Gut Microbiota across Normal Gestation and Gestational Diabetes Mellitus: A Cohort Analysis
Abstract
:1. Introduction
2. Materials and Methods
2.1. Study Population and Design
2.2. Standardized Questionnaires
2.3. Clinical Data
2.4. Dietary Assessment
2.5. Stool Collection
2.6. Laboratory Tests
2.7. Analytic Methods
2.8. Statistical Analysis
3. Results
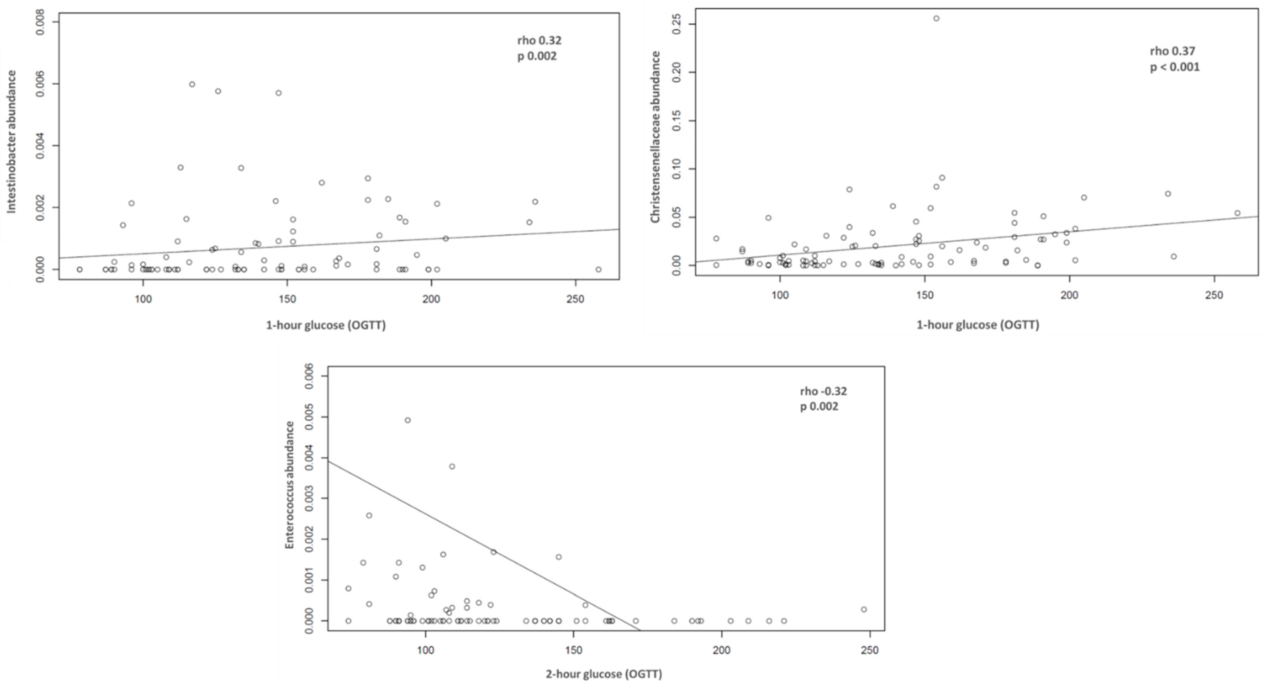
Microbiota Composition
4. Discussion
5. Conclusions
Supplementary Materials
Author Contributions
Funding
Institutional Review Board Statement
Informed Consent Statement
Data Availability Statement
Acknowledgments
Conflicts of Interest
References
- Care, D.; Suppl, S.S. Classification and Diagnosis of Diabetes : Standards of Medical Care in Diabetes—2022. Diabetes Care 2022, 45, 17–38. [Google Scholar]
- Trujillo, J.; Vigo, A.; Duncan, B.B.; Falavigna, M.; Wendland, E.M.; Campos, M.A.; Schmidt, M.I. Impact of the International Association of Diabetes and Pregnancy Study Groups criteria for gestational diabetes. Diabetes Res. Clin. Pract. 2015, 108, 288–295. [Google Scholar] [CrossRef] [PubMed]
- HAPO Study Cooperative Research Group; Metzger, B.E.; Lowe, L.P.; Dyer, A.R.; Trimble, E.R.; Chaovarindr, U.; Coustan, D.R.; Hadden, D.R.; McCance, D.R.; Hod, M.; et al. Hyperglycemia and Adverse Pregnancy Outcomes. N. Engl. J. Med. 2008, 358, 1991–2002. [Google Scholar] [CrossRef]
- Zhu, Y.; Zhang, C. Prevalence of Gestational Diabetes and Risk of Progression to Type 2 Diabetes: A Global Perspective. Curr. Diab. Rep. 2016, 16, 7. [Google Scholar] [CrossRef] [PubMed]
- Fadl, H.; Magnuson, A.; Östlund, I.; Montgomery, S.; Hanson, U.; Schwarcz, E. Gestational diabetes mellitus and later cardiovascular disease: A Swedish population based case-control study. BJOG An Int. J. Obstet. Gynaecol. 2014, 121, 1530–1536. [Google Scholar] [CrossRef] [PubMed]
- Fraser, A.; Lawlor, D.A. Long-term health outcomes in offspring born to women with diabetes in pregnancy. Curr. Diab. Rep. 2014, 121, 1530–1536. [Google Scholar] [CrossRef]
- Nehring, I.; Chmitorz, A.; Reulen, H.; von Kries, R.; Ensenauer, R. Gestational diabetes predicts the risk of childhood overweight and abdominal circumference independent of maternal obesity. Diabet. Med. 2013, 30, 1449–1456. [Google Scholar] [CrossRef]
- Butel, M.J.; Waligora-Dupriet, A.J.; Wydau-Dematteis, S. The developing gut microbiota and its consequences for health. J. Dev. Orig. Health Dis. 2018, 9, 590–597. [Google Scholar] [CrossRef]
- Saad, M.J.A.; Santos, A.; Prada, P.O. Linking gut microbiota and inflammation to obesity and insulin resistance. Physiology 2016, 31, 283–293. [Google Scholar] [CrossRef]
- Gérard, P. Gut microbiota and obesity. Cell. Mol. Life Sci. 2016, 73, 147–162. [Google Scholar] [CrossRef]
- Gurung, M.; Li, Z.; You, H.; Rodrigues, R.; Jump, D.B.; Morgun, A.; Shulzhenko, N. EBioMedicine Role of gut microbiota in type 2 diabetes pathophysiology. EBioMedicine 2020, 51, 102590. [Google Scholar] [CrossRef] [Green Version]
- Plows, J.F.; Stanley, J.L.; Baker, P.N.; Reynolds, C.M.; Vickers, M.H. The pathophysiology of gestational diabetes mellitus. Int. J. Mol. Sci. 2018, 19, 3342. [Google Scholar] [CrossRef]
- Gomez-Arango, L.F.; Barrett, H.L.; McIntyre, H.D.; Callaway, L.K.; Morrison, M.; Nitert, M.D.; Tremellen, A.; Tobin, J.; Wilkinson, S.; McSweeney, C.; et al. Connections between the gut microbiome and metabolic hormones in early pregnancy in overweight and obese women. Diabetes 2016, 65, 2214–2223. [Google Scholar] [CrossRef]
- Koren, O.; Goodrich, J.K.; Cullender, T.C.; Spor, A.A.; Laitinen, K.; Backhed, H.K.; Gonzalez, A.; Werner, J.J.; Angenent, L.T.; Knight, R.; et al. Host remodeling of the gut microbiome and metabolic changes during pregnancy. Cell 2013, 150, 470–480. [Google Scholar] [CrossRef]
- Mokkala, K.; Houttu, N.; Vahlberg, T.; Munukka, E.; Rönnemaa, T.; Laitinen, K. Gut microbiota aberrations precede diagnosis of gestational diabetes mellitus. Acta Diabetol. 2017, 54, 1147–1149. [Google Scholar] [CrossRef]
- Cortez, R.V.; Taddei, C.R.; Sparvoli, L.G.; Ângelo, A.G.S.; Padilha, M.; Mattar, R.; Daher, S. Microbiome and its relation to gestational diabetes. Endocrine 2019, 64, 254–264. [Google Scholar] [CrossRef]
- Crusell, M.K.W.; Hansen, T.H.; Nielsen, T.; Allin, K.H.; Rühlemann, M.C.; Damm, P.; Vestergaard, H.; Rørbye, C.; Jørgensen, N.R.; Christiansen, O.B.; et al. Gestational diabetes is associated with change in the gut microbiota composition in third trimester of pregnancy and postpartum. Microbiome 2018, 6, 89. [Google Scholar] [CrossRef]
- Ye, G.; Zhang, L.; Wang, M.; Chen, Y.; Gu, S.; Wang, K.; Leng, J.; Gu, Y.; Xie, X. The Gut Microbiota in Women Suffering from Gestational Diabetes Mellitus with the Failure of Glycemic Control by Lifestyle Modification. J. Diabetes Res. 2019, 23, 6081248. [Google Scholar] [CrossRef]
- Jatene, A. RESOLUÇÃONo 196 DE 10 DE OUTUBRO DE 1996. Available online: https://bvsms.saude.gov.br/bvs/saudelegis/cns/1996/res0196_10_10_1996.html (accessed on 15 August 2022).
- Brasilian Diabetes Guideline. Available online: https://www.diabetes.org.br/profissionais/images/DIRETRIZES-COMPLETA-2019-2020.pdf (accessed on 11 April 2022).
- Fisberg, R.M.; Marchioni, D.M.L.; Colucci, A.C.A. Avaliação do consumo alimentar e da ingestão de nutrientes na prática clínica. Arq. Bras. Endocrinol. Metabol. 2009, 53, 617–624. [Google Scholar] [CrossRef]
- Available online: https://www.dietpro.com.br/store/softwares/dietpro-clinico/ (accessed on 11 September 2018).
- TACO-Núcleo de Estudos e Pesquisas em Alimentação. Tabela Brasileira de Composição de Alimentos. 2011. 161p. Available online: https://www.cfn.org.br/wp-content/uploads/2017/03/taco_4_edicao_ampliada_e_revisada.pdf (accessed on 27 September 2018).
- Penington, J.S.; Penno, M.A.; Ngui, K.M.; Ajami, N.J.; Roth-Schulze, A.J.; Wilcox, S.A.; Harrison, L.C. Influence of fecal collection conditions and 16S rRNA gene sequencing at two centers on human gut microbiota analysis. Sci. Rep. 2018, 8, 4386. [Google Scholar] [CrossRef]
- Ombrello, A.K. Dada2. Encycl. Med. Immunol. 2020, 13, 657. [Google Scholar] [CrossRef]
- Pires, D.E.V.; Oliveira, F.S.; Correa, F.B.; Morais, D.K.; Fernandes, G.R. TAG.ME: Taxonomic assignment of genetic markers for ecology. bioRxiv 2018, 263293. [Google Scholar] [CrossRef]
- Dray, S.; Dufour, A.B. The ade4 package: Implementing the duality diagram for ecologists. J. Stat. Softw. 2007, 22, 1–20. [Google Scholar] [CrossRef]
- de Souza Nogueira, I.; Carlos Nabout, J.; Eduardo Oliveira, J.; Duarte Silva, K. Diversidade (alfa, beta e gama) da comunidade fitoplanctônica de quatro lagos artificiais urbanos do município de Goiânia, GO. Hoehnea 2008, 35, 219–233. Available online: http://www.scielo.br/pdf/hoehnea/v35n2/v35n2a05.pdf (accessed on 10 August 2022). [CrossRef]
- Qin, S.; Liu, Y.; Wang, S.; Ma, J.Y.H. Distribution characteristics of intestinal microbiota during pregnancy and postpartum in healthy women. J. Matern. Neonatal Med. 2022, 35, 2915–2922. [Google Scholar] [CrossRef]
- Mullins, T.P.; Tomsett, K.I.; Gallo, L.A.; Callaway, L.K.; McIntyre, H.D.; Dekker Nitert, M.; Barrett, H.L. Maternal gut microbiota displays minor changes in overweight and obese women with GDM. Nutr. Metab. Cardiovasc. Dis. 2021, 31, 2131–2139. [Google Scholar] [CrossRef]
- Ma, S.; You, Y.; Huang, L.; Long, S.; Zhang, J.; Guo, C.; Zhang, N.; Wu, X.; Xiao, Y.; Tan, H. Alterations in Gut Microbiota of Gestational Diabetes Patients During the First Trimester of Pregnancy. Front. Cell. Infect. Microbiol. 2020, 10, 58. [Google Scholar] [CrossRef] [PubMed]
- Zheng, W.; Xu, Q.; Huang, W.; Yan, Q.; Chen, Y.; Zhang, L.; Tian, Z.; Liu, T.; Yuan, X.; Liu, C.; et al. Gestational Diabetes Mellitus Is Associated with Reduced Dynamics of Gut Microbiota during the First Half of Pregnancy. mSystems 2020, 5, e00109-20. [Google Scholar] [CrossRef]
- Schwiertz, A.; Taras, D.; Schäfer, K.; Beijer, S.; Bos, N.A.; Donus, C.; Hardt, P.D. Microbiota and SCFA in lean and overweight healthy subjects. Obesity 2010, 18, 190–195. [Google Scholar] [CrossRef]
- Santacruz, A.; Collado, M.C.; García-Valdés, L.; Segura, M.T.; Marítn-Lagos, J.A.; Anjos, T.; Martí-Romero, M.; Lopez, R.M.; Florido, J.; Campoy, C.; et al. Gut microbiota composition is associated with body weight, weight gain and biochemical parameters in pregnant women. Br. J. Nutr. 2010, 104, 83–92. [Google Scholar] [CrossRef]
- National Library of Medicine. Weight Gain During Pregnancy. In Reexamining the Guidelines; National Academic Press: Washington, DC, USA, 2009. [Google Scholar] [CrossRef]
- Collado, M.C.; Isolauri, E.; Laitinen, K.; Salminen, S. Distinct composition of gut microbiota during pregnancy in overweight and normal-weight women. Am. J. Clin. Nutr. 2008, 88, 894–899. [Google Scholar] [CrossRef] [PubMed]
- Golubeva, A.V.; Crampton, S.; Desbonnet, L.; Edge, D.; O’Sullivan, O.; Lomasney, K.W.; Zhdanov, A.V.; Crispie, F.; Moloney, R.D.; Borre, Y.E.; et al. Prenatal stress-induced alterations in major physiological systems correlate with gut microbiota composition in adulthood. Psychoneuroendocrinology 2015, 60, 58–74. [Google Scholar] [CrossRef] [PubMed]
- Castaner, O.; Goday, A.; Park, Y.M.; Lee, S.H.; Magkos, F.; Shiow, S.A.T.E.; Schröder, H. The gut microbiome profile in obesity: A systematic review. Int. J. Endocrinol. 2018, 2018, 4095789. [Google Scholar] [CrossRef]
- Marchi, J.; Berg, M.; Dencker, A.; Olander, E.K.; Begley, C. Risks associated with obesity in pregnancy, for the mother and baby: A systematic review of reviews. Obes. Rev. 2015, 16, 621–638. [Google Scholar] [CrossRef] [PubMed]
- Xu, Y.; Zhang, M.; Zhang, J.; Sun, Z.; Ran, L.; Ban, Y.; Wang, B.; Hou, X.; Zhai, S.; Ren, L.; et al. Differential Intestinal and Oral Microbiota Features Associated with Gestational Diabetes and Maternal Inflammation. Am. J. Physiol. Endocrinol. Metab. 2020, 319, E247–E253. [Google Scholar] [CrossRef]
- De Filippo, C.; Cavalieri, D.; Di Paola, M.; Ramazzotti, M.; Poullet, J.B.; Massart, S.; Collini, S.; Pieraccini, G.; Lionetti, P. Impact of diet in shaping gut microbiota revealed by a comparative study in children from Europe and rural Africa. Proc. Natl. Acad. Sci. USA 2010, 107, 14691–14696. [Google Scholar] [CrossRef]
- Ferrocino, I.; Ponzo, V.; Gambino, R.; Zarovska, A.; Leone, F.; Monzeglio, C.; Goitre, I.; Rosato, R.; Romano, A.; Grassi, G.; et al. Changes in the gut microbiota composition during pregnancy in patients with gestational diabetes mellitus (GDM). Sci. Rep. 2018, 8, 12216. [Google Scholar] [CrossRef]
- Sureshchandra, S.; Marshall, N.E.; Wilson, R.M.; Barr, T.; Rais, M.; Purnell, J.Q.; Thornburg, K.L.; Messaoudi, I. Inflammatory determinants of pregravid obesity in placenta and peripheral blood. Front. Physiol. 2018, 9, 1089. [Google Scholar] [CrossRef]
- Li, G.; Yin, P.; Chu, S.; Gao, W.; Cui, S.; Guo, S.; Xu, Y.; Yuan, E.; Zhu, T.; You, J.; et al. Correlation Analysis between GDM and Gut Microbial Composition in Late Pregnancy. J. Diabetes Res. 2021, 2021, 8892849. [Google Scholar] [CrossRef]
- Kaplan, R.C.; Wang, Z.; Usyk, M.; Sotres-Alvarez, D.; Daviglus, M.L.; Schneiderman, N.; Talavera, G.A.; Gellman, M.D.; Thyagarajan, B.; Moon, J.Y.; et al. Gut microbiome composition in the Hispanic Community Health Study/Study of Latinos is shaped by geographic relocation, environmental factors, and obesity. Genom. Biol. 2020, 21, 219. [Google Scholar] [CrossRef]
- Bryrup, T.; Thomsen, C.W.; Kern, T.; Allin, K.H.; Brandslund, I.; Jørgensen, N.R.; Vestergaard, H.; Hansen, T.; Hansen, T.H.; Pedersen, O.; et al. Metformin-induced changes of the gut microbiota in healthy young men: Results of a non-blinded, one-armed intervention study. Diabetologia 2019, 62, 1024–1035. [Google Scholar] [CrossRef] [PubMed]
- Vazquez-Moreno, M.; Perez-Herrera, A.; Locia-Morales, D.; Dizzel, S.; Meyre, D.; Stearns, J.C.; Cruz, M. Association of gut microbiome with fasting triglycerides, fasting insulin and obesity status in Mexican children. Pediatr. Obes. 2020, 15, e12748. [Google Scholar] [CrossRef] [PubMed]
- Woting, A.; Blaut, M. The intestinal microbiota in metabolic disease. Nutrients 2016, 8, 202. [Google Scholar] [CrossRef] [PubMed]
- Mora-ortiz, M.; Oregioni, A.; Claus, S.P.; Sciences, N.; Road, W.B. Functional characterisation of gut microbiota and metabolism in Type 2 diabetes indicates that Clostridiales and Enterococcus could play a key role in the disease. BioRxiv 2019, 836114. [Google Scholar] [CrossRef]
- Dualib, P.M.; Ogassavara, J.; Mattar, R.; Silva, E.D.K.; Dib, S.A.; de Almeida Pititto, B. Gut microbiota and gestational Diabetes Mellitus: A systematic review. Diab. Res. Clin. Pract. 2021, 180, 109078. [Google Scholar] [CrossRef]
- Namazi, N.; Larijani, B.; Azadbakht, L. Dietary Inflammatory Index and its Association with the Risk of Cardiovascular Diseases, Metabolic Syndrome, and Mortality: A Systematic Review and Meta-Analysis. Horm. Metab. Res. 2018, 50, 345–358. [Google Scholar] [CrossRef]
- Singh, R.K.; Chang, H.W.; Yan, D.; Lee, K.M.; Ucmak, D.; Wong, K.; Abrouk, M.; Farahnik, B.; Nakamura, M.; Zhu, T.H.; et al. Influence of diet on the gut microbiome and implications for human health. J. Transl. Med. 2017, 15, 73. [Google Scholar] [CrossRef]
- Kuang, Y.-S.; Lu, J.-H.; Li, S.-H.; Li, J.-H.; Yuan, M.-Y.; He, J.-R.; Chen, N.-N.; Xiao, W.-Q.; Shen, S.-Y.; Qiu, L.; et al. Connections between the human gut microbiome and gestational diabetes mellitus. Gigascience 2017, 6, 58. [Google Scholar] [CrossRef]
- Vallianou, N.G.; Stratigou, T.; Tsagarakis, S. Metformin and gut microbiota: Their interactions and their impact on diabetes. Hormones 2019, 18, 141–144. [Google Scholar] [CrossRef]
- Carrera-Quintanar, L.; Ortuño-Sahagún, D.; Franco-Arroyo, N.N.; Viveros-Paredes, J.M.; Zepeda-Morales, A.S.; Lopez-Roa, R.I. The human microbiota and obesity: A literature systematic review of in vivo models and technical approaches. Int. J. Mol. Sci. 2018, 19, 3827. [Google Scholar] [CrossRef] [Green Version]
- Collado, M.C.; Isolauri, E.; Laitinen, K.; Salminen, S. Effect of mother’s weight on infant’s microbiota acquisition, composition, and activity during early infancy: A prospective follow-up study initiated in early pregnancy. Am. J. Clin. Nutr. 2010, 92, 1023–1030. [Google Scholar] [CrossRef] [PubMed]




| Characteristics | Control (n = 59) | GDM (n = 56) | p |
|---|---|---|---|
| Age (years) | 28.1 (5.9) α | 33.2 (6.2) α | <0.01 |
| Pregestational BMI (kg/m2) | 29.2 (3.7) α | 30.2 (3.9) α | 0.39 |
| Race, n (%) | 0.73 | ||
| Caucasian | 25 (42.4) | 22 (39.3) | |
| Black | 12 (20.4) | 10 (17.9) | |
| Mulatto | 22 (37.2) | 24 (42.8) | |
| Schooling, n (%) | 0.22 | ||
| Up to 7 years | 1 (1.7) | 7 (12.5) | |
| to 13 years | 43 (76.3) | 37 66.1) | |
| ≥14 years | 13 (22.0) | 12 (21.4) | |
| Number of pregnancies | 0.01 | ||
| 1 pregnancy | 24 (40.6) | 9 (16.1) | |
| 2 pregnancies | 17 (28.8) | 15 (26.8) | |
| 3 or more pregnancies | 18 (30.6) | 32 (57.1) | |
| Family History of diabetes, n (%) | 16 (27.1) | 24 (43.6) | 0.07 |
| Gestational weight gain (kgs) | 10.7 (6.3) α | 9.2 (5.8) α | 0.24 |
| Pregestational physical activity ≥ 150 min per week, n (%) | 18 (30.0) | 18 (32.0) | 0.36 |
| Clinical Characteristics and Dietary Data | First/Second Trimester | Third Trimester | ||||
|---|---|---|---|---|---|---|
| Control (n = 54) | GDM (n = 36) | p | Control (n = 55) | GDM (n = 54) | p | |
| Gestational age(weeks) | 19.4 (4.2) α | 19.0 (5.2) α | 0.71 | 33.5 (2.4) α | 32.9 (2.3) α | 0.25 |
| Physical activity (%) | 27 (49.1) | 22 (62.9) | 0.20 | 25 (46.3) | 24.0 (53.8) | 0.99 |
| Smoking (%) | 0 | 3 (8.6) | 0.27 | 0 | 0 | -- |
| Alcohol consumption (%) | 2 (3.6) | 1 (2.9) | 0.84 | 0 | 0 | -- |
| Dietary orientation (%) | 22 (40.7) | 36 (100) | <0.01 | 24 (45.3) | 52.0 (100) | <0.01 |
| Neck circumference(cm) | 34.5 (1.8) α | 35.9 (2.9 α) | <0.01 | 34.6 (2.1) α | 36.5 (2.4) α | <0.01 |
| Systolic blood pressure (mmHg) | 109 (12.4) α | 112 (11.4) α | 0.25 | 108 (9.9) α | 117 (11.6) α | <0.01 |
| Diastolic blood pressure (mmHg) | 68 (10.4) α | 69 (9.1) α | 0.49 | 67 (9.1) α | 72 (11.1) α | 0.09 |
| Dietary data # | n = 40 | n = 18 | n = 48 | n = 44 | ||
| Energy intake (kcals) | 1940 (1385–2504) | 1294 (1145–1880) | 0.01 | 1789 (1439–2137) | 1654 (1479–1942) | 0.49 |
| Carbohydrates (%TEI) | 47.7 (43.2–57.5) | 40.3 (34.7–49.2) | 0.01 | 48.6 (42.4–57.6) | 45.1 (40.9–54.8) | 0.14 |
| Proteins (%TEI) | 13.1 (11.3–17.5) | 24.8 (18.9–27.8) | 0.00 | 15.6 (11.4–20.3) | 18.7 (15.4–25.9) | 0.02 |
| Lipids (%TEI) | 37.2 (28.4–41.3) | 33.7 (27.0–40.3) | 0.73 | 32.9 (28.5–39.9) | 33.9 (29.5–38.5) | 0.74 |
| Saturated Fat (% TEI) | 10.5 (6.9–13.8) | 8.6 (6.5–10.9) | 0.47 | 8.4 (6.3–11.5) | 9.3 (5.7–11.0) | 0.96 |
| Monounsaturated Fat (% TEI) | 8.9 (6.3–11.8) | 8.6 (6.2–13.7) | 0.83 | 8.6 (6.4–12.1) | 9.9 (6.1–11.7) | 0.71 |
| Polyunsaturated Fat (% TEI) | 7.2 (5.8–10.3) | 9.4 (7.8–11.7) | 0.07 | 8.1 (5.6–10.3) | 8.6 (6.6–10.6) | 0.33 |
| Total Fiber (g) | 7.8 (5.2–15.3) | 11.8 (8.5–13.4) | 0.17 | 8.9 (5.6–13.4) | 8.6 (6.2–13.4) | 0.87 |
| Laboratory Data | Control (n = 60) | GDM (n = 56) | p |
|---|---|---|---|
| Fasting Blood Glucose (mg/dL) | 85.2 (5.8) | 99.3 (12.6) | <0.01 |
| OGTT: | |||
| Fasting (mg/dL) | 81.4 (12.4) | 99.3 (21.9) | <0.01 |
| 1 h (mg/dL) | 126.4 (27.0) | 185.8 (33.1) | <0.01 |
| 2 h (mg/dL) | 109.9 (20.2) | 169.9 (38.4) | <0.01 |
| HbA1c (%) | 5.2(0.1) | 5.7 (0.5) | 0.03 |
| Total Cholesterol (mg/dL) | 185.2 (33.7) | 206 (44.8) | 0.18 |
| HDL Cholesterol (mg/dL) | 63.8 (14.6) | 62.0 (15.2) | 0.73 |
| LDL Cholesterol (mg/dL) | 96.3 (29.6) | 114.2 (36.6) | 0.16 |
| Triglycerides (mg/dL) | 133.0 (53.9) | 196.8 (68.6) | 0.01 |
Publisher’s Note: MDPI stays neutral with regard to jurisdictional claims in published maps and institutional affiliations. |
© 2022 by the authors. Licensee MDPI, Basel, Switzerland. This article is an open access article distributed under the terms and conditions of the Creative Commons Attribution (CC BY) license (https://creativecommons.org/licenses/by/4.0/).
Share and Cite
Dualib, P.M.; Taddei, C.R.; Fernandes, G.; Carvalho, C.R.S.; Sparvoli, L.G.; Silva, I.T.; Mattar, R.; Ferreira, S.R.G.; Dib, S.A.; Almeida-Pititto, B.d. Gut Microbiota across Normal Gestation and Gestational Diabetes Mellitus: A Cohort Analysis. Metabolites 2022, 12, 796. https://doi.org/10.3390/metabo12090796
Dualib PM, Taddei CR, Fernandes G, Carvalho CRS, Sparvoli LG, Silva IT, Mattar R, Ferreira SRG, Dib SA, Almeida-Pititto Bd. Gut Microbiota across Normal Gestation and Gestational Diabetes Mellitus: A Cohort Analysis. Metabolites. 2022; 12(9):796. https://doi.org/10.3390/metabo12090796
Chicago/Turabian StyleDualib, Patricia M., Carla R. Taddei, Gabriel Fernandes, Camila R. S. Carvalho, Luiz Gustavo Sparvoli, Isis T. Silva, Rosiane Mattar, Sandra R. G. Ferreira, Sergio A. Dib, and Bianca de Almeida-Pititto. 2022. "Gut Microbiota across Normal Gestation and Gestational Diabetes Mellitus: A Cohort Analysis" Metabolites 12, no. 9: 796. https://doi.org/10.3390/metabo12090796
APA StyleDualib, P. M., Taddei, C. R., Fernandes, G., Carvalho, C. R. S., Sparvoli, L. G., Silva, I. T., Mattar, R., Ferreira, S. R. G., Dib, S. A., & Almeida-Pititto, B. d. (2022). Gut Microbiota across Normal Gestation and Gestational Diabetes Mellitus: A Cohort Analysis. Metabolites, 12(9), 796. https://doi.org/10.3390/metabo12090796

