Smooth and Robust Path-Tracking Control for Automated Vehicles: From Theory to Real-World Applications
Abstract
1. Introduction
- 1.
- First real-world implementation of the proposed path-tracking controller, bridging the gap between its theoretical foundation and deployment on a test vehicle.
- 2.
- Compensation of system dead time using a recently developed method that has not yet been demonstrated in real-world path-tracking applications.
- 3.
- Robustness to discontinuous reference trajectories, achieved by extending the controller with a lookahead mechanism. While lookahead concepts are well-established in geometric controllers, this is their first application to the proposed controller framework.
- 4.
- Demonstration of intuitive parameter tuning, showcasing how the controller’s inherent multi-objective design translates into practical tuning strategies for balancing stability, responsiveness, and comfort.
2. Smooth and Robust Steering Controller: Theory and Characteristics
2.1. Controller Overview
- 1.
- Define parameters , , and , as will be described in the next subsection.
- 2.
- Measure the tracking error e and orientation error as depicted in Figure 2.
- 3.
- Compute the control signal from (4).
- 4.
- Compute the steering acceleration from (5). This is the output of the controller.
2.2. Steering Constraints and Parameterization
2.3. Inherent Characteristics and Robustness
- 1.
- Inherent Robustness: Founded on a sliding mode control principle, the controller provides inherent robustness against matched disturbances. This ensures stability is maintained even in the presence of model uncertainties, such as errors in the vehicle’s understeer gradient or other parametric variations that act within the control channel.
- 2.
- Minimal Model Dependency: The control law is derived from the kinematic bicycle model. Consequently, its only required vehicle parameter is the wheelbase. It is independent of dynamic parameters (e.g., mass, tire cornering stiffness, and inertia), making it broadly applicable across different vehicle platforms without the need for extensive re-parameterization.
- 3.
- Rule-Based Parameterization: The control parameters , , , and directly relate to specific properties: robustness, the steering rate, steering smoothness, and the maximum steering angle. Thus, the controller tuning process is decoupled from environment-dependent parameters (e.g., tire–road friction and weather conditions), simplifying deployment and ensuring consistent performance across diverse operating conditions.
- 4.
- Performance at the Actuation Limits: A primary strength of the controller is its well-defined and predictable behavior when operating close to the steering constraints. This makes it particularly effective for demanding maneuvers such as navigation on narrow, winding roads or aggressive obstacle avoidance, as discussed and demonstrated in [19,20].
2.4. Comparison to State-of-the-Art Controllers
- The Pure Pursuit controller [6] is selected. It is a widely adopted baseline in vehicle path tracking due to its simplicity and low computational footprint.
3. Real Test Conditions
3.1. AD System and Driving Maneuver
3.2. Steering System
3.3. Positioning System
3.4. System Integration
4. Controller Adpations
4.1. Dead-Time Compensation
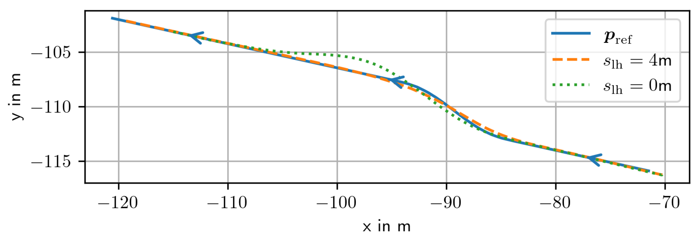
4.2. Look-Ahead Distance
4.3. Summary of Adaptions
5. Parameter Tuning and Test Results
- 1.
- The dead time to be compensated : Rather than determining the actual dead time in system tests, we conduct tests to directly determine the optimal time estimate for compensating for dead time.
- 2.
- The look-ahead distance : The optimal distance depends on the geometry of the reference path and is therefore determined in a representative maneuver.
- 3.
- The maximum steering acceleration : To increase smoothness, steering acceleration can be limited at the cost of control performance. While a theoretical optimum has been discussed in [19], robustness to model parameters proves to be more relevant in reality.
5.1. Compensated Dead Time
5.2. Look-Ahead Distance
5.3. Maximum Steering Acceleration
5.4. Final Tests
6. Discussion and Conclusions
6.1. Summary
6.2. Contributions
- 1.
- We introduced and validated a dead-time compensation method that directly mitigates system latency, a primary source of steering oscillation and instability in automated vehicles.
- 2.
- We implemented a look-ahead mechanism that enables the controller to proactively handle disturbances such as discontinuous reference paths, preventing excessive overshoot and improving safety.
- 3.
- We established an intuitive, three-parameter tuning procedure (for dead time , look-ahead distance , and maximum steering acceleration ) that transitions the controller from a theoretical model to a robust system optimized for real-world performance and passenger comfort.
6.3. Outlook
Author Contributions
Funding
Data Availability Statement
Conflicts of Interest
Abbreviations
| AD | Automated Driving |
| CAN | Control Area Network |
| GNSS | Global Navigation Satellite System |
| IMU | Inertial Measurement Unit |
| INS | Inertial Navigation System |
| RTK | Real-Time Kinematic |
| PID | Proportional-Integral-Derivative |
References
- Jain, H.; Babel, P. A Comprehensive Survey of PID and Pure Pursuit Control Algorithms for Autonomous Vehicle Navigation. arXiv 2024, arXiv:2409.09848. [Google Scholar] [CrossRef]
- Ruslan, N.A.I.; Amer, N.H.; Hudha, K.; Kadir, Z.A.; Ishak, S.A.F.M.; Dardin, S.M.F.S. Modelling and control strategies in path tracking control for autonomous tracked vehicles: A review of state of the art and challenges. J. Terramechanics 2023, 105, 67–79. [Google Scholar] [CrossRef]
- Paden, B.; Cap, M.; Yong, S.Z.; Yershov, D.; Frazzoli, E. A Survey of Motion Planning and Control Techniques for Self-driving Urban Vehicles. IEEE Trans. Intell. Veh. 2016, 1, 33–55. [Google Scholar] [CrossRef]
- Dominguez, S.; Ali, A.; Garcia, G.; Martinet, P. Comparison of lateral controllers for autonomous vehicle: Experimental results. In Proceedings of the IEEE Conference on Intelligent Transportation Systems, Rio de Janeiro, Brazil, 1–4 November 2016; pp. 1418–1423. [Google Scholar] [CrossRef]
- Yao, Q.; Tian, Y.; Wang, Q.; Wang, S. Control Strategies on Path Tracking for Autonomous Vehicle: State of the Art and Future Challenges. IEEE Access 2020, 8, 161211–161222. [Google Scholar] [CrossRef]
- Coulter, C. Implementation of the Pure Pursuit Path Tracking Algorithm; Technical Report; Carnegie Mellon University: Pittsburgh, PA, USA, 1992. [Google Scholar]
- Thrun, S.; Montemerlo, M.; Dahlkamp, H.; Stavens, D.; Aron, A.; Diebel, J.; Fong, P.; Gale, J.; Halpenny, M.; Hoffmann, G.; et al. Stanley: The Robot that Won the DARPA Grand Challenge. J. Field Robot. 2006, 71, 486–494. [Google Scholar] [CrossRef]
- Matute, J.; Diaz, S.; Karimoddini, A. Sliding Mode Control for Robust Path Tracking of Automated Vehicles in Rural Environments. IEEE Open J. Veh. Technol. 2024, 5, 1314–1325. [Google Scholar] [CrossRef]
- Oh, K.; Seo, J. Development of a Sliding-Mode-Control-Based Path-Tracking Algorithm with Model-Free Adaptive Feedback Action for Autonomous Vehicles. Sensors 2023, 23, 405. [Google Scholar] [CrossRef] [PubMed]
- Chen, Y.; Peng, H.; Grizzle, J.W. Fast Trajectory Planning and Robust Trajectory Tracking for Pedestrian Avoidance. IEEE Access 2017, 5, 9304–9317. [Google Scholar] [CrossRef]
- Falcone, P.; Borrelli, F.; Asgari, J.; Tseng, H.E.; Hrovat, D. Predictive Active Steering Control for Autonomous Vehicle Systems. IEEE Trans. Control Syst. Technol. 2007, 15, 566–580. [Google Scholar] [CrossRef]
- Keviczky, T.; Falcone, P.; Borrelli, F.; Asgari, J.; Hrovat, D. Predictive Control Approach to Autonomous Vehicle Steering. In Proceedings of the 2006 American Control Conference, Minneapolis, MN, USA, 14–16 June 2006. [Google Scholar] [CrossRef]
- Reiter, R.; Baumgärtner, K.; Quirynen, R.; Diehl, M. Progressive Smoothing for Motion Planning in Real-Time NMPC. In Proceedings of the 2024 European Control Conference (ECC), Stockholm, Sweden, 25–28 June 2024; pp. 1816–1823. [Google Scholar] [CrossRef]
- Zeng, D.; Pan, S.; Yu, Y.; Hu, Y.; Yang, J.; Zhang, P.; Xiong, L.; Carbone, G.; Gao, L. A comparative study on trajectory tracking control methods for automated vehicles. Sci. Rep. 2025, 15, 17073. [Google Scholar] [CrossRef] [PubMed]
- Zhou, Y.; Wang, Z.; Panchal, J.H.; Mahmoudian, N. Design and Deployment of a Real-World Autonomous Driving Test Platform; Purdue University Graduate School: West Lafayette, IN, USA, 2024; Volume 21, p. 49. [Google Scholar] [CrossRef]
- Xu, S.; Peng, H. Design, Analysis, and Experiments of Preview Path Tracking Control for Autonomous Vehicles. IEEE Trans. Intell. Transp. Syst. 2020, 21, 48–58. [Google Scholar] [CrossRef]
- Han, X.Z.; Kim, H.J.; Kim, J.Y.; Yi, S.Y.; Moon, H.C.; Kim, J.H.; Kim, Y.J. Path-tracking simulation and field tests for an auto-guidance tillage tractor for a paddy field. Comput. Electron. Agric. 2015, 112, 161–171. [Google Scholar] [CrossRef]
- Takanezawa, K.; Ozaki, R.; Takesue, N.; Hiruma, J.; Mikado, J. Four-Wheel Independent Steering and Four-Wheel Independent Driving Robot and Its Simultaneous Path and Orientation Tracking Control. Int. J. Autom. Technol. 2025, 19, 521–534. [Google Scholar] [CrossRef]
- Festl, K.; Stolz, M.; Watzenig, D. Multi-objective path tracking control for car-like vehicles with differentially bounded n-smooth output. IEEE Trans. Intell. Transp. Syst. 2024, 25, 8017–8027. [Google Scholar] [CrossRef]
- Tieber, K.; Rumetshofer, J.; Stolz, M.; Watzenig, D. Sub-optimal and robust path tracking: A geometric approach. In Proceedings of the 2021 IEEE/RSJ International Conference on Intelligent Robots and Systems (IROS), Prague, Czech Republic, 27 September–1 October 2021; pp. 8381–8387. [Google Scholar]
- Incremona, G.P.; Rubagotti, M.; Ferrara, A. Sliding Mode Control of Constrained Nonlinear Systems. IEEE Trans. Autom. Control 2017, 62, 2965–2972. [Google Scholar] [CrossRef]
- DATASPEED Inc. Dataspeed by-Wire Kit, 2025. Available online: https://www.dataspeedinc.com/adas-by-wire-system/ (accessed on 25 February 2025).
- Catmull, E.; Rom, R. A Class of Local Interpolating Splines. In Computer Aided Geometric Design; Academic Press: Cambridge, MA, USA, 1974; pp. 317–326. [Google Scholar] [CrossRef]
- Intempora. 2018. Available online: https://intempora.com/ (accessed on 11 March 2025).
- Festl, K.; Stolz, M. A nonlinear dead-time compensation method for path tracking control. In Recent Advances in Autonomous Vehicle Technology—Perception and Path Planning; Springer: Berlin/Heidelberg, Germany, 2025. [Google Scholar]
- Normey-Rico, J.E.; Camacho, E.F. Control of Dead-Time Processes; Springer International Publishing: London, UK, 2007; pp. 1–462. [Google Scholar] [CrossRef]
















Disclaimer/Publisher’s Note: The statements, opinions and data contained in all publications are solely those of the individual author(s) and contributor(s) and not of MDPI and/or the editor(s). MDPI and/or the editor(s) disclaim responsibility for any injury to people or property resulting from any ideas, methods, instructions or products referred to in the content. |
© 2025 by the authors. Licensee MDPI, Basel, Switzerland. This article is an open access article distributed under the terms and conditions of the Creative Commons Attribution (CC BY) license (https://creativecommons.org/licenses/by/4.0/).
Share and Cite
Festl, K.; Solmaz, S.; Watzenig, D. Smooth and Robust Path-Tracking Control for Automated Vehicles: From Theory to Real-World Applications. Electronics 2025, 14, 3588. https://doi.org/10.3390/electronics14183588
Festl K, Solmaz S, Watzenig D. Smooth and Robust Path-Tracking Control for Automated Vehicles: From Theory to Real-World Applications. Electronics. 2025; 14(18):3588. https://doi.org/10.3390/electronics14183588
Chicago/Turabian StyleFestl, Karin, Selim Solmaz, and Daniel Watzenig. 2025. "Smooth and Robust Path-Tracking Control for Automated Vehicles: From Theory to Real-World Applications" Electronics 14, no. 18: 3588. https://doi.org/10.3390/electronics14183588
APA StyleFestl, K., Solmaz, S., & Watzenig, D. (2025). Smooth and Robust Path-Tracking Control for Automated Vehicles: From Theory to Real-World Applications. Electronics, 14(18), 3588. https://doi.org/10.3390/electronics14183588

