Comparative Study of Time-Resolved Fluorescent Nanobeads, Quantum Dot Nanobeads and Quantum Dots as Labels in Fluorescence Immunochromatography for Detection of Aflatoxin B1 in Grains
Abstract
1. Introduction
2. Materials and Methods
2.1. Materials and Apparatus
2.1.1. Materials
2.1.2. Apparatus
2.2. Preparation of Three Labeled Antibody Probes
2.3. Preparation of the Fluorescence Immunochromatography Assay Strips
2.4. Sample Preparation and Detection
2.5. Establishment of Quantitative Calibration Curves
2.6. Validation of FICAs
3. Results and Discussion
3.1. Principle of Three Fluorescence Labels for Detection of Aflatoxin B1
3.2. Characterization of Fluorescence Labels
3.3. Optimization and Establishment of Standard Calibration Curve
3.4. Validation of FICAs
3.4.1. Sensitivity
3.4.2. Specificity
3.5. Application to Grain Samples
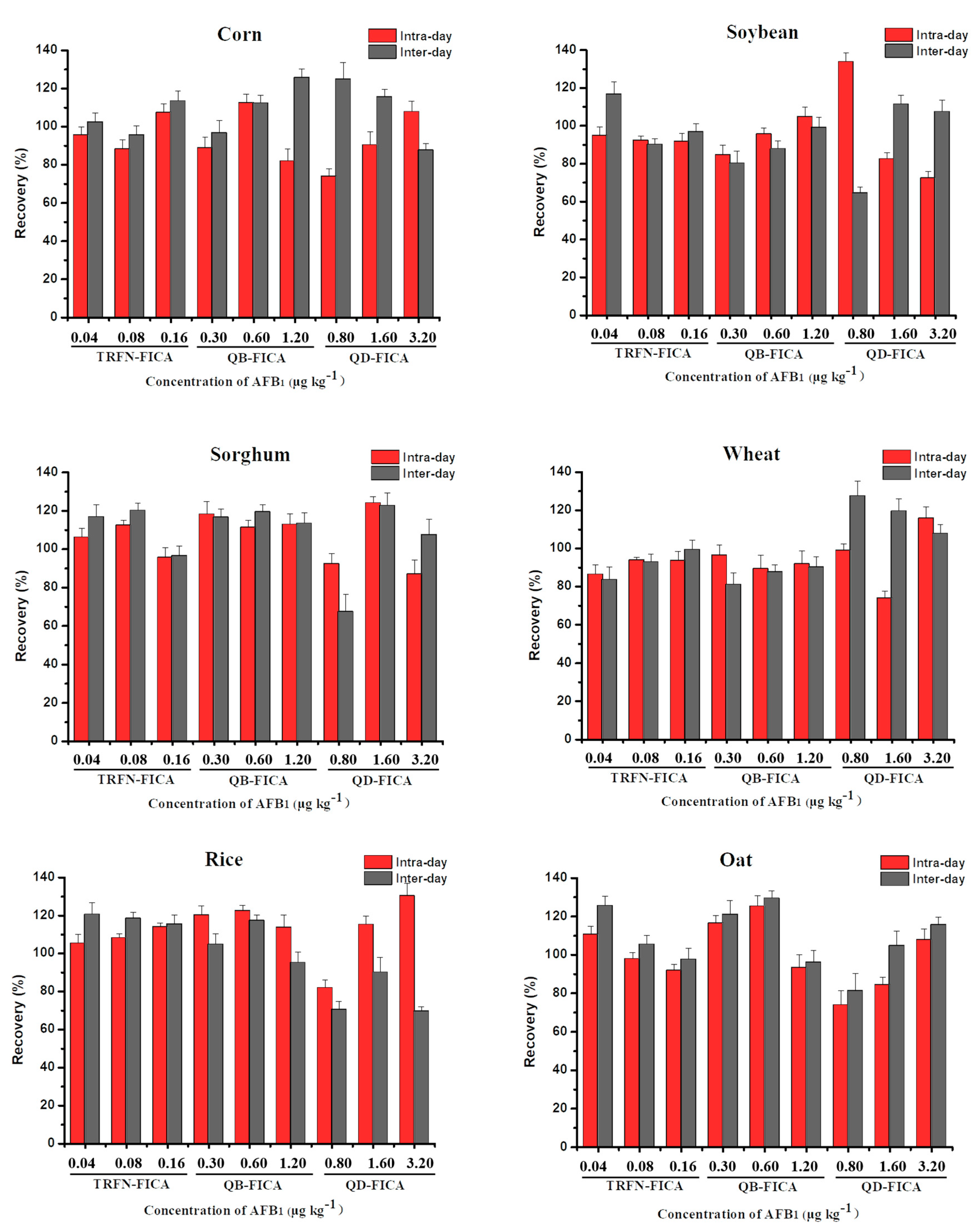
3.6. Accuracy and Precision of Three Label-Based FICAs
4. Conclusions
Supplementary Materials
Author Contributions
Funding
Acknowledgments
Conflicts of Interest
References
- Sun, L.L.; Zhao, Q. Competitive horseradish peroxidase-linked aptamer assay for sensitive detection of Aflatoxin B1. Talanta 2018, 179, 344–349. [Google Scholar] [CrossRef] [PubMed]
- IARC Working Group. IARC Monographs on the Evaluation of Carcinogenic Risks to Humans. v. 56: Some Naturally Occuring Substances: Food Items and Constituents, Heterocyclic Aromatic Amines and Mycotoxins; International Agency for Research on Cancer: Lyon, France, 1993. [Google Scholar]
- Jia, Y.M.; Zhou, G.H.; Liu, P.L.; Li, Z.G.; Yu, B. Recent Development of Aptamer Sensors for the Quantification of Aflatoxin B1. Appl. Sci. 2019, 9, 2364. [Google Scholar] [CrossRef]
- Neagu, D.; Capodilupo, A.; Vilkanauskyte, A.; Micheli, L.; Palleschi, G.; Moscone, D. AFB1-AP Conjugate for Enzyme Immunoassay of Aflatoxin B1 in Corn Samples. Anal. Lett. 2009, 42, 1170–1186. [Google Scholar] [CrossRef]
- Danesh, N.M.; Bostan, H.B.; Abnous, K.; Ramezani, M.; Youssefi, K.; Taghdisi, S.M.; Karimi, G. Ultrasensitive detection of aflatoxin B1 and its major metabolite aflatoxin M1 using aptasensors: A review. TrAC Trends Anal. Chem. 2018, 99, 117–128. [Google Scholar] [CrossRef]
- Wei, T.; Ren, P.; Huang, L.; Ouyang, Z.; Wang, Z.; Kong, X.; Li, T.; Yin, Y.; Wu, Y.; He, Q. Simultaneous detection of aflatoxin B1, ochratoxin A, zearalenone and deoxynivalenol in corn and wheat using surface plasmon resonance. Food Chem. 2019, 300, 125176. [Google Scholar] [CrossRef]
- GB 2671-2017. In National Food Safety Standard for Mycotoxins Limits in Food; National Health Commission of the People’s Republic of China: Beijing, China, 2017.
- Compliance Policy Guides; Food and Drug Administration: Rockville, MD, USA, 2004.
- Edupuganti, S.R.; Edupuganti, O.P.; Hearty, S.; O’Kennedy, R. A highly stable, sensitive, regenerable and rapid immunoassay for detecting aflatoxin B1 in corn incorporating covalent AFB1 immobilization and a recombinant Fab antibody. Talanta 2013, 115, 329–335. [Google Scholar] [CrossRef]
- Ben Abdallah, Z.; Grauby-Heywang, C.; Beven, L.; Cassagnere, S.; Moroté, F.; Maillard, E.; Sghaier, H.; Cohen Bouhacina, T. Development of an ultrasensitive label-free immunosensor for fungal aflatoxin B1 detection. Biochem. Eng. J. 2019, 150, 107262. [Google Scholar] [CrossRef]
- Eom, T.; Cho, H.D.; Kim, J.; Park, M.; An, J.; Kim, M.; Kim, S.H.; Han, S.B. Multiclass mycotoxin analysis in edible oils using a simple solvent extraction method and liquid chromatography with tandem mass spectrometry. Food Addit. Contam. A 2017, 34, 2011–2022. [Google Scholar] [CrossRef]
- Xia, X.; Wang, Y.; Yang, H.; Dong, Y.; Zhang, K.; Lu, Y.; Deng, R.; He, Q. Enzyme-free amplified and ultrafast detection of aflatoxin B1 using dual-terminal proximity aptamer probes. Food Chem. 2019, 283, 32–38. [Google Scholar] [CrossRef]
- Huertas Perez, J.F.; Arroyo Manzanares, N.; Hitzler, D.; Castro Guerrero, F.G.; Gamiz Gracia, L.; Garcia Campana, A.M. Simple determination of aflatoxins in rice by ultra-high performance liquid chromatography coupled to chemical post-column derivatization and fluorescence detection. Food Chem. 2018, 245, 189–195. [Google Scholar] [CrossRef]
- Kolosova, A.Y.; Shim, W.B.; Yang, Z.Y.; Eremin, S.A.; Chung, D.H. Direct competitive ELISA based on a monoclonal antibody for detection of aflatoxin B1 Stabilization of ELISA kit components and application to grain samples. Anal. Bioanal. Chem. 2006, 384, 286–294. [Google Scholar] [CrossRef] [PubMed]
- Wei, J.Y.; Zhang, D.; Zhang, L.X.; Ouyang, H.; Fu, Z.F. Alkaline Hydrolysis Behavior of Metal-Organic Frameworks NH2-MIL-53(Al) Employed for Sensitive Immunoassay via Releasing Fluorescent Molecules. ACS Appl. Mater. Interfaces 2019, 11, 35597–35603. [Google Scholar] [CrossRef] [PubMed]
- Beloglazova, N.V.; Speranskaya, E.S.; Wu, A.; Wang, Z.; Sanders, M.; Goftman, V.V.; Zhang, D.; Goryacheva, I.Y.; De Saeger, S. Novel multiplex fluorescent immunoassays based on quantum dot nanolabels for mycotoxins determination. Biosens. Bioelectron. 2014, 62, 59–65. [Google Scholar] [CrossRef] [PubMed]
- Posthuma-Trumpie, G.A.; Korf, J.; van Amerongen, A. Lateral flow (immuno) assay: Its strengths, weaknesses, opportunities and threats. A literature survey. Anal. Bioanal. Chem. 2009, 393, 569–582. [Google Scholar] [CrossRef]
- Dzantiev, B.B.; Byzova, N.A.; Urusov, A.E.; Zherdev, A.V. Immunochromatographic methods in food analysis. TrAC Trends Anal. Chem. 2014, 55, 81–93. [Google Scholar] [CrossRef]
- Anfossi, L.; Baggiani, C.; Giovannoli, C.; D’Arco, G.; Giraudi, G. Lateral-flow immunoassays for mycotoxins and phycotoxins: A review. Anal. Bioanal. Chem. 2013, 405, 467–480. [Google Scholar] [CrossRef]
- Li, J.Y.; Mao, M.; Wu, F.; Li, Q.; Wei, L.Y.; Ma, L. Amino-functionalized CdSe/ZnS quantum dot-based lateral flow immunoassay for sensitive detection of aflatoxin B1. Anal. Methods 2018, 10, 3582–3588. [Google Scholar] [CrossRef]
- Tang, X.Q.; Li, P.W.; Zhang, Q.; Zhang, Z.W.; Zhang, W.; Jiang, J. Time-Resolved Fluorescence Immunochromatographic Assay Developed Using Two Idiotypic Nanobodies for Rapid, Quantitative, and Simultaneous Detection of Aflatoxin and Zearalenone in Maize and Its Products. Anal. Chem. 2017, 89, 11520–11528. [Google Scholar] [CrossRef]
- Wang, Y.K.; Shi, Y.B.; Zou, Q.; Sun, J.H.; Chen, Z.F.; Wang, H.A.; Li, S.Q.; Yan, Y.X. Development of a rapid and simultaneous immunochromatographic assay for the determination of zearalenone and fumonisin B1 in corn, wheat and feedstuff samples. Food Control 2013, 31, 180–188. [Google Scholar] [CrossRef]
- Shao, Y.N.; Duan, H.; Guo, L.; Leng, Y.K.; Lai, W.H.; Xiong, Y.H. Quantum dot nanobead-based multiplexed immunochromatographic assay for simultaneous detection of aflatoxin B1 and zearalenone. Anal. Chim. Acta 2018, 1025, 163–171. [Google Scholar] [CrossRef]
- Zhang, Z.W.; Tang, X.Q.; Wang, D.; Zhang, Q.; Li, P.W.; Ding, X.X. Rapid On-Site Sensing Aflatoxin B1 in Food and Feed via a Chromatographic Time-Resolved Fluoroimmunoassay. PLoS ONE 2015, 10, e0123266. [Google Scholar] [CrossRef] [PubMed]
- Wang, D.; Zhang, Z.; Li, P.; Zhang, Q.; Zhang, W. Time-resolved fluorescent immunochromatography of aflatoxin b1 in soybean sauce: A rapid and sensitive quantitative analysis. Sensors 2016, 16, 1094. [Google Scholar] [CrossRef] [PubMed]
- Foubert, A.; Beloglazova, N.V.; De Saeger, S. Comparative study of colloidal gold and quantum dots as labels for multiplex screening tests for multi-mycotoxin detection. Anal. Chim. Acta 2017, 955, 48–57. [Google Scholar] [CrossRef] [PubMed]
- Xie, Q.Y.; Wu, Y.H.; Xiong, Q.R.; Xu, H.Y.; Xiong, Y.H.; Liu, K.; Jin, Y.; Lai, W.H. Advantages of fluorescent microspheres compared with colloidal gold as a label in immunochromatographic lateral flow assays. Biosens. Bioelectron. 2014, 54, 262–265. [Google Scholar] [CrossRef] [PubMed]
- Wu, C.H.; Hu, L.M.; Xia, J.; Xu, G.M.; Luo, K.; Liu, D.F.; Duan, H.; Cheng, S.; Xiong, Y.H.; Lai, W.H. Comparison of immunochromatographic assays based on fluorescent microsphere and quantum-dot submicrobead for quantitative detection of aflatoxin M1 in milk. J. Dairy Sci. 2017, 100, 2501–2511. [Google Scholar] [CrossRef] [PubMed]
- Li, S.J.; Sheng, W.; Wen, W.; Gu, Y.; Wang, J.P.; Wang, S. Three kinds of lateral flow immunochromatographic assays based on the use of nanoparticle labels for fluorometric determination of zearalenone. Microchim. Acta 2018, 185, 238. [Google Scholar] [CrossRef] [PubMed]
- Hu, L.M.; Luo, K.; Xia, J.; Xu, G.M.; Wu, C.H.; Han, J.J.; Zhang, G.G.; Liu, M.; Lai, W.H. Advantages of time-resolved fluorescent nanobeads compared with fluorescent submicrospheres, quantum dots, and colloidal gold as label in lateral flow assays for detection of ractopamine. Biosens. Bioelectron. 2017, 91, 95–103. [Google Scholar] [CrossRef]
- Luo, K.; Hu, L.; Guo, Q.; Wu, C.; Wu, S.; Liu, D.; Xiong, Y.H.; Lai, W. Comparison of 4 label-based immunochromatographic assays for the detection of Escherichia coli O157: H7 in milk. J. Dairy Sci. 2017, 100, 5176–5187. [Google Scholar] [CrossRef]
- Wang, J.; Chang, X.X.; Zuo, X.W.; Liu, H.B.; Ma, L.C.; Li, H.J.; Tao, X.Q. A Multiplex Immunochromatographic Assay Employing Colored Latex Beads for Simultaneously Quantitative Detection of Four Nitrofuran Metabolites in Animal-Derived Food. Food Anal. Methods 2019, 12, 503–516. [Google Scholar] [CrossRef]
- Chang, X.X.; Zhang, Y.Q.; Liu, H.B.; Tao, X.Q. A quadruple-label time-resolved fluorescence immunochromatographic assay for simultaneous quantitative determination of three mycotoxins in grains. Anal. Methods 2020, 12, 247–254. [Google Scholar] [CrossRef]
- GB 5009.22-2016. In National Food Safety Standards of the People’s Republic of China, Determination of Aflatoxin B and G in Foods; National Medical Products Administration: Beijing, China, 2016.
- Liu, B.; Wang, L.L.; Tong, B.; Zhang, Y.; Sheng, W.; Pan, M.F.; Wang, S. Development and comparison of immunochromatographic strips with three nanomaterial labels: Colloidal gold, nanogold-polyaniline-nanogold microspheres (GPGs) and colloidal carbon for visual detection of salbutamol. Biosens. Bioelectron. 2016, 85, 337–342. [Google Scholar] [CrossRef] [PubMed]
- Chen, Y.Q.; Chen, Q.; Han, M.M.; Zhou, J.Y.; Gong, L.; Niu, Y.M.; Zhang, Y.; He, L.D.; Zhang, L.Y. Development and optimization of a multiplex lateral flow immunoassay for the simultaneous determination of three mycotoxins in corn, rice and peanut. Food Chem. 2016, 213, 478–484. [Google Scholar] [CrossRef] [PubMed]
- Sun, S.J.; Zheng, P.M.; Zhao, S.J.; Liu, H.B.; Wang, Z.P.; Peng, T.; Wang, J.Y.; Yao, K.; Wang, S.H.; Zeng, Y.Y.; et al. Time-resolved fluorescent immunochromatographic assay-based on three antibody labels for the simultaneous detection of aflatoxin B1 and zearalenone in Chinese herbal medicines. Food Addit. Contam. A 2018, 35, 2434–2442. [Google Scholar] [CrossRef]
- Majdinasab, M.; Sheikh-Zeinoddin, M.; Soleimanian-Zad, S.; Li, P.W.; Zhang, Q.; Li, X.; Tang, X.Q.; Li, J. A reliable and sensitive time-resolved fluorescent immunochromatographic assay (TRFICA) for ochratoxin A in agro-products. Food Control 2015, 47, 126–134. [Google Scholar] [CrossRef]
- Xu, W.; Xiong, Y.H.; Lai, W.H.; Xu, Y.; Li, C.M.; Xie, M.Y. A homogeneous immunosensor for AFB1 detection based on FRET between different-sized quantum dots. Biosens. Bioelectron. 2014, 56, 144–150. [Google Scholar] [CrossRef]
- Liu, J.W.; Lu, C.C.; Liu, B.H.; Yu, F.Y. Development of novel monoclonal antibodies-based ultrasensitive enzyme-linked immunosorbent assay and rapid immunochromatographic strip for aflatoxin B1 detection. Food Control 2016, 59, 700–707. [Google Scholar] [CrossRef]
- Xue, Z.H.; Zhang, Y.X.; Yu, W.C.; Zhang, J.C.; Wang, J.Y.; Wan, F.; Kim, Y.; Liu, Y.D.; Kou, X.H. Recent advances in aflatoxin B1 detection based on nanotechnology and nanomaterials—A review. Anal. Chim. Acta 2019, 1069, 1–27. [Google Scholar] [CrossRef]
- Li, X.; Li, P.; Zhang, Q.; Li, R.; Zhang, W.; Zhang, Z.; Ding, X.; Tang, X. Multi-component immunochromatographic assay for simultaneous detection of aflatoxin B1, ochratoxin A and zearalenone in agro-food. Biosens. Bioelectron. 2013, 49, 426–432. [Google Scholar] [CrossRef]





| Parameter | TRFN-FICA | QB-FICA | QD-FICA |
|---|---|---|---|
| LOD (μg kg−1) | 0.04 | 0.30 | 0.80 |
| Antibody usage per test card (μg) | 0.015 | 0.09 | 0.03 |
| The best coating for AFB1-CMO-BSA (μg) | 0.30 | 0.65 | 0.65 |
| Immunoassay duration (min) | 25 | 30 | 35 |
| Recovery (%) | 83.64%–125.61% | 80.29%–129.45% | 64.53%–133.86% |
| Coefficient of variation (%) | 3.10%–6.75% | 2.88%–7.16% | 2.34%–8.96% |
| Detection Method | Marker | Target Substance | Sample | Detection Limit of AFB1 (μg kg−1) |
|---|---|---|---|---|
| Immunoadsorption [15] | Enzyme | AFB1 | Feed samples | 2.0 |
| Multiplex immunochromatography [36] | Colloidal gold | AFB1, ZEN, OTA | Corn | 0.10 |
| Rice | 0.12 | |||
| Fluorescent immunochromatography [24] | TRFN | AFB1 | Corn | 0.06 |
| Fluorescent immunochromatography [20] | QB | AFB1 | Buffer solution | 0.005 (When the inhibition is 10) |
| Multiplex fluorescent immunochromatography [23] | QB | AFB1, ZEN | Buffer solution | 0.00165 (When the inhibition is 10%) |
| Multiplex fluorescent immunochromatography [21] | TRFN | AFB1, ZEN | Buffer solution | 0.05 |
| Fluorescence resonance energy transfer [39] | QD | AFB1 | Rice | 0.04 |
| Fluorescent immunochromatography (this study) | TRFN | AFB1 | Corn, soybean, sorghum, wheat, rice and oats | 0.04 |
| QB | 0.30 | |||
| QD | 0.80 |
© 2020 by the authors. Licensee MDPI, Basel, Switzerland. This article is an open access article distributed under the terms and conditions of the Creative Commons Attribution (CC BY) license (http://creativecommons.org/licenses/by/4.0/).
Share and Cite
Wang, X.; Wu, X.; Lu, Z.; Tao, X. Comparative Study of Time-Resolved Fluorescent Nanobeads, Quantum Dot Nanobeads and Quantum Dots as Labels in Fluorescence Immunochromatography for Detection of Aflatoxin B1 in Grains. Biomolecules 2020, 10, 575. https://doi.org/10.3390/biom10040575
Wang X, Wu X, Lu Z, Tao X. Comparative Study of Time-Resolved Fluorescent Nanobeads, Quantum Dot Nanobeads and Quantum Dots as Labels in Fluorescence Immunochromatography for Detection of Aflatoxin B1 in Grains. Biomolecules. 2020; 10(4):575. https://doi.org/10.3390/biom10040575
Chicago/Turabian StyleWang, Xin, Xuan Wu, Zhisong Lu, and Xiaoqi Tao. 2020. "Comparative Study of Time-Resolved Fluorescent Nanobeads, Quantum Dot Nanobeads and Quantum Dots as Labels in Fluorescence Immunochromatography for Detection of Aflatoxin B1 in Grains" Biomolecules 10, no. 4: 575. https://doi.org/10.3390/biom10040575
APA StyleWang, X., Wu, X., Lu, Z., & Tao, X. (2020). Comparative Study of Time-Resolved Fluorescent Nanobeads, Quantum Dot Nanobeads and Quantum Dots as Labels in Fluorescence Immunochromatography for Detection of Aflatoxin B1 in Grains. Biomolecules, 10(4), 575. https://doi.org/10.3390/biom10040575

