Energy-Momentum Squared Gravity: A Brief Overview
Abstract
1. Introduction
2. Gravity: Formalism
2.1. Action and Field Equations
2.2. Scalar-Tensor Representation
2.3. Geometrical and Scalar-Tensor Gravity
3. Thermodynamics of Open Systems
3.1. Particle Production in Cosmology
- Vacuum instability in the presence of both gravitational and gauge fields, possibly resulting from the conformal trace anomaly, as shown in [86];
- The existence of quadratic curvature terms in the action of Weyl gravitational theory and the direct interaction of the perfect fluid particles. Hence, in such models, particles may also be created directly from the vacuum [87];
- Cosmological models such as the one presented in [88], in which there is an interaction between dark energy and massive particle pairs that can produce both stable and unstable particle pairs.
3.2. Thermodynamic Interpretation of Irreversible Matter Creation
3.2.1. First Law of Thermodynamics: Temperature Evolution
3.2.2. Second Law of Thermodynamics: Entropy Evolution
- Universe locally considered as an open system;
- Geometry being flat FLRW.
4. Cosmology of Gravity
4.1. The Generalized Friedmann Equations
4.1.1. The Energy Balance Equation
4.1.2. The Deceleration Parameter
4.1.3. Dark Matter and Dark Energy
4.2. de Sitter Expansion
4.2.1. Self-Interacting Potential and Constant-Density de Sitter Expansion
4.2.2. The Vacuum de Sitter Solution
4.2.3. de Sitter Solution with Constant Matter Density
4.2.4. de Sitter Solution with Arbitrary Matter Density
4.3. Matter and Radiation Domination Phases
4.3.1. Models with a Quadratic Additive Potential
4.3.2. Radiation-Dominated Models
4.4. General Cosmological Models
4.4.1. The Dimensionless Representation
4.4.2. The Redshift Representation
4.4.3. Specific Cosmological Models: A Qualitative Discussion
4.5. Summary and Discussion
5. Compact Objects in Gravity
5.1. Black Holes in EMSG Coupled with Electrodynamics
5.2. Wormhole Geometries
5.2.1. Metric and Field Equations
5.2.2. Wormhole Solutions
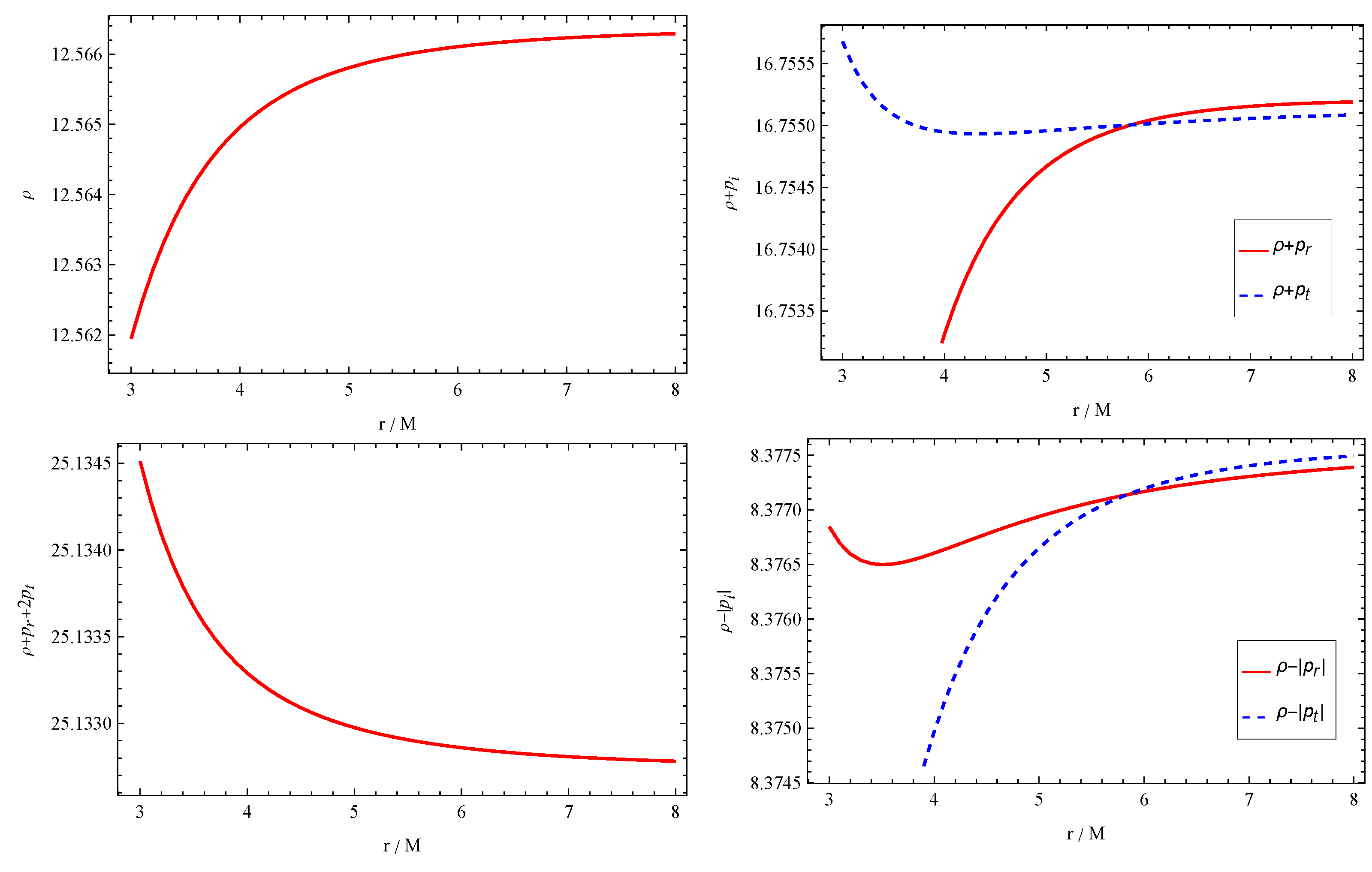
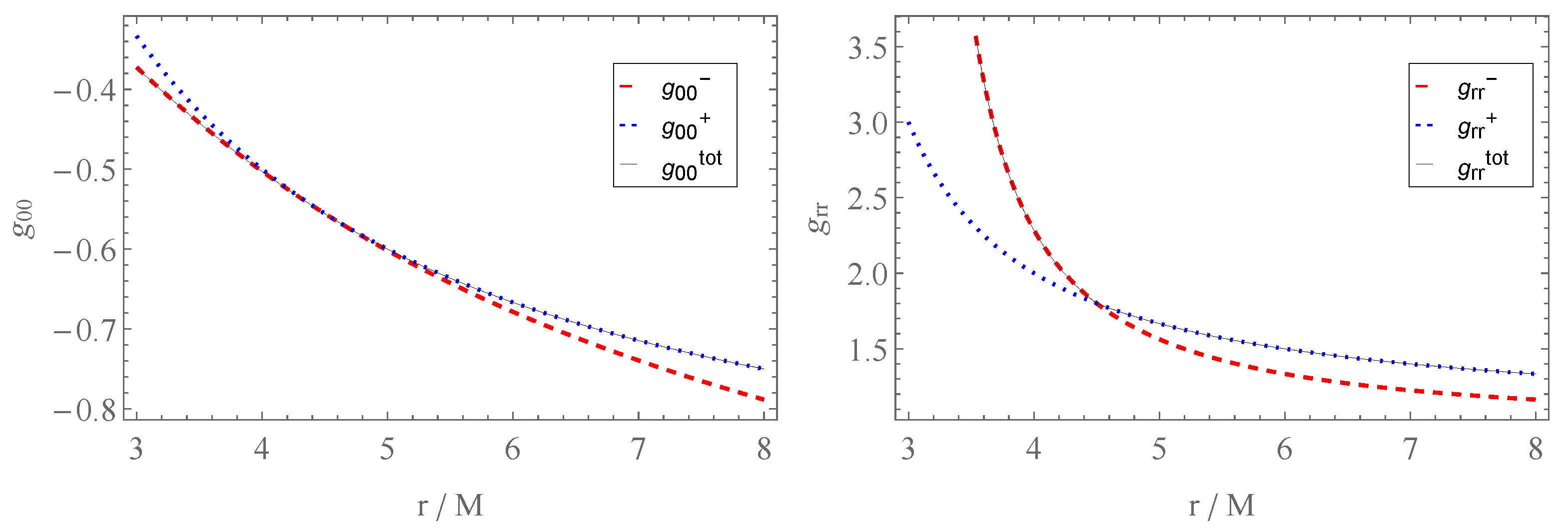
5.2.3. Junction Conditions and Matching
Junction Conditions
Matching with an Exterior Vacuum
5.2.4. Summary
6. Conclusions
Author Contributions
Funding
Data Availability Statement
Acknowledgments
Conflicts of Interest
| 1 | The flaring-out condition in the neighborhood of the throat takes the form of [114]. |
| 2 | While the choice of at this point is somewhat arbitrary, we chose this particular value for reasons that we clarify in the subsequent section. Various other values of , including positive values, would yield qualitatively similar solutions. |
References
- Riess, A.G. et al. [Supernova Search Team] Observational evidence from supernovae for an accelerating universe and a cosmological constant. Astron. J. 1998, 116, 1009–1038. [Google Scholar] [CrossRef]
- Perlmutter, S. et al. [Supernova Cosmology Project] Measurements of Ω and Λ from 42 High Redshift Supernovae. Astrophys. J. 1999, 517, 565–586. [Google Scholar] [CrossRef]
- Capozziello, S. Curvature quintessence. Int. J. Mod. Phys. D 2002, 11, 483–492. [Google Scholar] [CrossRef]
- Nojiri, S.; Odintsov, S.D. Introduction to modified gravity and gravitational alternative for dark energy. Int. J. Geom. Methods Mod. Phys. 2007, 4, 115–145. [Google Scholar] [CrossRef]
- Lobo, F.S.N. The Dark side of gravity: Modified theories of gravity. arXiv 2008, arXiv:0807.1640. [Google Scholar]
- Sotiriou, T.P.; Faraoni, V. f(R) Theories of Gravity. Rev. Mod. Phys. 2010, 82, 451–497. [Google Scholar] [CrossRef]
- Nojiri, S.; Odintsov, S.D. Unified cosmic history in modified gravity: From F(R) theory to Lorentz non-invariant models. Phys. Rep. 2011, 505, 59–144. [Google Scholar] [CrossRef]
- Olmo, G.J. Palatini Approach to Modified Gravity: F(R) Theories and Beyond. Int. J. Mod. Phys. D 2011, 20, 413–462. [Google Scholar] [CrossRef]
- Capozziello, S.; De Laurentis, M. Extended Theories of Gravity. Phys. Rep. 2011, 509, 167–321. [Google Scholar] [CrossRef]
- Clifton, T.; Ferreira, P.G.; Padilla, A.; Skordis, C. Modified Gravity and Cosmology. Phys. Rep. 2012, 513, 1–189. [Google Scholar]
- Harko, T.; Lobo, F.S.N. Extensions of f(R) Gravity: Curvature-Matter Couplings and Hybrid Metric-Palatini Theory; Cambridge University Press: Cambridge, UK, 2018; ISBN 978-1-108-42874-3;978-1-108-58457-9. [Google Scholar]
- Saridakis, E.N. et al. [CANTATA] Modified Gravity and Cosmology: An Update by the CANTATA Network; Springer: Cham, Switzerland, 2021; ISBN 978-3-030-83714-3;978-3-030-83717-4;978-3-030-83715-0. [Google Scholar]
- Copeland, E.J.; Sami, M.; Tsujikawa, S. Dynamics of dark energy. Int. J. Mod. Phys. D 2006, 15, 1753–1936. [Google Scholar] [CrossRef]
- Bertolami, O.; Boehmer, C.G.; Harko, T.; Lobo, F.S.N. Extra force in f(R) modified theories of gravity. Phys. Rev. D 2007, 75, 104016. [Google Scholar] [CrossRef]
- Harko, T.; Lobo, F.S.N.; Otalora, G.; Saridakis, E.N. Nonminimal torsion-matter coupling extension of f(T) gravity. Phys. Rev. D 2014, 89, 124036. [Google Scholar] [CrossRef]
- Harko, T.; Lobo, F.S.N.; Otalora, G.; Saridakis, E.N. f(T,T) gravity and cosmology. J. Cosmol. Astropart. Phys. 2014, 12, 021. [Google Scholar] [CrossRef]
- Harko, T.; Lobo, F.S.N. Generalized curvature-matter couplings in modified gravity. Galaxies 2014, 2, 410–465. [Google Scholar] [CrossRef]
- Harko, T.; Koivisto, T.S.; Lobo, F.S.N.; Olmo, G.J.; Rubiera-Garcia, D. Coupling matter in modified Q gravity. Phys. Rev. D 2018, 98, 084043. [Google Scholar] [CrossRef]
- Harko, T.; Lobo, F.S.N. f(R,Lm) gravity. Eur. Phys. J. C 2010, 70, 373–379. [Google Scholar] [CrossRef]
- Harko, T.; Lobo, F.S.N.; Nojiri, S.; Odintsov, S.D. f(R,T) gravity. Phys. Rev. D 2011, 84, 024020. [Google Scholar] [CrossRef]
- Barrientos, E.; Lobo, F.S.N.; Mendoza, S.; Olmo, G.J.; Rubiera-Garcia, D. Metric-affine f(R,T) theories of gravity and their applications. Phys. Rev. D 2018, 97, 104041. [Google Scholar] [CrossRef]
- Katırcı, N.; Kavuk, M. f(R,TμνTμν) gravity and Cardassian-like expansion as one of its consequences. Eur. Phys. J. Plus 2014, 129, 163. [Google Scholar] [CrossRef]
- Roshan, M.; Shojai, F. Energy-Momentum Squared Gravity. Phys. Rev. D 2016, 94, 044002. [Google Scholar] [CrossRef]
- Haghani, Z.; Harko, T.; Lobo, F.S.N.; Sepangi, H.R.; Shahidi, S. Further matters in space-time geometry: f(R,T,RμνTμν) gravity. Phys. Rev. D 2013, 88, 044023. [Google Scholar] [CrossRef]
- Odintsov, S.D.; Sáez-Gómez, D. f(R,T,RμνTμν) gravity phenomenology and ΛCDM universe. Phys. Lett. B 2013, 725, 437–444. [Google Scholar] [CrossRef]
- Bahamonde, S.; Marciu, M.; Rudra, P. Dynamical system analysis of generalized energy-momentum-squared gravity. Phys. Rev. D 2019, 100, 083511. [Google Scholar] [CrossRef]
- Akarsu, Ö.; Katirci, N.; Kumar, S. Energy-momentum powered gravity and cosmic acceleration. In Proceedings of the PoS CORFU2017, Corfu, Greece, 2–28 September 2017; p. 105. [Google Scholar]
- Akarsu, Ö.; Barrow, J.D.; Uzun, N.M. Screening anisotropy via energy-momentum squared gravity: ΛCDM model with hidden anisotropy. Phys. Rev. D 2020, 102, 124059. [Google Scholar] [CrossRef]
- Board, C.V.R.; Barrow, J.D. Cosmological Models in Energy-Momentum-Squared Gravity. Phys. Rev. D 2017, 96, 123517, Erratum: Phys. Rev. D 2018, 98, 129902. [Google Scholar] [CrossRef]
- Barbar, A.H.; Awad, A.M.; AlFiky, M.T. Viability of bouncing cosmology in energy-momentum-squared gravity. Phys. Rev. D 2020, 101, 044058. [Google Scholar] [CrossRef]
- Akarsu, Ö.; Katırcı, N.; Kumar, S. Cosmic acceleration in a dust only universe via energy-momentum powered gravity. Phys. Rev. D 2018, 97, 024011. [Google Scholar] [CrossRef]
- Cipriano, R.A.C.; Harko, T.; Lobo, F.S.N.; Pinto, M.A.S.; Rosa, J.L. Gravitationally induced matter creation in scalar-tensor f(R,TμνTμν) gravity. Phys. Dark Universe 2024, 44, 101463. [Google Scholar] [CrossRef]
- Sharif, M.; Zeeshan Gul, M. Stability Analysis of the Inhomogeneous Perturbed Einstein Universe in Energy–Momentum Squared Gravity. Universe 2023, 9, 145. [Google Scholar] [CrossRef]
- Canuto, Á.J.C.; Santos, A.F. Gödel-type universes in energy–momentum-squared gravity. Eur. Phys. J. C 2023, 83, 404. [Google Scholar] [CrossRef]
- Shahidi, S. Non-minimal energy–momentum squared gravity. Eur. Phys. J. C 2021, 81, 274. [Google Scholar] [CrossRef]
- Akarsu, Ö.; Barrow, J.D.; Çıkıntoğlu, S.; Ekşi, K.Y.; Katırcı, N. Constraint on energy-momentum squared gravity from neutron stars and its cosmological implications. Phys. Rev. D 2018, 97, 124017. [Google Scholar] [CrossRef]
- Chen, C.Y.; Chen, P. Eikonal black hole ringings in generalized energy-momentum squared gravity. Phys. Rev. D 2020, 101, 064021. [Google Scholar] [CrossRef]
- Sharif, M.; Zeeshan Gul, M. Dynamics of charged anisotropic spherical collapse in energy-momentum squared gravity. Chin. J. Phys. 2021, 71, 365–374. [Google Scholar] [CrossRef]
- Yousaf, Z.; Bhatti, M.Z.; Farwa, U. Evolution of axially and reflection symmetric source in energy–momentum squared gravity. Eur. Phys. J. Plus 2022, 137, 49. [Google Scholar] [CrossRef]
- Sharif, M.; Naz, S. Stable charged gravastar model in f(R,T2) gravity with conformal motion. Eur. Phys. J. Plus 2022, 137, 421. [Google Scholar] [CrossRef]
- Sharif, M.; Naz, S. Impact of charge on gravastars in f(R,T2) gravity. Mod. Phys. Lett. A 2022, 37, 2250065. [Google Scholar] [CrossRef]
- Sharif, M.; Anjum, A. Impact of charge on the complexity of static sphere in f(R,T2) gravity. Eur. Phys. J. Plus 2022, 137, 602. [Google Scholar] [CrossRef]
- Sharif, M.; Gul, M.Z. Anisotropic compact stars with Karmarkar condition in energy-momentum squared gravity. Gen. Relativ. Gravit. 2023, 55, 10. [Google Scholar] [CrossRef]
- Zeeshan Gul, M.; Sharif, M. Traversable Wormhole Solutions Admitting Noether Symmetry in Theory. Symmetry 2023, 15, 684. [Google Scholar]
- Sharif, M.; Naz, S. Study of decoupled gravastars in energy–momentum squared gravity. Ann. Phys. 2023, 451, 169240. [Google Scholar] [CrossRef]
- Sharif, M.; Naz, S. Viable decoupled solutions in energy–momentum squared gravity. Pramana 2023, 97, 116. [Google Scholar] [CrossRef]
- Sharif, M.; Naz, S. Stable gravastars with Krori–Barua metric in f(R,T2) gravity. Ann. Phys. 2023, 457, 169426. [Google Scholar] [CrossRef]
- Sharif, M.; Gul, M.Z. Compact stellar objects in f(R,T2) gravity. Pramana 2023, 97, 122. [Google Scholar] [CrossRef]
- Kazemi, A.; Roshan, M.; De Martino, I.; De Laurentis, M. Jeans analysis in energy–momentum-squared gravity. Eur. Phys. J. C 2020, 80, 150. [Google Scholar] [CrossRef]
- Sharif, M.; Manzoor, S. Compact objects admitting Finch–Skea symmetry in f(R,T2) gravity. Ann. Phys. 2023, 454, 169337. [Google Scholar] [CrossRef]
- Hosseini Mansoori, S.A.; Felegray, F.; Talebian, A.; Sami, M. PBHs and GWs from T2-inflation and NANOGrav 15-year data. J. Cosmol. Astropart. Phys. 2023, 08, 067. [Google Scholar] [CrossRef]
- Sharif, M.; Zeeshan Gul, M. Noether Symmetries and Some Exact Solutions in f(R, T 2) Theory. J. Exp. Theor. Phys. 2023, 136, 436–445. [Google Scholar] [CrossRef]
- Nasir, M.M.M.; Bhatti, M.Z.; Yousaf, Z. Influence of EMSG on complex systems: Spherically symmetric, static case. Int. J. Mod. Phys. D 2023, 32, 2350009. [Google Scholar] [CrossRef]
- Pretel, J.M.Z.; Tangphati, T.; Banerjee, A. Relativistic structure of charged quark stars in energy–momentum squared gravity. Ann. Phys. 2023, 458, 169440. [Google Scholar] [CrossRef]
- Naz, S.; Sharif, M. Gravastars with Kuchowicz Metric in Energy-Momentum Squared Gravity. Universe 2022, 8, 142. [Google Scholar] [CrossRef]
- Sharif, M.; Naz, S. Gravastars with Karmarkar condition in f(R,T2) gravity. Int. J. Mod. Phys. D 2022, 31, 2240008. [Google Scholar] [CrossRef]
- Rudra, P. Energy–momentum squared symmetric Teleparallel gravity: f(Q,TμνTμν) gravity. Phys. Dark Universe 2022, 37, 101071. [Google Scholar] [CrossRef]
- Nazari, E.; Roshan, M.; De Martino, I. Constraining energy-momentum-squared gravity by binary pulsar observations. Phys. Rev. D 2022, 105, 044014. [Google Scholar] [CrossRef]
- Ashtekar, A.; Singh, P. Loop Quantum Cosmology: A Status Report. Class. Quantum Gravity 2011, 28, 213001. [Google Scholar] [CrossRef]
- Maartens, R. Brane world gravity. Living Rev. Relativ. 2004, 7, 7. [Google Scholar] [CrossRef]
- Maartens, R.; Koyama, K. Brane-World Gravity. Living Rev. Relativ. 2010, 13, 5. [Google Scholar] [CrossRef]
- Brax, P.; van de Bruck, C. Cosmology and brane worlds: A Review. Class. Quantum Gravity 2003, 20, R201–R232. [Google Scholar] [CrossRef]
- Armendariz-Picon, C.; Mukhanov, V.F.; Steinhardt, P.J. Essentials of k essence. Phys. Rev. D 2001, 63, 103510. [Google Scholar] [CrossRef]
- Nazari, E.; Sarvi, F.; Roshan, M. Generalized Energy-Momentum-Squared Gravity in the Palatini Formalism. Phys. Rev. D 2020, 102, 064016. [Google Scholar] [CrossRef]
- Sharif, M.; Zeeshan Gul, M. Viable wormhole solutions in energy–momentum squared gravity. Eur. Phys. J. Plus 2021, 136, 503. [Google Scholar] [CrossRef]
- Woodard, R.P. Avoiding dark energy with 1/r modifications of gravity. Lect. Notes Phys. 2007, 720, 403–433. [Google Scholar]
- Ostrogradski, M. Mémoires sur les Équations Différentielles, Relatives au Problème des Isopérimètres; Mémoires de l’Académie Impériale des Sciences: St-Pétersbourg, Russia, 1850; Volume 4, p. 385. [Google Scholar]
- Abedi, H.; Bajardi, F.; Capozziello, S. Linearized field equations and extra force in f(R,T(n)) extended gravity. Int. J. Mod. Phys. D 2022, 31, 2240015. [Google Scholar] [CrossRef]
- Schrödinger, E. The proper vibrations of the expanding universe. Physica 1939, 6, 899. [Google Scholar] [CrossRef]
- Schrödinger, E. The General Theory of Relativity and Wave Mechanics. Physica 1940, 46, 25. [Google Scholar]
- Parker, L. Particle creation and particle number in an expanding universe. J. Phys. A 2012, 45, 374023. [Google Scholar] [CrossRef]
- Parker, L. Particle creation in expanding universes. Phys. Rev. Lett. 1968, 21, 562–564. [Google Scholar] [CrossRef]
- Parker, L. Quantized fields and particle creation in expanding universes. 1. Phys. Rev. 1969, 183, 1057–1068. [Google Scholar] [CrossRef]
- Parker, L. Quantized fields and particle creation in expanding universes. 2. Phys. Rev. D 1971, 3, 346–356, Erratum in Phys. Rev. D 1971, 3, 2546–2546. [Google Scholar] [CrossRef]
- Parker, L. Particle creation in isotropic cosmologies. Phys. Rev. Lett. 1972, 28, 705–708, Erratum in Phys. Rev. Lett. 1972, 28, 1497.. [Google Scholar] [CrossRef]
- Prigogine, I.; Geheniau, J.; Gunzig, E.; Nardone, P. Thermodynamics and cosmology. Gen. Relativ. Gravit. 1989, 21, 767–776. [Google Scholar] [CrossRef]
- Prigogine, I.; Géhéniau, J. Entropy, matter, and cosmology. Proc. Nat. Acad. Sci. USA 1986, 83, 6245–6249. [Google Scholar] [CrossRef] [PubMed]
- Prigogine, I.; Geheniau, J.; Gunzig, E.; Nardone, P. Thermodynamics of cosmological matter creation. Proc. Nat. Acad. Sci. USA 1988, 85, 7428. [Google Scholar] [CrossRef]
- Ford, L.H. Gravitational Particle Creation and Inflation. Phys. Rev. D 1987, 35, 2955. [Google Scholar] [CrossRef]
- Brout, R.; Englert, F.; Spindel, P. Cosmological Origin of the Grand Unification Mass Scale. Phys. Rev. Lett. 1979, 43, 417, Erratum in Phys. Rev. Lett. 1979, 43, 890. [Google Scholar] [CrossRef]
- Grib, A.A.; Mamaev, S.G.; Mostepanenko, V.M. Particle Creation from Vacuum in Homogeneous Isotropic Models of the Universe. Gen. Relativ. Gravit. 1976, 7, 535–547. [Google Scholar] [CrossRef]
- Harko, T. Thermodynamic interpretation of the generalized gravity models with geometry—Matter coupling. Phys. Rev. D 2014, 90, 044067. [Google Scholar] [CrossRef]
- Pinto, M.A.S.; Harko, T.; Lobo, F.S.N. Gravitationally induced particle production in scalar-tensor f(R,T) gravity. Phys. Rev. D 2022, 106, 044043. [Google Scholar] [CrossRef]
- Harko, T.; Lobo, F.S.N.; Mimoso, J.P.; Pavón, D. Gravitational induced particle production through a nonminimal curvature–matter coupling. Eur. Phys. J. C 2015, 75, 386. [Google Scholar] [CrossRef]
- Pinto, M.A.S.; Harko, T.; Lobo, F.S.N. Irreversible Geometrothermodynamics of Open Systems in Modified Gravity. Entropy 2023, 25, 944. [Google Scholar] [CrossRef] [PubMed]
- Chernodub, M.N. Conformal anomaly and gravitational pair production. arXiv 2023, arXiv:2306.03892. [Google Scholar]
- Berezin, V.A.; Dokuchaev, V.I. Cosmological particle creation in Weyl geometry. Class. Quantum Gravity 2023, 40, 015006. [Google Scholar] [CrossRef]
- Xue, S.S. Massive particle pair production and oscillation in Friedman Universe: Reheating energy and entropy, and cold dark matter. Eur. Phys. J. C 2023, 83, 355. [Google Scholar] [CrossRef]
- Schutz, F. Perfect Fluids in General Relativity: Velocity Potentials and a Variational Principle. Phys. Rev. D 1970, 2, 2762. [Google Scholar] [CrossRef]
- Brown, J.D. Action functionals for relativistic perfect fluids. Class. Quantum Gravity 1993, 10, 1579. [Google Scholar] [CrossRef]
- Bertolami, O.; Lobo, F.S.N.; Paramos, J. Non-minimum coupling of perfect fluids to curvature. Phys. Rev. D 2008, 78, 064036. [Google Scholar] [CrossRef]
- Dodelson, S. Modern Cosmology; Academic Press: San Diego, CA, USA, 2003. [Google Scholar]
- Berera, A.; Fang, L.Z. Thermally Induced Density Perturbations in the Inflation Era. Phys. Rev. Lett. 1995, 74, 1912. [Google Scholar] [CrossRef]
- Berera, A. Warm Inflation. Phys. Rev. Lett. 1995, 75, 3218. [Google Scholar] [CrossRef]
- Harko, T.; Sheikhahmadi, H. Irreversible thermodynamical description of warm inflationary cosmological models. Phys. Dark Universe 2020, 28, 100521. [Google Scholar] [CrossRef]
- Berera, A. The Warm Inflation Story. Universe 2023, 9, 272. [Google Scholar] [CrossRef]
- Kamali, V.; Motaharfar, M.; Ramos, R.O. Recent Developments in Warm Inflation. Universe 2023, 9, 124. [Google Scholar] [CrossRef]
- Matei, T.M.; Harko, T. Warm inflation in a Universe with a Weylian boundary. Phys. Dark Universe 2024, 46, 101578. [Google Scholar] [CrossRef]
- Nari, N.; Roshan, M. Compact stars in Energy-Momentum Squared Gravity. Phys. Rev. D 2018, 98, 024031. [Google Scholar] [CrossRef]
- Singh, K.N.; Banerjee, A.; Maurya, S.K.; Rahaman, F.; Pradhan, A. Color-flavor locked quark stars in energy–momentum squared gravity. Phys. Dark Universe 2021, 31, 100774. [Google Scholar] [CrossRef]
- Sharif, M.; Zeeshan Gul, M. Dynamics of spherical collapse in energy–momentum squared gravity. Int. J. Mod. Phys. A 2021, 36, 2150004. [Google Scholar] [CrossRef]
- Rudra, P.; Pourhassan, B. Thermodynamics of the apparent horizon in the generalized energy–momentum-squared cosmology. Phys. Dark Universe 2021, 33, 100849. [Google Scholar] [CrossRef]
- Khodadi, M.; Firouzjaee, J.T. A survey of strong cosmic censorship conjecture beyond Einstein’s gravity. Phys. Dark Universe 2022, 37, 101084. [Google Scholar] [CrossRef]
- Moraes, P.H.R.S.; Sahoo, P.K. Nonexotic matter wormholes in a trace of the energy-momentum tensor squared gravity. Phys. Rev. D 2018, 97, 024007. [Google Scholar] [CrossRef]
- Rosa, J.L.; Ganiyeva, N.; Lobo, F.S.N. Non-exotic traversable wormholes in fR,TabTab gravity. Eur. Phys. J. C 2023, 83, 1040. [Google Scholar]
- Rosa, J.L. Junction conditions in gravity theories with extra scalar degrees of freedom. Phys. Rev. D 2024, 109, 064018. [Google Scholar] [CrossRef]
- Lobo, F.S.N.; Rodrigues, M.E.; de Sousa Silva, M.V.; Simpson, A.; Visser, M. Novel black-bounce spacetimes: Wormholes, regularity, energy conditions, and causal structure. Phys. Rev. D 2021, 103, 084052. [Google Scholar] [CrossRef]
- Rodrigues, M.E.; Silva, M.V.d.S. Source of black bounces in general relativity. Phys. Rev. D 2023, 107, 044064. [Google Scholar] [CrossRef]
- Junior, J.T.S.S.; Rodrigues, M.E. Coincident f(Q) gravity: Black holes, regular black holes, and black bounces. Eur. Phys. J. C 2023, 83, 475. [Google Scholar] [CrossRef]
- Fabris, J.C.; Junior, E.L.B.; Rodrigues, M.E. Generalized models for black-bounce solutions in f(R) gravity. Eur. Phys. J. C 2023, 83, 884. [Google Scholar] [CrossRef]
- Junior, J.T.S.S.; Lobo, F.S.N.; Rodrigues, M.E. (Regular) Black holes in conformal Killing gravity coupled to nonlinear electrodynamics and scalar fields. Class. Quantum Gravity 2024, 41, 055012. [Google Scholar] [CrossRef]
- Junior, J.T.S.S.; Lobo, F.S.N.; Rodrigues, M.E. Black holes and regular black holes in coincident f(Q,BQ) gravity coupled to nonlinear electrodynamics. Eur. Phys. J. C 2024, 84, 332. [Google Scholar] [CrossRef]
- Junior, J.T.S.S.; Lobo, F.S.N.; Rodrigues, M.E. Black bounces in conformal Killing gravity. Eur. Phys. J. C 2024, 84, 557. [Google Scholar] [CrossRef]
- Morris, M.S.; Thorne, K.S. Wormholes in spacetime and their use for interstellar travel: A tool for teaching general relativity. Am. J. Phys. 1988, 56, 395. [Google Scholar] [CrossRef]
- Morris, M.S.; Thorne, K.S.; Yurtsever, U. Wormholes, Time Machines, and the Weak Energy Condition. Phys. Rev. Lett. 1988, 61, 1446–1449. [Google Scholar] [CrossRef]
- Visser, M. Lorentzian Wormholes: From Einstein to Hawking; Springer: New York, NY, USA, 1996. [Google Scholar]
- Lemos, J.P.S.; Lobo, F.S.N.; Quinet de Oliveira, S. Morris-Thorne wormholes with a cosmological constant. Phys. Rev. D 2003, 68, 064004. [Google Scholar] [CrossRef]
- Visser, M.; Kar, S.; Dadhich, N. Traversable wormholes with arbitrarily small energy condition violations. Phys. Rev. Lett. 2003, 90, 201102. [Google Scholar] [CrossRef]
- Kar, S.; Sahdev, D. Evolving Lorentzian wormholes. Phys. Rev. D 1996, 53, 722–730. [Google Scholar] [CrossRef] [PubMed]
- Hawking, S.W.; Ellis, G.F.R. The Large Scale Structure of Space-Time; Cambridge University Press: Cambridge, UK, 1973; ISBN 978-1-00-925316-1. [Google Scholar]
- Sajadi, S.N.; Riazi, N. Gravitational lensing by multi-polytropic wormholes. Can. J. Phys. 2020, 98, 1046–1054. [Google Scholar] [CrossRef]
- Agnese, A.G.; La Camera, M. Wormholes in the Brans-Dicke theory of gravitation. Phys. Rev. D 1995, 51, 2011–2013. [Google Scholar] [CrossRef]
- Nandi, K.K.; Bhattacharjee, B.; Alam, S.M.K.; Evans, J. Brans-Dicke wormholes in the Jordan and Einstein frames. Phys. Rev. D 1998, 57, 823–828. [Google Scholar] [CrossRef]
- La Camera, M. Wormhole solutions in the Randall-Sundrum scenario. Phys. Lett. B 2003, 573, 27–32. [Google Scholar] [CrossRef]
- Lobo, F.S.N. Exotic solutions in general relativity: Traversable wormholes and ‘warp drive’ spacetimes. In Classical and Quantum Gravity Research; Christiansen, M.N., Rasmussen, T.K., Eds.; Nova Science Publishers: Hauppauge, NY, USA, 2008; p. 1. [Google Scholar]
- Garattini, R.; Lobo, F.S.N. Self sustained phantom wormholes in semi-classical gravity. Class. Quantum Gravity 2007, 24, 2401–2413. [Google Scholar] [CrossRef]
- Lobo, F.S.N. General class of wormhole geometries in conformal Weyl gravity. Class. Quantum Gravity 2008, 25, 175006. [Google Scholar] [CrossRef]
- Garattini, R.; Lobo, F.S.N. Self-sustained traversable wormholes in noncommutative geometry. Phys. Lett. B 2009, 671, 146–152. [Google Scholar] [CrossRef]
- Lobo, F.S.N.; Oliveira, M.A. General class of vacuum Brans-Dicke wormholes. Phys. Rev. D 2010, 81, 067501. [Google Scholar] [CrossRef]
- Montelongo Garcia, N.; Lobo, F.S.N. Exact solutions of Brans-Dicke wormholes in the presence of matter. Mod. Phys. Lett. A 2011, 40, 3067–3076. [Google Scholar] [CrossRef]
- Garattini, R.; Lobo, F.S.N. Self-sustained wormholes in modified dispersion relations. Phys. Rev. D 2012, 85, 024043. [Google Scholar] [CrossRef]
- Myrzakulov, R.; Sebastiani, L.; Vagnozzi, S.; Zerbini, S. Static spherically symmetric solutions in mimetic gravity: Rotation curves and wormholes. Class. Quantum Gravity 2016, 33, 125005. [Google Scholar] [CrossRef]
- Lobo, F.S.N. (Ed.) Wormholes, Warp Drives and Energy Conditions; Fundamental Theories of Physics; Springer: New York, NY, USA, 2017; Volume 189. [Google Scholar]
- Lobo, F.S.N.; Oliveira, M.A. Wormhole geometries in f(R) modified theories of gravity. Phys. Rev. D 2009, 80, 104012. [Google Scholar] [CrossRef]
- Capozziello, S.; Harko, T.; Koivisto, T.S.; Lobo, F.S.N.; Olmo, G.J. Wormholes supported by hybrid metric-Palatini gravity. Phys. Rev. D 2012, 86, 127504. [Google Scholar] [CrossRef]
- Rosa, J.L.; Lemos, J.P.S.; Lobo, F.S.N. Wormholes in generalized hybrid metric-Palatini gravity obeying the matter null energy condition everywhere. Phys. Rev. D 2018, 98, 064054. [Google Scholar] [CrossRef]
- Rosa, J.L. Double gravitational layer traversable wormholes in hybrid metric-Palatini gravity. Phys. Rev. D 2021, 104, 064002. [Google Scholar] [CrossRef]
- Rosa, J.L.; Lemos, J.P.S. Junction conditions for generalized hybrid metric-Palatini gravity with applications. Phys. Rev. D 2021, 104, 124076. [Google Scholar] [CrossRef]
- Rosa, J.L.; André, R.; Lemos, J.P.S. Traversable wormholes with double layer thin shells in quadratic gravity. Gen. Relativ. Gravit. 2023, 55, 65. [Google Scholar] [CrossRef]
- Rosa, J.L.; Kull, P.M. Non-exotic traversable wormhole solutions in linear f(R,T) gravity. Eur. Phys. J. C 2022, 82, 1154. [Google Scholar] [CrossRef]
- Garcia, N.M.; Lobo, F.S.N. Wormhole geometries supported by a nonminimal curvature-matter coupling. Phys. Rev. D 2010, 82, 104018. [Google Scholar] [CrossRef]
- Montelongo Garcia, N.; Lobo, F.S.N. Nonminimal curvature-matter coupled wormholes with matter satisfying the null energy condition. Class. Quantum Gravity 2011, 28, 085018. [Google Scholar] [CrossRef]
- Harko, T.; Lobo, S.N.; Mak, M.K.; Sushkov, S.V. Modified-gravity wormholes without exotic matter. Phys. Rev. D 2013, 87, 067504. [Google Scholar] [CrossRef]
- Anchordoqui, L.A.; Perez Bergliaffa, S.E.; Torres, D.F. Brans-Dicke wormholes in nonvacuum space-time. Phys. Rev. D 1997, 55, 5226–5229. [Google Scholar] [CrossRef]
- Di Grezia, E.; Battista, E.; Manfredonia, M.; Miele, G. Spin, torsion and violation of null energy condition in traversable wormholes. Eur. Phys. J. Plus 2017, 132, 537. [Google Scholar] [CrossRef]
- Bhawal, B.; Kar, S. Lorentzian wormholes in Einstein—Gauss-Bonnet theory. Phys. Rev. D 1992, 46, 2464. [Google Scholar] [CrossRef]
- Dotti, G.; Oliva, J.; Troncoso, R. Exact solutions for the Einstein-Gauss-Bonnet theory in five dimensions: Black holes, wormholes and spacetime horns. Phys. Rev. D 2007, 76, 064038. [Google Scholar] [CrossRef]
- Mehdizadeh, M.R.; Kord Zangeneh, M.; Lobo, F.S.N. Einstein-Gauss-Bonnet traversable wormholes satisfying the weak energy condition. Phys. Rev. D 2015, 91, 084004. [Google Scholar] [CrossRef]
- Bronnikov, K.A.; Kim, S.W. Possible wormholes in a brane world. Phys. Rev. D 2003, 67, 064027. [Google Scholar] [CrossRef]
- Lobo, F.S.N. A General class of braneworld wormholes. Phys. Rev. D 2007, 75, 064027. [Google Scholar] [CrossRef]
- Israel, W. Singular hypersurfaces and thin shells in general relativity. Nuovo Cimento B 1966, 44, 1–14. [Google Scholar] [CrossRef]
- Visser, M. Traversable wormholes: Some simple examples. Phys. Rev. D 1989, 39, 3182. [Google Scholar] [CrossRef] [PubMed]
- Visser, M. Traversable wormholes from surgically modified Schwarzschild spacetimes. Nucl. Phys. B 1989, 328, 203. [Google Scholar] [CrossRef]
- Lobo, F.S.N. Energy conditions, traversable wormholes and dust shells. Gen. Relativ. Gravit. 2005, 37, 2023–2038. [Google Scholar] [CrossRef]
- Lobo, F.S.N. Surface stresses on a thin shell surrounding a traversable wormhole. Gen. Relativ. Gravit. 2004, 21, 4811–4832. [Google Scholar] [CrossRef]
- Lobo, F.S.N. Phantom energy traversable wormholes. Phys. Rev. D 2005, 71, 084011. [Google Scholar] [CrossRef]
- Lobo, F.S.N. Stability of phantom wormholes. Phys. Rev. D 2005, 71, 124022. [Google Scholar] [CrossRef]
- Schwarzschild, K. Über das Gravitationsfeld Einer Kugel aus Inkompressibler Flüssigkeit Nach der Einsteinschen Theorie; Sitzungsberichte der Königlich-Preussischen Akademie der Wissenschaften Berlin: Berlin, Germany, 1916; pp. 424–434. [Google Scholar]
- Rosa, J.L.; Piçarra, P. Existence and stability of relativistic fluid spheres supported by thin-shells. Phys. Rev. D 2020, 102, 6. [Google Scholar] [CrossRef]
- Rosa, J.L. Observational properties of relativistic fluid spheres with thin accretion disks. arXiv 2023, arXiv:2302.11915. [Google Scholar] [CrossRef]
- Oppenheimer, J.R.; Snyder, H. On Continued Gravitational Contraction. Phys. Rev. 1939, 56, 455. [Google Scholar] [CrossRef]
- Rosa, J.L.; Carloni, S. Junction conditions for general LRS spacetimes in the 1+1+2 covariant formalism. arXiv 2023, arXiv:2303.12457. [Google Scholar]
- Senovilla, J.M.M. Junction conditions for F(R)-gravity and their consequences. Phys. Rev. D 2013, 88, 064015. [Google Scholar] [CrossRef]
- Vignolo, S.; Cianci, R.; Carloni, S. On the junction conditions in f(R)-gravity with torsion. Class. Quantum Gravity 2018, 35, 095014. [Google Scholar] [CrossRef]
- Reina, B.; Senovilla, J.M.M.; Vera, R. Junction conditions in quadratic gravity: Thin shells and double layers. Class. Quantum Gravity 2016, 33, 105008. [Google Scholar] [CrossRef]
- Deruelle, N.; Sasaki, M.; Sendouda, Y. Junction conditions in f(R) theories of gravity. Prog. Theor. Exp. Phys. 2008, 119, 237–251. [Google Scholar] [CrossRef]
- Olmo, G.J.; Rubiera-Garcia, D. Junction conditions in Palatini f(R) gravity. Class. Quantum Gravity 2020, 37, 215002. [Google Scholar] [CrossRef]
- Rosa, J.L. Junction conditions and thin shells in perfect-fluid f(R,T) gravity. Phys. Rev. D 2021, 103, 104069. [Google Scholar] [CrossRef]
- Rosa, J.L.; Rubiera-Garcia, D. Junction conditions of Palatini f(R,T) gravity. Phys. Rev. D 2022, 106, 064007. [Google Scholar] [CrossRef]
- Suffern, K.G. Singular hypersurfaces in the Brans-Dicke theory of gravity. J. Phys. A Math. Gen. 1982, 15, 1599. [Google Scholar] [CrossRef]
- Barrabes, C.; Bressange, G.F. Singular hypersurfaces in scalar—Tensor theories of gravity. Class. Quantum Gravity 1997, 14, 805–824. [Google Scholar] [CrossRef]
- Padilla, A.; Sivanesan, V. Boundary Terms and Junction Conditions for Generalized Scalar-Tensor Theories. J. High Energy Phys. 2012, 08, 122. [Google Scholar] [CrossRef]
- Casado-Turrión, A.; de la Cruz-Dombriz, Á.; Jiménez-Cano, A.; Maldonado Torralba, F.J. Junction conditions in bi-scalar Poincaré gauge gravity. J. Cosmol. Astropart. Phys. 2023, 07, 023. [Google Scholar] [CrossRef]
- de la Cruz-Dombriz, Á.; Dunsby, P.K.S.; Saez-Gomez, D. Junction conditions in extended Teleparallel gravities. J. Cosmol. Astropart. Phys. 2014, 12, 048. [Google Scholar] [CrossRef]
- Arkuszewski, W.; Kopczynski, W.; Ponomarev, V.N. Matching Conditions in the Einstein-Cartan Theory of Gravitation. Commun. Math. Phys. 1975, 45, 183–190. [Google Scholar] [CrossRef]
- Macias, A.; Lammerzahl, C.; Pimentel, L.O. Matching conditions in metric affine gravity. Phys. Rev. D 2002, 66, 104013. [Google Scholar] [CrossRef]
- Schwarzschild, K. On the gravitational field of a mass point according to Einstein’s theory. Sitzungsber. Preuss. Akad. Wiss. Berlin Math. Phys. 1916, 1916, 189–196. [Google Scholar]
- Hartle, J.B. Slowly rotating relativistic stars. 1. Equations of structure. Astrophys. J. 1967, 150, 1005–1029. [Google Scholar] [CrossRef]
- Hartle, J.B.; Thorne, K.S. Slowly Rotating Relativistic Stars. II. Models for Neutron Stars and Supermassive Stars. Astrophys. J. 1968, 153, 807. [Google Scholar] [CrossRef]
- Komar, A. Covariant conservation laws in general relativity. Phys. Rev. 1959, 113, 934–936. [Google Scholar] [CrossRef]
- Wald, R.M. General Relativity; The University of Chicago Press: Chicago, IL, USA, 1984. [Google Scholar]
- Arnowitt, R.L.; Deser, S.; Misner, C.W. The Dynamics of general relativity. Gen. Relativ. Gravit. 2008, 40, 1997–2027. [Google Scholar] [CrossRef]
- Misner, C.W.; Thorne, K.S.; Wheeler, J.A. Gravitation; W. H. Freeman: New York, NY, USA, 1973; ISBN 978–0-7167-0344-0;978-0-691-17779-3. [Google Scholar]
- Bondi, H.; van der Burg, M.G.J.; Metzner, A.W.K. Gravitational waves in general relativity. 7. Waves from axisymmetric isolated systems. Proc. R. Soc. Lond. A 1962, 269, 21–52. [Google Scholar]
- Sachs, R.K. Gravitational waves in general relativity. 8. Waves in asymptotically flat space-times. Proc. R. Soc. Lond. A 1962, 270, 103–126. [Google Scholar]




Disclaimer/Publisher’s Note: The statements, opinions and data contained in all publications are solely those of the individual author(s) and contributor(s) and not of MDPI and/or the editor(s). MDPI and/or the editor(s) disclaim responsibility for any injury to people or property resulting from any ideas, methods, instructions or products referred to in the content. |
© 2024 by the authors. Licensee MDPI, Basel, Switzerland. This article is an open access article distributed under the terms and conditions of the Creative Commons Attribution (CC BY) license (https://creativecommons.org/licenses/by/4.0/).
Share and Cite
Cipriano, R.A.C.; Ganiyeva, N.; Harko, T.; Lobo, F.S.N.; Pinto, M.A.S.; Rosa, J.L. Energy-Momentum Squared Gravity: A Brief Overview. Universe 2024, 10, 339. https://doi.org/10.3390/universe10090339
Cipriano RAC, Ganiyeva N, Harko T, Lobo FSN, Pinto MAS, Rosa JL. Energy-Momentum Squared Gravity: A Brief Overview. Universe. 2024; 10(9):339. https://doi.org/10.3390/universe10090339
Chicago/Turabian StyleCipriano, Ricardo A. C., Nailya Ganiyeva, Tiberiu Harko, Francisco S. N. Lobo, Miguel A. S. Pinto, and João Luís Rosa. 2024. "Energy-Momentum Squared Gravity: A Brief Overview" Universe 10, no. 9: 339. https://doi.org/10.3390/universe10090339
APA StyleCipriano, R. A. C., Ganiyeva, N., Harko, T., Lobo, F. S. N., Pinto, M. A. S., & Rosa, J. L. (2024). Energy-Momentum Squared Gravity: A Brief Overview. Universe, 10(9), 339. https://doi.org/10.3390/universe10090339

