Search for Super-Deformed Identical Bands in the A = 190 Mass Region on the Basis of Level Spin
Abstract
1. Introduction
2. A Brief Description of the VMI Model
- (i)
- For the first four pairs, the band-head spin is consistent;
- (ii)
- For the next seven pairs, the bands originate from the levels with different spins, so band-head spin is different for two nuclei.
- (iii)
- For the last 5 pairs, the spins are either increasing or decreasing by one unit in the pair.
3. Identical Bands Parameters
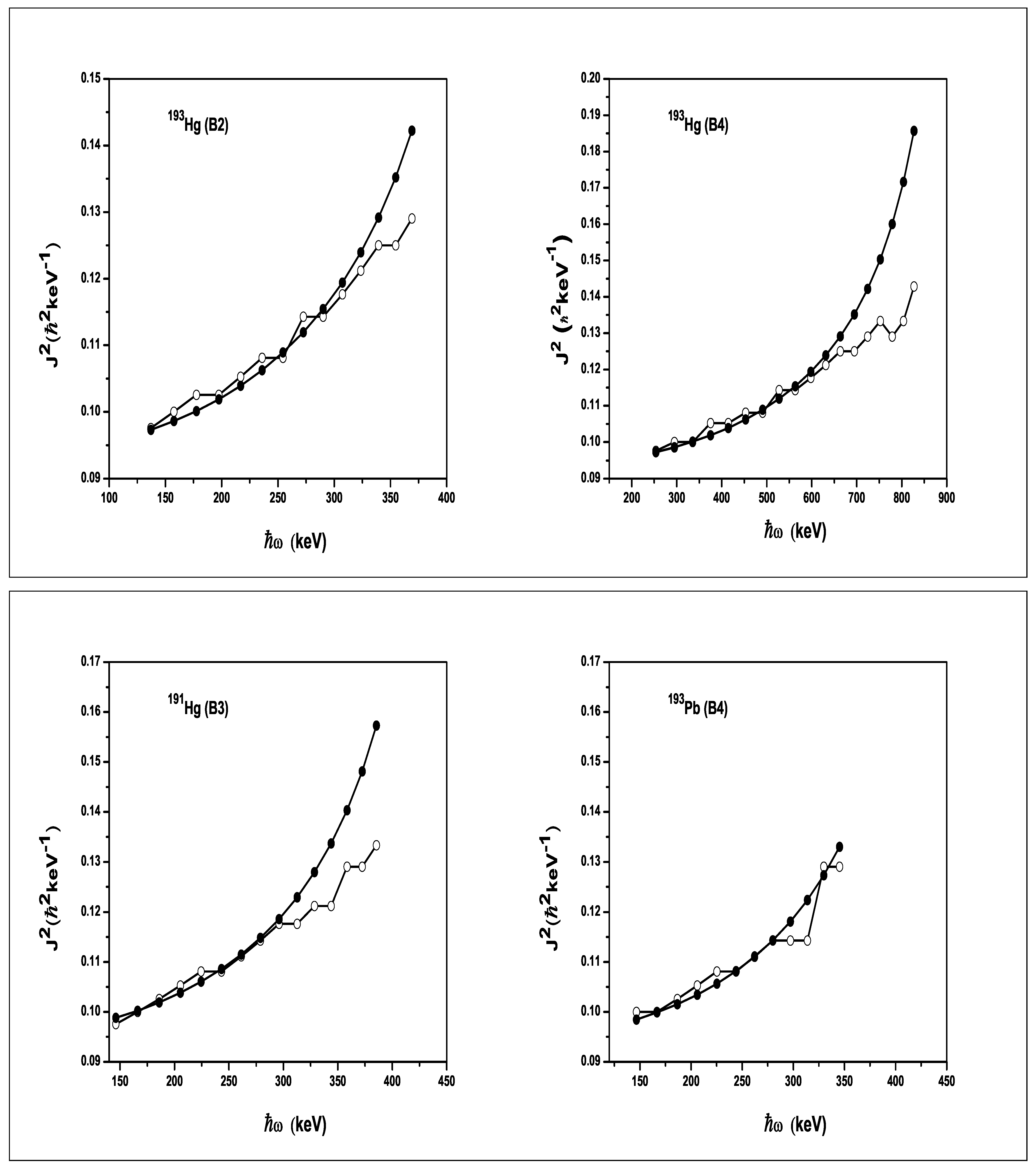
4. Results
5. Conclusions
Author Contributions
Funding
Data Availability Statement
Acknowledgments
Conflicts of Interest
References
- Ragnarsson, I.; Bengtsson, T.; Leander, G.; Aberg, S. Nilsson-Strutinsky model of very high spin states. Nucl. Phys. A 1980, 347, 287. [Google Scholar] [CrossRef]
- Singh, B.; Zywine, R.; Firestone, R.B. Table of Superdeformed Nuclear Bands and Fission Isomers. Nucl. Data Sheets 2002, 97, 241. [Google Scholar] [CrossRef]
- Ragnarsson, I.; Aberg, S. Interpretation of observed superdeformed and other collective bands in 152Dy. Phys. Lett. B 1986, 180, 191. [Google Scholar] [CrossRef]
- Koepf, W.; Ring, P. A relativistic theory of superdeformations in rapidly rotating nuclei. Nucl. Phys. A 1990, 511, 279. [Google Scholar] [CrossRef]
- Chasman, R.R. Configuration interaction effects in rotational bands of superdeformed nuclei. Phys. Lett. B 1993, 319, 41. [Google Scholar] [CrossRef]
- Girod, M.; Delaroche, J.P.; Berger, J.F.; Libert, J. Self-consistent cranking Hartree-Fock-Bogoliubov description of superdeformed rotational states in 194Hg with the Gogny force. Phys. Lett. B 1994, 325, 1. [Google Scholar] [CrossRef]
- Gall, B.; Bonche, P.; Dobaczewski, J.; Flocard, H.; Heenen, P.H. Superdeformed rotational bands in the mercury region. A cranked Skyrme-Hartree-Fock-Bogoliubov study. Z. Phys. A 1994, 348, 183. [Google Scholar] [CrossRef]
- Terasaki, J.; Heenen, P.H.; Bonche, P.; Dobaczewski, J.; Flocard, H. Superdeformed rotational bands with density dependent pairing interactions. Nucl. Phys. A 1995, 593, 1. [Google Scholar] [CrossRef]
- Afanasjev, A.V.; König, J.; Ring, P. Superdeformed rotational bands in the A ∼ 140–150 mass region: A cranked relativistic mean field description. Nucl. Phys. A 1996, 608, 107. [Google Scholar]
- Satula, W.; Wyss, R. Coherence of nucleonic motion in superdeformed nuclei: Towards an understanding of identical bands. Phys. Rev. C 1994, 50, 2888. [Google Scholar]
- Wyss, R.; Satula, W. Blocking effects at super-deformed shape. Phys. Lett. B 1995, 351, 393. [Google Scholar] [CrossRef]
- Jain, P.; Uma, V.S.; Goel, A.; Mandal, S.K. Prediction of band-head spin of triaxial super-deformed bands using the modified VMI model. Eur. Phys. J. Plus 2019, 134, 72. [Google Scholar]
- Goel, A.; Nair, U.; Yadav, A. Band head spin assignment of Tl isotopes of superdeformed rotational bands. Cent. Eur. J. Phys. 2014, 12, 693. [Google Scholar]
- Uma, V.S.; Goel, A.; Yadav, A.; Jain, A.K. Predicting superdeformed rotational band-head spin in A ∼ 190 mass region using variable moment of inertia model. Pram. J. Phys. 2016, 86, 185. [Google Scholar]
- Uma, V.S.; Goel, A. △ I = 1 staggering in signature partner pairs of super-deformed rotational bands in the A = 190 mass region. Eur. Phys. J. Plus 2015, 130, 117. [Google Scholar] [CrossRef]
- Baktash, C.; Haas, B.; Nazarewicz, W. Identical bands in deformed and superdeformed nuclei. Annu. Rev. Nucl. Part. Sci. 1995, 45, 485. [Google Scholar]
- Karlsson, L.B.; Ragnarsson, I.; Aberg, S. Identical bands in superdeformed nuclei. Phys. Lett. B 1998, 416, 16. [Google Scholar] [CrossRef]
- Byrski, T.; Beck, F.A.; Curien, D.; Schuck, C.; Fallon, P.; Alderson, A.; Ali, I.; Bentley, M.A.; Bruce, A.M.; Forsyth, P.D.; et al. Observation of identical superdeformed bands in N = 86 nuclei. Phys. Rev. Lett. 1990, 64, 1650. [Google Scholar] [CrossRef]
- Azaiez, F.; Kelly, W.H.; Korten, W.; Stephens, F.S.; Deleplanque, M.A.; Diamond, R.M.; Macchiavelli, A.O.; Draper, J.E.; Rubel, E.C.; Beausang, C.W.; et al. Six “identical” superdeformed bands in 194Tl. Phys. Rev. Lett. 1991, 66, 1030. [Google Scholar] [CrossRef]
- Stephens, F.S. Spin alignment in superdeformed Hg nuclei. Phys. Rev. Lett. 1990, 64, 2623. [Google Scholar]
- Stephens, F.S. Pseudospin symmetry and quantized alignment in nuclei. Phys. Rev. Lett. 1990, 65, 301. [Google Scholar]
- Ahmad, I.; Carpenter, M.P.; Chasman, R.R.; Janssens, R.V.F.; Khoo, T.L. Rotational bands with identical transition energies in actinide nuclei. Phys. Rev. C 1991, 44, 1204. [Google Scholar] [CrossRef] [PubMed]
- Baktash, C.; Garrett, J.D. Low-spin indentical bands in neighboring odd-A and even-even nuclei: A challenge to mean-field theories. Phys. Rev. Lett. 1992, 69, 1500. [Google Scholar] [PubMed]
- Casten, R.F.; Zamfir, N.V.; Von, P.B.; Chou, W.T. Identical bands in widely dispersed nuclei. Phys. Rev. C 1992, 45, R1413. [Google Scholar] [CrossRef] [PubMed]
- Saha, M.; Sen, S. Low-spin identical bands in the NpNn scheme. Phys. Rev. C 1992, 46, R1587. [Google Scholar] [CrossRef]
- Zeng, J.Y.; Liu, S.X.; Lei, Y.A.; Yu, L. Microscopic mechanism of normally deformed identical bands at low spin in the rare-earth nuclei. Phys. Rev. C 2001, 63, 024305. [Google Scholar] [CrossRef]
- Baktash, C.; Winchell, D.F.; Garrett, J.D.; Smith, A. Low-spin identical bands in neighboring odd-A and even-even nuclei. Nucl. Phys. A 1993, 557, 145. [Google Scholar]
- Saha, M.; Sen, S. Simple phenomenology for the ground-state bands of even-even nuclei. Phys. Rev. C 1994, 50, 2794. [Google Scholar]
- Khalaf, A.M.; Okasha, M.D.; Abdelbased, K.M. Occurrence and Properties of Low Spin Identical Bands in Normal-DeformedEven-Even Nuclei. Prog. Phys. 2017, 13, 50. [Google Scholar]
- France, G.D.; Baktash, C.; Haas, B.; Nazarewicz, W. Rotational inertia of superdeformed nuclei: Intruder orbitals, pairing, and identical bands. Phys. Rev. C 1996, 53, R1070(R). [Google Scholar]
- Hackman, G.; Khoo, T.L.; Carpenter, M.P.; Lauritsen, T.; Lopez-Martens, A.; Calderin, I.J.; Janssens, R.V.F.; Ackermann, D.; Ahmad, I.; Agarwala, S.; et al. Spins, Parity, Excitation Energies, and Octupole Structure of an Excited Superdeformed Band in 194Hg and Implications for Identical Bands. Phys. Rev. Lett. 1997, 79, 4100. [Google Scholar] [CrossRef]
- Liu, Y.X.; Sun, D.; Wang, J.J.; Zhao, E.G. Description of superdeformed identical bands of odd-A nuclei in the A ∼ 190 mass region. Phys. Rev. C 2001, 63, 054314. [Google Scholar] [CrossRef]
- Chen, Y.J.; Chen, Y.S.; Shen, C.W.; Gao, Z.C.; Zhu, S.J.; Tu, Y. Theoretical simulation for identical bands. Eur. Phys. J. A 2005, 24, 185. [Google Scholar] [CrossRef]
- Dadwal, A.; Mittal, H.M. Description of identical superdeformed bands of the A ∼ 190 mass region. Eur. Phys. J. A 2017, 53, 132. [Google Scholar] [CrossRef]
- Shen, C.W.; Luo, W.D.; Chen, Y.S. Identical bands and quantized alignments in superdeformed nuclei. Phys. Rev. C 1997, 55, 1762. [Google Scholar] [CrossRef]
- Shen, C.W.; Chen, Y.S. Identical bands and incremental alignments in normal deformed nuclei. Phys. Rev. C 1998, 58, 2081. [Google Scholar] [CrossRef]
- Mariscotti, M.A.J.; Scharff-Goldhaber, G.; Buck, B. Phenomenological Analysis of Ground-State Bands in Even-Even Nuclei. Phys. Rev. 1969, 178, 1864. [Google Scholar] [CrossRef]
- Jain, A.K.; Goel, A. The Vmi-Model Revisited in the Odd-Odd Rare-Earth Nuclei. Int. J. Mod. Phys. E 1993, 02, 451. [Google Scholar] [CrossRef]
- Otsuka, T.; Arima, A.; Iachello, F.; Talmi, I. Shell model description of interacting bosons. Phys. Lett. B 1978, 76, 139. [Google Scholar] [CrossRef]
- Casten, R.F. A simple approach to nuclear transition regions Author links open overlay panel. Phys. Lett. B 1985, 152, 145. [Google Scholar] [CrossRef]
- Casten, R.F. Possible Unified Interpretation of Heavy Nuclei. Phys. Rev. Lett. 1985, 54, 1991. [Google Scholar] [CrossRef] [PubMed]
- Casten, R.F. NpNn systematics in heavy nuclei. Nucl. Phys. A 1985, 443, 1. [Google Scholar] [CrossRef]
- Zhang, J.Y.; Casten, R.F.; Chou, W.T.; Brenner, D.S.; Zamfir, N.V.; von Brentano, P. Identical bands and the varieties of rotational behavior. Phys. Rev. Lett. 1992, 69, 1160. [Google Scholar] [CrossRef]
- Foy, B.D.; Casten, R.F.; Zamfir, N.V.; Brenner, D.S. Correlation between ε/Δ and the P factor. Phys. Rev. C 1994, 49, 1224. [Google Scholar] [CrossRef]
- Casten, R.F.; Brenner, D.S.; Haustein, P.E. Valence p-n interactions and the development of collectivity in heavy nuclei. Phys. Rev. Lett. 1987, 58, 658. [Google Scholar] [CrossRef]
- The ENSDF and XUNDL Database. 2020. Available online: http://www.nndc.bnl.gov (accessed on 8 July 2023).







| Pair | SD Band | Stiffness Constant | Band-Head Moment of Inertia | Band-Head Spin Exp. Data | Band-Head Spin VMI |
|---|---|---|---|---|---|
| 1 | 7.88 | 0.0944 | 10.5 | 10.5 | |
| 7.80 | 0.0946 | 10.5 | 10.5 | ||
| 2 | 7.88 | 0.0944 | 10.5 | 10.5 | |
| 8.15 | 0.0936 | 10.5 | 10.5 | ||
| 3 | 8.15 | 0.0936 | 10.5 | 10.5 | |
| 8.15 | 0.0936 | 10.5 | 10.5 | ||
| 4 | 7.87 | 0.0944 | 11.5 | 11.5 | |
| 7.98 | 0.0941 | 11.5 | 11.5 | ||
| 5 | 7.93 | 0.0942 | 10 | 10 | |
| 8.00 | 0.0940 | 8 | 8 | ||
| 6 | 5.46 | 0.0935 | 9.5 | 9.5 | |
| 8.25 | 0.0933 | 9.5 | 9.5 | ||
| 7 | 5.46 | 0.0935 | 9.5 | 9.5 | |
| 8.09 | 0.0937 | 11.5 | 11.5 | ||
| 8 | 8.31 | 0.0931 | 12.5 | 12.5 | |
| 8.32 | 0.0931 | 8.5 | 8.5 | ||
| 9 | 13.16 | 0.0987 | 7.5 | 7.5 | |
| 13.14 | 0.0988 | 9.5 | 9.5 | ||
| 10 | 5.28 | 0.0877 | 4 | 4 | |
| 6.93 | 0.0877 | 8 | 8 | ||
| 11 | 15.02 | 0.0955 | 5.5 | 5.5 | |
| 14.82 | 0.0958 | 7.5 | 7.5 | ||
| 12 | 3.48 | 0.1158 | 9.5 | 9.5 | |
| 6.97 | 0.1157 | 16.5 | 16.5 | ||
| 13 | 8.39 | 0.0929 | 17.5 | 17.5 | |
| 8.44 | 0.0928 | 11.5 | 11.5 | ||
| 14 | 8.39 | 0.929 | 17.5 | 17.5 | |
| 8.43 | 0.0928 | 9.5 | 9.5 | ||
| 15 | 7.17 | 0.0873 | 8 | 8 | |
| 7.19 | 0.0872 | 6 | 6 | ||
| 16 | 7.19 | 0.0872 | 6 | 6 | |
| 5.45 | 0.0870 | 8 | 8 |
| 0.0944 | |||||||||||||||||||
| Estimated Spin | 12.5 | 14.5 | 16.5 | 18.5 | 20.5 | 22.5 | 24.5 | 26.5 | 28.5 | 30.5 | 32.5 | 34.5 | 36.5 | 38.5 | 40.5 | 42.5 | |||
| 252 | 293 | 333 | 373 | 412 | 450 | 488 | 525 | 562 | 597 | 632 | 666 | 700 | 733 | 765 | 796 | ||||
| 251.46 | 292.2 | 332.41 | 372 | 410.9 | 449.04 | 486.32 | 522.69 | 558.06 | 592.36 | 625.5 | 657.41 | 688.02 | 717.24 | 745.01 | 771.23 | ||||
| 0.0946 | |||||||||||||||||||
| Estimated Spin | 12.5 | 14.5 | 16.5 | 18.5 | 20.5 | 22.5 | 24.5 | 26.5 | 28.8 | 30.5 | 32.5 | 34.5 | 36.5 | ||||||
| 252 | 292 | 332 | 372 | 412 | 451 | 489 | 527 | 563 | 600 | 637 | 672 | 709 | |||||||
| 250.92 | 291.57 | 331.69 | 371.19 | 410.00 | 448.04 | 485.24 | 521.52 | 556.79 | 590.99 | 624.04 | 655.86 | 686.37 | |||||||
| 0.0944 | |||||||||||||||||||
| Estimated Spin | 12.5 | 14.5 | 16.5 | 18.5 | 20.5 | 22.5 | 24.5 | 26.5 | 28.5 | 30.5 | 32.5 | 34.5 | 36.5 | 38.5 | 40.5 | 42.5 | |||
| 252 | 293 | 333 | 373 | 412 | 450 | 488 | 525 | 562 | 597 | 632 | 666 | 700 | 733 | 765 | 796 | ||||
| 251.46 | 292.2 | 332.41 | 372 | 410.9 | 449.04 | 486.32 | 522.69 | 558.06 | 592.36 | 625.5 | 657.41 | 688.02 | 717.24 | 745.01 | 771.23 | ||||
| 0.0936 | |||||||||||||||||||
| Estimated Spin | 12.5 | 14.5 | 16.5 | 18.5 | 20.5 | 22.5 | 24.5 | 26.5 | 28.5 | 30.5 | 32.5 | 34.5 | 36.5 | 38.5 | 40.5 | 42.5 | 44.5 | 46.5 | 48.5 |
| 254 | 295 | 335 | 374 | 413 | 451 | 488 | 525 | 560 | 595 | 629 | 662 | 694 | 726 | 757 | 787 | 818 | 848 | 876 | |
| 253.63 | 294.74 | 335.31 | 375.26 | 414.52 | 453.02 | 490.67 | 527.39 | 563.12 | 597.77 | 631.28 | 663.55 | 694.51 | 724.09 | 752.22 | 778.8 | 803.76 | 827.06 | 848.57 | |
| 0.0936 | |||||||||||||||||||
| Estimated Spin | 12.5 | 14.5 | 16.5 | 18.5 | 20.5 | 22.5 | 24.5 | 26.5 | 28.5 | 30.5 | 32.5 | 34.5 | 36.5 | 38.5 | 40.5 | 42.5 | 44.5 | 46.5 | 48.5 |
| 254 | 295 | 335 | 374 | 413 | 451 | 488 | 525 | 560 | 595 | 629 | 662 | 694 | 726 | 757 | 787 | 818 | 848 | 876 | |
| 253.63 | 294.74 | 335.31 | 375.26 | 414.52 | 453.02 | 490.67 | 527.39 | 563.12 | 597.77 | 631.28 | 663.55 | 694.51 | 724.09 | 752.22 | 778.8 | 803.76 | 827.06 | 848.57 | |
| 0.0936 | |||||||||||||||||||
| Estimated Spin | 12.5 | 14.5 | 16.5 | 18.5 | 20.5 | 22.5 | 24.5 | 26.5 | 28.5 | 30.5 | 32.5 | 34.5 | 36.5 | 38.5 | 40.5 | 42.5 | 44.5 | 46.5 | 48.5 |
| 254 | 295 | 335 | 375 | 413 | 451 | 488 | 525 | 560 | 595 | 629 | 662 | 694 | 726 | 757 | 787 | 818 | 848 | 876 | |
| 253.63 | 294.74 | 335.31 | 375.27 | 414.52 | 453.02 | 490.67 | 527.39 | 563.12 | 597.77 | 631.28 | 663.55 | 694.51 | 724.09 | 752.22 | 778.8 | 803.76 | 827.06 | 848.57 | |
| 0.0944 | |||||||||||||||||||
| Estimated Spin | 13.5 | 15.5 | 17.5 | 19.5 | 21.5 | 23.5 | 25.5 | 27.5 | 29.5 | 31.5 | 33.5 | 35.5 | 37.5 | 39.5 | 41.5 | 43.5 | |||
| 272 | 313 | 353 | 392 | 430 | 467 | 504 | 540 | 575 | 609 | 643 | 676 | 709 | 740 | 771 | 801 | ||||
| 271.89 | 312.38 | 352.29 | 391.55 | 430.07 | 467.79 | 504.63 | 540.51 | 575.35 | 609.07 | 641.61 | 672.88 | 702.81 | 731.31 | 758.32 | 783.75 | ||||
| 0.0941 | |||||||||||||||||||
| Estimated Spin | 13.5 | 15.5 | 17.5 | 19.5 | 21.5 | 23.5 | 25.5 | 27.5 | 29.5 | 31.5 | 33.5 | 35.5 | 37.5 | ||||||
| 273 | 313 | 353 | 392 | 430 | 467 | 504 | 540 | 575 | 610 | 645 | 676 | 707 | |||||||
| 272.77 | 313.4 | 353.45 | 392.84 | 431.51 | 469.37 | 506.35 | 542.37 | 577.35 | 611.22 | 643.91 | 675.32 | 705.4 | |||||||
| 0.0942 | ||||||||||||||||||||
| Estimated Spin | 12 | 14 | 16 | 18 | 20 | 22 | 24 | 26 | 28 | 30 | 32 | 34 | 36 | 38 | 40 | 42 | 44 | 46 | ||
| 241 | 282 | 322 | 361 | 400 | 438 | 475 | 511 | 547 | 579 | 604 | 624 | 652 | 684 | 718 | 750 | 783 | 819 | |||
| 241.71 | 282.67 | 323.10 | 362.95 | 402.11 | 440.53 | 478.13 | 514.82 | 550.53 | 585.18 | 618.70 | 651.00 | 682.02 | 711.68 | 739.89 | 766.59 | 791.69 | 815.12 | |||
| 0.0940 | ||||||||||||||||||||
| Estimated Spin | 10 | 12 | 14 | 16 | 18 | 20 | 22 | 24 | 26 | 28 | 30 | 32 | 34 | 36 | 38 | 40 | 42 | 44 | 46 | |
| 201 | 242 | 283 | 323 | 363 | 402 | 440 | 478 | 514 | 550 | 585 | 619 | 652 | 685 | 716 | 747 | 778 | 808 | 837 | ||
| 200.74 | 242.23 | 283.29 | 323.81 | 363.74 | 403.00 | 441.51 | 479.19 | 515.98 | 551.78 | 586.52 | 620.13 | 652.53 | 683.65 | 713.40 | 741.71 | 768.50 | 793.69 | 817.22 | ||
| 0.0935 | ||||||||||||||||||||
| Estimated Spin | 11.5 | 13.5 | 15.5 | 17.5 | 19.5 | 21.5 | 23.5 | 25.5 | 27.5 | 29.5 | 31.5 | 33.5 | 35.5 | 37.5 | 39.5 | 41.5 | 43.5 | 45.5 | 47.5 | |
| 233 | 274 | 314 | 353 | 392 | 429 | 464 | 497 | 528 | 559 | 590 | 623 | 656 | 689 | 721 | 753 | 785 | 817 | 848 | ||
| 232.08 | 272.79 | 312.74 | 351.83 | 389.95 | 426.78 | 462.78 | 497.27 | 530.32 | 561.82 | 591.65 | 619.70 | 645.85 | 669.99 | 692.00 | 711.77 | 729.18 | 744.11 | 756.46 | ||
| 0.0933 | ||||||||||||||||||||
| Estimated Spin | 11.5 | 13.5 | 15.5 | 17.5 | 19.5 | 21.5 | 23.5 | 25.5 | 27.5 | 29.5 | 31.5 | 33.5 | 35.5 | 37.5 | 39.5 | 41.5 | 43.5 | 45.5 | 47.5 | |
| 234 | 275 | 315 | 355 | 394 | 432 | 470 | 506 | 542 | 577 | 611 | 644 | 678 | 710 | 742 | 771 | 802 | 832 | 861 | ||
| 233.66 | 275.14 | 316.13 | 356.54 | 396.29 | 435.32 | 473.54 | 510.88 | 547.26 | 582.60 | 616.83 | 649.87 | 681.64 | 712.07 | 741.08 | 768.59 | 794.52 | 818.81 | 841.37 | ||
| 0.0935 | ||||||||||||||||||||
| Estimated Spin | 11.5 | 13.5 | 15.5 | 17.5 | 19.5 | 21.5 | 23.5 | 25.5 | 27.5 | 29.5 | 31.5 | 33.5 | 35.5 | 37.5 | 39.5 | 41.5 | 43.5 | 45.5 | 47.5 | |
| 233 | 274 | 314 | 353 | 392 | 429 | 464 | 497 | 528 | 559 | 590 | 623 | 656 | 689 | 721 | 753 | 785 | 817 | 848 | ||
| 232.08 | 272.79 | 312.74 | 351.83 | 389.95 | 426.78 | 462.78 | 497.27 | 530.32 | 561.82 | 591.65 | 619.70 | 645.85 | 669.99 | 692.00 | 711.77 | 729.18 | 744.11 | 756.46 | ||
| 0.0937 | ||||||||||||||||||||
| Estimated Spin | 13.5 | 15.5 | 17.5 | 19.5 | 21.5 | 23.5 | 25.5 | 27.5 | 29.5 | 31.5 | 33.5 | 35.5 | 37.5 | 39.5 | 41.5 | 43.5 | 45.5 | 47.5 | 49.5 | |
| 274 | 314 | 354 | 392 | 430 | 467 | 503 | 538 | 571 | 604 | 636 | 668 | 698 | 728 | 758 | 787 | 816 | 845 | 874 | ||
| 273.94 | 314.74 | 354.96 | 394.53 | 433.36 | 471.39 | 508.53 | 544.71 | 579.85 | 613.88 | 646.71 | 678.27 | 708.48 | 737.27 | 764.56 | 790.27 | 814.33 | 836.66 | 857.17 | ||
| 0.0931 | ||||||||||||||||||||
| Estimated Spin | 14.5 | 16.5 | 18.5 | 20.5 | 22.5 | 24.5 | 26.5 | 28.5 | 30.5 | 32.5 | 34.5 | 36.5 | 38.5 | |||||||
| 296 | 337 | 378 | 417 | 456 | 493 | 530 | 566 | 600 | 633 | 666 | 698 | 728 | ||||||||
| 296.34 | 337.14 | 377.32 | 416.81 | 455.53 | 493.40 | 530.36 | 566.31 | 601.18 | 634.91 | 667.40 | 698.59 | 728.39 | ||||||||
| 0.0931 | ||||||||||||||||||||
| Estimated Spin | 10.5 | 12.5 | 14.5 | 16.5 | 18.5 | 20.5 | 22.5 | 24.5 | 26.5 | 28.5 | 30.5 | 32.5 | 34.5 | 36.5 | ||||||
| 213 | 255 | 296 | 336 | 375 | 414 | 451 | 489 | 527 | 562 | 596 | 631 | 667 | 701 | |||||||
| 213.21 | 255.00 | 296.35 | 337.14 | 377.33 | 416.82 | 455.55 | 493.43 | 530.39 | 566.35 | 601.24 | 634.97 | 667.48 | 698.68 | |||||||
| 0.0987 | ||||||||||||||||||||
| Estimated Spin | 9.5 | 11.5 | 13.5 | 15.5 | 17.5 | 19.5 | 21.5 | 23.5 | 25.5 | 27.5 | 29.5 | 31.5 | 33.5 | 35.5 | ||||||
| 182 | 222 | 262 | 302 | 341 | 381 | 419 | 458 | 497 | 536 | 575 | 613 | 651 | 689 | |||||||
| 181.78 | 221.83 | 261.66 | 301.25 | 340.55 | 379.52 | 418.13 | 456.33 | 494.10 | 531.38 | 568.15 | 604.37 | 639.99 | 674.97 | |||||||
| 0.0988 | ||||||||||||||||||||
| Estimated Spin | 11.5 | 13.5 | 15.5 | 17.5 | 19.5 | 21.5 | 23.5 | 25.5 | 27.5 | 29.5 | 31.5 | 33.5 | 35.5 | 37.5 | ||||||
| 222 | 262 | 302 | 341 | 381 | 419 | 459 | 498 | 536 | 573 | 610 | 648 | 684 | 721 | |||||||
| 221.60 | 261.39 | 300.93 | 340.18 | 379.11 | 417.67 | 455.83 | 493.54 | 530.77 | 567.49 | 603.65 | 639.21 | 674.13 | 708.39 | |||||||
| 0.0877 | ||||||||||||||||||||
| Estimated Spin | 6 | 8 | 10 | 12 | 14 | 16 | 18 | 20 | 22 | 24 | 26 | 28 | 30 | 32 | 34 | 36 | 38 | |||
| 125 | 170 | 213 | 256 | 298 | 340 | 380 | 420 | 458 | 496 | 533 | 568 | 603 | 638 | 672 | 706 | 740 | ||||
| 124.88 | 169.67 | 213.88 | 257.36 | 299.96 | 341.52 | 381.89 | 420.91 | 458.44 | 494.31 | 528.38 | 560.49 | 590.48 | 618.21 | 643.52 | 666.26 | 686.26 | ||||
| 0.0877 | ||||||||||||||||||||
| Estimated Spin | 10 | 12 | 14 | 16 | 18 | 20 | 22 | 24 | 26 | 28 | 30 | 32 | 34 | 36 | 38 | 40 | 42 | 44 | 46 | 48 |
| 214 | 258 | 300 | 341 | 382 | 421 | 459 | 496 | 532 | 567 | 602 | 635 | 668 | 700 | 732 | 762 | 793 | 823 | 853 | 889 | |
| 213.59 | 257.4 | 300.55 | 342.93 | 384.41 | 424.88 | 464.24 | 502.36 | 539.12 | 574.43 | 608.15 | 640.17 | 670.39 | 698.67 | 724.92 | 749.01 | 770.84 | 790.27 | 807.21 | 821.52 | |
| 0.0955 | ||||||||||||||||||||
| Estimated Spin | 7.5 | 9.5 | 11.5 | 13.5 | 15.5 | 17.5 | 19.5 | 21.5 | 23.5 | 25.5 | 27.5 | 29.5 | 31.5 | 33.5 | 35.5 | 37.5 | 39.5 | 41.5 | ||
| 146 | 188 | 229 | 270 | 311 | 350 | 390 | 429 | 467 | 505 | 541 | 577 | 612 | 646 | 679 | 713 | 746 | 777 | |||
| 146.32 | 187.89 | 229.29 | 270.48 | 311.42 | 352.07 | 392.40 | 432.36 | 471.91 | 511.02 | 549.65 | 587.76 | 625.32 | 662.28 | 698.60 | 734.25 | 769.19 | 803.37 | |||
| 0.0958 | ||||||||||||||||||||
| Estimated Spin | 7.5 | 9.5 | 11.5 | 13.5 | 15.5 | 17.5 | 19.5 | 21.5 | 23.5 | 25.5 | 27.5 | |||||||||
| 187 | 229 | 270 | 310 | 351 | 391 | 431 | 469 | 507 | 545 | |||||||||||
| 187.30 | 228.57 | 269.63 | 310.44 | 350.95 | 391.15 | 430.97 | 470.39 | 509.37 | 547.87 | |||||||||||
| 0.1158 | |||||||||||||||||||
| Estimated Spin | 11.5 | 13.5 | 15.5 | 17.5 | 19.5 | 21.5 | 23.5 | 25.5 | 27.5 | 29.5 | 31.5 | 33.5 | 35.5 | 37.5 | 39.5 | 41.5 | 43.5 | 45.5 | 47.5 |
| 187 | 229 | 271 | 312 | 352 | 392 | 430 | 468 | 505 | 541 | 576 | 611 | 645 | 678 | 710 | 743 | 774 | 806 | 837 | |
| 192.12 | 228.05 | 264.48 | 301.48 | 339.14 | 377.52 | 416.71 | 456.78 | 497.81 | 539.87 | 583.05 | 627.42 | 673.05 | 720.02 | 768.42 | 818.30 | 869.77 | 922.88 | 977.71 | |
| 0.1157 | |||||||||||||||||||
| Estimated Spin | 18.5 | 20.5 | 22.5 | 24.5 | 26.5 | 28.5 | 30.5 | 32.5 | 34.5 | 36.5 | 38.5 | 40.5 | 42.5 | 44.5 | |||||
| 311 | 352 | 392 | 431 | 470 | 508 | 546 | 582 | 619 | 654 | 688 | 722 | 756 | 789 | ||||||
| 315.87 | 352.15 | 388.84 | 425.96 | 463.55 | 501.63 | 540.25 | 579.45 | 619.26 | 659.73 | 700.89 | 742.78 | 785.44 | 828.91 | ||||||
| 0.0929 | |||||||||||||||||||
| Estimated Spin | 20.5 | 22.5 | 24.5 | 26.5 | 28.5 | 30.5 | 32.5 | 34.5 | 36.5 | 38.5 | 40.5 | ||||||||
| 398 | 437 | 476 | 513 | 549 | 584 | 618 | 652 | 684 | 716 | 746 | |||||||||
| 398.04 | 437.25 | 475.66 | 513.18 | 549.74 | 585.27 | 619.68 | 652.9 | 684.85 | 715.46 | 744.64 | |||||||||
| 0.0928 | |||||||||||||||||||
| Estimated Spin | 13.5 | 15.5 | 17.5 | 19.5 | 21.5 | 23.5 | 25.5 | 27.5 | 29.5 | 31.5 | 33.5 | 35.5 | 37.5 | ||||||
| 277 | 318 | 359 | 399 | 438 | 477 | 515 | 551 | 588 | 622 | 656 | 690 | 721 | |||||||
| 276.65 | 317.87 | 358.51 | 398.5 | 437.77 | 476.22 | 513.8 | 550.42 | 586 | 620.47 | 653.75 | 685.77 | 716.47 | |||||||
| 0.0929 | |||||||||||||||||||
| Estimated Spin | 20.5 | 22.5 | 24.5 | 26.5 | 28.5 | 30.5 | 32.5 | 34.5 | 36.5 | 38.5 | 40.5 | ||||||||
| 398 | 437 | 476 | 513 | 549 | 584 | 618 | 652 | 684 | 716 | 746 | |||||||||
| 398.04 | 437.25 | 475.66 | 513.18 | 549.74 | 585.27 | 619.68 | 652.9 | 684.85 | 715.46 | 744.64 | |||||||||
| 0.0928 | |||||||||||||||||||
| Estimated Spin | 11.5 | 13.5 | 15.5 | 17.5 | 19.5 | 21.5 | 23.5 | 25.5 | 27.5 | 29.5 | 31.5 | 33.5 | 35.5 | 37.5 | |||||
| 235 | 276 | 316 | 356 | 394 | 433 | 471 | 507 | 544 | 580 | 615 | 650 | 684 | 718 | ||||||
| 234.93 | 276.64 | 317.86 | 358.50 | 398.49 | 437.75 | 476.20 | 513.77 | 550.38 | 585.96 | 620.42 | 653.69 | 685.69 | 716.35 | ||||||
| 0.0873 | |||||||||||||||||||
| Estimated Spin | 8 | 10 | 12 | 14 | 16 | 18 | 20 | 22 | 24 | 26 | 28 | 30 | 32 | 34 | 36 | 38 | |||
| 216 | 260 | 303 | 345 | 386 | 429 | 469 | 548 | 586 | 624 | 660 | 696 | ||||||||
| 215.56 | 259.79 | 303.35 | 346.13 | 388.02 | 428.90 | 468.65 | 507.17 | 544.33 | 580.02 | 614.13 | 646.54 | ||||||||
| 0.0872 | |||||||||||||||||||
| Estimated Spin | 8 | 10 | 12 | 14 | 16 | 18 | 20 | 22 | 24 | 26 | 28 | 30 | 32 | 34 | 36 | 38 | |||
| 171 | 216 | 260 | 303 | 346 | 388 | 429 | 469 | 509 | 547 | 584 | 621 | 655 | 689 | 720 | 752 | ||||
| 170.99 | 215.81 | 260.08 | 303.69 | 346.52 | 388.45 | 429.38 | 469.17 | 507.73 | 544.93 | 580.66 | 614.8 | 647.23 | 677.85 | 706.54 | 733.17 | ||||
| 0.0872 | |||||||||||||||||||
| Estimated Spin | 8 | 10 | 12 | 14 | 16 | 18 | 20 | 22 | 24 | 26 | 28 | 30 | 32 | 34 | 36 | 38 | |||
| 171 | 216 | 260 | 303 | 346 | 388 | 429 | 469 | 509 | 547 | 584 | 621 | 655 | 689 | 720 | 752 | ||||
| 170.99 | 215.81 | 260.08 | 303.69 | 346.52 | 388.45 | 429.38 | 469.17 | 507.73 | 544.93 | 580.66 | 614.8 | 647.23 | 677.85 | 706.54 | 733.17 | ||||
| 0.0870 | |||||||||||||||||||
| Estimated Spin | 8 | 10 | 12 | 14 | 16 | 18 | 20 | 22 | 24 | 26 | 28 | 30 | 32 | 34 | 36 | 38 | |||
| 215 | 262 | 304 | 345 | 385 | 424 | 462 | 499 | 535 | 570 | 605 | 640 | ||||||||
| 215.62 | 259.47 | 302.43 | 344.36 | 385.09 | 424.48 | 462.37 | 498.61 | 533.04 | 565.51 | 595.87 | 623.96 | ||||||||
| 0.0955 | 0.0958 | |
| (0.5,6) | (0.5,6) | |
| 12 | 12 | |
| F | 3.25 | 3.25 |
| −2.75 | −2.75 | |
| P | 0.9231 | 0.9231 |
| 156 | 156 | |
| 0.71942 | 0.71942 | |
| 0.095 | 0.095 | |
| 1.436 | 1.354 | |
| 1.8617 | 1.7074 |
Disclaimer/Publisher’s Note: The statements, opinions and data contained in all publications are solely those of the individual author(s) and contributor(s) and not of MDPI and/or the editor(s). MDPI and/or the editor(s) disclaim responsibility for any injury to people or property resulting from any ideas, methods, instructions or products referred to in the content. |
© 2023 by the authors. Licensee MDPI, Basel, Switzerland. This article is an open access article distributed under the terms and conditions of the Creative Commons Attribution (CC BY) license (https://creativecommons.org/licenses/by/4.0/).
Share and Cite
Jain, P.; Kumar, Y.; Kumar, V.; Bangotra, P. Search for Super-Deformed Identical Bands in the A = 190 Mass Region on the Basis of Level Spin. Universe 2023, 9, 362. https://doi.org/10.3390/universe9080362
Jain P, Kumar Y, Kumar V, Bangotra P. Search for Super-Deformed Identical Bands in the A = 190 Mass Region on the Basis of Level Spin. Universe. 2023; 9(8):362. https://doi.org/10.3390/universe9080362
Chicago/Turabian StyleJain, Poonam, Yogesh Kumar, Vinod Kumar, and Pargin Bangotra. 2023. "Search for Super-Deformed Identical Bands in the A = 190 Mass Region on the Basis of Level Spin" Universe 9, no. 8: 362. https://doi.org/10.3390/universe9080362
APA StyleJain, P., Kumar, Y., Kumar, V., & Bangotra, P. (2023). Search for Super-Deformed Identical Bands in the A = 190 Mass Region on the Basis of Level Spin. Universe, 9(8), 362. https://doi.org/10.3390/universe9080362

