Exploring the Fundamental Mechanism in Driving Highest-Velocity Ionized Outflows in Radio AGNs
Abstract
1. Introduction
2. Sample Construction
- Being spectroscopically classified as “GALAXY” or “QSO” by the SDSS DR15.
- Having a secure redshift of (ZWARNING = 0, indicating a confident spectroscopic classification). Galaxies at are usually very extended, resulting in a lack of a reliable optical position. On the other hand, at higher redshifts of the quality of the SDSS spectrum is usually low.
- Having a median signal-to-noise ratio (S/N) ≥ 10.
- Having four emission lines, H, H, [O iii] and [N II], whose intensities are at least 2 times larger than their corresponding measured errors.
2.1. Cross-Correlation: SDSS-FIRST
2.2. Cross-Correlation: SDSS-FIRST-X-ray Surveys
2.3. Exclusion of Star-Forming Galaxies
- -
- We find that 28 targets are identified as quasars in the SDSS DR14 quasar catalogue (DR14Q [29]).
- -
- -
3. Data Analyses
3.1. Detection of Ionized Outflows
3.2. X-ray Data Reduction and Spectral Fitting
3.3. Other Parameters
4. Results and Discussion
4.1. Ionized Outflows and X-ray Properties
- Radio Luminous (RL) AGNs: W Hz−1
- Non Radio Luminous (NRL) AGNs: W Hz−1
4.2. Ionized Outflows and Radio Properties
- X-ray Luminous (XL) AGNs: erg s−1
- Non X-ray Luminous (NXL) AGNs: erg s−1
4.3. Ionized Outflows and Eddington Ratios
5. Conclusions
- Approximately 63% (220/348) of our targets exhibit a non-galactic broad component in their [O iii] profile as an indicative of ionized outflows. It suggests the high prevalence of ionized outflows in radio AGNs.
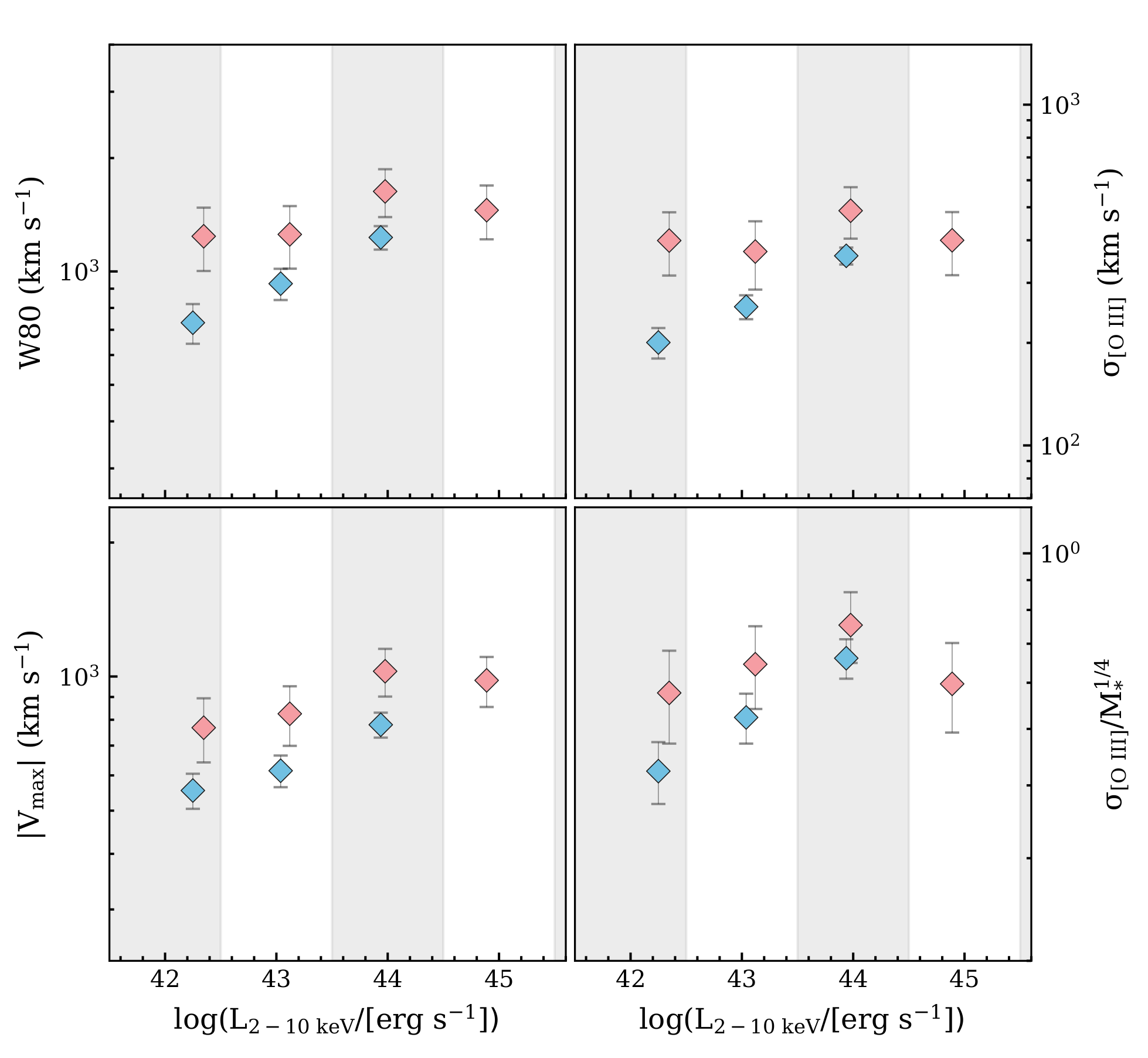
- The non-parametric outflow velocities (i.e., velocity width, the maximal velocity of outflow and line dispersion) have positive correlations with both X-ray and radio luminosity. Moreover, the [O iii] velocity dispersion normalized by the stellar mass also correlates with both X-ray and radio luminosity.
- For a given X-ray luminosity, we find that the radio-luminous sample has a higher outflow velocity in comparison with the non-radio luminous sample. Similarly, for a given radio luminosity we find that X-ray luminous AGNs have slightly higher outflow velocities than non-X-ray luminous AGNs. We find no clear preference between X-ray luminosity and radio luminosity in driving high-velocity ionized outflows.
- We find no evidence that obscured AGNs host more powerful outflows in comparison to unobscured AGNs.
- Based on our estimation of black hole mass using FWHM(H) and continuum luminosity at 5100 Å, we find that the Eddington ratio of our sample covers the interval of log with a median of −1.58. It may imply that our sample is composed of the low-to-moderately accreting sources. When we explore the dependency of outflow velocity on Eddington ratio, we find that outflow velocity increases with Eddington ratio when log, and when the Eddington ratio becomes larger, outflow velocity decreases. This critical value is in agreement with previous studies that suggested when the Eddington ratio reaches high values (log), most of the circumnuclear material has been pushed away and outflows cannot be accelerated effectively. However, these results may be further tested using more complete samples because our sample does not have many super-Eddington accreting sources.
Author Contributions
Funding
Institutional Review Board Statement
Informed Consent Statement
Data Availability Statement
Acknowledgments
Conflicts of Interest
References
- Kormendy, J.; Ho, L.C. Coevolution (Or Not) of Supermassive Black Holes and Host Galaxies. Annu. Rev. Astron. Astrophys. 2013, 51, 511–653. [Google Scholar] [CrossRef]
- Son, S.; Kim, M.; Barth, A.J.; Ho, L.C. Relation between Black Hole Mass and Bulge Luminosity in Hard X-ray selected Type 1 AGNs. JKAS 2022, 55, 37–57. [Google Scholar] [CrossRef]
- Gültekin, K.; Richstone, D.O.; Gebhardt, K.; Lauer, T.R.; Tremaine, S.; Aller, M.C.; Bender, R.; Dressler, A.; Faber, S.M.; Filippenko, A.V.; et al. The M-σ and M-L Relations in Galactic Bulges, and Determinations of Their Intrinsic Scatter. Astrophys. J. 2009, 698, 198. [Google Scholar] [CrossRef]
- Woo, J.-H.; Schulze, A.; Park, D.; Kang, W.R.; Kim, S.C.; Riechers, D.A. Do Quiescent and Active Galaxies Have Different MBH-σ* Relations? Astrophys. J. 2013, 772, 49. [Google Scholar] [CrossRef]
- Gaspari, M.; Tombesi, F.; Cappi, M. Linking Macro-, Meso- and Microscales in Multiphase AGN Feeding and Feedback. Nat. Astron. 2020, 4, 10–13. [Google Scholar] [CrossRef]
- Woo, J.-H.; Son, D.; Bae, H.-J. Delayed or No Feedback? Gas Outflows in Type 2 AGNs. III. Astrophys. J. 2017, 839, 120. [Google Scholar] [CrossRef]
- Woo, J.-H.; Son, D.; Rakshit, S. The Correlation of Outflow Kinematics with Star Formation Rate. VI. Gas Outflows in AGNs. Astrophys. J. 2020, 901, 66. [Google Scholar] [CrossRef]
- Harrison, C.M. Impact of Supermassive Black Hole Growth on Star Formation. Nat. Astron. 2017, 1, 0165. [Google Scholar] [CrossRef]
- Fabian, A.C. Observational Evidence of AGN Feedback. Annu. Rev. Astron. Astrophys. 2012, 50, 455–489. [Google Scholar] [CrossRef]
- Shangguan, J.; Ho, L.C.; Xie, Y. On the Gas Content and Efficiency of AGN Feedback in Low-redshift Quasars. Astrophys. J. 2018, 854, 158. [Google Scholar] [CrossRef]
- Feruglio, C.; Fiore, F.; Carniani, S.; Piconcelli, E.; Zappacosta, L.; Bongiorno, A.; Cicone, C.; Maiolino, R.; Marconi, A.; Menci, N.; et al. The Multi-phase Winds of Markarian 231: From the Hot, Nuclear, Ultra-fast Wind to the Galaxy-scale, Molecular Outflow. Astron. Astrophys. 2015, 583, A99. [Google Scholar] [CrossRef]
- Chen, Z.; He, Z.; Ho, L.C.; Gu, Q.; Wang, T.; Zhuang, M.; Liu, G.; Wang, Z. Evidence for the connection between star formation rate and the evolutionary phases of quasars. Nat. Astron. 2022, 6, 339–343. [Google Scholar] [CrossRef]
- Cresci, G.; Marconi, A.; Zibetti, S.; Risaliti, G.; Carniani, S.; Mannucci, F.; Gallazzi, A.; Maiolino, R.; Balmaverde, B.; Brusa, M. The MAGNUM Survey: Positive Feedback in the Nuclear Region of NGC 5643 Suggested by MUSE. Astron. Astrophys. 2015, 582, A63. [Google Scholar] [CrossRef]
- Shin, J.; Woo, J.-H.; Chung, A.; Baek, J.; Cho, K.; Kang, D.; Bae, H.-J. Positive and Negative Feedback of AGN Outflows in NGC 5728. Astrophys. J. 2019, 881, 147. [Google Scholar] [CrossRef]
- Maiolino, R.; Russell, H.R.; Fabian, A.C.; Carniani, S.; Gallagher, R.; Cazzoli, S.; Arribas, S.; Belfiore, F.; Bellocchi, E.; Colina, L. Star Formation Inside a Galactic Outflow. Nature 2017, 544, 202–206. [Google Scholar] [CrossRef]
- Bessiere, P.S.; Ramos Almeida, C. Spatially resolved evidence of the impact of quasar-driven outflows on recent star formation: The case of Mrk 34. Mon. Not. R. Astron. Soc. 2022, 512, L54–L59. [Google Scholar] [CrossRef]
- Wylezalek, D.; Morganti, R. Questions and Challenges of What Powers Galactic Outflows in Active Galactic Nuclei. Nat. Astron. 2018, 2, 181–182. [Google Scholar] [CrossRef]
- Zakamska, N.L.; Lampayan, K.; Petric, A.; Dicken, D.; Greene, J.E.; Heckman, T.M.; Hickox, R.C.; Ho, L.C.; Krolik, J.H.; Nesvadba, N.P.H.; et al. Star Formation in Quasar Hosts and the Origin of Radio Emission in Radio-Quiet Quasars. Mon. Not. R. Astron. Soc. 2016, 455, 4191–4211. [Google Scholar] [CrossRef]
- Jarvis, M.E.; Harrison, C.M.; Thomson, A.P.; Circosta, C.; Mainieri, V.; Alexander, D.M.; Edge, A.C.; Lansbury, G.B.; Molyneux, S.J.; Mullaney, J.R. Prevalence of Radio Jets Associated with Galactic Outflows and Feedback from Quasars. Mon. Not. R. Astron. Soc. 2019, 485, 2710–2730. [Google Scholar] [CrossRef]
- Singha, M.; O’Dea, C.P.; Gordon, Y.A.; Lawlor-Forsyth, C.; Baum, S.A. Ionized Gas Outflows in Low-excitation Radio Galaxies Are Radiation Driven. Astrophys. J. 2021, 918, 65. [Google Scholar] [CrossRef]
- Mullaney, J.R.; Alexander, D.M.; Fine, S.; Goulding, A.D.; Harrison, C.M.; Hickox, R.C. Narrow-line Region Gas Kinematics of 24 264 Optically Selected AGN: The Radio Connection. Mon. Not. R. Astron. Soc. 2013, 433, 622–638. [Google Scholar] [CrossRef]
- Venturi, G.; Cresci, G.; Marconi, A.; Mingozzi, M.; Nardini, E.; Carniani, S.; Mannucci, F.; Marasco, A.; Maiolino, R.; Perna, M. MAGNUM survey: Compact Jets Causing Large Turmoil in Galaxies. Enhanced Line Widths Perpendicular to Radio Jets as Tracers of Jet-ISM Interaction. Astron. Astrophys. 2021, 648, A17. [Google Scholar] [CrossRef]
- Woo, J.-H.; Bae, H.-J.; Son, D.; Karouzos, M. The Prevalence of Gas Outflows in Type 2 AGNs. Astrophys. J. 2016, 817, 108. [Google Scholar] [CrossRef]
- Rakshit, S.; Woo, J.-H. A Census of Ionized Gas Outflows in Type 1 AGNs: Gas Outflows in AGNs. V. Astrophys. J. 2018, 865, 5. [Google Scholar] [CrossRef]
- Harrison, C.M.; Alexander, D.M.; Mullaney, J.R.; Stott, J.P.; Swinbank, A.M.; Arumugam, V.; Bauer, F.E.; Bower, R.G.; Bunker, A.J.; Sharples, R.M. The KMOS AGN Survey at High Redshift (KASHz): The Prevalence and Drivers of Ionized Outflows in the Host Galaxies of X-ray AGN. Mon. Not. R. Astron. Soc. 2016, 456, 1195–1220. [Google Scholar] [CrossRef]
- Aguado, D.S.; Ahumada, R.; Almeida, A.; Anderson, S.F.; Andrews, B.H.; Anguiano, B.; Aquino, O.E.; Aragón-Salamanca, A.; Argudo-Fernández, M.; Aubert, M.; et al. The Fifteenth Data Release of the Sloan Digital Sky Surveys: First Release of MaNGA-derived Quantities, Data Visualization Tools, and Stellar Library. Astrophys. J. Suppl. Ser. 2019, 240, 23. [Google Scholar] [CrossRef]
- Schlafly, E.F.; Finkbeiner, D.P. Measuring Reddening with Sloan Digital Sky Survey Stellar Spectra and Recalibrating SFD. Astrophys. J. 2011, 737, 103. [Google Scholar] [CrossRef]
- Fitzpatrick, E.L. Correcting for the Effects of Interstellar Extinction. Publ. Astron. Soc. Pac 1999, 111, 63. [Google Scholar] [CrossRef]
- Pâris, I.; Petitjean, P.; Aubourg, É.; Myers, A.D.; Streblyanska, A.; Lyke, B.W.; Anderson, S.F.; Armengaud, É.; Bautista, J.; Blanton, M.R.; et al. The Sloan Digital Sky Survey Quasar Catalog: Fourteenth Data Release. Astron. Astrophys. 2018, 613, A51. [Google Scholar] [CrossRef]
- Best, P.N.; Heckman, T.M. On the fundamental dichotomy in the local radio-AGN population: Accretion, evolution, and host galaxy properties. Mon. Not. R. Astron. Soc. 2012, 421, 1569–1582. [Google Scholar] [CrossRef]
- Li, Z.-Y.; Wu, X.-B.; Wang, R. The Black Hole Fundamental Plane: Revisited with a Larger Sample of Radio and X-ray-Emitting Broad-Line AGNs. Astrophys. J. 2008, 688, 826. [Google Scholar] [CrossRef]
- Becker, R.H.; White, R.L.; Helfand, D.J. The FIRST Survey: Faint Images of the Radio Sky at Twenty Centimeters. Astrophys. J. 1995, 450, 559. [Google Scholar] [CrossRef]
- Banfield, J.K.; Wong, O.I.; Willett, K.W.; Norris, R.P.; Rudnick, L.; Shabala, S.S.; Simmons, B.D.; Snyder, C.; Garon, A.; Seymour, N. Radio Galaxy Zoo: Host Galaxies and Radio Morphologies Derived From Visual Inspection. Mon. Not. R. Astron. Soc. 2015, 453, 2326–2340. [Google Scholar] [CrossRef]
- Zhu, S.F.; Brandt, W.N.; Luo, B.; Wu, J.; Xue, Y.Q.; Yang, Y. The LX–Luv–Lradio Relation and Corona–Disc–Jet Connection in Optically Selected Radio-Loud Quasars. Mon. Not. R. Astron. Soc. 2020, 496, 245–268. [Google Scholar] [CrossRef]
- Rosen, S.R.; Webb, N.A.; Watson, M.G.; Ballet, J.; Barret, D.; Braito, V.; Carrera, F.J.; Ceballos, M.T.; Coriat, M.; Della Ceca, R.; et al. The XMM-Newton Serendipitous Survey. VII. The Third XMM-Newton Serendipitous Source Catalogue. Astrophys. J. 2016, 590, A1. [Google Scholar] [CrossRef]
- D’Elia, V.; Perri, M.; Puccetti, S.; Capalbi, M.; Giommi, P.; Burrows, D.N.; Campana, S.; Tagliaferri, G.; Cusumano, G.; Evans, P.; et al. The Seven Year Swift-XRT Point Source Catalog (1SWXRT). Astron. Astrophys. 2013, 551, A142. [Google Scholar] [CrossRef]
- Trichas, M.; Green, P.J.; Constantin, A.; Aldcroft, T.; Kalfountzou, E.; Sobolewska, M.; Hyde, A.K.; Zhou, H.; Kim, D.W.; Haggard, D.; et al. Empirical Links Between XRB and AGN Accretion Using the Complete z < 0.4 Spectroscopic CSC/SDSS Catalog. Astrophys. J. 2013, 778, 188. [Google Scholar] [CrossRef]
- Baldwin, J.A.; Phillips, M.M.; Terlevich, R. Classification Parameters for the Emission-Line Spectra of Extragalactic Objects. Publ. Astron. Soc. Pac 1981, 93, 5. [Google Scholar] [CrossRef]
- Kauffmann, G.; Heckman, T.M.; Tremonti, C.; Brinchmann, J.; Charlot, S.; White, S.D.M.; Ridgway, S.E.; Brinkmann, J.; Fukugita, M.; Hall, P.B. The Host Galaxies of Active Galactic Nuclei. Mon. Not. R. Astron. Soc. 2003, 346, 1055–1077. [Google Scholar] [CrossRef]
- Panessa, F.; Baldi, R.D.; Laor, A.; Padovani, P.; Behar, E.; McHardy, I. The Origin of Radio Emission from Radio-Quiet Active Galactic Nuclei. Nat. Astron. 2019, 3, 387–396. [Google Scholar] [CrossRef]
- Anderson, S.F.; Margon, B.; Voges, W.; Plotkin, R.M.; Syphers, D.; Haggard, D.; Collinge, M.J.; Meyer, J.; Strauss, M.A.; Agüeros, M.A.; et al. A Large, Uniform Sample of X-ray-emitting Active Galactic Nuclei from the ROSAT All Sky and Sloan Digital Sky Surveys: The Data Release 5 Sample. Astron. J. 2007, 133, 313. [Google Scholar] [CrossRef]
- Sun, J.; Shen, Y. Dissecting the Quasar Main Sequence: Insight From Host Galaxy Properties. Astrophys. J. Lett. 2015, 804, L15. [Google Scholar] [CrossRef]
- Véron-Cetty, M.P.; Véron, P. A catalogue of quasars and active nuclei: 13th edition. Astrophys. J. 2010, 518, A10. [Google Scholar] [CrossRef]
- Monroe, T.R.; Prochaska, J.X.; Tejos, N.; Worseck, G.; Hennawi, J.F.; Schmidt, T.; Tumlinson, J.; Shen, Y. The UV-bright Quasar Survey (UVQS): DR1. Astron. J. 2016, 152, 25. [Google Scholar] [CrossRef]
- Schawinski, K.; Thomas, D.; Sarzi, M.; Maraston, C.; Kaviraj, S.; Joo, S.J.; Yi, S.K.; Silk, J. Observational Evidence for AGN Feedback in Early-Type Galaxies. Mon. Not. R. Astron. Soc. 2007, 382, 1415–1431. [Google Scholar] [CrossRef]
- Sexton, R.O.; Matzko, W.; Darden, N.; Canalizo, G.; Gorjian, V. Bayesian AGN Decomposition Analysis for SDSS spectra: A Correlation Analysis of [O III] λ 5007 Outflow Kinematics with AGN and Host Galaxy Properties. Mon. Not. R. Astron. Soc. 2020, 500, 2871–2895. [Google Scholar] [CrossRef]
- Harrison, C.M.; Alexander, D.M.; Mullaney, J.R.; Swinbank, A.M. Kiloparsec-Scale Outflows Are Prevalent Among Luminous AGN: Outflows and Feedback in the Context of the Overall AGN Population. Mon. Not. R. Astron. Soc. 2014, 441, 3306–3347. [Google Scholar] [CrossRef]
- Molyneux, S.J.; Harrison, C.M.; Jarvis, M.E. Extreme Ionised Outflows Are More Common When the Radio Emission Is Compact in AGN Host Galaxies. Astron. Astrophys. 2019, 631, A132. [Google Scholar] [CrossRef]
- Evans, P.A.; Page, K.L.; Osborne, J.P.; Beardmore, A.P.; Willingale, R.; Burrows, D.N.; Kennea, J.K.; Perri, M.; Capalbi, M.; Tagliaferri, G.; et al. 2SXPS: An Improved and Expanded Swift X-ray Telescope Point-source Catalog. Astrophys. J. Suppl. Ser. 2020, 247, 54. [Google Scholar] [CrossRef]
- Cash, W. Parameter Estimation in Astronomy Through Application of the Likelihood Ratio. Astron. J. 1979, 228, 939–947. [Google Scholar] [CrossRef]
- Arnaud, K.A. XSPEC: The First Ten Years. In Astronomical Data Analysis Software and Systems V; Astronomical Society of the Pacific Conference Series; Jacoby, G.H., Barnes, J., Eds.; NASA/GSFC: Greenbelt, MD, USA, 1996; Volume 101, p. 17. [Google Scholar]
- HI4PI Collaboration; Ben Bekhti, N.; Flöer, L.; Keller, R.; Kerp, J.; Lenz, D.; Winkel, B.; Bailin, J.; Calabretta, M.R.; Dedes, L.; et al. HI4PI: A full-sky H I Survey Based on EBHIS and GASS. Astron. Astrophys. 2016, 594, A116. [Google Scholar] [CrossRef]
- Woo, J.-H.; Yoon, Y.; Park, S.; Park, D.; Kim, S.C. The Black Hole Mass-Stellar Velocity Dispersion Relation of Narrow-line Seyfert 1 Galaxies. Astron. J. 2015, 801, 38. [Google Scholar] [CrossRef]
- Kaspi, S.; Smith, P.S.; Netzer, H.; Maoz, D.; Jannuzi, B.T.; Giveon, U. Reverberation Measurements for 17 Quasars and the Size-Mass-Luminosity Relations in Active Galactic Nuclei. Astron. J. 2000, 533, 631. [Google Scholar] [CrossRef]
- Heckman, T.M.; Best, P.N. The Co-Evolution of Galaxies and Supermassive Black Holes: Insights from Surveys of the Contemporary Universe. Annu. Rev. Astron. Astrophys. 2014, 52, 589–660. [Google Scholar] [CrossRef]
- Duras, F.; Bongiorno, A.; Ricci, F.; Piconcelli, E.; Shankar, F.; Lusso, E.; Bianchi, S.; Fiore, F.; Maiolino, R.; Marconi, A.; et al. Universal bolometric corrections for active galactic nuclei over seven luminosity decades. Astron. Astrophys. 2020, 636, A73. [Google Scholar] [CrossRef]
- Virtanen, P.; Gommers, R.; Oliphant, T.E.; Haberland, M.; Reddy, T.; Cournapeau, D.; Burovski, E.; Peterson, P.; Weckesser, W.; Bright, J.; et al. SciPy 10–Fundamental Algorithms for Scientific Computing in Python. NatMe 2020, 17, 261–272. [Google Scholar] [CrossRef]
- Ueda, Y.; Hashimoto, Y.; Ichikawa, K.; Ishino, Y.; Kniazev, A.Y.; Väisänen, P.; Ricci, C.; Berney, S.; Gandhi, P.; Koss, M. [O III] λ5007 and X-ray Properties of a Complete Sample of Hard X-RAY Selected AGNs in The Local Universe. Astron. J. 2015, 815, 1. [Google Scholar] [CrossRef]
- Berney, S.; Koss, M.; Trakhtenbrot, B.; Ricci, C.; Lamperti, I.; Schawinski, K.; Baloković, M.; Crenshaw, D.M.; Fischer, T.; Gehrels, N.; et al. BAT AGN spectroscopic survey-II. X-ray emission and high-ionization optical emission lines. Mon. Not. R. Astron. Soc. 2015, 454, 3622–3634. [Google Scholar] [CrossRef]
- Perna, M.; Lanzuisi, G.; Brusa, M.; Mignoli, M.; Cresci, G. An X-ray/SDSS sample. I. Multi-phase outflow incidence and dependence on AGN luminosity. Astron. Astrophys. 2017, 603, A99. [Google Scholar] [CrossRef]
- Ballo, L.; Heras, F.J.H.; Barcons, X.; Carrera, F.J. Exploring X-ray and Radio Emission of Type 1 AGN Up to z∼ 2.3. Astron. Astrophys. 2012, 545, A66. [Google Scholar] [CrossRef]
- Liao, M.; Gu, M.; Zhou, M.; Chen, L. The X-ray emission in young radio active galactic nuclei. Mon. Not. R. Astron. Soc. 2020, 497, 482–497. [Google Scholar] [CrossRef]
- Chang, N.; Xie, F.G.; Liu, X.; Ho, L.C.; Dong, A.-J.; Han, Z.H.; Wang, X. Possible evidence of a universal radio/X-ray correlation in a near-complete sample of hard X-ray selected seyfert galaxies. Mon. Not. R. Astron. Soc. 2021, 503, 1987–1998. [Google Scholar] [CrossRef]
- Karouzos, M.; Woo, J.-H.; Bae, H.-J. Unraveling the Complex Structure of AGN-driven Outflows. I. Kinematics and Sizes. Astron. J. 2016, 819, 148. [Google Scholar] [CrossRef]
- Luo, R.; Woo, J.-H.; Karouzos, M.; Bae, H.-J.; Shin, J.; McConnell, N.; Shih, H.-Y.; Yoo, J.K.; Park, S. Unraveling the Complex Structure of AGN-driven Outflows. V. Integral-field Spectroscopy of 40 Moderate-luminosity Type-2 AGNs. Astron. J. 2021, 908, 221. [Google Scholar] [CrossRef]
- Abazajian, K.N.; Adelman-McCarthy, J.K.; Agüeros, M.A.; Allam, S.S.; Allende Prieto, C.; An, D.; Anderson, K.S.J.; Anderson, S.F.; Annis, J.; Bahcall, N.A. The Seventh Data Release of the Sloan Digital Sky Survey. Astrophys. J. Suppl. Ser. 2009, 182, 543. [Google Scholar] [CrossRef]
- Hopkins, P.F.; Hernquist, L.; Cox, T.J.; Keres, D. A Cosmological Framework for the Co-Evolution of Quasars, Supermassive Black Holes, and Elliptical Galaxies. I. Galaxy Mergers and Quasar Activity. Astrophys. J. Suppl. Ser. 2008, 175, 356. [Google Scholar] [CrossRef]
- Rojas, A.F.; Sani, E.; Gavignaud, I.; Ricci, C.; Lamperti, I.; Koss, M.; Trakhtenbrot, B.; Schawinski, K.; Oh, K.; Bauer, F.E. BAT AGN Spectroscopic Survey—XIX. Type 1 Versus Type 2 AGN Dichotomy From the Point of View of Ionized Outflows. Mon. Not. R. Astron. Soc. 2020, 491, 5867–5880. [Google Scholar] [CrossRef]
- Couto, G.S.; Storchi-Bergmann, T.; Siemiginowska, A.; Riffel, R.A.; Morganti, R. Powerful ionized gas outflows in the interacting radio galaxy 4C+29.30. Mon. Not. R. Astron. Soc. 2020, 497, 5103–5117. [Google Scholar] [CrossRef]
- Girdhar, A.; Harrison, C.M.; Mainieri, V.; Bittner, A.; Costa, T.; Kharb, P.; Mukherjee, D.; Arrigoni Battaia, F.; Alexander, D.M.; Calistro Rivera, G.; et al. Quasar feedback survey: Multiphase outflows, turbulence, and evidence for feedback caused by low power radio jets inclined into the galaxy disc. Mon. Not. R. Astron. Soc. 2022, 512, 1608–1628. [Google Scholar] [CrossRef]
- Le, H.A.N.; Woo, J.-H.; Son, D.; Karouzos, M.; Chung, A.; Jung, T.; Tremou, E.; Hwang, N.; Park, B. Ionized-gas Kinematics Along the Large-scale Radio Jets in Type-2 AGNs. Astrophys. J. 2017, 851, 8. [Google Scholar] [CrossRef]
- Mukherjee, D.; Bicknell, G.V.; Wagner, A.Y. Resolved simulations of jet–ISM interaction: Implications for gas dynamics and star formation. Astron. Nachrichten 2021, 342, 1140–1145. [Google Scholar] [CrossRef]
- Burlon, D.; Ajello, M.; Greiner, J.; Comastri, A.; Merloni, A.; Gehrels, N. Three-year Swift-BAT Survey of Active Galactic Nuclei: Reconciling Theory and Observations? Astron. J. 2011, 728, 58. [Google Scholar] [CrossRef]
- Ueda, Y.; Hiroi, K.; Isobe, N.; Hayashida, M.; Eguchi, S.; Sugizaki, M.; Kawai, N.; Tsunemi, H.; Mihara, T.; Matsuoka, M.; et al. Revisit of Local X-ray Luminosity Function of Active Galactic Nuclei with the MAXI Extragalactic Survey. Publ. Astron. Soc. Jpn. 2011, 63, S937–S945. [Google Scholar] [CrossRef]
- Holt, J.; Tadhunter, C.N.; Morganti, R. Fast outflows in compact radio sources: Evidence for AGN-induced feedback in the early stages of radio source evolution. Mon. Not. R. Astron. Soc. 2008, 387, 639–659. [Google Scholar] [CrossRef]
- Alhassan, W.; Taylor, A.R.; Vaccari, M. The FIRST Classifier: Compact and Extended Radio Galaxy Classification using Deep Convolutional Neural Networks. Mon. Not. R. Astron. Soc. 2018, 480, 2085–2093. [Google Scholar] [CrossRef]
- Greene, J.E.; Zakamska, N.L.; Ho, L.C.; Barth, A.J. Feedback in Luminous Obscured Quasars. Astron. J. 2011, 732, 9. [Google Scholar] [CrossRef]
- Fischer, T.C.; Crenshaw, D.M.; Kraemer, S.B.; Schmitt, H.R. Determining Inclinations of Active Galactic Nuclei Via Their Narrow-Line Region Kinematics - I. Observational Results. Astrophys. J. Suppl. Ser. 2013, 209, 1. [Google Scholar] [CrossRef]
- Ishibashi, W.; Fabian, A.C.; Maiolino, R. The energetics of AGN radiation pressure-driven outflows. Mon. Not. R. Astron. Soc. 2018, 476, 512–519. [Google Scholar] [CrossRef]














| ID | Redshift | log | log() | log | log() | log() | W80 | |V | log() | ||
|---|---|---|---|---|---|---|---|---|---|---|---|
| [] | [] | [] | [] | [] | [] | [] | [] | ||||
| (1) | (2) | (3) | (4) | (5) | (6) | (7) | (8) | (9) | (10) | (11) | (12) | 
| J000202.95 − 103038.0 | 0.103 | 38.72 | 43.04 | 20.00 | 43.08 | 41.38 | 709.38 | 495.11 | 207.62 | 7.45 | 0.031 | 
| J001047.89 + 145101.3 | 0.042 | 38.21 | 42.38 | 23.05 | 40.67 | 40.35 | 880.05 | 687.84 | 190.26 | 5.87 | 0.005 | 
| J001137.24 + 144201.3 | 0.132 | 39.00 | 43.21 | 20.40 | 43.29 | 41.35 | 1870.53 | 1164.95 | 580.91 | 7.64 | 0.032 | 
| J014816.25 + 001944.9 | 0.092 | 41.01 | 42.36 | 20.00 | 42.29 | 41.48 | 712.94 | 448.18 | 204.75 | 6.17 | 0.094 | 
| J020615.98 − 001729.2 | 0.043 | 38.24 | 43.73 | 20.43 | 43.42 | 41.27 | 1626.62 | 982.87 | 338.89 | 7.97 | 0.020 | 
| J022014.58 − 072859.2 | 0.213 | 39.28 | 44.39 | 20.88 | 44.05 | 41.72 | 1533.36 | 925.37 | 417.13 | 8.76 | 0.014 | 
| J030117.99 − 003842.3 | 0.183 | 39.57 | 42.40 | … | 41.97 | 41.60 | 1070.52 | 635.17 | 335.14 | 7.29 | 0.003 | 
| J030639.57 + 000343.1 | 0.107 | 39.11 | 43.39 | 20.00 | 43.72 | 41.78 | 1093.38 | 674.58 | 317.57 | 7.52 | 0.114 | 
| J032525.36 − 060837.8 | 0.034 | 38.82 | 42.35 | 20.00 | 42.8 | 41.51 | 927.77 | 665.50 | 279.02 | 8.20 | 0.003 | 
| J073623.13 + 392617.7 | 0.118 | 39.22 | 44.23 | 20.00 | 44.29 | 42.28 | 1564.49 | 815.21 | 448.75 | 8.27 | 0.075 | 
| J074738.39 + 245637.3 | 0.130 | 39.16 | 43.82 | 20.00 | 43.92 | 41.72 | 1939.03 | 1196.75 | 515.92 | 7.85 | 0.083 | 
| J075953.48 + 232324.2 | 0.029 | 38.30 | 43.26 | 22.24 | 40.74 | 40.45 | 571.36 | 355.06 | 177.95 | 5.86 | 0.005 | 
| J080020.98 + 263648.8 | 0.027 | 37.60 | 42.89 | 22.15 | 40.86 | 40.93 | 568.13 | 322.17 | 180.19 | 6.16 | 0.004 | 
| J080131.96 + 473616.0 | 0.157 | 40.74 | 44.26 | 20.00 | 44.57 | 42.19 | 1156.03 | 721.44 | 337.55 | 8.83 | 0.039 | 
| J080327.38 + 084152.2 | 0.047 | 38.16 | 43.50 | 21.25 | 43.13 | 41.35 | 535.28 | 839.01 | 206.66 | 7.83 | 0.014 | 
| Relation | Pearson | Spearman | Kendall | 
|---|---|---|---|
| - | |||
| -W80 | |||
| - | |||
| - | |||
| - | |||
| -W80 | |||
| - | |||
| - | 
| Publisher’s Note: MDPI stays neutral with regard to jurisdictional claims in published maps and institutional affiliations. | 
© 2022 by the authors. Licensee MDPI, Basel, Switzerland. This article is an open access article distributed under the terms and conditions of the Creative Commons Attribution (CC BY) license (https://creativecommons.org/licenses/by/4.0/).
Share and Cite
Ayubinia, A.; Xue, Y.; Woo, J.-H.; Le, H.A.N.; He, Z.; Miraghaei, H.; Lin, X. Exploring the Fundamental Mechanism in Driving Highest-Velocity Ionized Outflows in Radio AGNs. Universe 2022, 8, 559. https://doi.org/10.3390/universe8110559
Ayubinia A, Xue Y, Woo J-H, Le HAN, He Z, Miraghaei H, Lin X. Exploring the Fundamental Mechanism in Driving Highest-Velocity Ionized Outflows in Radio AGNs. Universe. 2022; 8(11):559. https://doi.org/10.3390/universe8110559
Chicago/Turabian StyleAyubinia, Ashraf, Yongquan Xue, Jong-Hak Woo, Huynh Anh Nguyen Le, Zhicheng He, Halime Miraghaei, and Xiaozhi Lin. 2022. "Exploring the Fundamental Mechanism in Driving Highest-Velocity Ionized Outflows in Radio AGNs" Universe 8, no. 11: 559. https://doi.org/10.3390/universe8110559
APA StyleAyubinia, A., Xue, Y., Woo, J.-H., Le, H. A. N., He, Z., Miraghaei, H., & Lin, X. (2022). Exploring the Fundamental Mechanism in Driving Highest-Velocity Ionized Outflows in Radio AGNs. Universe, 8(11), 559. https://doi.org/10.3390/universe8110559
 
        




 
       