Statistical Thermal Model for Particle Production in pp Collisions at RHIC and LHC Energies
Abstract
:1. Introduction
2. The Statistical Thermal Model
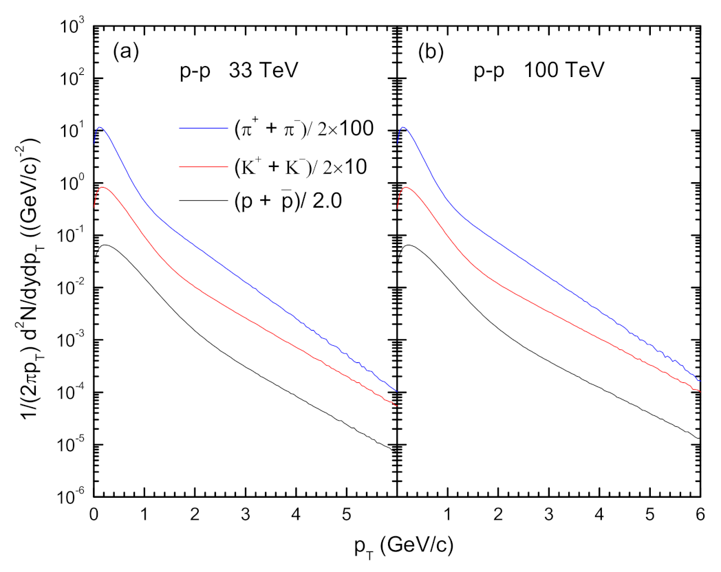
3. Discussion and Conclusions
Author Contributions
Funding
Institutional Review Board Statement
Informed Consent Statement
Data Availability Statement
Acknowledgments
Conflicts of Interest
References
- Aad, G.; Abbott, B.; Abdallah, J.; Abdinov, O.; Abeloos, B.; Aben, R.; Abolins, M.; AbouZeid, O.; Abraham, N.; Abramowicz, H.; et al. [ATLAS Collaboration] Charged-particle distributions in = 13 TeV pp interactions measured with the ATLAS detector at the LHC. Phys. Lett. B 2016, 758, 67. [Google Scholar] [CrossRef] [Green Version]
- Gao, F.; Pawlowski, J.M. QCD phase structure from functional methods. Phys. Rev. D 2020, 102, 034027. [Google Scholar] [CrossRef]
- Mishra, A.N.; Sahoo, R.; Sahoo, P.; Pareek, P.; Behera, N.K.; Nandi, B.K. Energy and Centrality dependence of dNch/dη and dET/dη in Heavy-Ion Collisions from = 7.7 GeV to 5.02 TeV. Eur. Phys. J. A 2016, 52, 319. [Google Scholar] [CrossRef] [Green Version]
- Bashir, I.U.; Parra, R.A.; Bhat, R.A.; Uddin, S. Particle Transverse Momentum Distributions in p-p Collisions at = 0.9 TeV. Adv. High Energy Phys. 2019, 2019, 8219567. [Google Scholar] [CrossRef] [Green Version]
- Oeschler, H.; Cleymans, J.; Hippolyte, B.; Redlich, K.; Sharma, N. Thermal Model Description of Collisions of Small Nuclei. arXiv 2016, arXiv:1603.09553. [Google Scholar]
- Broniowski, W.; Baran, A.; Florkowski, W. Thermal approach to RHIC. Acta Phys. Polon. B 2002, 33, 4235. [Google Scholar]
- Abelev, B.I.; Aggarwal, M.M.; Ahammed, Z.; Anderson, B.D.; Arkhipkin, D.; Averichev, G.S.; Bai, Y.; Balewski, J.; Barannikova, O.; Barnby, L.S.; et al. [STAR Collaboration] [STAR Collaboration]. Systematic Measurements of Identified Particle Spectra in pp,d+ Au and Au+Au Collisions from STAR. Phys. Rev. C 2009, 79, 034909. [Google Scholar] [CrossRef]
- Sharma, N.; Cleymans, J.; Hippolyte, B.; Paradza, M. A Comparison of p-p, p-Pb, Pb-Pb Collisions in the Thermal Model: Multiplicity Dependence of Thermal Parameters. Phys. Rev. C 2019, 99, 044914. [Google Scholar] [CrossRef] [Green Version]
- Patra, R.N.; Mohanty, B.; Nayak, T.K. Centrality, transverse momentum and collision energy dependence of the Tsallis parameters in relativistic heavy-ion collisions. Eur. Phys. J. Plus 2021, 136, 702. [Google Scholar] [CrossRef]
- Gupta, R.; Katariya, A.S.; Jena, S. A unified formalism to study the pseudorapidity spectra in heavy-ion collision. Eur. Phys. J. A 2021, 57, 224. [Google Scholar] [CrossRef]
- Deppman, A. Thermodynamics with fractal structure, Tsallis statistics and hadrons. Phys. Rev. D 2016, 93, 054001. [Google Scholar] [CrossRef] [Green Version]
- Abgrall, N.; Aduszkiewicz, A.; Ali, Y.; Anticic, T.; Antoniou, N.; Baatar, B.; Bay, F.; Blondel, A.; Blumer, J.; Bogomilov, M.; et al. [NA61/SHINE Collaboration] Measurement of negatively charged pion spectra in inelastic p+p interactions at = 20, 31, 40, 80 and 158 GeV/c. Eur. Phys. J. C 2014, 74, 2794. [Google Scholar] [CrossRef] [Green Version]
- Wolschin, G. Pseudorapidity distributions of produced charged hadrons in pp collisions at RHIC and LHC energies. Europhys. Lett. 2011, 95, 61001. [Google Scholar] [CrossRef]
- Alver, B.; Back, B.B.; Baker, M.D.; Ballintijn, M.; Barton, D.S.; Betts, R.R.; Bickley, A.A.; Bindel, R.; Budzanowski, A.; Busza,W.; et al. [PHOBOS Collaboration] Phobos results on charged particle multiplicity and pseudorapidity distributions in Au+Au, Cu+Cu, d+Au, and p+p collisions at ultra-relativistic energies. Phys. Rev. C 2011, 83, 024913. [Google Scholar] [CrossRef] [Green Version]
- Adare, A.; Afanasiev, S.; Aidala, C.; Ajitanand, N.N.; Akiba, Y.; Al-Bataineh, H.; Alexander, J.; Aoki, K.; Aphecetche, L.; Armendariz, R.; et al. [PHENIX Collaboration]. Identified charged hadron production in p+p collisions at = 200 and 62.4 GeV. Phys. Rev. C 2011, 83, 064903. [Google Scholar] [CrossRef] [Green Version]
- Adare, A.; Afanasiev, S.; Aidala, C.; Ajitanand, N.N.; Akiba, Y.; Al-Bataineh, H.; Alexander, J.; Aoki, K.; Aphecetche, L.; Asai, J.; Atomssa, E.T.; et al. [PHENIX Collaboration] Inclusive cross section and double helicity asymmetry for pi⌃0 production in p+p collisions at = 62.4 GeV. Phys. Rev. D 2009, 79, 012003. [Google Scholar] [CrossRef] [Green Version]
- Adare, A.; Afanasiev, S.; Aidala, C.; Ajitanand, N.N.; Akiba, Y.; Al-Bataineh, H.; Alexander, J.; Aoki, K.; Aphecetche, L.; Armendariz, R.; et al. [PHENIX Collaboration] [PHENIX Collaboration]. Measurement of neutral mesons in p+p collisions at = 200 GeV and scaling properties of hadron production. Phys. Rev. D 2011, 83, 052004. [Google Scholar] [CrossRef] [Green Version]
- Abelev, B.I.; Adams, J.; Aggarwal, M.M.; Ahammed, Z.; Amonett, J.; Anderson, B.D.; Anderson, M.; Arkhipkin, D.; Averichev, G.S.; Bai, Y.; et al. [STAR Collaboration] Phys. Rev. C 2007, 75, 064901. [CrossRef] [Green Version]
- Adams, J.; Aggarwal, M.M.; Ahammed, Z.; Amonett, J.; Anderson, B.D.; Anderson, M.; Arkhipkin, D.; Averichev, G.S.; Badyal, S.K.; Bai, Y.; et al. [STAR Collaboration] Identified hadron spectra at large transverse momentum in p+p and d+Au collisions at s(NN)**(1/2) = 200-GeV. Phys. Lett. B 2006, 637, 161. [Google Scholar] [CrossRef] [Green Version]
- Chatrchyan, S.; Khachatryan, V.; Sirunyan, A.M.; Tumasyan, A.; Adam, W.; Aguilo, E.; Bergauer, T.; Dragicevic, M.; Erö, J.; Fabjan, C.; et al. [CMS Collaboration] Study of the inclusive production of charged pions, kaons, and protons in pp collisions at = 0.9, 2.76, and 7 TeV. Eur. Phys. J. C 2012, 72, 2164. [Google Scholar] [CrossRef] [Green Version]
- Tiwari, S.K.; Singh, C.P. Particle production in Ultra-relativistic Heavy-Ion Collisions: A Statistical-Thermal Model Review. Adv. High Energy Phys. 2013, 2013, 805413. [Google Scholar] [CrossRef]
- Uysal, A.K.; Vardar, N. Statistical thermal model analysis of particle production at LHC. J. Phys. Conf. Ser. 2016, 707, 012031. [Google Scholar] [CrossRef] [Green Version]
- Matulewicz, T.; Piasecki, K. Particle yields in pp interactions at GeV interpreted in the statistical hadronization model. J. Phys. G 2021, 48, 085004. [Google Scholar] [CrossRef]
- Balassa, G.; Wolf, G. Charmed and bottomed hadronic cross sections from a statistical model. Eur. Phys. J. A 2020, 56, 237. [Google Scholar] [CrossRef]
- Liu, F.H.; Tian, T.; Zhao, H.; Li, B.C. Extracting chemical potentials of quarks from ratios of negatively/positively charged particles in high-energy collisions. Eur. Phys. J. A 2014, 50, 62. [Google Scholar] [CrossRef]
- Li, B.C.; Fu, Y.Y.; Wang, L.L.; Wang, E.Q.; Liu, F.H. Transverse momentum distributions of strange hadrons produced in nucleus-nucleus collisions at s(NN)**(1/2) = 62.4-GeV and 200-GeV. J. Phys. G 2012, 39, 025009. [Google Scholar] [CrossRef]
- Wang, E.Q.; Wei, H.R.; Li, B.C.; Liu, F.H. Dependence of elliptic flow on participant nucleon number in Au + Au collisions at sNN = 200 GeV. Phys. Rev. C 2011, 83, 034906. [Google Scholar] [CrossRef]
- Li, B.C.; Fu, Y.Y.; Wang, L.L.; Liu, F.H. Transverse Momentum, Centrality, and Participant Nucleon Number Dependence of Elliptic Flow. Adv. High Energy Phys. 2013, 2013, 908046. [Google Scholar] [CrossRef]
- Wolschin, G. Particle production sources at LHC energies. J. Phys. G 2013, 40, 045104. [Google Scholar] [CrossRef]
- Braun-Munzinger, P.; Stachel, J.; Wessels, J.P.; Xu, N. Thermal equilibration and expansion in nucleus-nucleus collisions at the AGS. Phys. Lett. B 1995, 344, 43. [Google Scholar] [CrossRef] [Green Version]
- Braun-Munzinger, P.; Stachel, J.; Wessels, J.P.; Xu, N. Thermal and hadrochemical equilibration in nucleus-nucleus collisions at the SPS. Phys. Lett. B 1996, 365, 1. [Google Scholar] [CrossRef] [Green Version]
- Feng, S.Q.; Zhong, Y. Baryon production and collective flow in relativistic heavy-ion collisions in the AGS, SPS, RHIC, and LHC energy regions ( ≤ 5 GeV to 5.5 TeV). Phys. Rev. C 2011, 83, 034908. [Google Scholar] [CrossRef] [Green Version]





| Particle | a | b |
|---|---|---|
| pion | ||
| kaon | ||
| proton |
Publisher’s Note: MDPI stays neutral with regard to jurisdictional claims in published maps and institutional affiliations. |
© 2022 by the authors. Licensee MDPI, Basel, Switzerland. This article is an open access article distributed under the terms and conditions of the Creative Commons Attribution (CC BY) license (https://creativecommons.org/licenses/by/4.0/).
Share and Cite
Chen, J.; Li, B.; Wen, X.; Dong, H. Statistical Thermal Model for Particle Production in pp Collisions at RHIC and LHC Energies. Universe 2022, 8, 124. https://doi.org/10.3390/universe8020124
Chen J, Li B, Wen X, Dong H. Statistical Thermal Model for Particle Production in pp Collisions at RHIC and LHC Energies. Universe. 2022; 8(2):124. https://doi.org/10.3390/universe8020124
Chicago/Turabian StyleChen, Jiayu, Baochun Li, Xinjian Wen, and Hongwei Dong. 2022. "Statistical Thermal Model for Particle Production in pp Collisions at RHIC and LHC Energies" Universe 8, no. 2: 124. https://doi.org/10.3390/universe8020124
APA StyleChen, J., Li, B., Wen, X., & Dong, H. (2022). Statistical Thermal Model for Particle Production in pp Collisions at RHIC and LHC Energies. Universe, 8(2), 124. https://doi.org/10.3390/universe8020124

