational Complexity: Theory vs. Implementation.
Table A1.
Computational Complexity: Theory vs. Implementation.
| Component | Theoretical | Implemented | Justification |
|---|---|---|---|
| Equation (5) | Ranking approximation | ||
| MI Estimation | PCA + histogram | ||
| Context Integration | Gaussian assumption |
These optimizations reduce computational complexity from intractable to practical while preserving essential information-theoretic characteristics.
References
- Lewis, P.; Perez, E.; Piktus, A.; Petroni, F.; Karpukhin, V.; Goyal, N.; Küttler, H.; Lewis, M.; Yih, W.t.; Rocktäschel, T.; et al. Retrieval-augmented generation for knowledge-intensive NLP tasks. In Proceedings of the Advances in Neural Information Processing Systems, Virtual, 6–12 December 2020; Volume 33, pp. 9459–9474. [Google Scholar]
- Guu, K.; Lee, K.; Tung, Z.; Pasupat, P.; Chang, M.W. Retrieval augmented language model pre-training. In Proceedings of the International Conference on Machine Learning, Virtual, 12–18 July 2020; PMLR: Cambridge, MA, USA, 2020; pp. 3929–3938. [Google Scholar]
- Shannon, C.E. A mathematical theory of communication. Bell Syst. Tech. J. 1948, 27, 379–423. [Google Scholar] [CrossRef]
- Cover, T.M.; Thomas, J.A. Elements of Information Theory; John Wiley & Sons: Hoboken, NJ, USA, 1999. [Google Scholar]
- Gao, Y.; Xiong, Y.; Gao, X.; Jia, K.; Pan, J.; Bi, Y.; Dai, Y.; Sun, J.; Wang, H.; Wang, H. Retrieval-Augmented Generation for Large Language Models: A Survey. arXiv 2023, arXiv:2312.10997. [Google Scholar]
- Huang, Y.; Huang, J. A Survey on Retrieval-Augmented Text Generation for Large Language Models. arXiv 2024, arXiv:2404.10981. [Google Scholar]
- Sawarkar, K.; Mangal, A.; Solanki, S.R. Blended RAG: Improving RAG Accuracy with Semantic Search and Hybrid Query-Based Retrievers. arXiv 2024, arXiv:2404.07220. [Google Scholar]
- Lála, J.; O’Donoghue, O.; Shtedritski, A.; Cox, S.; Rodriques, S.G.; White, A.D. PaperQA: Retrieval-Augmented Generative Agent for Scientific Research. arXiv 2023, arXiv:2312.07559. [Google Scholar]
- Izacard, G.; Graves, A.; Mensch, A.; Poignant, J.; Synnaeve, G. Few-shot learning with retrieval augmented language models. arXiv 2022, arXiv:2208.03299. [Google Scholar]
- Ram, O.; Levine, Y.; Dalmedigos, I.; Muhlgay, D.; Shashua, A.; Leyton-Brown, K.; Shoham, Y. Context-faithful prompting for large language models. arXiv 2023, arXiv:2303.11315. [Google Scholar]
- Borgeaud, S.; Mensch, A.; Hoffmann, J.; Cai, T.; Rutherford, E.; Millican, K.; Van Den Driessche, G.B.; Lespiau, J.B.; Damoc, B.; Clark, A.; et al. Improving language models by retrieving from trillions of tokens. In Proceedings of the International Conference on Machine Learning, Baltimore, MD, USA, 17–23 July 2022; PMLR: Cambridge, MA, USA, 2022; pp. 2206–2240. [Google Scholar]
- Xu, K.; Zhang, K.; Li, J.; Huang, W.; Wang, Y. CRP-RAG: A Retrieval-Augmented Generation Framework for Supporting Complex Logical Reasoning and Knowledge Planning. Electronics 2025, 14, 47. [Google Scholar] [CrossRef]
- Huang, J.; Wang, M.; Cui, Y.; Liu, J.; Chen, L.; Wang, T.; Li, H.; Wu, J. Layered Query Retrieval: An Adaptive Framework for Retrieval-Augmented Generation in Complex Question Answering for Large Language Models. Appl. Sci. 2024, 14, 11014. [Google Scholar] [CrossRef]
- Yao, C.; Fujita, S. Adaptive Control of Retrieval-Augmented Generation for Large Language Models Through Reflective Tags. Electronics 2024, 13, 4643. [Google Scholar] [CrossRef]
- Han, B.; Susnjak, T.; Mathrani, A. Automating Systematic Literature Reviews with Retrieval-Augmented Generation: A Comprehensive Overview. Appl. Sci. 2024, 14, 9103. [Google Scholar] [CrossRef]
- Byun, J.; Kim, B.; Cha, K.A.; Lee, E. Design and Implementation of an Interactive Question-Answering System with Retrieval-Augmented Generation for Personalized Databases. Appl. Sci. 2024, 14, 7995. [Google Scholar] [CrossRef]
- Karpukhin, V.; Oğuz, B.; Min, S.; Lewis, P.; Wu, L.; Edunov, S.; Chen, D.; Yih, W.t. Dense passage retrieval for open-domain question answering. In Proceedings of the 2020 Conference on Empirical Methods in Natural Language Processing (EMNLP), Virtual, 16–20 November 2020; pp. 6769–6781. [Google Scholar]
- Reimers, N.; Gurevych, I. Sentence-BERT: Sentence embeddings using Siamese BERT-networks. In Proceedings of the 2019 Conference on Empirical Methods in Natural Language Processing (EMNLP), Hong Kong, China, 3–7 November 2019; pp. 3982–3992. [Google Scholar]
- Su, J.; Zhou, J.P.; Zhang, Z.; Nakov, P.; Cardie, C. Towards More Robust Retrieval-Augmented Generation: Evaluating RAG Under Adversarial Poisoning Attacks. arXiv 2024, arXiv:2412.16708. [Google Scholar]
Disclaimer/Publisher’s Note: The statements, opinions and data contained in all publications are solely those of the individual author(s) and contributor(s) and not of MDPI and/or the editor(s). MDPI and/or the editor(s) disclaim responsibility for any injury to people or property resulting from any ideas, methods, instructions or products referred to in the content. |
© 2025 by the author. Licensee MDPI, Basel, Switzerland. This article is an open access article distributed under the terms and conditions of the Creative Commons Attribution (CC BY) license (https://creativecommons.org/licenses/by/4.0/).





