Charmonium Transport in Heavy-Ion Collisions at the LHC
Abstract
1. Introduction
2. Kinetic Approach
2.1. Transport Parameters
2.2. Charmonium Reaction Rates
2.3. Charmonium Equilibrium Limits
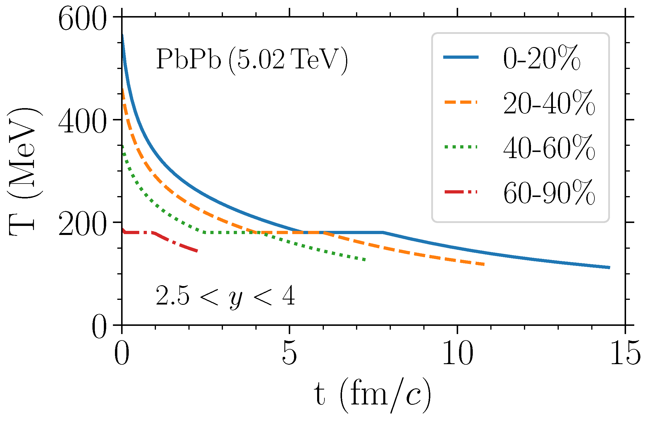
2.4. Initial Conditions and Medium Evolution
3. Time and Centrality Dependence of Charmonium Yields at the LHC
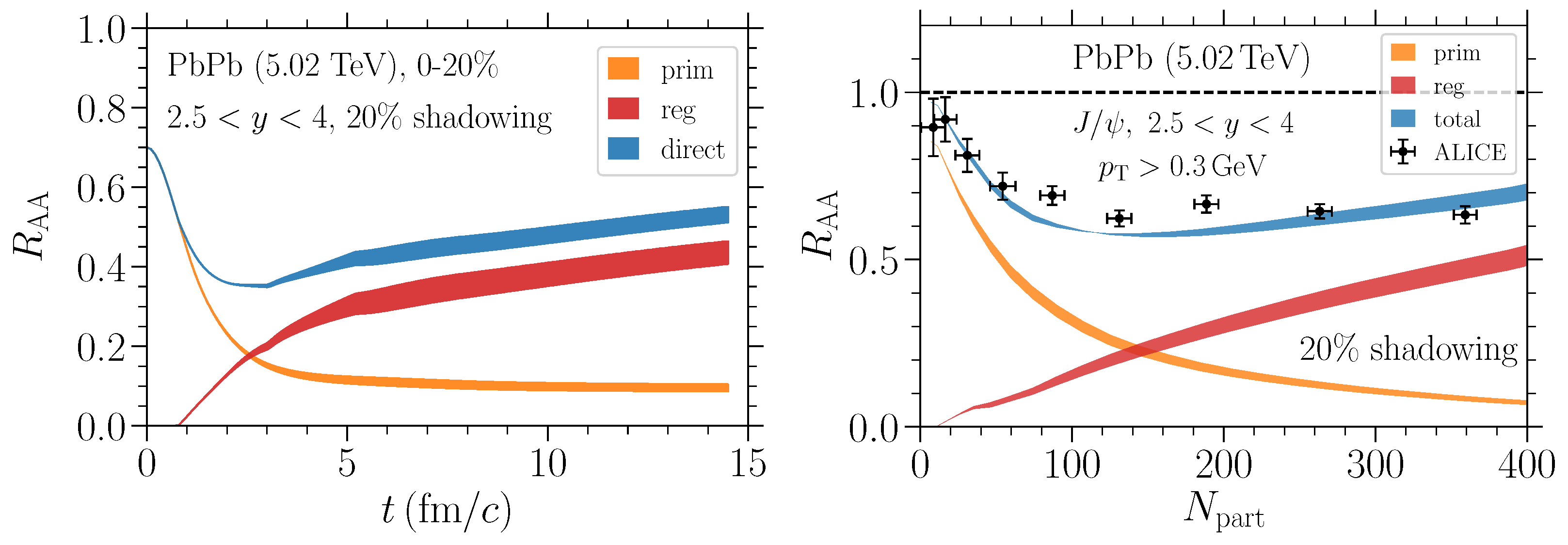
3.1. Time Evolution of Charmonium Yields
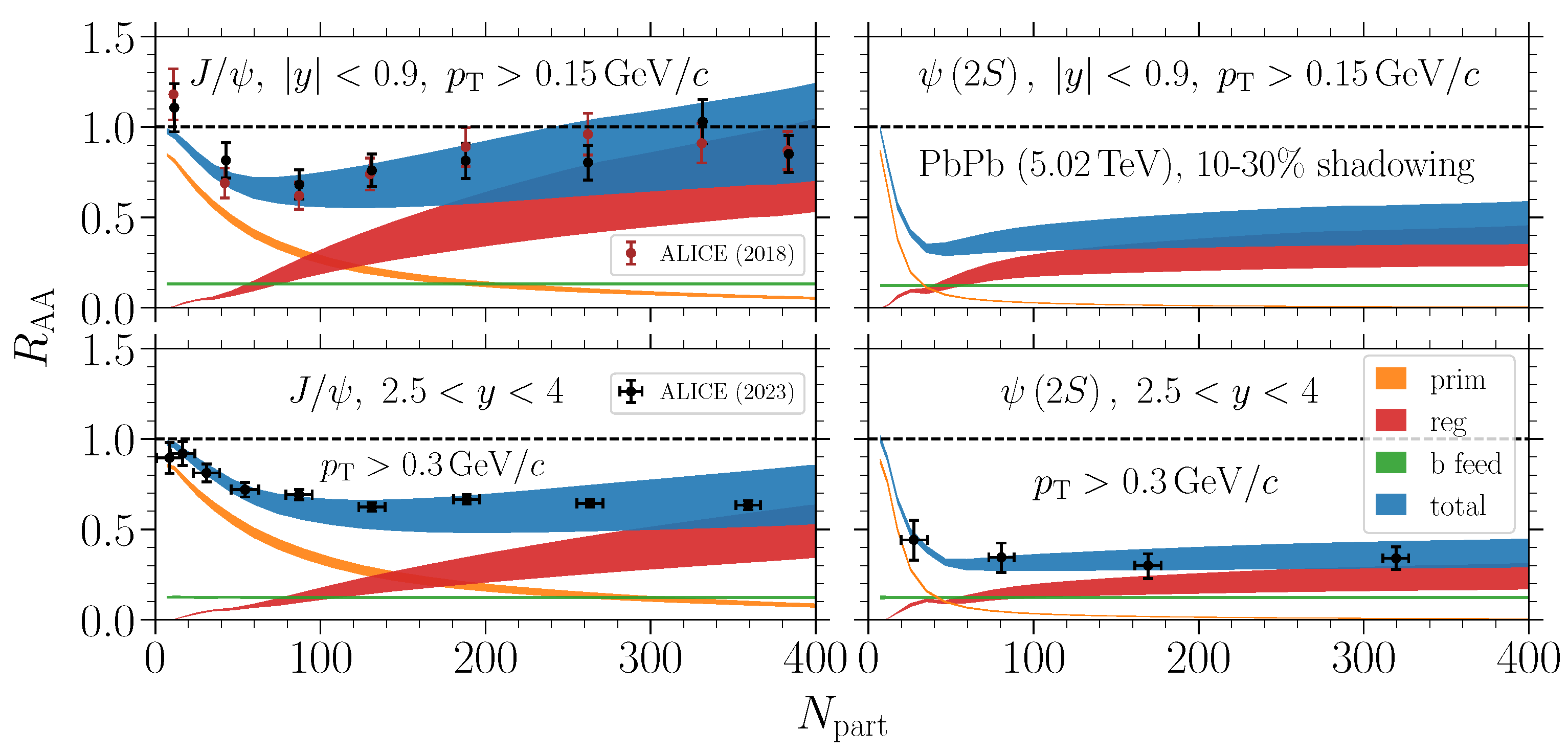
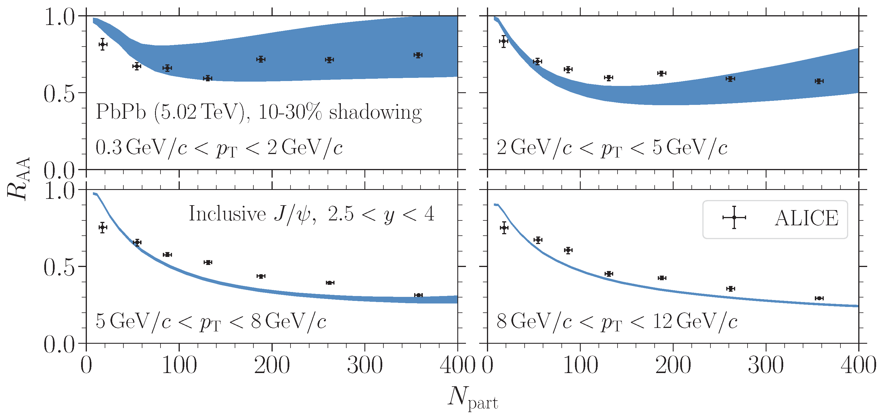
3.2. Centrality Dependence
4. Transverse Momentum Spectra
4.1. Initial Spectra and Their Suppression in Heavy-Ion Collisions
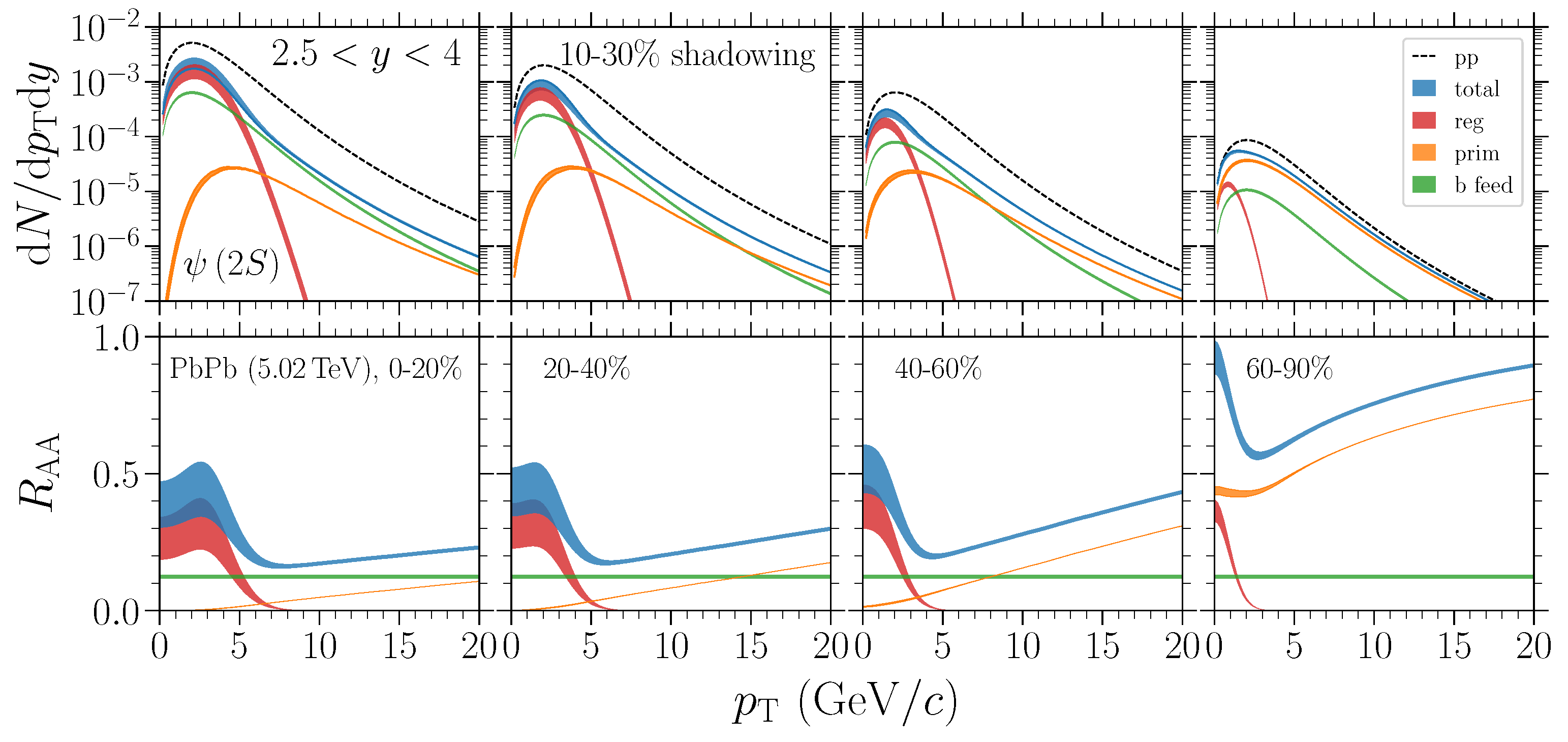
4.2. Transverse Momentum Spectra from Regeneration
4.3. Comparison to Experimental Spectra
5. Conclusions
Author Contributions
Funding
Data Availability Statement
Conflicts of Interest
References
- Matsui, T.; Satz, H. J/ψ Suppression by Quark-Gluon Plasma Formation. Phys. Lett. B 1986, 178, 416–422. [Google Scholar] [CrossRef]
- Rapp, R.; Blaschke, D.; Crochet, P. Charmonium and bottomonium production in heavy-ion collisions. Prog. Part. Nucl. Phys. 2010, 65, 209–266. [Google Scholar] [CrossRef]
- Braun-Munzinger, P.; Stachel, J. Charmonium from Statistical Hadronization of Heavy Quarks—A Probe for Deconfinement in the Quark-Gluon Plasma. Landolt-Bornstein 2010, 23, 424. [Google Scholar] [CrossRef]
- Liu, Y.; Zhou, K.; Zhuang, P. Quarkonia in high energy nuclear collisions. Int. J. Mod. Phys. E 2015, 24, 1530015. [Google Scholar] [CrossRef]
- Andronic, A.; Gossiaux, P.B.; Petreczky, P.; Rapp, R.; Strickland, M.; Blaizot, J.P.; Brambilla, N.; Braun-Munzinger, P.; Chen, B.; Delorme, S.; et al. Comparative study of quarkonium transport in hot QCD matter. Eur. Phys. J. A 2024, 60, 88. [Google Scholar] [CrossRef]
- Adam, J.; Adamová, D.; Aggarwal, M.M.; Rinella, G.A.; Agnello, M.; Agrawal, N.; Ahammed, Z.; Ahmad, S.; Ahn, S.U.; Aiola, S.; et al. J/ψ suppression at forward rapidity in Pb-Pb collisions at = 5.02 TeV. Phys. Lett. B 2017, 766, 212–224. [Google Scholar] [CrossRef]
- Bai, X. Quarkonium measurements in nucleus-nucleus collisions with ALICE. Nucl. Phys. A 2021, 1005, 121769. [Google Scholar] [CrossRef]
- Acharya, S.; Adamová, D.; Adler, A.; Rinella, G.A.; Agnello, M.; Agrawal, N.; Ahammed, Z.; Ahmad, S.; Ahn, S.U.; Ahuja, I.; et al. Measurements of inclusive J/ψ production at midrapidity and forward rapidity in Pb–Pb collisions at = 5.02 TeV. Phys. Lett. B 2024, 849, 138451. [Google Scholar] [CrossRef]
- Acharya, S.; Adamová, D.; Adler, A.; Rinella, G.A.; Agnello, M.; Agrawal, N.; Ahammed, Z.; Ahmad, S.; Ahn, S.U.; Ahuja, I.; et al. ψ(2S) Suppression in Pb-Pb Collisions at the LHC. Phys. Rev. Lett. 2024, 132, 042301. [Google Scholar] [CrossRef]
- Acharya, S. et al. [ALICE Collaboration] Studies of J/ψ production at forward rapidity in Pb-Pb collisions at = 5.02 TeV. J. High Energy Phys. 2020, 2, 041. [Google Scholar] [CrossRef]
- Acharya, S.; Adamová, D.; Adler, A.; Adolfsson, J.; Aggarwal, M.M.; Rinella, G.A.; Agnello, M.; Agrawal, N.; Ahammed, Z.; Ahmad, S.; et al. Centrality and transverse momentum dependence of inclusive J/ψ production at midrapidity in Pb–Pb collisions at = 5.02 TeV. Phys. Lett. B 2020, 805, 135434. [Google Scholar] [CrossRef]
- Zhao, X.; Rapp, R. Medium Modifications and Production of Charmonia at LHC. Nucl. Phys. A 2011, 859, 114–125. [Google Scholar] [CrossRef]
- Song, T.; Han, K.C.; Ko, C.M. Charmonium production in relativistic heavy-ion collisions. Phys. Rev. C 2011, 84, 034907. [Google Scholar] [CrossRef]
- Zhou, K.; Xu, N.; Xu, Z.; Zhuang, P. Medium effects on charmonium production at ultrarelativistic energies available at the CERN Large Hadron Collider. Phys. Rev. C 2014, 89, 054911. [Google Scholar] [CrossRef]
- Ferreiro, E.G. Excited charmonium suppression in proton–nucleus collisions as a consequence of comovers. Phys. Lett. B 2015, 749, 98–103. [Google Scholar] [CrossRef]
- He, M.; Wu, B.; Rapp, R. Collectivity of J/ψ Mesons in Heavy-Ion Collisions. Phys. Rev. Lett. 2022, 128, 162301. [Google Scholar] [CrossRef]
- Andronic, A.; Braun-Munzinger, P.; Köhler, M.K.; Mazeliauskas, A.; Redlich, K.; Stachel, J.; Vislavicius, V. The multiple-charm hierarchy in the statistical hadronization model. J. High Energy Phys. 2021, 7, 035. [Google Scholar] [CrossRef]
- Capellino, F.; Dubla, A.; Floerchinger, S.; Grossi, E.; Kirchner, A.; Masciocchi, S. Fluid dynamics of charm quarks in the quark-gluon plasma. Phys. Rev. D 2023, 108, 116011. [Google Scholar] [CrossRef]
- Acharya, S.; Adamová, D.; Adler, A.; Adolfsson, J.; Rinella, G.A.; Agnello, M.; Agrawal, N.; Ahammed, Z.; Ahmad, S.; Ahn, S.U.; et al. Charm-quark fragmentation fractions and production cross section at midrapidity in pp collisions at the LHC. Phys. Rev. D 2022, 105, L011103. [Google Scholar] [CrossRef]
- Ramello, L.; Abreu, M.C.; Alessandro, B.; Alexa, C.; Arnaldi, R.; Astruc, J.; Atavan, M.; Baglin, C.; Baldit, A.; Bedjidian, M.; et al. Charmonium production in PbPb interactions at 158 GeV/c per nucleon. Nucl. Phys. 1998, 638, 261c–278c. [Google Scholar] [CrossRef]
- Andronic, A.; Braun-Munzinger, P.; Redlich, K.; Stachel, J. Evidence for charmonium generation at the phase boundary in ultra-relativistic nuclear collisions. Phys. Lett. B 2007, 652, 259–261. [Google Scholar] [CrossRef]
- Sorge, H.; Shuryak, E.V.; Zahed, I. Ψ′/Ψ ratio in nucleus-nucleus collisions: A Measure for the chiral symmetry restoration temperature? Phys. Rev. Lett. 1997, 79, 2775–2778. [Google Scholar] [CrossRef]
- Spieles, C.; Vogt, R.; Gerland, L.; Bass, S.A.; Bleicher, M.; Stoecker, H.; Greiner, W. Modeling j / psi production and absorption in a microscopic nonequilibrium approach. Phys. Rev. C 1999, 60, 054901. [Google Scholar] [CrossRef]
- Grandchamp, L.; Rapp, R. Charmonium suppression and regeneration from SPS to RHIC. Nucl. Phys. A 2002, 709, 415–439. [Google Scholar] [CrossRef]
- Linnyk, O.; Bratkovskaya, E.L.; Cassing, W. Open and hidden charm in proton-nucleus and heavy-ion collisions. Int. J. Mod. Phys. E 2008, 17, 1367–1439. [Google Scholar] [CrossRef]
- Adare, A.; Aidala, C.; Ajitan, N.N.; Akiba, Y.; Al-Bataineh, H.; Alexander, J.; Angerami, A.; Aoki, K.; Apadula, N.; Aramaki, Y.; et al. Nuclear Modification of ψ′, χc, and J/ψ Production in d+Au Collisions at = 200 GeV. Phys. Rev. Lett. 2013, 111, 202301. [Google Scholar] [CrossRef] [PubMed]
- Abelev, B.; Adam, J.; Adamová, D.; Aggarwal, M.M.; Agnello, M.; Agostinelli, A.; Agrawal, N.; Ahammed, Z.; Ahmad, N.; Ahmed, I.; et al. Suppression of ψ(2S) production in p-Pb collisions at = 5.02 TeV. J. High Energy Phys. 2014, 12, 073. [Google Scholar] [CrossRef]
- Du, X.; Rapp, R. Sequential Regeneration of Charmonia in Heavy-Ion Collisions. Nucl. Phys. A 2015, 943, 147–158. [Google Scholar] [CrossRef]
- Du, X.; Rapp, R. In-Medium Charmonium Production in Proton-Nucleus Collisions. J. High Energy Phys. 2019, 3, 015. [Google Scholar] [CrossRef]
- Khachatryan, V.; Sirunyan, A.M.; Tumasyan, A.; Adam, W.; Bergauer, T.; Dragicevic, M.; Erö, J.; Fabjan, C.; Friedl, M.; Fruehwirth, R.; et al. Measurement of Prompt ψ(2S) → J/ψ Yield Ratios in Pb-Pb and p − p Collisions at = 2.76 TeV. Phys. Rev. Lett. 2014, 113, 262301. [Google Scholar] [CrossRef]
- Zhao, X.; Rapp, R. Charmonium in Medium: From Correlators to Experiment. Phys. Rev. C 2010, 82, 064905. [Google Scholar] [CrossRef]
- Du, X.; Rapp, R.; He, M. Color Screening and Regeneration of Bottomonia in High-Energy Heavy-Ion Collisions. Phys. Rev. C 2017, 96, 054901. [Google Scholar] [CrossRef]
- Liu, S.Y.F.; Rapp, R. T-matrix Approach to Quark-Gluon Plasma. Phys. Rev. C 2018, 97, 034918. [Google Scholar] [CrossRef]
- Peskin, M.E. Short Distance Analysis for Heavy Quark Systems. 1. Diagrammatics. Nucl. Phys. B 1979, 156, 365–390. [Google Scholar] [CrossRef]
- Bhanot, G.; Peskin, M.E. Short Distance Analysis for Heavy Quark Systems. 2. Applications. Nucl. Phys. B 1979, 156, 391–416. [Google Scholar] [CrossRef]
- Lin, Z.W.; Ko, C.M. A Model for J/ψ absorption in hadronic matter. Phys. Rev. C 2000, 62, 034903. [Google Scholar] [CrossRef]
- Haglin, K.L.; Gale, C. Hadronic interactions of the J/ψ. Phys. Rev. C 2001, 63, 065201. [Google Scholar] [CrossRef]
- Du, X.; Rapp, R. Non-equilibrium charmonium regeneration in strongly coupled quark-gluon plasma. Phys. Lett. B 2022, 834, 137414. [Google Scholar] [CrossRef]
- He, M.; van Hees, H.; Rapp, R. Heavy-quark diffusion in the quark–gluon plasma. Prog. Part. Nucl. Phys. 2023, 130, 104020. [Google Scholar] [CrossRef]
- Miller, M.L.; Reygers, K.; Sanders, S.J.; Steinberg, P. Glauber modeling in high energy nuclear collisions. Ann. Rev. Nucl. Part. Sci. 2007, 57, 205–243. [Google Scholar] [CrossRef]
- Acharya, S.; Adamová, D.; Aglieri Rinella, G.; Agnello, M.; Agrawal, N.; Ahammed, Z.; Ahmad, S.; Ahn, S.U.; Ahuja, I.; Akindinov, A.; et al. Charm production and fragmentation fractions at midrapidity in pp collisions at = 13 TeV. J. High Energy Phys. 2023, 12, 086. [Google Scholar] [CrossRef]
- Bierlich, C.; Wilkinson, J.; Sun, J.; Manca, G.; Granier de Cassagnac, R.; Otwinowski, J. Open charm production cross section from combined LHC experiments in pp collisions at = 5.02 TeV. arXiv 2023, arXiv:2311.11426. [Google Scholar]
- Acharya, S. et al. [ALICE Collaboration] Inclusive J/ψ production at mid-rapidity in pp collisions at = 5.02 TeV. J. High Energy Phys. 2019, 10, 084. [Google Scholar] [CrossRef]
- Acharya, S. et al. [ALICE Collaboration] Inclusive quarkonium production in pp collisions at = 5.02 TeV. Eur. Phys. J. C 2023, 83, 61. [Google Scholar] [CrossRef]
- Adam, J.; Adamová, D.; Aggarwal, M.M.; Aglieri Rinella, G.; Agnello, M.; Agrawal, N.; Ahammed, Z.; Ahmed, I.; Ahn, S.U.; Aimo, I.; et al. Rapidity and transverse-momentum dependence of the inclusive J/ψ nuclear modification factor in p-Pb collisions at = 5.02 TeV. J. High Energy Phys. 2015, 6, 055. [Google Scholar] [CrossRef]
- Kusina, A.; Lansberg, J.P.; Schienbein, I.; Shao, H.S. Gluon Shadowing in Heavy-Flavor Production at the LHC. Phys. Rev. Lett. 2018, 121, 052004. [Google Scholar] [CrossRef]
- Acharya, S. et al. [ALICE Collaboration] Inclusive, prompt and non-prompt J/ψ production at midrapidity in p-Pb collisions at = 5.02 TeV. J. High Energy Phys. 2022, 6, 011. [Google Scholar] [CrossRef]
- Andronic, A.; Arleo, F.; Arnaldi, R.; Beraudo, A.; Bruna, E.; Caffarri, D.; Del Valle, Z.C.; Contreras, J.G.; Dahms, T.; Dainese, A.; et al. Heavy-flavour and quarkonium production in the LHC era: From proton–proton to heavy-ion collisions. Eur. Phys. J. C 2016, 76, 107. [Google Scholar] [CrossRef]
- Farrar, G.R.; Liu, H.; Frankfurt, L.L.; Strikman, M.I. Transparency in Nuclear Quasiexclusive Processes with Large Momentum Transfer. Phys. Rev. Lett. 1988, 61, 686–689. [Google Scholar] [CrossRef]
- Zyla, P. et al. [Particle Data Group] Review of Particle Physics. Prog. Theor. Exp. Phys. 2020, 2020, 083C01. [Google Scholar] [CrossRef]
- Andronic, A.; Braun-Munzinger, P.; Köhler, M.K.; Redlich, K.; Stachel, J. Transverse momentum distributions of charmonium states with the statistical hadronization model. Phys. Lett. B 2019, 797, 134836. [Google Scholar] [CrossRef]
- Andronic, A.; Braun-Munzinger, P.; Redlich, K.; Stachel, J. Decoding the phase structure of QCD via particle production at high energy. Nature 2018, 561, 321–330. [Google Scholar] [CrossRef]
- Aaboud, M.; Aad, G.; Abbott, G.; Abdallah, J.; Abdinov, O.; Abeloos, B.; Abidi, S.H.; AbouZeid, O.S.; Abraham, N.L.; Abramowicz, H.; et al. Measurement of quarkonium production in proton–lead and proton–proton collisions at 5.02 TeV with the ATLAS detector. Eur. Phys. J. C 2018, 78, 171. [Google Scholar] [CrossRef]
- Sirunyan, A.M. et al. [CMS Collaboration] Measurement of prompt and nonprompt J/ψ production in pp and pPb collisions at = 5.02 TeV. Eur. Phys. J. C 2017, 77, 269. [Google Scholar] [CrossRef]
- Yan, L.; Zhuang, P.; Xu, N. Competition between J / psi suppression and regeneration in quark-gluon plasma. Phys. Rev. Lett. 2006, 97, 232301. [Google Scholar] [CrossRef]
- Capellino, F.; Beraudo, A.; Dubla, A.; Floerchinger, S.; Masciocchi, S.; Pawlowski, J.; Selyuzhenkov, I. Fluid-dynamic approach to heavy-quark diffusion in the quark-gluon plasma. Phys. Rev. D 2022, 106, 034021. [Google Scholar] [CrossRef]


















Disclaimer/Publisher’s Note: The statements, opinions and data contained in all publications are solely those of the individual author(s) and contributor(s) and not of MDPI and/or the editor(s). MDPI and/or the editor(s) disclaim responsibility for any injury to people or property resulting from any ideas, methods, instructions or products referred to in the content. |
© 2024 by the authors. Licensee MDPI, Basel, Switzerland. This article is an open access article distributed under the terms and conditions of the Creative Commons Attribution (CC BY) license (https://creativecommons.org/licenses/by/4.0/).
Share and Cite
Wu, B.; Rapp, R. Charmonium Transport in Heavy-Ion Collisions at the LHC. Universe 2024, 10, 244. https://doi.org/10.3390/universe10060244
Wu B, Rapp R. Charmonium Transport in Heavy-Ion Collisions at the LHC. Universe. 2024; 10(6):244. https://doi.org/10.3390/universe10060244
Chicago/Turabian StyleWu, Biaogang, and Ralf Rapp. 2024. "Charmonium Transport in Heavy-Ion Collisions at the LHC" Universe 10, no. 6: 244. https://doi.org/10.3390/universe10060244
APA StyleWu, B., & Rapp, R. (2024). Charmonium Transport in Heavy-Ion Collisions at the LHC. Universe, 10(6), 244. https://doi.org/10.3390/universe10060244

