Characterization and Discrimination of Ophiopogonis Radix with Different Levels of Sulfur Fumigation Based on UPLC-QTOF-MS Combined Molecular Networking with Multivariate Statistical Analysis
Abstract
1. Introduction
2. Materials and Methods
2.1. Samples and Chemical Reagents
2.2. Sulfur-Fumigated MD Samples
2.3. Sample Preparation
2.4. Chromatographic and MS Spectrometry Conditions
2.5. Molecular Networking
2.6. Multivariate Statistical Analysis
3. Results and Discussion
3.1. Identification of Chemical Constituents in MD with Different Levels of SF
3.1.1. Identify Elucidation of Steroidal Saponins
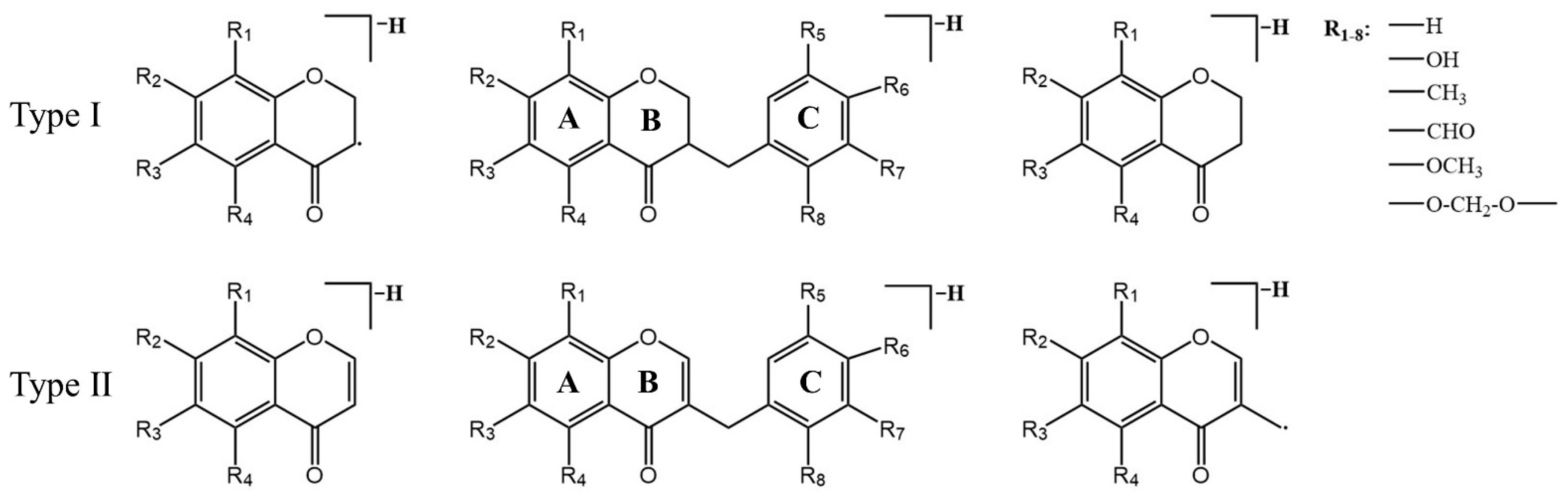
3.1.2. Identify Elucidation of Homoisoflavonoids
3.1.3. Identify Elucidation of Polysaccharides
3.1.4. Identify Elucidation of Other Compounds
3.2. Discrimination of MD and Its Sulfur-Fumigated Products by Multivariate Statistical Analysis
3.3. Correlation Analysis of Chemical Markers
4. Conclusions
Supplementary Materials
Author Contributions
Funding
Institutional Review Board Statement
Informed Consent Statement
Data Availability Statement
Conflicts of Interest
References
- Ma, X.Q.; Leung, A.K.; Chan, C.L.; Su, T.; Li, W.D.; Li, S.M.; Fong, D.W.; Yu, Z.L. UHPLC UHD Q-TOF MS/MS analysis of the impact of sulfur fumigation on the chemical profile of Codonopsis Radix (Dangshen). Analyst 2014, 139, 505–516. [Google Scholar]
- Jiang, X.; Huang, L.F.; Zheng, S.H.; Chen, S.L. Sulfur fumigation, a better or worse choice in preservation of Traditional Chinese Medicine? Phytomedicine 2013, 20, 97–105. [Google Scholar] [PubMed]
- Sun, X.; Cui, X.B.; Wen, H.M.; Shan, C.X.; Wang, X.Z.; Kang, A.; Chai, C.; Li, W. Influence of sulfur fumigation on the chemical profiles of Atractylodes macrocephala Koidz. evaluated by UFLC-QTOF-MS combined with multivariate statistical analysis. J. Pharm. Biomed. Anal. 2017, 141, 19–31. [Google Scholar] [CrossRef] [PubMed]
- Mao, C.Q.; Ji, L.; Lu, T.L.; Shan, X.; Li, L.; Liu, H.Z.; Ning, Z.W.; Song, Y.; Zhu, J.J. Research development of harmful substances and its harm of traditional Chinese medicine after sulfur fumigation. China J. Chin. Mater. Med. 2014, 39, 2801–2806. [Google Scholar]
- Bai, Y.J.; Xu, J.D.; Kong, M.; Gao, Q.; Liu, L.F.; Li, S.L. Discovery of characteristic chemical markers for inspecting sulfur-fumigated Radix Angelicae Sinensis by ultra-high performance liquid chromatography-quadrupole/time-of-flight mass spectrometry based metabolomics and chemical profiling approach. Food Res. Int. 2015, 76, 387–394. [Google Scholar] [CrossRef] [PubMed]
- Ma, X.Q.; Li, S.M.; Chan, C.L.; Su, T.; Li, W.D.; Cao, H.; Fong, W.F.; Yu, Z.L. Influence of sulfur fumigation on glycoside profile in Platycodonis Radix (Jiegeng). Chin. Med. 2016, 11, 32. [Google Scholar] [CrossRef] [PubMed]
- Chen, M.H.; Chen, X.J.; Wang, M.; Lin, L.G.; Wang, Y.T. Ophiopogon japonicus—A phytochemical, ethnomedicinal and pharmacological review. J. Ethnopharmacol. 2016, 181, 193–213. [Google Scholar] [CrossRef]
- He, J.; Ye, L.H.; Li, J.H.; Huang, W.K.; Huo, Y.J.; Gao, J.X.; Liu, L.; Zhang, W.T. Identification of Ophiopogonis Radix from different producing areas by headspace-gas chromatography-ion mobility spectrometry analysis. J. Food Biochem. 2022, 46, e13850. [Google Scholar] [CrossRef]
- Wang, L.L.; Zhou, Y.F.; Qin, Y.C.; Wang, Y.B.; Liu, B.T.; Fang, R.; Bai, M.G. Methylophiopogonanone B of Radix Ophiopogonis protects cells from H2O2-induced apoptosis through the NADPH oxidase pathway in HUVECs. Mol. Med. Rep. 2019, 20, 3691–3700. [Google Scholar] [CrossRef]
- Zhang, H.Q.; Liu, P.; Duan, J.A.; Dong, L.; Shang, E.X.; Qian, D.W.; Zhu, Z.H.; Li, H.W.; Li, W.W. Comparative Analysis of Carbohydrates, Nucleosides and Amino Acids in Different Parts of Trichosanthes kirilowii Maxim. by (Ultra) High-Performance Liquid Chromatography Coupled with Tandem Mass Spectrometry and Evaporative Light Scattering Detector Methods. Molecules 2019, 24, 1440. [Google Scholar]
- Zhou, P.; Gao, G.; Zhao, C.C.; Li, J.Y.; Peng, J.F.; Wang, S.S.; Song, R.; Shi, H.; Wang, L. In Vivo and in vitro protective effects of shengmai injection against doxorubicin-induced cardiotoxicity. Pharm. Biol. 2022, 60, 638–651. [Google Scholar] [CrossRef]
- Wang, Y.; Shi, L.L.; Wang, L.Y.; Xu, J.W.; Feng, Y. Protective Effects of MDG-1, a Polysaccharide from Ophiopogon japonicus on Diabetic Nephropathy in Diabetic KKAy Mice. Int. J. Mol. Sci. 2015, 16, 22473–22484. [Google Scholar] [CrossRef]
- Zhu, Y.Y.; Cong, W.J.; Shen, L.; Wei, H.; Wang, Y.; Wang, L.Y.; Ruan, K.F.; Wu, F.; Feng, Y. Fecal metabonomic study of a polysaccharide, MDG-1 from Ophiopogon japonicus on diabetic mice based on gas chromatography/time-of-flight mass spectrometry (GC TOF/MS). Mol. Biosyst. 2014, 10, 304–312. [Google Scholar] [CrossRef] [PubMed]
- He, L.L.; Zhang, Z.F.; Liu, Y.; Chen, D.Q.; Yuan, M.H.; Dong, G.T.; Luo, P.; Yan, Z.G. Rapid discrimination of raw and sulfur-fumigated Smilax glabra based on chemical profiles by UHPLC-QTOF-MS/MS coupled with multivariate statistical analysis. Food Res. Int. 2018, 108, 226–236. [Google Scholar] [CrossRef] [PubMed]
- Shang, Z.P.; Wang, F.; Wang, Z.J.; Zhao, W.J.; Mei, X.D.; Lu, J.Q.; Zhang, J.Y. Rapid identification of homoisoflavonid sulfated derivatives in sulfated fumigated Ophiopogon japonicus by UHPLC-LTQ-Orbitrap mass spectrometry. J. Chin. Mass Spectrom. Soc. 2018, 39, 12. [Google Scholar]
- Dai, S.; Shang, Z.; Wang, F.; Cao, Y.; Shi, X.; Lin, Z.; Wang, Z.; Li, N.; Lu, J.; Qiao, Y.; et al. Novelty application of multi-omics correlation in the discrimination of sulfur-fumigation and non-sulfur-fumigation Ophiopogonis Radix. Sci. Rep. 2017, 7, 9971. [Google Scholar] [CrossRef] [PubMed]
- Zhang, L.; Shen, H.; Xu, J.; Xu, J.D.; Li, Z.L.; Wu, J.; Zou, Y.T.; Liu, L.F.; Li, S.L. UPLC-QTOF-MS/MS-guided isolation and purification of sulfur-containing derivatives from sulfur-fumigated edible herbs, a case study on ginseng. Food Chem. 2018, 246, 202–210. [Google Scholar] [CrossRef]
- Kim, M.S.; Nam, M.; Hwang, G.S. Metabolic Alterations in Two Cirsium Species Identified at Distinct Phenological Stages using UPLC-QTOF/MS. Phytochem. Anal. 2018, 29, 77–86. [Google Scholar] [CrossRef]
- Elshamy, A.I.; Farrag, A.R.H.; Ayoub, I.M.; Mahdy, K.A.; Taher, R.F.; Gendy, A.; Mohamed, T.A.; Al-Rejaie, S.S.; Ei-Amier, Y.A.; Abd, E.A.M.; et al. UPLC-qTOF-MS Phytochemical Profile and Antiulcer Potential of Cyperus conglomeratus Rottb. Alcoholic Extract. Molecules 2020, 25, 4234. [Google Scholar] [CrossRef]
- Lyu, Q.; Kuo, T.H.; Sun, C.; Chen, K.; Hsu, C.C.; Li, X. Comprehensive structural characterization of phenolics in litchi pulp using tandem mass spectral molecular networking. Food Chem. 2019, 282, 9–17. [Google Scholar] [CrossRef] [PubMed]
- Kang, K.B.; Park, E.J.; da Silva, R.R.; Kim, H.W.; Dorrestein, P.C.; Sung, S.H. Targeted Isolation of Neuroprotective Dicoumaroyl Neolignans and Lignans from Sageretia theezans Using in Silico Molecular Network Annotation Propagation-Based Dereplication. J. Nat. Prod. 2018, 81, 1819–1828. [Google Scholar] [CrossRef] [PubMed]
- Song, K.; Oh, J.H.; Lee, M.Y.; Lee, S.G.; Ha, I.J. Molecular Network-Guided Alkaloid Profiling of Aerial Parts of Papaver nudicaule L. Using LC-HRMS. Molecules 2020, 25, 2636. [Google Scholar] [CrossRef] [PubMed]
- Zhang, Y.; Lei, H.; Tao, J.; Yuan, W.; Zhang, W.; Ye, J. An integrated approach for structural characterization of Gui Ling Ji by traveling wave ion mobility mass spectrometry and molecular network. RSC Adv. 2021, 11, 15546–15556. [Google Scholar] [CrossRef] [PubMed]
- Yan, Y.; Zhang, Q.Q.; Feng, F. HPLC-TOF-MS and HPLC-MS/MS combined with multivariate analysis for the characterization and discrimination of phenolic profiles in nonfumigated and sulfur-fumigated rhubarb. J. Sep. Sci. 2016, 39, 2667–2677. [Google Scholar] [CrossRef] [PubMed]
- Li, S.L.; Song, J.Z.; Qiao, C.F.; Zhou, Y.; Qian, K.; Lee, K.H.; Xu, H.X. A novel strategy to rapidly explore potential chemical markers for the discrimination between raw and processed Radix Rehmanniae by UHPLC-TOFMS with multivariate statistical analysis. J. Pharm. Biomed. Anal. 2010, 51, 812–823. [Google Scholar] [CrossRef] [PubMed]
- Jiao, Y.F.; Si, Y.; Li, L.; Wang, C.Z.; Lin, H.Q.; Liu, J.L.; Liu, Y.H.; Liu, J.P.; Li, P.Y.; Li, Z. Comprehensive phytochemical profiling of American ginseng in Jilin province of China based on ultrahigh-performance liquid chromatography quadrupole time-of-flight mass spectrometry. J. Mass Spectrom. 2021, 56, e4787. [Google Scholar] [CrossRef]
- Zhang, S.B.; Li, C.; Gu, W.; Qiu, R.L.; Chao, J.G.; Pei, L.F.; Ma, L.J.; Guo, Y.F.; Tian, R. Metabolomics analysis of dandelions from different geographical regions in China. Phytochem. Anal. 2021, 32, 899–906. [Google Scholar] [CrossRef] [PubMed]
- Lei, H.B.; Zhang, Y.H.; Zu, X.P.; Ye, J.; Liang, Y.L.; Cheng, T.F.; Zhang, W.D. Comprehensive profiling of the chemical components and potential markers in raw and processed Cistanche tubulosa by combining ultra-high-performance liquid chromatography coupled with tandem mass spectrometry and MS/MS-based molecular networking. Anal. Bioanal. Chem. 2021, 413, 129–139. [Google Scholar] [CrossRef]
- Carriot, N.; Paix, B.; Greff, S.; Viguier, B.; Briand, J.F.; Culioli, G. Integration of LC/MS-based molecular networking and classical phytochemical approach allows in-depth annotation of the metabolome of non-model organisms—The case study of the brown seaweed Taonia atomaria. Talanta 2021, 225, 121925. [Google Scholar] [CrossRef]
- Zhan, Z.L.; Deng, A.P.; Kang, L.P.; Tang, J.F.; Nan, T.G.; Chen, T.; He, Y.L.; Guo, L.P.; Huang, L.Q. Chemical profiling in Moutan Cortex after sulfuring and desulfuring processes reveals further insights into the quality control of TCMs by nontargeted metabolomic analysis. J. Pharm. Biomed. Anal. 2018, 156, 340–348. [Google Scholar] [CrossRef]
- Zhang, Y.N.; Wang, B.; Zhao, P.H.; He, F.; Xiao, W.; Zhu, J.B.; Ding, Y. A comprehensive evaluation protocol for sulfur fumigation of ginseng using UPLC-Q-TOF-MS/MS and multivariate statistical analysis. LWT 2021, 145, 111293. [Google Scholar] [CrossRef]
- Zhang, Z.Y.; Peng, L.; Chen, Y.R.; Zhang, K.; Chen, J.H.; Li, Z.; Li, W.L. An integration of UPLC-Q-TOF/MS and chemometrics analysis for the holistic quality evaluation of different geographical Paederia scandens. Rapid Commun. Mass Spectrom. 2022, 36, e9317. [Google Scholar] [CrossRef]
- Akoglu, H. User’s guide to correlation coefficients. Turk. J. Emerg. Med. 2018, 18, 91–93. [Google Scholar] [CrossRef]
- Lei, H.B.; Zhang, Y.H.; Ye, J.; Cheng, T.F.; Liang, Y.L.; Zu, X.P.; Zhang, W.D. A comprehensive quality evaluation of Fuzi and its processed product through integration of UPLC-QTOF/MS combined MS/MS-based mass spectral molecular networking with multivariate statistical analysis and HPLC-MS/MS. J. Ethnopharmacol. 2021, 266, 113455. [Google Scholar] [CrossRef]
- Zheng, Z.G.; Zhang, W.D.; Kong, L.Y.; Liang, M.J.; Li, H.L.; Lin, M.; Liu, R.H.; Zhang, C. Rapid identification of C21 steroidal saponins in Cynanchum versicolor Bunge by electrospray ionization multi-stage tandem mass spectrometry and liquid chromatography/tandem mass spectrometry. Rapid Commun. Mass Spectrom. 2007, 21, 279–285. [Google Scholar] [CrossRef]
- Lyu, C.G.; Kang, C.Z.; Kang, L.P.; Yang, J.; Wang, S.; He, Y.L.; Deng, A.P.; Wang, H.Y.; Huang, L.Q.; Guo, L.P. Structural characterization and discrimination of Ophiopogon japonicas (Liliaceae) from different geographical origins based on metabolite profiling analysis. J. Pharm. Biomed. Anal. 2020, 185, 113212. [Google Scholar] [CrossRef] [PubMed]
- Jin, X.; Zhang, J.Q.; Li, Y.; Wu, W.Y.; Zhang, H.; Yao, C.L.; Wei, W.L.; Yao, S.; Huang, Y.; Qu, H.; et al. Nontargeted metabolomic analysis and multiple criteria decision-making method induced robust quality markers screening for the authentication of herbal medicines from different origins by taking Ophiopogon japonicus (L. f.) Ker-Gawl. as a case study. J. Sep. Sci. 2021, 44, 1440–1451. [Google Scholar] [CrossRef] [PubMed]
- Wang, R.L.; Wang, H.Q.; Fan, X.H.; Duan, M.X.; Li, H.Y.; Wang, S.F. Analysis of chemical constituents in Shenmai Injection by LC-Q-TOF-MS and LC-IT-MS. J. Chin. Mass Spectrom. Soc. 2020, 45, 555–564. [Google Scholar]
- Yan, R.Y.; Ma, F.X.; Yu, H.S.; Kang, L.P.; Zhang, J.; Zhao, Y.; Sun, X.G.; Jia, D.X.; Ma, B.P. Identification of Steroidal Saponins in Ophiopogonis Radix by UPLC-Q-TOF-MSE Combined with Relative Retention Time. Chin. J. Exp. Tradit. Med. Form. 2016, 22, 43–50. [Google Scholar]
- Zha, X.Y.; Li, G.W.; Zhang, L.; Chen, Q.; Xia, Q. Identification of active compounds in Ophiopogonis Radix from different geographical origins by UPLC-Q/TOF-MS combined with GC-MS approaches. Open Life Sci. 2022, 17, 865–880. [Google Scholar] [CrossRef]
- Zhao, M.; Xu, W.F.; Shen, H.Y.; Shen, P.Q.; Zhang, J.; Wang, D.D.; Xu, H.; Wang, H.; Yan, T.T.; Wang, L.; et al. Comparison of bioactive components and pharmacological activities of ophiopogon japonicas extracts from different geographical origins. J. Pharm. Biomed. Anal. 2017, 138, 134–141. [Google Scholar] [CrossRef]
- Ling, Y.; Tang, Y.H.; Xu, Y.Y.; Zhang, Q.; Zhang, C.; Zhang, Y.Y.; Chen, Y.Y.; Yang, C.Q.; Zeng, H.Y.; Guo, S.F.; et al. Rapid Screening and Identification of Chemical Constituents From Ophiopogon japonicus by High-Performance Liquid Chromatography Coupled to Electrospray Ionization and Quadrupole Time-of-Flight Mass Spectrometry. J. Chromatogr. Sci. 2020, 58, 641–650. [Google Scholar] [CrossRef] [PubMed]
- Lin, Y.N.; Zhu, D.N.; Qi, J.; Qin, M.J.; Yu, B.Y. Characterization of homoisoflavonoids in different cultivation regions of Ophiopogon japonicus and related antioxidant activity. J. Pharm. Biomed. Anal. 2010, 52, 757–762. [Google Scholar] [CrossRef]
- Qi, J.; Xu, D.; Zhou, Y.F.; Qin, M.J.; Yu, B.Y. New features on the fragmentation patterns of homoisoflavonoids in Ophiopogon japonicus by high-performance liquid chromatography/diode-array detection/electrospray ionization with multi-stage tandem mass spectrometry. Rapid Commun. Mass Spectrom. 2010, 24, 2193–2206. [Google Scholar] [CrossRef]
- Ye, M.; Guo, D.; Ye, G.; Huang, C.G. Analysis of homoisoflavonoids in Ophiopogon japonicus by HPLC-DAD-ESI-MSn. J. Am. Soc. Mass Spectrom. 2005, 16, 234–243. [Google Scholar] [CrossRef]
- Deng, X.; Xu, J.; Tong, C.; Shi, F.; Shi, S. Homoisoflavonoids profiling of Ophiopogon japonicus by off-line coupling high-speed countercurrent chromatography with high-performance liquid chromatography-diode array detector-quadrupole time-of-flight tandem mass spectrometry. J. Sep. Sci. 2020, 43, 1406–1414. [Google Scholar] [CrossRef] [PubMed]
- Kadam, D.; Palamthodi, S.; Lele, S.S. LC-ESI-Q-TOF-MS/MS profiling and antioxidant activity of phenolics from L. Sativum seedcake. J. Food Sci. Technol. 2018, 55, 1154–1163. [Google Scholar] [CrossRef]
- Lu, X.; Zheng, Y.; Wen, F.; Huang, W.; Chen, X.; Ruan, S.; Gu, S.; Hu, Y.; Teng, Y.; Shu, P. Study of the active ingredients and mechanism of Sparganii rhizoma in gastric cancer based on HPLC-Q-TOF-MS/MS and network pharmacology. Sci. Rep. 2021, 11, 1905. [Google Scholar] [CrossRef] [PubMed]
- Lei, D.M.; Yao, C.L.; Chen, X.B.; Zhang, J.Q.; Li, J.Y.; Guo, D.A. Analysis of chemical constituents in classical prescription Danggui Buxue Decoction based on RP-Q-TOF-MS and HILIC-Q-TOF-MS. China J. Chin. Mater. Med. 2022, 47, 2109–2120. [Google Scholar]
- Zheng, Y.Y.; Zeng, X.; Peng, W.; Wu, Z.; Su, W.W. Study on the Discrimination between Citri Reticulatae Pericarpium Varieties Based on HS-SPME-GC-MS Combined with Multivariate Statistical Analyses. Molecules 2018, 23, 1235. [Google Scholar] [CrossRef]
- Deng, A.P.; Kang, C.Z.; Zhang, Y.; Lv, C.G.; Kang, L.P.; Zhan, Z.L.; Guo, L.P. Effects of sulfur fumigation on quality of traditional Chinese medicine. Chin. J. Pharm. Anal. 2019, 39, 1542–1559. [Google Scholar]









| Group | No. | Compound Name (the Number in Table 1) | VIP Value | Fold Change | p-Value |
|---|---|---|---|---|---|
| HS vs. WS | 1 | Raffinose (2) | 4.60 | 0.35 | <0.001 |
| 2 | N-Fructosyl pyroglutamate (5) | 2.95 | 0.09 | <0.001 | |
| 3 | Citric acid (6) | 1.50 | 44.30 | <0.001 | |
| 4 | Glutaminsaeure anhydride (7) | 2.56 | 0.29 | <0.01 | |
| 5 | Esculetin (15) | 2.72 | 0.07 | <0.001 | |
| 6 | Ophiofurospiside L (17) | 1.17 | 0.45 | <0.05 | |
| 7 | Ophiopogonin F (18) | 3.10 | 0.49 | <0.05 | |
| 8 | (2aS,3aS)-lyciumamide D (31) | 1.26 | 0.10 | <0.01 | |
| 9 | 5,7,4′-trihydroxy-homoisoflavone (37) | 3.64 | 18.81 | <0.01 | |
| 10 | Cixi-ophiopogon C (42) | 1.05 | 0.39 | <0.05 | |
| 11 | Ophiopogonin D (73) | 2.06 | 3.99 | <0.01 | |
| 12 | Ruscogenin-1-O-Sulfate (75) | 1.33 | 0.24 | <0.05 | |
| 13 | Lyso-PE (16:0) (85) | 2.62 | 19.23 | <0.001 | |
| 14 | Ophiopogonanone C (90) | 2.45 | 11.58 | <0.05 | |
| LS vs. WS | 1 | Raffinose (2) | 4.51 | 0.46 | <0.01 |
| 2 | L-Malic acid (3) | 1.01 | 9.66 | <0.05 | |
| 3 | N-Fructosyl pyroglutamate (5) | 2.83 | 0.22 | <0.01 | |
| 4 | Citric acid (6) | 1.94 | 83.90 | <0.001 | |
| 5 | Glutaminsaeure anhydride (7) | 2.58 | 0.46 | <0.05 | |
| 6 | Ophiopogonin P (13) | 2.15 | 0.41 | <0.01 | |
| 7 | Esculetin (15) | 2.48 | 0.20 | <0.01 | |
| 8 | Feruloyltyramine (16) | 1.12 | 0.14 | <0.01 | |
| 9 | Ophiofurospiside L (17) | 1.32 | 0.36 | <0.05 | |
| 10 | Ophiopogonin F (18) | 3.80 | 0.35 | <0.05 | |
| 11 | Ophiofurospiside N (23) | 2.57 | 0.13 | <0.05 | |
| 12 | (2aS,3aS)-lyciumamide D (31) | 1.36 | 0.10 | <0.01 | |
| 13 | 5,7,4′-trihydroxy-homoisoflavone (37) | 5.07 | 44.95 | <0.01 | |
| 14 | Lyso-PE (16:0) (85) | 1.95 | 18.16 | <0.001 | |
| 15 | Ophiopogonanone C (90) | 2.45 | 10.58 | <0.05 | |
| 16 | 8-formylophipogonanone B (92) | 1.38 | 11.36 | <0.05 |
Disclaimer/Publisher’s Note: The statements, opinions and data contained in all publications are solely those of the individual author(s) and contributor(s) and not of MDPI and/or the editor(s). MDPI and/or the editor(s) disclaim responsibility for any injury to people or property resulting from any ideas, methods, instructions or products referred to in the content. |
© 2023 by the authors. Licensee MDPI, Basel, Switzerland. This article is an open access article distributed under the terms and conditions of the Creative Commons Attribution (CC BY) license (https://creativecommons.org/licenses/by/4.0/).
Share and Cite
Lv, Y.; Xu, X.; Wei, Y.; Shen, Y.; Chen, W.; Wei, X.; Wang, J.; Xin, J.; He, J.; Zu, X. Characterization and Discrimination of Ophiopogonis Radix with Different Levels of Sulfur Fumigation Based on UPLC-QTOF-MS Combined Molecular Networking with Multivariate Statistical Analysis. Metabolites 2023, 13, 204. https://doi.org/10.3390/metabo13020204
Lv Y, Xu X, Wei Y, Shen Y, Chen W, Wei X, Wang J, Xin J, He J, Zu X. Characterization and Discrimination of Ophiopogonis Radix with Different Levels of Sulfur Fumigation Based on UPLC-QTOF-MS Combined Molecular Networking with Multivariate Statistical Analysis. Metabolites. 2023; 13(2):204. https://doi.org/10.3390/metabo13020204
Chicago/Turabian StyleLv, Yanhui, Xike Xu, Yanping Wei, Yunheng Shen, Wei Chen, Xintong Wei, Jie Wang, Jiayun Xin, Jixiang He, and Xianpeng Zu. 2023. "Characterization and Discrimination of Ophiopogonis Radix with Different Levels of Sulfur Fumigation Based on UPLC-QTOF-MS Combined Molecular Networking with Multivariate Statistical Analysis" Metabolites 13, no. 2: 204. https://doi.org/10.3390/metabo13020204
APA StyleLv, Y., Xu, X., Wei, Y., Shen, Y., Chen, W., Wei, X., Wang, J., Xin, J., He, J., & Zu, X. (2023). Characterization and Discrimination of Ophiopogonis Radix with Different Levels of Sulfur Fumigation Based on UPLC-QTOF-MS Combined Molecular Networking with Multivariate Statistical Analysis. Metabolites, 13(2), 204. https://doi.org/10.3390/metabo13020204

