Abstract
Fast open-circuit (OC) fault diagnosis is essential to ensure that a multilevel inverter operates under stable conditions. Conventional diagnosis methods either require additional hardware sensors or complex calculations. However, these conditions are difficult to realize in some low-cost application scenarios. For this reason, a two-step process-based OC fault diagnosis method is proposed according to available data that can be acquired using the existing sensors in the application. At the same time, the proposed method does not involve complex and precise calculation. By analyzing the effects of an OC fault on the AC-side three-phase current, the faulty bridge arm can be quickly located via the average current. Furthermore, through establishing the calculation model of the neutral point potential, an accurate diagnosis of faulty switching devices can be achieved quickly and easily based on the residuals. The proposed OC fault diagnosis method is also proved to be correct and effective based on simulation and experience.
1. Introduction
Recently, countries all over the world have paid special attention to the development and utilization of green energy technologies [1,2]. For inverters, as an energy interface, a large number of multilevel inverter topologies emerged [3,4]. Multilevel inverters have the advantages of flexible control, low harmonic content, large capacity, and higher voltage resistance [5]. As the number of levels increases, the number of electronic devices in the inverter system will also increase. Among the factors causing inverter faults, power semiconductor device faults and welding faults account for approximately 34% [6]. The fault types of power semiconductor switching devices can be divided into short-circuit (SC) and open-circuit (OC) faults. SC faults will be transformed into OC faults if not dealt with in time. The system will not collapse right away under OC faults. However, it has the potential to result in system paralysis, and can even trigger serious safety incidents and substantial economic losses. [7]. It is important to diagnose and locate the OC fault in time. Therefore, this article focuses on OC fault diagnosis and the location of power semiconductor switching devices in three-level NPC inverters.
At present, fault diagnosis technology has made a great deal of progress in research. The original OC fault diagnosis method was aimed at two-level converters. For example, the current vector [8], the normalized average current [9], and the zero-crossing current [10] are used to detect OC faults for two-level converters. However, the topology of three-level inverters is more complex, and the OC fault diagnosis methods for two-level inverters cannot be applied directly. Methods for three-level inverters have been proposed. This article divides them into voltage-based and current-based methods.
The phase voltage, pole voltage, and line voltage, etc., are used in voltage-based methods. In ref. [11], under an OC fault, a phase voltage model is established to estimate the phase voltage, and the residual and amplitude of the phase voltage are used to detect and determine the OC faults. In refs. [12,13], OC fault diagnosis is achieved based on the output voltage, using the harmonic amplitude and phase as the diagnostic criteria. In ref. [14], the line voltages are analyzed under an OC fault, and the corresponding waveform is obtained. According to the ratio of the voltage of two lines, the voltage difference, and the arithmetic value, the fault can be quickly diagnosed. The voltage-based methods mentioned above need to add a voltage sensor, voltage acquisition circuit, or other measuring devices. This increases the complexity and operating cost; thus, it is not commonly used in the actual industry.
In addition, there are many studies on current-based methods. In ref. [15], the current vector trajectory in the dq coordinate system can be used to identify the position of the OC fault. However, it takes a long time, approximately two basic cycles. In ref. [16], OC fault diagnosis is carried out by using the change in the mean value of the three-phase current and the injecting reactive power. However, it will change the power factor and affect the system. In ref. [17], based on a current distortion similarity analysis, it was possible to hierarchically diagnose the group-level and device-level faults. In refs. [18,19], based on the adaptive sliding-mode observer, it was possible to achieve OC fault diagnosis with fast speed, strong robustness, and no additional hardware circuit. However, this depends on the accuracy of the model, which cannot be used in the low-cost system. In ref. [20], the method of monitoring the abnormal change in the DC bus neutral current is free from the interference of the DC inverter bus voltage unbalance and load unbalance. However, an additional current sensor is needed, which increases the diagnostic cost. In ref. [21], an improved deep residual network is proposed. This method expands the dataset and delves into the potential features of the fault samples. In ref. [22], a novel 1-D convolution neural network is proposed with an improved stochastic gradient optimization method. However, these kinds of methods based on intelligent algorithms require manual repetition of the training process. In ref. [23], the method of normalized average phase current was adopted to complete fault diagnosis, and then the difference polarity of the neutral voltage was further utilized to distinguish the devices of the same bridge arm. This method is simple in principle and easy to implement. However, using the neutral voltage polarity difference is only applicable to T-type inverters and cannot be realized in NPC inverters.
Considering the above-mentioned factors, we hope to propose a simpler OC fault diagnosis method, and it can be applicable to a wide range of scenarios. The method is simple and non-invasive. The method being simple means that there is no need to build complex models, such as observers, and there is no need to involve complex algorithms such as neural networks. The method being non-invasive means that there is no need to add additional hardware circuits, and there is no need to add additional sensors to measure new parameters.
2. Three-Level NPC Inventers and OC Fault
2.1. Three-Level NPC Inverters
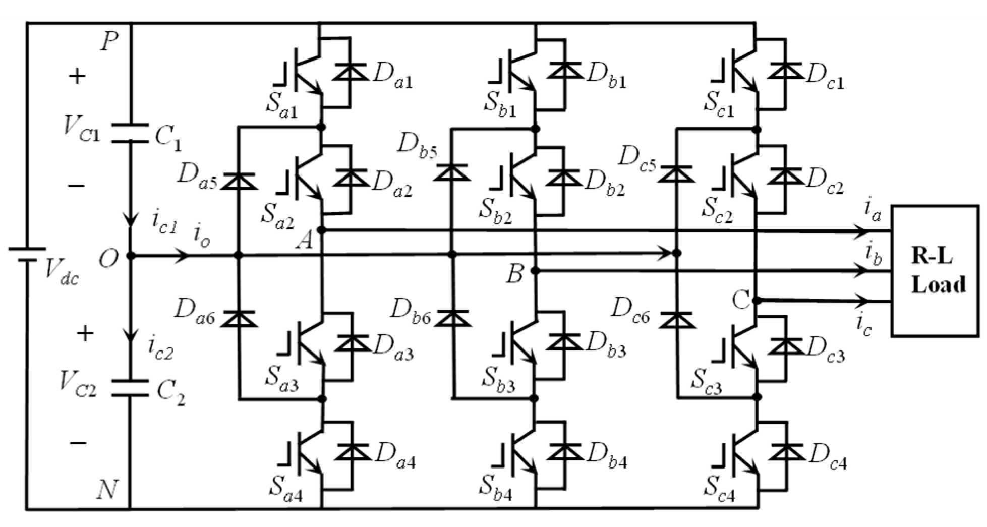
In Figure 1, the topology of the three-level NPC inverter is shown. The DC side contains a DC power supply and parallel capacitors C1 and C2. The capacitor voltages are denoted VC1 and VC2, and node “O” represents the neutral point of the DC link. The inverter consists of an A, B, C three-phase circuit, each phase covers the SX1-SX4 as a semiconductor switching device, and DX1–DX4 are the anti-parallel diodes with them. SX1 and SX4 that are linked to the DC link are external switching devices, while SX2 and SX3 connected to the node “O” are internal switching devices. Each phase is consisted of [P], [O] and [N] switching states. Table 1 shows the relation between switching states and the output voltage.
Figure 1.
Topology of three-level inverters.
Table 1.
Switching states—output voltage relation.
2.2. Current Path Analysis Under OC Fault
Considering that the probability of two or more switching devices failing at the same time is extremely low, it is almost impossible. In addition, some three-level NPC inverter systems adopt redundant hardware design or redundant control methods, to avoid the serious impact of multiple OC faults on the system to a certain extent. Therefore, we only consider the single-switch device OC fault of a three-level NPC inverter. Figure 2 are the current changes under different OC faults. The direction of current flow to the load is the positive reference direction. In Figure 2a, for a forward current path, the state [P] will be disable under an OC fault of Sa1. The current flows out through Sa2 and Da5. In Figure 2b, for a forward current path, the state [P] and state [O] will be disable under an OC fault of Sa2. In Figure 2c, for a negative current path, the state [N] and [O] will be disable under an OC fault of Sa3. In Figure 2d, for a negative current path, the state [N] will be disable under an OC fault of Sa4. The current flows through Sa3 and Da6 into the node ‘’O’’. As a result, the OC fault will cause the corresponding current to decrease or be lost.
Figure 2.
Current change under different OC faults: (a) Sa1; (b) Sa2; (c) Sa3; (d) Sa4.
3. The Proposed OC Fault Diagnosis Method
To achieve OC fault diagnosis in a simple and non-invasive way, it is necessary to make maximum use of directly accessible variables. For three-level converters, the neutral point potential (NPP) balancing strategy is essential. Real time monitoring of the NPP is required, and it can be measured directly without additional voltage sensors. So, using the NPP to diagnose OC fault does not require additional sensors. The single NPP character cannot distinguish the fault phase in OC fault diagnosis, it needs to be considered in combination with other characteristic quantities. Therefore, in this article, a two-step process-based OC fault diagnosis strategy is proposed. In the first step, the three-phase current is used to judge OC faults and locate the faulty bridge arm initially. In the second step, the NPP residual is used to accurately locate the OC fault. Figure 3 shows the overall diagram of the proposed diagnosis method.
Figure 3.
The overall diagram of the proposed diagnosis method.
3.1. Diagnosis of Faulty Bridge Arm
For sinusoidal periodic currents, the average is close to 0 in one fundamental period time. And the average current will change under an OC fault. Here, the moving average filtering method is adopted. The basic idea is to calculate an average value within a certain number of sample windows and take this average value as the output of the current point. The basic implementation steps are as follows:
Step 1. Select the window size: The window size (N) determines the degree of filtering. The larger of N, the more obvious the filtering effects, but the larger the signal delays.
Step 2. Initialize filter: Set the initial sliding window, which may need to be pre-filled with some zeros or initial input values.
Step 3. Calculate the average: Sum all the values in the current window, then divide by the window size N to obtain the filtering result of the current point. Let x[n] be the input signal, the output y[n] can be expressed as:
Step 4. Window slide: To process the next data point, the window moves forward one bit, adds new data point and removes the earliest data point.
Step 5. Repeat steps 3–4: For each new data point, repeat the process of calculating the mean and window slides.
The choice of window size is crucial. In this article, the fundamental frequency is 50 Hz and the current sampling period is 5 kHz. So, consider the periodicity of the current, we select N = 100 in the base period of 0.02 s as the sliding window length. The process of obtaining the moving average is shown in Figure 4.
Figure 4.
The process of obtaining the moving average.
Once the average phase current goes beyond the diagnosis threshold, it is determined that an OC fault has occurred. The fault diagnosis variable K is in Equation (2).
Here, Ith indicates the current threshold and Ix indicates the average phase current. K = 1 means OC fault occurs, and K = 0 means under normal operation.
The fault phase current is obviously distorted, and currents of the remaining two phases will experience slight alterations with the fault phase. So, we can confirm a specific OC fault phase according to the level of current change. The fault phase diagnosis variable δ is in Equation (3) and δ = 1/2/3 corresponds to three-phase OC faults of A/B/C.
It is subsequently concluded that the OC fault take place in either the upper bridge arm or the lower bridge arm after determining the OC fault phase. We define the bridge arm diagnostic index S in Equation (4), where represents the faulty phase average current.
S = −1 means OC fault in upper bridge arm and S = 1 means OC fault in lower bridge arm.
At this point, the OC fault diagnosis and the initial location of the faulty bridge arm are completed according to the three-phase current. The precise OC fault location in the faulty bridge arm is the difficulty of fault location.
3.2. Accurate Fault Location
An OC fault will cause the NPP out of balance and drift, but the NPP drift directions are same under OC faults in the same bridge arm. The specific location of the OC fault cannot be directly located. Therefore, the NPP residual is introduced to locate the fault. Firstly, we need to analyze the theoretical calculation of the NPP. There are 27 available space vectors of three-level NPC inverters under normal operation circumstances. When there is an OC fault, the certain switching state of the phase is unavailable, and some specific space vectors are unavailable for the whole system. The space vectors [P--] are unavailable under an OC fault of Sa1; the space vectors [P--] and [O--] are unavailable under an OC fault of Sa2; the space vectors [N--] and [O--] are unavailable under an OC fault of Sa3; the space vectors [N--] are unavailable under an OC fault of Sa4. When some space vectors become unavailable, they will influence the NPP, making it lose its balance and undergo irreversible drift. On the DC link, the NPP can be calculated by the neutral point current io, and the relationship between them is in Equation (5). The relationship between io and the three-phase currents can be expressed in Equation (6).
Here, ic1 and ic2 are the capacitance currents, and εx is the switching state of phase x, as in Equation (7).
In fact, only medium vectors and small vectors will affect the neutral current, that is, when one of the three phases is connected to the node “O”, the phase current will flow through the neutral point and affect the neutral current. The neutral current will be different under different space vectors, and the neutral current will change after an OC fault occurs according to the previous analysis. The neutral current variations in A phase under an OC fault are as follows:
(1) External switching devices Sa1/Sa4 OC faults: The switching states [P/N] are missing and actually work in [O]. It means that ia is added to the current flowing through the node ‘’O’’ at this time.
(2) Internal switching devices Sa2/Sa3 OC faults: The switching states [P/N] and [O] are missing. It means that there is no ia flowing through the node ‘’O’’. In fact, not all the unavailable space vectors will have variations on the neutral current. For the internal switching devices, the unavailable large vectors and zero vectors have no variations on the neutral current. Some unavailable medium vectors such as [PON] and [NPO] work as vectors [-ON] and [-PO], so here also have no variations on the neutral current under OC faults. Some other unavailable medium vectors such as [OPN] and [ONP] work as large vectors [-PN] and [-NP], now the variation on the neutral current is no ia flowing through the node ‘’O’’. As a result, only some unavailable medium vectors and the unavailable small vectors will cause variation on the neutral current under OC faults.
According to the principle of neutral current variation under different OC faults, the neutral current calculation models corresponding to 12 kinds of OC faults of three-level inverters are established, and the NPP under different OC faults can be calculated. The theoretical calculated value and the actual measured value of the NPP can be obtained, and the residual value between them is used as an important judgment index for the fault location. For a certain faulty bridge arm, the external switching device fault is assumed to be hypothesis 1, and the internal switching device fault is assumed to be hypothesis 2. For the six bridge arms of three-phase inverters, there are similar principles and calculations. Take OC faults of the upper bridge arm of phase A as an example, we assume the OC faults of Sa1 and Sa2 at this time. When the faulty bridge arm is determined at time t1, the different neutral current and NPP of Sa1 and Sa2 OC faults within time ∆t are calculated as shown in Table 2. According to different OC fault models, vo1 and vo2 are calculated, respectively, and the residual value ∆v between the two hypotheses can be obtained. By comparing the residual value, we can determine whether hypothesis 1 or hypothesis 2 is valid.
Table 2.
The NPP calculation in two hypothetical models.
The residuals are considered to start from the t1 moment after the fault bridge arm is determined, and the actual value of the NPP begins to change as soon as the OC fault occurs, so vo1(t1) = vo2(t1) ≠ vo(t1). Taking the reference voltage phase φ ∈ (0, 2π) of phase a as a basic period, the switching states are given as [P] and [O] in the positive half period φ ∈ (0, π) and the output current ia > 0. At negative half cycle φ ∈ (π, 2π), the switching states are given as [N] and [O] and the output current ia < 0. Since the output current of the resistive load lags behind the output voltage, there is a current lagging behind the voltage near the voltage phases φ = π and φ = 2π. Under normal circumstances, it is considered that the current ia decreases but always keeps ia > 0 after Sa1 OC fault, and the current keeps ia = 0 after Sa2 OC fault in half cycle. The residual relations under the two hypotheses is as:
- (a)
- When Sa1 OC fault:
- (b)
- When Sa2 OC fault:
t0 represents the moment of the actual OC fault diagnosis begins, t1 represents the moment of the faulty bridge arm is diagnosed, and ∆t represents the residual calculation time. It can be determined according to the working switching frequency, we take ∆t in this article. Note that during the period from t0 to t1, the original neutral voltage balance control strategy is retained in the online diagnosis. The neutral voltage balance is not controlled from time t1. According to the residual relationship between the two hypotheses, it is possible to differentiate the OC faults of the same bridge. For the accurate location, the hypothesis decision result η is defined in Equation (8) according to the residual threshold Vth.
Here, η = 1 means hypothesis 1 is true, and η = −1 means hypothesis 2 is true. The voltage threshold Vth can be calculated directly from the residual expression under the previous two hypotheses, and here we take according to experience. It can be adjusted according to different working conditions. Figure 5 shows the concrete process of the proposed diagnosis method.
Figure 5.
Overall block diagram of the proposed diagnosis method.
4. Experimental Verification
In this chapter, we conduct some experiments to verify the proposed method. The experimental setup is shown in Figure 6 and the experimental parameters are given in Table 3. The 3L-NPC converter consists of IGBT modules (F3L50R06W1E3). The sampling voltage and current are acquired through sensors (LV25, LA55), and the control strategy is carried out on a DSP board (TMS320F28335). DC-link voltage and three-phase currents are obtained by a hardware oscilloscope with some voltage/current probes.
Figure 6.
The experimental setup.
Table 3.
The experimental parameters.
Considering that the switching devices of the upper and lower bridge arm have different actual operating intervals, this article focuses on their respective effective operating intervals to verify that the diagnosis method can effectively diagnose the OC faults at different times. The OC fault diagnosis method proposed in this paper is verified under the operating OC conditions in Table 4.
Table 4.
Different verification conditions.
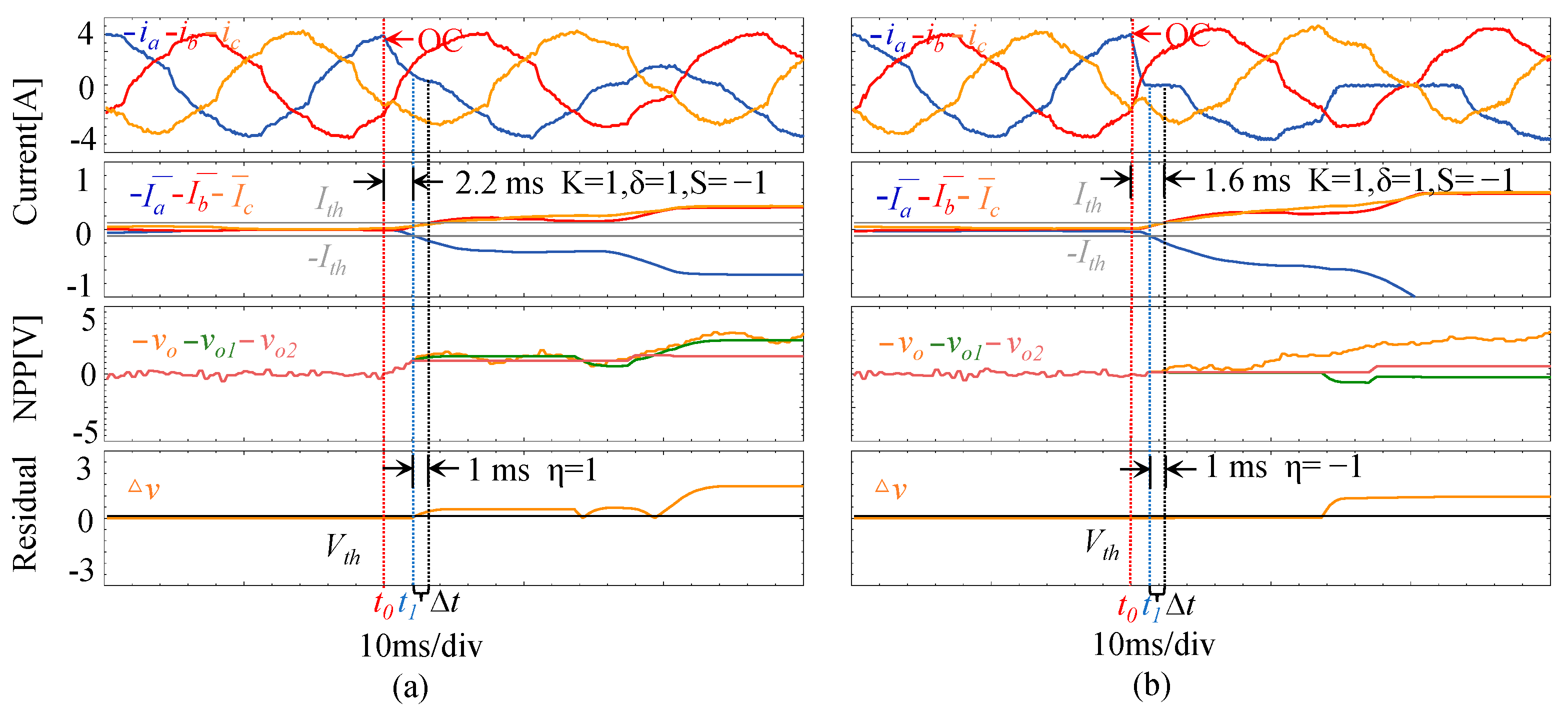
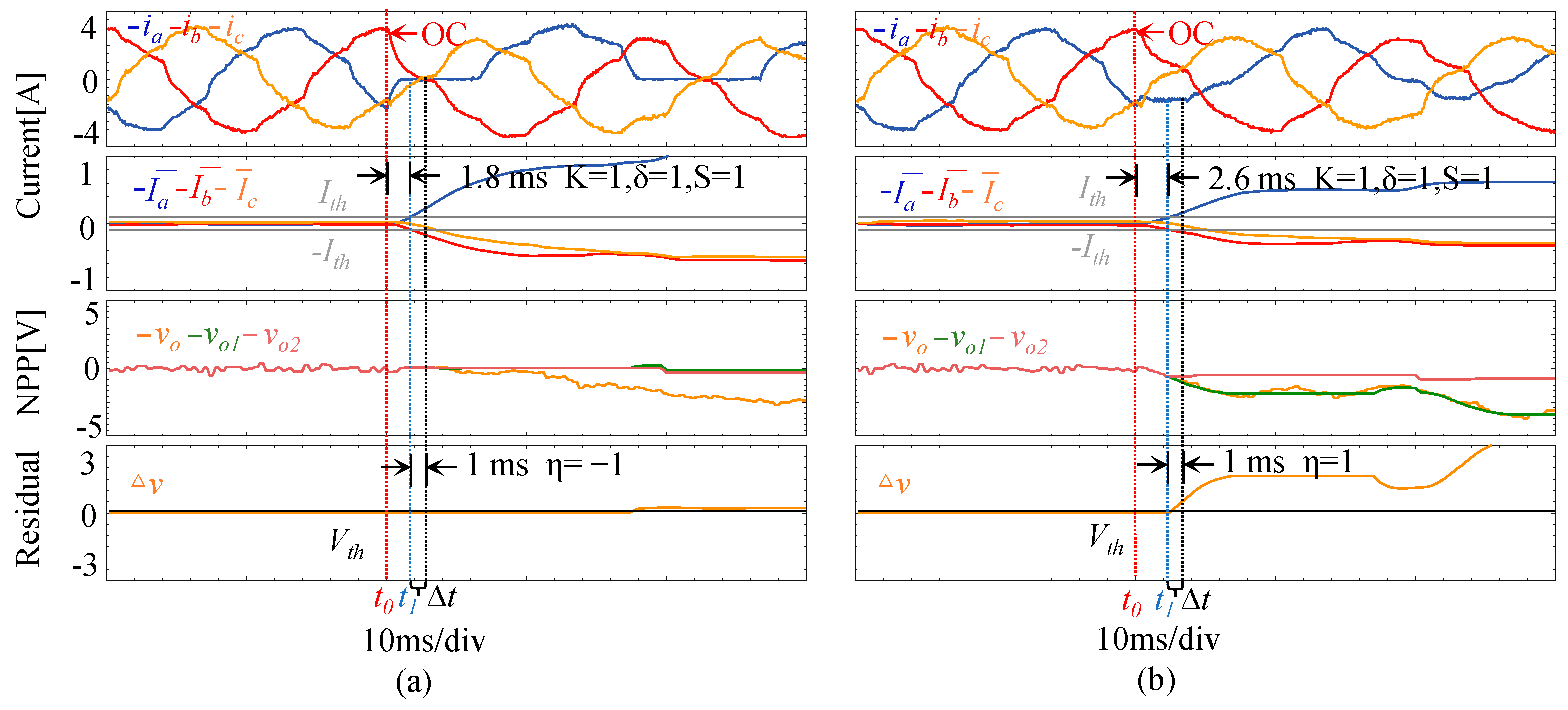
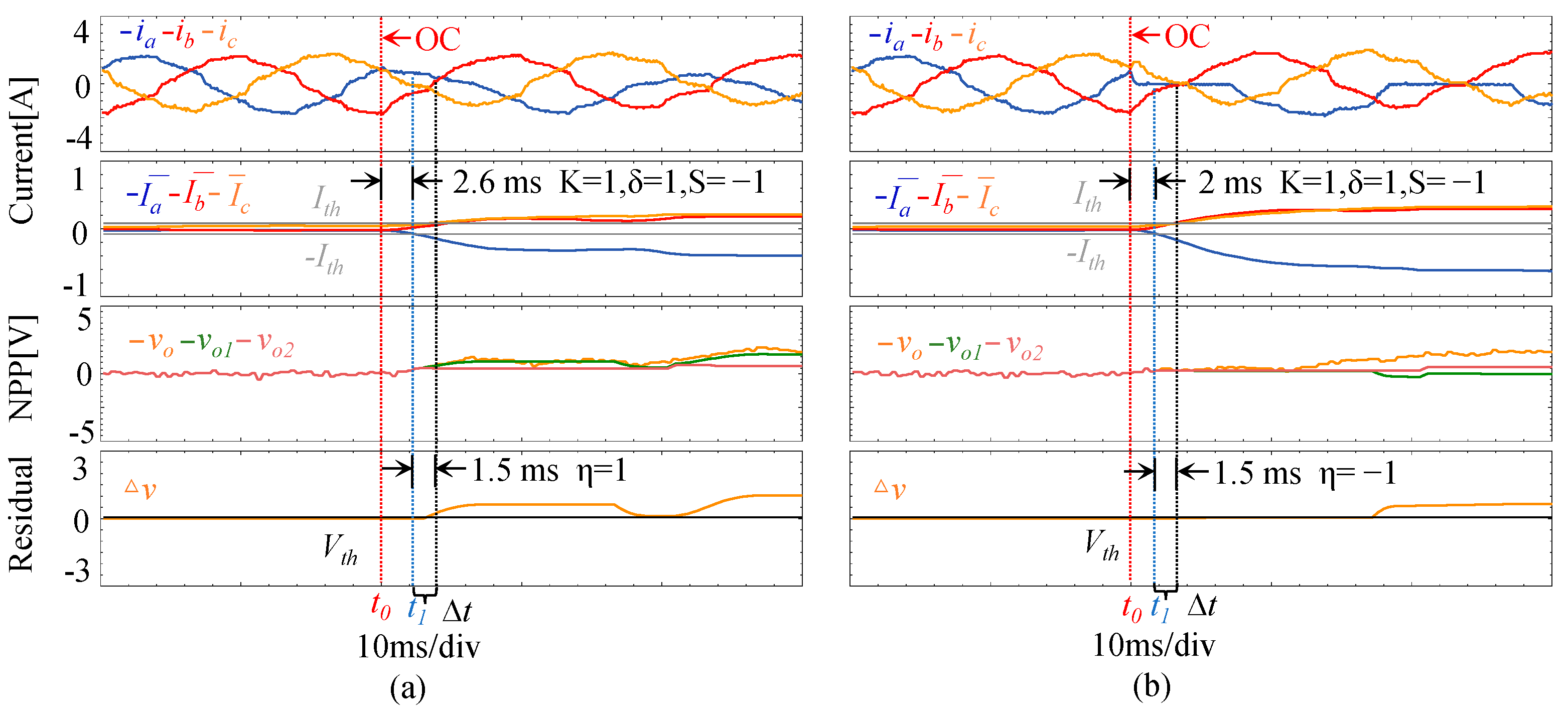
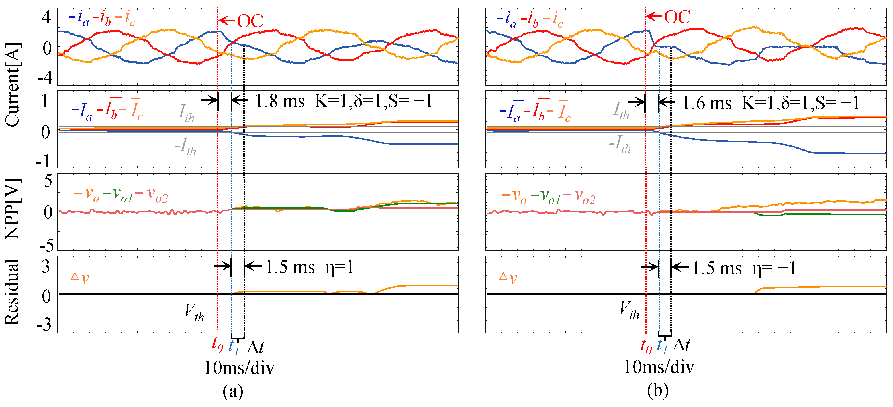
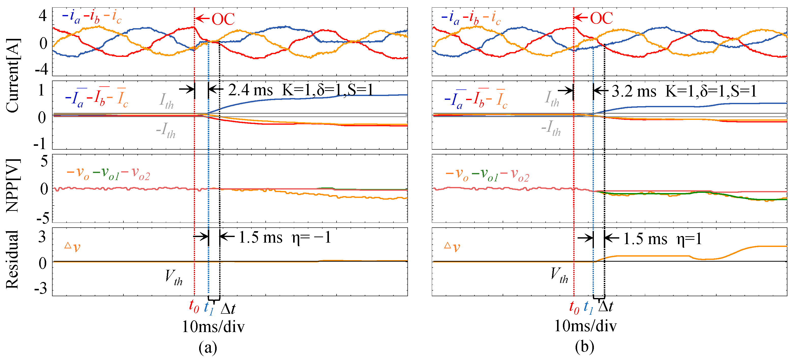
Figure 7, Figure 8, Figure 9, Figure 10, Figure 11, Figure 12, Figure 13 and Figure 14, respectively, shows the OC fault diagnosis under the above different conditions. The OC fault occurs at time t0, the faulty bridge arm is initially determined at time t1, and the NPP residuals under the two hypotheses are calculated during △t. For an OC fault of the switching device of the upper bridge arm, the output current will be distorted in the positive half cycle while the negative half cycle is almost unaffected. At the same time, the output currents of the non-fault phase are almost unaffected. After the external switching device Sa1 occurs an OC fault, the output positive current ia decreases but not be 0. After the internal switching device Sa2 occurs an OC fault, the output positive half-cycle current ia decreases to 0. The same applies to the lower arm switching devices. After the internal switching device Sa3 occurs an OC fault, the output negative half-cycle current ia decreases to 0. After the external switching device Sa4 occurs an OC fault, the output negative current ia decreases but not be 0.
Figure 7.
The experimental waveform of the upper bridge arm under OC 1: (a) Sa1; (b) Sa2.
Figure 8.
The experimental waveform of the upper bridge arm under OC 2: (a) Sa1; (b) Sa2.
Figure 9.
The experimental waveform of the lower bridge arm under OC 3: (a) Sa3; (b) Sa4.
Figure 10.
The experimental waveform of the lower bridge arm under OC 4: (a) Sa3; (b) Sa4.
Figure 11.
The experimental waveform of the upper bridge arm under OC 5: (a) Sa1; (b) Sa2.
Figure 12.
The experimental waveform of the upper bridge arm under OC 6: (a) Sa1; (b) Sa2.
Figure 13.
The experimental waveform of the lower bridge arm under OC 7: (a) Sa3; (b) Sa4.
Figure 14.
The experimental waveform of the lower bridge arm under OC 8: (a) Sa3; (b) Sa4.
Figure 7 and Figure 8, respectively, show the experimental results of Sa1 and Sa2 after OC faults occur at different current phases. Sa1 or Sa2 has an OC fault at t0. We can determine the OC fault and locate the faulty bridge arm by the average current at t1. And then, the NPP under the two hypotheses is obtained according to the calculation model of the NPP under an OC fault, and the accurate location is completed by its residual. In Figure 7a,b, the current waveforms change inconsistent after the switching devices on the upper bridge arm occur OC faults, but the average values change in the same trend. Because of the obvious decrease in positive ia, the average current value of phase A obviously shifts negatively. Compared with the non-fault phases, the drift degree is more obvious and the direction is opposite. The actual value of NPP vo occurs forward drift, and vo1 and vo2 are calculated under the hypotheses of two OC faults. In Figure 7a, it takes 2.4 ms to identify the faulty bridge arm, and the specific location of the OC fault is determined after △t. During △t = 1 ms, hypothesis 1 considers that the neutral current contains ia and ia > 0, and hypothesis 2 considers that ia = 0, so there is a difference between vo1 and vo2, △v > Vth. Therefore, it can be judged that the OC fault of the upper bridge arm is in Sa1. That is, an OC fault occurs at t0, and the faulty switching device is determined to be Sa1 after 3.4 ms. In Figure 7b, it takes 1.6 ms to identify the faulty bridge arm. During △t = 1 ms, hypothesis 1 considers that the neutral current contains ia but ia = 0, and hypothesis 2 considers that ia = 0, so the residual △v = 0. Therefore, it can be judged that the OC fault of the upper bridge arm is in Sa2. That is, an OC fault occurs at t0, and the faulty switching device is determined to be Sa2 after 2.6 ms.
In the same way, in Figure 8a, it takes 2.2 ms to identify the faulty bridge arm, and it takes 1 ms to accurate the OC fault in Sa1. In Figure 8b, it takes 1.6 ms to identify the faulty bridge arm, and it takes 1 ms to accurate the OC fault in Sa2.
Figure 9 and Figure 10, respectively, show the experimental results of Sa3 and Sa4 of the lower bridge arm after OC faults occur at different current phases. Compared with the upper bridge arm, the main difference is that the working effective interval is different, and the average current change in the opposite direction. For the NPP, the negative drift of the NPP is caused by the decrease in discharge of the lower capacitor C2. In Figure 9a, it takes 1.8 ms to identify the faulty bridge arm. During △t = 1 ms, hypothesis 1 considers that the neutral current contains ia and ia < 0, and hypothesis 2 considers that ia = 0, so the residual △v = 0. Therefore, it can be judged that the OC fault of the upper bridge arm is in Sa3. That is, the OC fault occurs at t0, and the faulty switching device is determined to be Sa3 after 2.8 ms. In Figure 9b, it takes 2.6 ms to identify the faulty bridge arm. During △t = 1 ms, hypothesis 1 considers that the neutral current contains ia and ia < 0, and hypothesis 2 considers that ia = 0, so the residual △v > Vth. Therefore, it can be judged that the OC fault of the upper bridge arm is in Sa4. That is, the OC fault occurs at t0, and the faulty switching device is determined to be Sa3 after 3.6 ms. In Figure 10a, it takes 2 ms to identify the faulty bridge arm, and it takes 1 ms to accurate the OC fault in Sa3. In Figure 10b, it takes 3 ms to identify the faulty bridge arm, and it takes 1 ms to accurate the OC fault in Sa4.
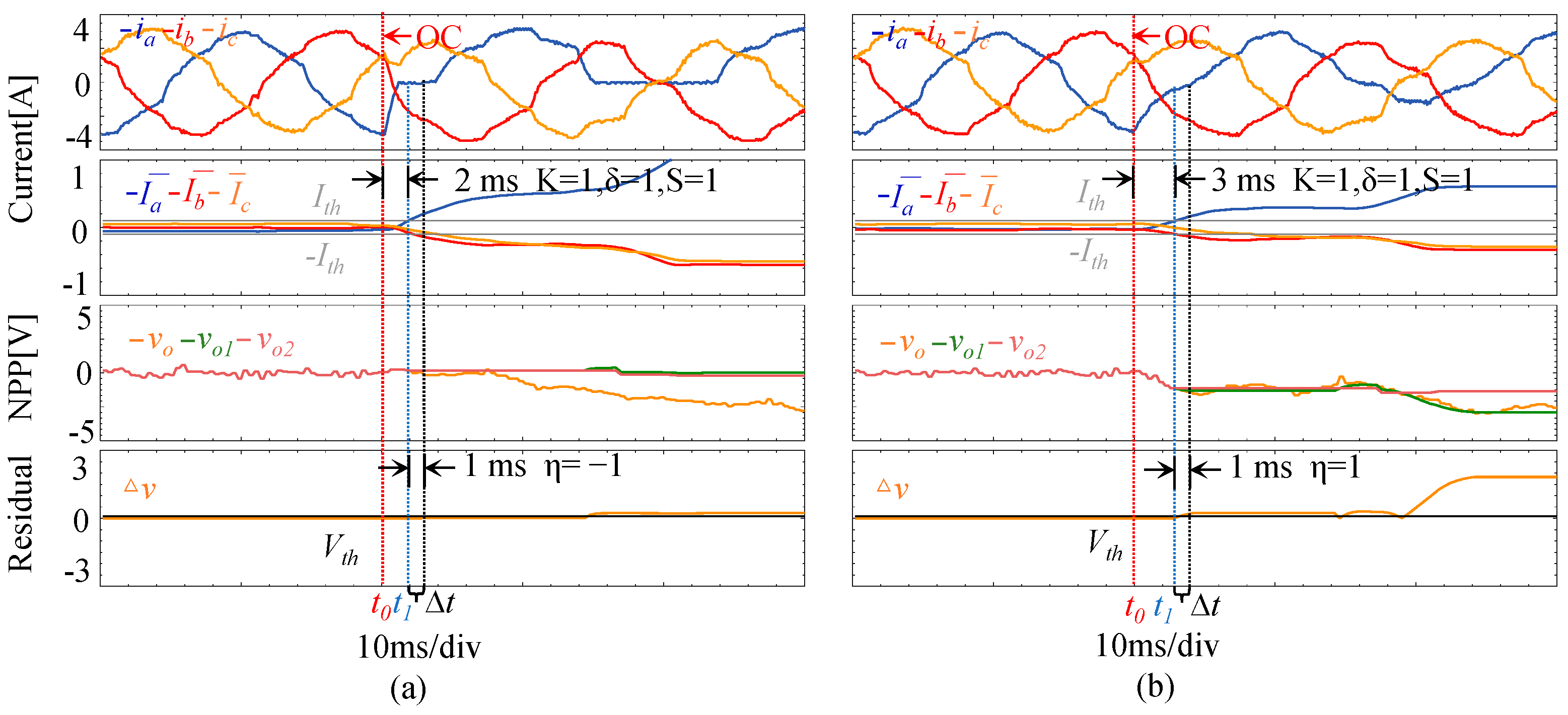
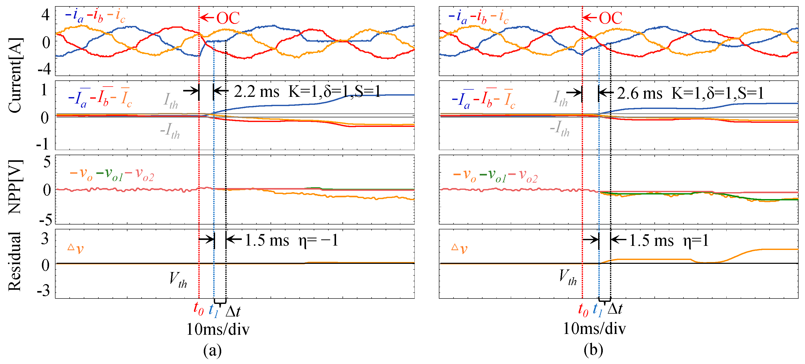
The method presented in this article can effectively diagnosis OC faults under different current levels. For the current threshold Ith and voltage threshold Vth used in the method, the value selections are related to the current size and need to adapt to different current levels. Figure 11, Figure 12, Figure 13 and Figure 14 show the experimental results under the proposed OC fault diagnosis strategy at 1.5 A current level. When the current is small, considering that the residual difference of the NPP under the two hypotheses is small during △t, so △t = 1.5 ms is taken to ensure accuracy of the OC fault location now. In Figure 11a, it takes 2.6 ms to identify the faulty bridge arm, and it takes 1.5 ms to accurate the OC fault in Sa1. In Figure 11b, it takes 2 ms to identify the faulty bridge arm, and it takes 1.5 ms to accurate the OC fault in Sa2. In Figure 12a, it takes 1.8 ms to identify the faulty bridge arm, and it takes 1.5 ms to accurate the OC fault in Sa1. In Figure 12b, it takes 1.6 ms to identify the faulty bridge arm, and it takes 1.5 ms to accurate the OC fault in Sa2.
In Figure 13a, it takes 2.4 ms to identify the faulty bridge arm, and it takes 1.5 ms to accurate the OC fault in Sa3. In Figure 13b, it takes 3.2 ms to identify the faulty bridge arm, and it takes 1.5 ms to accurate the OC fault in Sa4. In Figure 14a, it takes 2.2 ms to identify the faulty bridge arm, and it takes 1.5 ms to accurate the OC fault in Sa3. In Figure 14b, it takes 2.6 ms to identify the faulty bridge arm, and it takes 1.5 ms to accurate the OC fault in Sa4. The completion time of the two-step OC fault diagnosis proposed in this article under different OC conditions is shown in Table 5.
Table 5.
The OC fault diagnosis time in different OC conditions.
The performance of the proposed OC fault diagnosis method for the three-phase three-level topology is compared with previous methods in Table 6. The proposed method has good results in diagnostic cost, complexity and diagnosis speed.
Table 6.
Comparison of different OC fault diagnosis methods.
5. Conclusions
In this article, a simple and non-invasive two-step process-based OC fault diagnosis strategy for three-level NPC inverters is proposed. First, the OC fault is diagnosed using the average values of three-phase currents, and then the fault phase and fault bridge arm are initially located. Then, the NPP residual calculated under the two hypotheses are used to accurately locate the OC fault location.
Different from the existing method, it has the following advantages: (1) the existing voltage and current signals are utilized without additional operations. Making it more economical and applicable to more scenarios. (2) The operation process is simple and does not involve complex algorithms, which can ensure OC fault diagnosis without adding additional burden to the normal operation of other functions of the system, and effectively maintains the stability and fluency of the entire system. (3) The proposed method has a good diagnostic effect for 12 kinds of single-switch OC faults at different times and different current levels. Even in the case of small current values, the diagnosis can be completed in 5 ms (less than 1/4 basic cycle period). In addition, the proposed method is divided into two steps, which can complete the OC fault diagnosis faster for some inverters with bridge arm package.
Although the method proposed in this article is innovative and practical, it also has some limitations. The method dependences on the calculation of the NPP when locating the OC fault on the same bridge arm. This means that the accuracy and reliability of fault location may be affected when the measurement of neutral point parameters is not accurate or there are fluctuations in the system, which limit the application effect and popularization value of this method in complex working conditions to a certain extent.
Author Contributions
Conceptualization, W.Z. and B.G.; methodology, W.Z. and B.G.; software, W.Z.; investigation, W.Z. and Y.C.; writing—original draft preparation, W.Z.; writing—review and editing, W.Z.; project administration, B.G.; funding acquisition, B.G. All authors have read and agreed to the published version of the manuscript.
Funding
This research was funded by the National Natural Science Foundation of China under grant number 52477176.
Data Availability Statement
All of the data generated during this study are included in this article. Further enquiries can be directed to the corresponding author.
Conflicts of Interest
The authors declare no conflicts of interest.
References
- Shan, R.; Yang, J.; Huang, S. Open-circuit fault diagnosis of three-phase PWM rectifier circuits based on transient characteristics and random forest classification. J. Power Electron. 2024, 24, 130–139. [Google Scholar] [CrossRef]
- Don Chua, W.F.; Lim, C.L.; Koh, Y.Y.; Kok, C.L. A Novel IoT Photovoltaic-Powered Water Irrigation Control and Monitoring System for Sustainable City Farming. Electronics 2024, 13, 676. [Google Scholar] [CrossRef]
- Liu, Z.; Guan, B. Hybrid Modulation Strategy with Neutral Point Potential Balance of T-Type Three-Level Converter under Switch Open-Circuit Fault. IEEE Trans. Ind. Electron. 2022, 69, 10797–10806. [Google Scholar]
- Guan, B.; Zhen, X. Noninvasive Online Capacitor Monitoring Method for Three-Level Converter Based on Active Neutral-Point Current Adjustment. IEEE Trans. Ind. Electron. 2024, 71, 4320–4329. [Google Scholar] [CrossRef]
- Sandeep, N.; Ali, J. An Improved Quadruple-Boost Switched-Capacitor-Based Nine-Level Inverter. IEEE Trans. Power Electron. 2023, 38, 9335–9339. [Google Scholar] [CrossRef]
- Selvaraj, R.; Chelliah, T. Open Switch Fault Tolerant Control Strategy for Paralleled Three-Level NPC Back-to-Back Power Converters Fed DFIM Unit. IEEE J. Emerg. Sel. Top. Power Electron. 2022, 10, 7691–7703. [Google Scholar] [CrossRef]
- Chen, T.; Pan, Y.; Xiong, Z. Fault diagnosis scheme for single and simultaneous open-circuit faults of voltage-source inverters on the basis of fault online simulation. J. Power Electron. 2021, 21, 384–395. [Google Scholar] [CrossRef]
- Peuget, R.; Courtine, S.; Rognon, J. Fault detection and isolation on a PWM inverter by knowledge-based model. IEEE Trans. Ind. Appl. 1998, 34, 1318–1326. [Google Scholar] [CrossRef]
- Wu, Z.; Zhao, J. Open-Circuit Fault Diagnosis Method for Grid-Connected Bidirectional T-Type Converter Based on Geometrical Similarity Measurement. IEEE Trans. Power Electron. 2022, 37, 15571–15582. [Google Scholar] [CrossRef]
- Shi, T.; He, Y.; Wang, T.; Tong, J.; Li, B.; Deng, F. An Improved Open-Switch Fault Diagnosis Technique of a PWM Voltage Source Rectifier Based on Current Distortion. IEEE Trans. Power Electron. 2019, 34, 12212–12225. [Google Scholar] [CrossRef]
- Zhang, W.; He, Y. A Hypothesis Method for T-Type Three-Level Inverters Open-Circuit Fault Diagnosis Based on Output Phase Voltage Model. IEEE Trans. Power Electron. 2022, 37, 9718–9732. [Google Scholar] [CrossRef]
- Li, P.; Li, X.; Zeng, T. A Fast and Simple Fault Diagnosis Method for Interleaved DC-DC Converters Based on Output Voltage Analysis. Electronics 2021, 10, 1451. [Google Scholar] [CrossRef]
- Liang, Y.; Wang, R.; Hu, B. Single-Switch Open-Circuit Diagnosis Method Based on Average Voltage Vector for Three-Level T-Type Inverter. IEEE Trans. Power Electron. 2021, 36, 911–921. [Google Scholar] [CrossRef]
- Wu, X.; Chen, T.; Cheng, S.; Yu, T.; Xiang, C.; Li, K. A Noninvasive and Robust Diagnostic Method for Open-Circuit Faults of Three-Level Inverters. IEEE Access 2019, 7, 2006–2016. [Google Scholar] [CrossRef]
- Choi, U.; Jeong, H.; Lee, K.; Blaabjerg, F. Method for Detecting an Open-Switch Fault in a Grid-Connected NPC Inverter System. IEEE Trans. Power Electron. 2012, 27, 2726–2739. [Google Scholar] [CrossRef]
- Choi, U.; Lee, J.; Blaabjerg, F.; Lee, K. Open-Circuit Fault Diagnosis and Fault-Tolerant Control for a Grid-Connected NPC Inverter. IEEE Trans. Power Electron. 2016, 31, 7234–7247. [Google Scholar] [CrossRef]
- Zhang, W.; He, Y. A Simple Open-Circuit Fault Diagnosis Method for Grid-Tied T-Type Three-Level Inverters with Various Power Factors Based on Instantaneous Current Distortion. IEEE J. Emerg. Sel. Top. Power Electron. 2023, 11, 1071–1085. [Google Scholar] [CrossRef]
- Shui, Q.; Jian, W.; Ke, Z.; Ping, J.; Yi, C. Open-circuit fault diagnosis of single-phase three-level rectifier in high-speed train traction system based on adaptive sliding mode observer. Control Theory Technol. 2023, 40, 1920–1930. [Google Scholar]
- Xu, S.; Huang, W.; Wang, H.; Zheng, W.; Wang, J.; Chai, Y.; Ma, M. A Simultaneous Diagnosis Method for Power Switch and Current Sensor Faults in Grid-Connected Three-Level NPC Inverters. IEEE Trans. Power Electron 2023, 38, 1104–1118. [Google Scholar] [CrossRef]
- He, J.; Demerdash, N.; Weise, N.; Katebi, R. A Fast On-Line Diagnostic Method for Open-Circuit Switch Faults in SiC-MOSFET-Based T-Type Multilevel Inverters. IEEE Trans. Ind. Appl. 2017, 53, 2948–2958. [Google Scholar] [CrossRef]
- Fu, Y.; Ji, Y.; Meng, G.; Chen, W.; Bai, X. Three-Phase Inverter Fault Diagnosis Based on an Improved Deep Residual Network. Electronics 2023, 12, 3460. [Google Scholar] [CrossRef]
- Yuan, W.; Li, Z.; He, Y.; Cheng, R.; Lu, L.; Ruan, L. Open-Circuit Fault Diagnosis of NPC Inverter Based on Improved 1-D CNN Network. IEEE Trans. Instrum. Meas. 2022, 71, 1–11. [Google Scholar] [CrossRef]
- Choi, U.; Lee, K.; Blaabjerg, F. Diagnosis and Tolerant Strategy of an Open-Switch Fault for T-Type Three-Level Inverter Systems. IEEE Trans. Ind. Appl. 2014, 50, 495–508. [Google Scholar] [CrossRef]
Disclaimer/Publisher’s Note: The statements, opinions and data contained in all publications are solely those of the individual author(s) and contributor(s) and not of MDPI and/or the editor(s). MDPI and/or the editor(s) disclaim responsibility for any injury to people or property resulting from any ideas, methods, instructions or products referred to in the content. |
© 2025 by the authors. Licensee MDPI, Basel, Switzerland. This article is an open access article distributed under the terms and conditions of the Creative Commons Attribution (CC BY) license (https://creativecommons.org/licenses/by/4.0/).













