Broadband Dual-Polarized Loop Cross-Dipole Antenna for 5G Base Station Applications
Abstract
1. Introduction
2. Antenna Geometry
3. Evolution Process and Mechanism Analysis
3.1. The Evolution of Antenna Structure
3.2. Mechanism Analysis
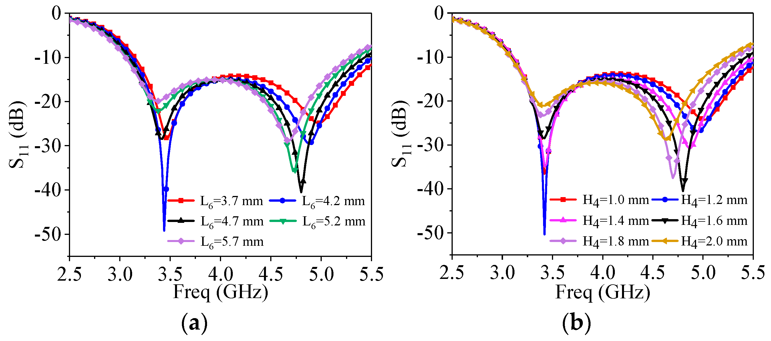
4. Parametric Analysis
4.1. Y-Shaped Feeding Lines
4.2. Trepanning Analysis
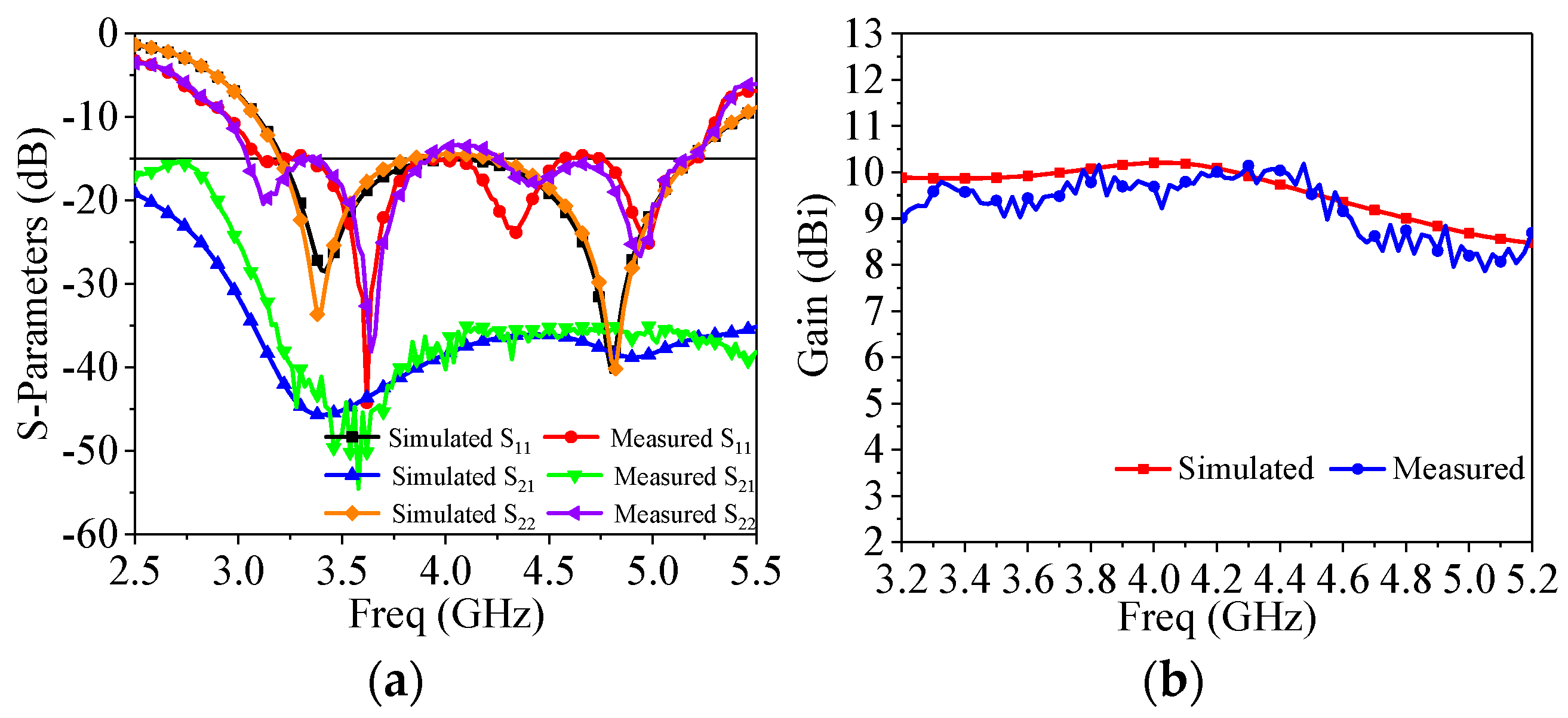
5. Result and Discussion
6. Conclusions
Author Contributions
Funding
Acknowledgments
Conflicts of Interest
References
- Alieldin, A.; Huang, Y.; Boyes, S.J. A triple-band dual-polarized indoor base station antenna for 2G, 3G, 4G and Sub-6 GHz 5G applications. IEEE Access 2018, 6, 49209–49216. [Google Scholar] [CrossRef]
- Tang, H.; Zong, X.Z.; Nie, Z.P. Broadband dual-polarized base station antenna for Fifth-Generation (5G) applications. Sensors 2018, 18, 2701. [Google Scholar] [CrossRef]
- Guo, J.Y.; Liu, F.; Zhao, L.Y. Meta-surface antenna array decoupling designs for two linear polarized antennas coupled in H-plane and E-plane. IEEE Access 2019, 7, 100442–100452. [Google Scholar] [CrossRef]
- Zhang, Q.Y.; Gao, Y. A compact broadband dual-polarized antenna array for base stations. IEEE Antennas Wirel. Propag. Lett. 2018, 17, 1073–1076. [Google Scholar] [CrossRef]
- Carles, P.; Jaume, A.; Carmen, B. Dual-Band Dual-Polarized Antenna Array. U.S. Patent 6,937,206, 30 August 2005. [Google Scholar]
- Jaume, A. Fractal and Broadband Techniques for Miniature, Multi-Frequency and High-Directivity Microstrip Patch Antennas. Ph.D. Thesis, Universitat Politècnica de Catalunya, Barcelona, Spain, 2003. [Google Scholar]
- Zhou, Z.; Wei, Z.H.; Tang, Z.Y. Design and analysis of a wideband multiple-microstrip dipole antenna with high isolation. IEEE Antennas Wirel. Propag. Lett. 2019, 18, 722–726. [Google Scholar] [CrossRef]
- Yang, X.J.; Ge, L.; Wang, J. A differentially driven dual-polarized high-gain stacked patch antenna. IEEE Antennas Wirel. Propag. Lett. 2018, 17, 1181–1185. [Google Scholar] [CrossRef]
- Jin, Y.Y.; Du, Z.W. Broadband dual-polarized F-probe fed stacked patch antenna for base stations. IEEE Antennas Wirel. Propag. Lett. 2015, 14, 1121–1124. [Google Scholar] [CrossRef]
- Deng, C.J.; Li, Y.; Zhang, Z.J. A wideband high-isolated dual-polarized patch antenna using two different balun feedings. IEEE Antennas Wirel. Propag. Lett. 2014, 13, 1617–1619. [Google Scholar] [CrossRef]
- Huang, Y.H.; Wu, Q.; Liu, Q.Z. Broadband dual-polarised antenna with high isolation for wireless communication. Electron. Lett. 2009, 45, 714–715. [Google Scholar] [CrossRef]
- Sun, H.H.; Ding, C.; Jones, B. A wideband base station antenna element with stable radiation pattern and reduced beam squint. IEEE Access 2017, 5, 23022–23031. [Google Scholar] [CrossRef]
- Chen, W.; Lin, H.; Ding, H. A low profile broadband dual-polarized base station antenna using folded dipole radiation element. IEEE Access 2019, 7, 67679–67685. [Google Scholar] [CrossRef]
- Lu, Z.Z.; Sun, Y.F.; Zhu, H.R.; Huang, F. A Wideband Dual-Polarized Magneto-Electric Dipole Antenna for 2G/3G/LTE/WiMAX Base Stations. In Proceedings of the 2018 IEEE MTT-S International Wireless Symposium (IWS), Chengdu, China, 6–10 May 2018; pp. 1–4. [Google Scholar] [CrossRef]
- Zhou, S.G.; Peng, Z.H.; Huang, G.L. Design of a novel wideband and dual-polarized magnetoelectric dipole antenna. IEEE Trans. Antennas Propag. 2017, 65, 2645–2649. [Google Scholar] [CrossRef]
- Huang, H.; Liu, Y.; Gong, S.X. A broadband dual-polarized base station antenna with sturdy construction. IEEE Antennas Wirel. Propag. Lett. 2017, 16, 665–668. [Google Scholar] [CrossRef]
- Bao, Z.D.; Zong, X.Z.; Nie, Z.P.; Yang, S. Design and discussion of a broadband cross-dipole with high isolation and low cross-polarisation utilising strong mutual coupling. IEET Microw. Antennas Propag. 2014, 8, 315–322. [Google Scholar] [CrossRef]
- Chu, Q.X.; Wen, D.L.; Luo, Y. A broadband ±45° dual-polarized antenna with Y-shaped feeding lines. IEET Microw. Antennas Propag. 2015, 63, 483–490. [Google Scholar] [CrossRef]
- Wu, R.; Chu, Q.X. A broadband dual-polarized antenna with chamfers. Microw. Opt. Technol. Lett. 2017, 59, 631–635. [Google Scholar] [CrossRef]
- Wu, R.; Chu, Q.X. Multi-mode broadband antenna for 2G/3G/LTE/5G wireless communication. Electron. Lett. 2018, 54, 614–616. [Google Scholar] [CrossRef]
- Tang, H.; Zong, X.Z.; Nie, Z.P. Novel Broadband Dual-Polarized Antenna for 5G Applications. In Proceedings of the 2018 International Symposium on Antennas and Propagation (ISAP), Busan, Korea, 23–26 October 2018; pp. 1–2. [Google Scholar]
- Tang, H.; Zong, X.Z.; Nie, Z.P. A Dual-Polarized Printed Dipole for Base Station in 5G Mobile Communications. In Proceedings of the 2018 International Symposium on Antennas and Propagation (ISAP), Busan, Korea, 23–26 October 2018; pp. 1–2. [Google Scholar]
- Lian, R.; Tang, Z.Y.; Yin, Y.Z. Design of a broadband polarization-reconfigurable Fabry–Perot resonator antenna. IEEE Antennas Wirel. Propag. Lett. 2018, 17, 122–125. [Google Scholar] [CrossRef]
- Li, M.T.; Chen, X.M.; Zhang, A.X.; Kishk, A.A. Dual-polarized broadband base station antenna backed with dielectric cavity for 5G communications. IEEE Antennas Wirel. Propag. Lett. 2019, 18, 2051–2055. [Google Scholar] [CrossRef]
- Goudarzi, A.; Movahhedi, M.; Honari, M.M.; Saghlatoon, H.; Mirzavand, R.; Mousavi, P. Communication wideband high-gain circularly-polarized resonant cavity antenna with a thin complementary partially reflective surface. IEET Microw. Antennas Propag. 2020, 1. [Google Scholar] [CrossRef]
- Goudarzi, A.; Honari, M.M.; Mirzavand, R. Resonant Cavity Antennas for 5G Communication Systems: A Review. Electronics 2020, 9, 1080. [Google Scholar] [CrossRef]
- Wang, B.; Zhu, C.C.; Liao, C.Y.; Luo, W.; Yin, B.; Wang, P. Broadband dual-polarized dipole antenna for LTE/5G base station applications. Electromagnetics 2020, 40, 13–22. [Google Scholar] [CrossRef]
- Rambabu, K.; Ramesh, M.; Kalghatgi, A.T. Broadband equivalent circuit of a dipole antenna. IEET Microw. Antennas Propag. 1999, 146, 391–393. [Google Scholar] [CrossRef]
- Liao, Y.; Hubing, T.H.; Su, D.L. Equivalent circuit with frequency-independent lumped elements for coated wire antennas. IEEE Trans. Antennas Propag. 2012, 60, 5419–5423. [Google Scholar] [CrossRef]











| Parameters | Value | Parameters | Value |
|---|---|---|---|
| R1 | 4.2 | L8 | 3.6 |
| R2 | 7.5 | Wf | 0.5 |
| R3 | 1.2 | f | 1.0 |
| L1 | 5.8 | RW | 90.0 |
| L2 | 3.7 | H1 | 0.8 |
| L3 | 1.9 | H2 | 18.0 |
| L4 | 1.2 | H3 | 10.0 |
| L5 | 2.6 | H4 | 1.6 |
| L6 | 4.7 | W | 32.0 |
| Ref | Bandwidth (GHz) | Isolation (dB) | Gain (dBi) | XPD (0°, dB) | XPD (±60°, dB) | HPBW (degree) | Antenna Size (λ) |
|---|---|---|---|---|---|---|---|
| [18] | 1.7–2.7, 45% | >25 | 8.2 ± 0.6 | NG | NG | 68 ± 2 | 0.32 × 0.32 |
| [20] | 1.69–3.6, 72.2% | >25 | 8 ± 0.9 | NG | NG | 68 | 0.57 × 0.57 |
| [21] | 3.3–5.0, 41% | >32 | 8 | NG | NG | 70 ± 5 | 0.34 × 0.34 |
| [22] | 3.18–5.19, 48% | >30 | 8 | NG | NG | 75 | 0.49 × 0.49 |
| [23] | 2.21–3.63, 48.6% | ≥30 | 8.3 | ≥30 | NG | 65.5 ± 5.5 | 0.39 × 0.39 |
| Proposed | 3.2–5.22, 48% | >35 | 9.0 ± 1 | >27 | >20 | 68 ± 3 | 0.42 × 0.42 |
© 2020 by the authors. Licensee MDPI, Basel, Switzerland. This article is an open access article distributed under the terms and conditions of the Creative Commons Attribution (CC BY) license (http://creativecommons.org/licenses/by/4.0/).
Share and Cite
Liao, C.; Wang, B.; Zhu, C.; Hao, H.; Yin, B. Broadband Dual-Polarized Loop Cross-Dipole Antenna for 5G Base Station Applications. Electronics 2020, 9, 1574. https://doi.org/10.3390/electronics9101574
Liao C, Wang B, Zhu C, Hao H, Yin B. Broadband Dual-Polarized Loop Cross-Dipole Antenna for 5G Base Station Applications. Electronics. 2020; 9(10):1574. https://doi.org/10.3390/electronics9101574
Chicago/Turabian StyleLiao, Chenyang, Bin Wang, Congcong Zhu, Honggang Hao, and Bo Yin. 2020. "Broadband Dual-Polarized Loop Cross-Dipole Antenna for 5G Base Station Applications" Electronics 9, no. 10: 1574. https://doi.org/10.3390/electronics9101574
APA StyleLiao, C., Wang, B., Zhu, C., Hao, H., & Yin, B. (2020). Broadband Dual-Polarized Loop Cross-Dipole Antenna for 5G Base Station Applications. Electronics, 9(10), 1574. https://doi.org/10.3390/electronics9101574

