Incremental Capacity Curve Peak Points-Based Regression Analysis for the State-of-Health Prediction of a Retired LiNiCoAlO2 Series/Parallel Configured Battery Pack
Abstract
1. Introduction
2. Voltage Imbalance of the NCA Retired Series/Parallel Battery Pack
2.1. Experimental Result of the Fresh Series/Parallel Battery Pack
2.2. Experimental Result of the Retired Series/Parallel Battery Pack
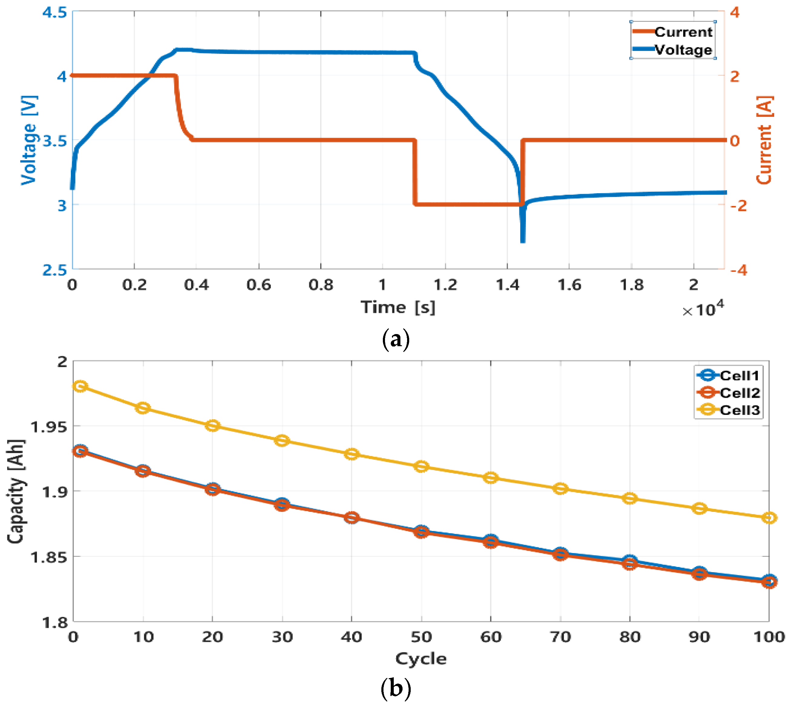
2.3. Aging Cycle Test of the NCA Cell
3. Incremental Capacity (IC) Curve Acquisition
3.1. Original IC Curve
3.2. Smoothing of the IC Curve
4. Design of the Aging Model
4.1. Selection of the IC Curve Peak Point
4.2. Analysis of the Partial Capacity in the Short Voltage Range
4.3. Linear Regression Method
5. Experimental Results
5.1. Results of Cell Datasets
5.2. Results of the Retired Series/Parallel Pack Datasets
5.3. Results of the Retired Cell Datasets
6. Conclusions
Author Contributions
Funding
Conflicts of Interest
References
- Lee, C.G.; Park, J.H.; Kim, J.H. Construction of Frequency Regulation RESS based on Advanced Cell Grouping Combined with the DWT. In Proceedings of the IEEE Transportation Electrification Conference, Busan, Korea, 1–4 June 2016. [Google Scholar]
- Casals, L.C.; Barbero, M.C. Reused second life batteries for aggregated demand response services. J. Clean. Prod. 2019, 212, 99–108. [Google Scholar] [CrossRef]
- Xiong, R.; Li, L. Towards a smarter battery management system: A critical review on battery state of health monitoring methods. J. Power Sources 2018, 405, 18–29. [Google Scholar] [CrossRef]
- Omar, N.; Van, M.J. Power and life enhancement of battery-electrical double layer capacitor for hybrid electric and charge-depleting plug-in vehicle applications. Electrochim. Acta 2010, 55, 7524–7531. [Google Scholar] [CrossRef]
- Murariu, T.; Morari, C. Time-dependent analysis of the state-of-health for lead-acid batteries: An EIS study. J. Energy Storage 2019, 21, 87–93. [Google Scholar] [CrossRef]
- Kwiecien, M.; Badeda, J. Determination of SoH of Lead-Acid Batteries by Electrochemical Impedance Spectroscopy. Appl. Sci. 2018, 8, 873. [Google Scholar] [CrossRef]
- Sarasketa-Zabala, E.; Martinez-Laserna, E. Realistic lifetime prediction approach for Li-ion batteries. Appl. Energy 2016, 162, 839–852. [Google Scholar] [CrossRef]
- Tudoroiu, R.E.; Zaheeruddin, M. Real-Time Implementation of an Extended Kalman Filter and a PI Observer for State Estimation of Rechargeable Li-Ion Batteries in Hybrid Electric Vehicle Applications—A Case Study. Batteries 2018, 4, 19. [Google Scholar] [CrossRef]
- Sepasi, S.; Ghorbani, R. Inline state of health estimation of lithium-ion batteries using state of charge calculation. J. Power Sources 2018, 299, 246–254. [Google Scholar] [CrossRef]
- Wassiliadis, N.; Adermann, J. Revisiting the dual extended Kalman filter for battery state-of-charge and state-of-health estimation: A use-case life cycle analysis. J. Energy Storage 2018, 19, 73–87. [Google Scholar] [CrossRef]
- Ning, B.; Cao, B. Adaptive sliding mode observers for lithium-ion battery state estimation based on parameters identified online. Energy 2018, 153, 732–742. [Google Scholar] [CrossRef]
- Wang, Q.; Feng, X. Power battery state of charge estimation based on extended Kalman filter. J. Renew. Sustain. Energy 2019, 11, 014302. [Google Scholar] [CrossRef]
- Song, Z.; Hofmann, H. Parameter identification of lithium-ion battery pack for different applications based on Cramer-Rao bound analysis and experimental study. Appl. Energy 2018, 231, 1307–1318. [Google Scholar] [CrossRef]
- Yang, D.; Wang, Y. State-of-health estimation for the lithium-ion battery based on support vector regression. Appl. Energy 2018, 227, 273–283. [Google Scholar] [CrossRef]
- Sbarufatti, C.; Corbetta, M. Adaptive prognosis of lithium-ion batteries based on the combination of particle filters and radial basis function neural networks. J. Power Sources 2017, 344, 128–140. [Google Scholar] [CrossRef]
- Meng, J.; Cai, L. Lithium-ion battery state of health estimation with short-term current pulse test and support vector machine. Microelectron. Reliab. 2018, 88–90, 1216–1220. [Google Scholar] [CrossRef]
- Chang, W.Y.; Chang, P.C. Application of Radial Basis Function Neural Network, to Estimate the State of Health for LFP Battery. Int. J. Electr. Electron. Eng. 2018, 7, 1–6. [Google Scholar]
- Li, X.; Wang, Z. State-of-health estimation for Li-ion batteries by combing the incremental capacity analysis method with grey relational analysis. J. Power Sources 2019, 410–411, 106–114. [Google Scholar] [CrossRef]
- Li, Y.; Monema, M.A. A quick on-line state of health estimation method for Li-ion battery with incremental capacity curves processed by Gaussian filter. J. Power Source 2018, 373, 40–53. [Google Scholar] [CrossRef]
- Li, X.; Wang, Z. Prognostic health condition for lithium battery using the partial incremental capacity and Gaussian process regression. J. Power Sources 2019, 421, 56–67. [Google Scholar] [CrossRef]
- Feng, X.; Weng, C. Incremental Capacity Analysis on Commercial Lithium-Ion Batteries using Support Vector Regression: A Parametric Study. Energies 2018, 11, 2323. [Google Scholar] [CrossRef]
- Zhang, Y.C.; Briat, O. Efficient state of health estimation of Li-ion battery under several ageing types for aeronautic applications. Microelectron. Reliab. 2018, 88–90, 1231–1235. [Google Scholar] [CrossRef]
- Dubarry, G.; Baure, A. Devie. Durability and Reliability of EV Batteries under Electric Utility Grid Operations: Path Dependence of Battery Degradation. J. Electrochem. Soc. 2018, 165, 773–783. [Google Scholar] [CrossRef]
- Elie, R.; Ali, S. Innovative Incremental Capacity Analysis Implementation for C/LiFePO4 Cell State-of-Health Estimation in Electrical Vehicles. Batteries 2019, 5, 37–50. [Google Scholar]
- Peter, K.; Andreas, J. Calendar Aging of NCA Lithium-Ion Batteries Investigated by Differential Voltage Analysis and Coulomb Tracking. J. Electrochem. Soc. 2017, 164, 6066–6074. [Google Scholar]
- Peter, C.A.; Ewout, W.S. The number of subjects per variable required in linear regression analyses. J. Clin. Epidemiol. 2015, 68, 627–636. [Google Scholar]
- Kristopher, J.P.; Patrick, J. Computational Tools for Probing Interactions in Multiple Linear Regression, Multilevel Modeling, and Latent Curve Analysis. J. Educ. Behav. Statics 2006, 31, 437–448. [Google Scholar]





























| Cell | Cell No. 2 SOH Information | Cell No. 3 SOH Information | ||||
|---|---|---|---|---|---|---|
| Cycle | Real SOH | Model SOH | SOH Error (%) | Real SOH | Model SOH | SOH Error (%) |
| 1 | 0.965090 | 0.966002 | 0.091231 | 0.990165 | 0.985305 | 0.486000 |
| 10 | 0.957525 | 0.954704 | 0.282094 | 0.981765 | 0.976040 | 0.572500 |
| 20 | 0.950520 | 0.946948 | 0.357228 | 0.975020 | 0.965249 | 0.977100 |
| 30 | 0.944530 | 0.937065 | 0.746517 | 0.969385 | 0.964879 | 0.450600 |
| 40 | 0.939880 | 0.936145 | 0.373453 | 0.964180 | 0.956211 | 0.796900 |
| 50 | 0.934080 | 0.929440 | 0.464022 | 0.959385 | 0.952479 | 0.690600 |
| 60 | 0.930230 | 0.926427 | 0.380269 | 0.955105 | 0.948051 | 0.705400 |
| 70 | 0.925500 | 0.922225 | 0.327511 | 0.950895 | 0.941757 | 0.913800 |
| 80 | 0.921900 | 0.921174 | 0.072571 | 0.947160 | 0.940725 | 0.643500 |
| 90 | 0.918015 | 0.915819 | 0.219630 | 0.943325 | 0.939466 | 0.385900 |
| 100 | 0.914865 | 0.915434 | 0.056876 | 0.939760 | 0.937737 | 0.202300 |
| Cell | Cell No. 2 SOH Information | Cell No. 3 SOH Information | ||||
|---|---|---|---|---|---|---|
| Cycle | Real SOH | Model SOH | SOH Error (%) | Real SOH | Model SOH | SOH Error (%) |
| 1 | 0.965090 | 0.963419 | 0.167070 | 0.990165 | 0.993270 | −0.310501 |
| 10 | 0.957525 | 0.955278 | 0.224684 | 0.981765 | 0.987842 | −0.607760 |
| 20 | 0.950520 | 0.947137 | 0.338295 | 0.975020 | 0.976987 | −0.196778 |
| 30 | 0.944530 | 0.938995 | 0.553407 | 0.969385 | 0.974274 | −0.488908 |
| 40 | 0.939880 | 0.936282 | 0.359777 | 0.964180 | 0.968846 | −0.466667 |
| 50 | 0.934080 | 0.925427 | 0.865259 | 0.959385 | 0.963419 | −0.403426 |
| 60 | 0.930230 | 0.925427 | 0.480259 | 0.955105 | 0.957991 | −0.288685 |
| 70 | 0.925500 | 0.920000 | 0.550000 | 0.950895 | 0.955278 | −0.438315 |
| 80 | 0.921900 | 0.917286 | 0.461370 | 0.947160 | 0.949850 | −0.269074 |
| 90 | 0.918015 | 0.917286 | 0.072870 | 0.943325 | 0.947137 | −0.381204 |
| 100 | 0.914865 | 0.914572 | 0.029240 | 0.939760 | 0.947137 | −0.737704 |
| Number of Series Connected Stage | Real SOH | Model SOH | SOH Error (%) |
|---|---|---|---|
| 1S | 0.923110 | 0.920901 | 0.220840 |
| 2S | 0.924775 | 0.920939 | 0.383523 |
| 3S | 0.889815 | 0.897681 | −0.786691 |
| 4S | 0.895785 | 0.899409 | −0.362452 |
| 5S | 0.916825 | 0.915565 | 0.125961 |
| 6S | 0.933365 | 0.929314 | 0.405027 |
| 8S | 0.938995 | 0.937269 | 0.172511 |
| 9S | 0.933220 | 0.924452 | 0.876734 |
| 10S | 0.962180 | 0.970388 | −0.820893 |
| 11S | 0.937520 | 0.930829 | 0.669058 |
| 12S | 0.951895 | 0.957149 | −0.525449 |
| Number of Series Connected Stage | Real SOH | Model SOH | SOH Error (%) |
|---|---|---|---|
| 1S | 0.92311 | 0.908345 | 1.476536 |
| 2S | 0.924775 | 0.911601 | 1.317391 |
| 3S | 0.889815 | 0.885278 | 0.453685 |
| 4S | 0.895785 | 0.890706 | 0.507944 |
| 5S | 0.916825 | 0.902374 | 1.445051 |
| 6S | 0.933365 | 0.915672 | 1.769336 |
| 8S | 0.938995 | 0.927612 | 1.138306 |
| 9S | 0.93322 | 0.911872 | 2.134754 |
| 10S | 0.96218 | 0.985414 | 2.323384 |
| 11S | 0.93752 | 0.927069 | 1.04508 |
| 12S | 0.951895 | 0.995183 | 4.328818 |
| Cycle | Real SOH | Model SOH | SOH Error (%) |
|---|---|---|---|
| 1 | 0.986639 | 0.986639 | 0.867415 |
| 30 | 0.975 | 0.975 | 0.576596 |
| 60 | 0.96305 | 0.96305 | 0.007766 |
| 90 | 0.94125 | 0.94125 | 0.753881 |
| 120 | 0.931 | 0.931 | 0.226191 |
| 150 | 0.91265 | 0.91265 | 0.264107 |
| 180 | 0.89699 | 0.89699 | 1.303744 |
| 210 | 0.893 | 0.893 | 0.849753 |
| 240 | 0.891 | 0.891 | 0.458948 |
| 270 | 0.87475 | 0.87475 | 0.268324 |
| 300 | 0.868756 | 0.868756 | 0.31217 |
| 330 | 0.84825 | 0.84825 | 0.66615 |
| 360 | 0.8582 | 0.8582 | 0.968274 |
| 390 | 0.823913 | 0.823913 | 0.103044 |
| 420 | 0.82225 | 0.82225 | 0.130594 |
| 450 | 0.817438 | 0.817438 | 0.631443 |
| 480 | 0.81 | 0.81 | 0.633386 |
| 510 | 0.8 | 0.8 | 0.585745 |
| 540 | 0.78495 | 0.78495 | 0.333081 |
| 570 | 0.7795 | 0.7795 | 0.01941 |
| 600 | 0.770695 | 0.770695 | 0.469788 |
| Cycle | Real SOH | Model SOH | SOH Error (%) |
|---|---|---|---|
| 1 | 0.986639 | 0.992469 | 0.583047 |
| 30 | 0.975 | 0.983826 | 0.882632 |
| 60 | 0.96305 | 0.969539 | 0.648867 |
| 90 | 0.94125 | 0.94168 | 0.042978 |
| 120 | 0.931 | 0.936639 | 0.563908 |
| 150 | 0.91265 | 0.929484 | 1.68344 |
| 180 | 0.89699 | 0.912421 | 1.543112 |
| 210 | 0.893 | 0.917028 | 2.402849 |
| 240 | 0.891 | 0.935129 | 4.41289 |
| 270 | 0.87475 | 0.89749 | 2.273982 |
| 300 | 0.868756 | 0.895265 | 2.650909 |
| 330 | 0.84825 | 0.8773 | 2.904986 |
| 360 | 0.8582 | 0.876811 | 1.86114 |
| 390 | 0.823913 | 0.860163 | 3.625032 |
| 420 | 0.82225 | 0.851085 | 2.883548 |
| 450 | 0.817438 | 0.846608 | 2.917037 |
| 480 | 0.81 | 0.831167 | 2.116689 |
| 510 | 0.8 | 0.812551 | 1.255088 |
| 540 | 0.78495 | 0.8081 | 2.315041 |
| 570 | 0.7795 | 0.80483 | 2.533039 |
| 600 | 0.770695 | 0.793012 | 2.231771 |
© 2019 by the authors. Licensee MDPI, Basel, Switzerland. This article is an open access article distributed under the terms and conditions of the Creative Commons Attribution (CC BY) license (http://creativecommons.org/licenses/by/4.0/).
Share and Cite
Lee, H.; Park, J.; Kim, J. Incremental Capacity Curve Peak Points-Based Regression Analysis for the State-of-Health Prediction of a Retired LiNiCoAlO2 Series/Parallel Configured Battery Pack. Electronics 2019, 8, 1118. https://doi.org/10.3390/electronics8101118
Lee H, Park J, Kim J. Incremental Capacity Curve Peak Points-Based Regression Analysis for the State-of-Health Prediction of a Retired LiNiCoAlO2 Series/Parallel Configured Battery Pack. Electronics. 2019; 8(10):1118. https://doi.org/10.3390/electronics8101118
Chicago/Turabian StyleLee, Hyunjun, Jounghu Park, and Jonghoon Kim. 2019. "Incremental Capacity Curve Peak Points-Based Regression Analysis for the State-of-Health Prediction of a Retired LiNiCoAlO2 Series/Parallel Configured Battery Pack" Electronics 8, no. 10: 1118. https://doi.org/10.3390/electronics8101118
APA StyleLee, H., Park, J., & Kim, J. (2019). Incremental Capacity Curve Peak Points-Based Regression Analysis for the State-of-Health Prediction of a Retired LiNiCoAlO2 Series/Parallel Configured Battery Pack. Electronics, 8(10), 1118. https://doi.org/10.3390/electronics8101118
