EPLIN Expression in Gastric Cancer and Impact on Prognosis and Chemoresistance
Abstract
1. Introduction
2. Materials and Methods
2.1. Gastric Cancer Tissue Collection
2.2. Tissue Processing, RNA Extraction and cDNA Generation
2.3. Real-Time Quantitative PCR (qPCR)
2.4. Kaplan-Meier Plotter Gastric Cancer Database
2.5. Statistical Analysis
3. Results
3.1. Transcript Expression of EPLIN in Clinical Gastric Cancer and Association with Clinicopathological Information
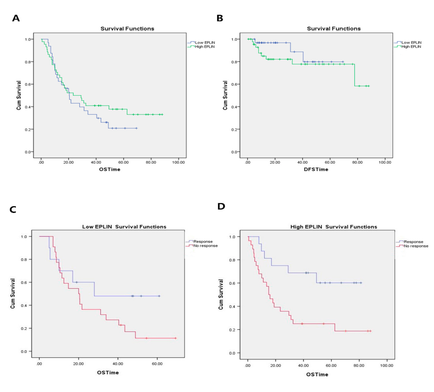
3.2. Relationship Between EPLIN Expression and Overall Survival (OS) in Patients with Gastric Cancer
3.3. Association of EPLIN Expression and Disease-Free Survival (DFS) in Patients with Gastric Cancer
3.4. Association of EPLIN/LIMA1 Expression with Gastric Cancer Patient Survival in Publicly Available Databases
3.5. Implication of EPLIN Transcript Expression in Neoadjuvant Chemotherapy (NAC)
3.6. Relationship between EPLIN Transcript Expression and Prognosis in Patients with NAC and Chemosensitivity
4. Discussion
Author Contributions
Funding
Institutional Review Board Statement
Informed Consent Statement
Data Availability Statement
Acknowledgments
Conflicts of Interest
References
- Thrift, A.P.; El-Serag, H.B. Burden of Gastric Cancer. Clin. Gastroenterol. Hepatol. 2020, 18, 534–542. [Google Scholar] [CrossRef] [PubMed]
- Biagioni, A.; Skalamera, I.; Peri, S.; Schiavone, N.; Cianchi, F.; Giommoni, E.; Magnelli, L.; Papucci, L. Update on gastric cancer treatments and gene therapies. Cancer Metastasis Rev. 2019, 38, 537–548. [Google Scholar] [CrossRef] [PubMed]
- Rizzo, A.; Mollica, V.; Ricci, A.D.; Maggio, I.; Massucci, M.; Rojas Limpe, F.L.; Fabio, F.D.; Ardizzoni, A. Third- and later-line treatment in advanced or metastatic gastric cancer: A systematic review and meta-analysis. Future Oncol. 2020, 16, 4409–4418. [Google Scholar] [CrossRef] [PubMed]
- Hagen, S.J.; Ang, L.H.; Zheng, Y.; Karahan, S.N.; Wu, J.; Wang, Y.E.; Caron, T.J.; Gad, A.P.; Muthupalani, S.; Fox, J.G. Loss of Tight Junction Protein Claudin 18 Promotes Progressive Neoplasia Development in Mouse Stomach. Gastroenterology 2018, 155, 1852–1867. [Google Scholar] [CrossRef]
- Leitner, L.; Shaposhnikov, D.; Descot, A.; Hoffmann, R.; Posern, G. Epithelial Protein Lost in Neoplasm α (Eplin-α) is transcriptionally regulated by G-actin and MAL/MRTF coactivators. Mol. Cancer 2010, 9, 60. [Google Scholar] [CrossRef]
- Zhang, S.; Wang, X.; Osunkoya, A.O.; Iqbal, S.; Wang, Y.; Chen, Z.; Muller, S.; Chen, Z.; Josson, S.; Coleman, I.M.; et al. EPLIN downregulation promotes epithelial–mesenchymal transition in prostate cancer cells and correlates with clinical lymph node metastasis. Oncogene 2011, 30, 4941–4952. [Google Scholar] [CrossRef]
- Jiang, W.G.; Martin, T.A.; Lewis-Russell, J.M.; Douglas-Jones, A.; Ye, L.; Mansel, R.E. Eplin-alpha expression in human breast cancer, the impact on cellular migration and clinical outcome. Mol. Cancer 2008, 7, 71. [Google Scholar] [CrossRef]
- Liu, Y.; Sanders, A.J.; Zhang, L.; Jiang, W.G. EPLIN-alpha expression in human oesophageal cancer and its impact on cellular aggressiveness and clinical outcome. Anticancer. Res. 2012, 32, 1283–1289. [Google Scholar]
- Wu, D. Epithelial protein lost in neoplasm (EPLIN): Beyond a tumor suppressor. Genes Dis. 2017, 4, 100–107. [Google Scholar] [CrossRef]
- Chang, D.D.; Park, N.H.; Denny, C.T.; Nelson, S.F.; Pe, M. Characterization of transformation related genes in oral cancer cells. Oncogene 1998, 16, 1921–1930. [Google Scholar] [CrossRef][Green Version]
- Maul, R.S.; Chang, D.D. EPLIN, Epithelial protein lost in neoplasm. Oncogene 1999, 18, 7838–7841. [Google Scholar] [CrossRef]
- Chen, S.; Maul, R.S.; Kim, H.R.; Chang, D.D. Characterization of the human EPLIN (Epithelial Protein Lost in Neoplasm) gene reveals distinct promoters for the two EPLIN isoforms. Gene 2000, 248, 69–76. [Google Scholar] [CrossRef]
- Song, Y.; Maul, R.S.; Gerbin, C.S.; Chang, D.D. Inhibition of Anchorage-independent Growth of Transformed NIH3T3 Cells by Epithelial Protein Lost in Neoplasm (EPLIN) Requires Localization of EPLIN to Actin Cytoskeleton. Mol. Biol. Cell 2002, 13, 1408–1416. [Google Scholar] [CrossRef]
- Maul, R.S.; Song, Y.; Amann, K.J.; Gerbin, S.C.; Pollard, T.D.; Chang, D.D. EPLIN regulates actin dynamics by cross-linking and stabilizing filaments. J. Cell Biol. 2003, 160, 399–407. [Google Scholar] [CrossRef]
- Abe, K.; Takeichi, M. EPLIN mediates linkage of the cadherin catenin complex to F-actin and stabilizes the circumferential actin belt. Proc. Natl. Acad. Sci. USA 2007, 105, 13–19. [Google Scholar] [CrossRef]
- Sanders, A.J.; Martin, T.A.; Ye, L.; Mason, M.D.; Jiang, W.G. EPLIN is a Negative Regulator of Prostate Cancer Growth and Invasion. J. Urol. 2011, 186, 295–301. [Google Scholar] [CrossRef]
- Tsurumi, H.; Harita, Y.; Kurihara, H.; Kosako, H.; Hayashi, K.; Matsunaga, A.; Kajiho, Y.; Kanda, S.; Miura, K.; Sekine, T.; et al. Epithelial protein lost in neoplasm modulates platelet-derived growth factor–mediated adhesion and motility of mesangial cells. Kidney Int. 2014, 86, 548–557. [Google Scholar] [CrossRef]
- Collins, R.J.; Morgan, L.D.; Owen, S.; Ruge, F.; Jiang, W.G.; Sanders, A.J. Mechanistic insights of epithelial protein lost in neoplasm in prostate cancer metastasis. Int. J. Cancer 2018, 143, 2537–2550. [Google Scholar] [CrossRef]
- Liu, R.; Martin, T.A.; Jordan, N.J.; Ruge, F.; Ye, L.; Jiang, W.G. Epithelial protein lost in neoplasm-α (EPLIN-α) is a potential prognostic marker for the progression of epithelial ovarian cancer. Int. J. Oncol. 2016, 48, 2488–2496. [Google Scholar] [CrossRef]
- Collins, R.J.; Jiang, W.G.; Hargest, R.; Mason, M.D.; Sanders, A.J. EPLIN: A fundamental actin regulator in cancer metastasis? Cancer Metastasis Rev. 2015, 34, 753–764. [Google Scholar] [CrossRef]
- Zhang, S.; Wang, X.; Iqbal, S.; Wang, Y.; Osunkoya, A.O.; Chen, Z.; Chen, Z.; Shin, D.M.; Yuan, H.; Wang, Y.A.; et al. Epidermal Growth Factor Promotes Protein Degradation of Epithelial Protein Lost in Neoplasm (EPLIN), a Putative Metastasis Suppressor, during Epithelial-mesenchymal Transition. J. Biol. Chem. 2013, 288, 1469–1479. [Google Scholar] [CrossRef] [PubMed]
- Ji, J.; Jia, S.; Jia, Y.; Ji, K.; Hargest, R.; Jiang, W.G. WISP-2 in human gastric cancer and its potential metastatic suppressor role in gastric cancer cells mediated by JNK and PLC-γ pathways. Br. J. Cancer 2015, 113, 921–933. [Google Scholar] [CrossRef] [PubMed]
- Jia, Y.; Ye, L.; Ji, K.; Zhang, L.; Hargest, R.; Ji, J.; Jiang, W.G. Death-associated protein-3, DAP-3, correlates with preoperative chemotherapy effectiveness and prognosis of gastric cancer patients following perioperative chemotherapy and radical gastrectomy. Br. J. Cancer 2014, 110, 421–429. [Google Scholar] [CrossRef] [PubMed]
- Szász, A.M.; Lánczky, A.; Nagy, A.; Förster, S.; Hark, K.; Green, J.E.; Boussioutas, A.; Busuttil, R.; Szabó, A.; Győrffy, B. Cross-validation of survival associated biomarkers in gastric cancer using transcriptomic data of 1,065 patients. Oncotarget 2016, 7, 49322–49333. [Google Scholar] [CrossRef]
- Bonelli, P.; Borrelli, A.; Tuccillo, F.M.; Silvestro, L.; Palaia, R.; Buonaguro, F.M. Precision medicine in gastric cancer. World J. Gastrointest. Oncol. 2019, 11, 804–829. [Google Scholar] [CrossRef]
- Taha, M.; Aldirawi, M.; März, S.; Seebach, J.; Odenthal-Schnittler, M.; Bondareva, O.; Bojovic, V.; Schmandra, T.; Wirth, B.; Mietkowska, M.; et al. EPLIN-α and -β Isoforms Modulate Endothelial Cell Dynamics through a Spatiotemporally Differentiated Interaction with Actin. Cell Rep. 2019, 29, 1010–1026.e6. [Google Scholar] [CrossRef]
- Zhitnyak, I.Y.; Rubtsova, S.N.; Litovka, N.I.; Gloushankova, N.A. Early Events in Actin Cytoskeleton Dynamics and E-Cadherin-Mediated Cell-Cell Adhesion during Epithelial-Mesenchymal Transition. Cells 2020, 9, 578. [Google Scholar] [CrossRef]
- Ohashi, T.; Idogawa, M.; Sasaki, Y.; Tokino, T. p53 mediates the suppression of cancer cell invasion by inducing LIMA1/EPLIN. Cancer Lett. 2017, 390, 58–66. [Google Scholar] [CrossRef]
- Maul, R.S.; Sachi Gerbin, C.; Chang, D.D. Characterization of mouse epithelial protein lost in neoplasm (EPLIN) and comparison of mammalian and zebrafish EPLIN. Gene 2001, 262, 155–160. [Google Scholar] [CrossRef]
- Liu, Y.; Sanders, A.J.; Zhang, L.; Jiang, W.G. Expression Profile of Epithelial Protein Lost in Neoplasm-Alpha (EPLIN-α) in Human Pulmonary Cancer and Its Impact on SKMES-1 Cells in vitro. J. Cancer Ther. 2012, 3, 452–459. [Google Scholar] [CrossRef][Green Version]
- Jiang, L.; Yang, K.H.; Guan, Q.L.; Chen, Y.; Zhao, P.; Tian, J.H. Survival Benefit of Neoadjuvant Chemotherapy for Resectable Cancer of the Gastric and Gastroesophageal Junction: A meta-analysis. J. Clin. Gastroenterol. 2015, 49, 387–394. [Google Scholar] [CrossRef]
- Coccolini, F.; Nardi, M.; Montori, G.; Ceresoli, M.; Celotti, A.; Cascinu, S.; Fugazzola, P.; Tomasoni, M.; Glehen, O.; Catena, F.; et al. Neoadjuvant chemotherapy in advanced gastric and esophago-gastric cancer. Meta-analysis of randomized trials. Int. J. Surg. 2018, 51, 120–127. [Google Scholar] [CrossRef]
- Hu, M.; Li, K.; Maskey, N.; Xu, Z.; Peng, C.; Tian, S.; Li, Y.; Yang, G. 15-PGDH expression as a predictive factor response to neoadjuvant chemotherapy in advanced gastric cancer. Int. J. Clin. Exp. Pathol. 2015, 8, 6910–6918. [Google Scholar]
- Shekari, N.; Baradaran, B.; Shanehbandi, D.; Kazemi, T. Circulating MicroRNAs: Valuable Biomarkers for the Diagnosis and Prognosis of Gastric Cancer. Curr. Med. Chem. 2018, 25, 698–714. [Google Scholar] [CrossRef]
- Park, J.Y.; Kim, S.G.; Kim, J.; Han, S.J.; Oh, S.; Choi, J.M.; Lim, J.H.; Chung, H.; Jung, H.C. Risk factors for early metachronous tumor development after endoscopic resection for early gastric cancer. PLoS ONE 2017, 12, e0185501. [Google Scholar] [CrossRef]





| Characteristic | Sample Number (n) | Median Transcript Expression | Q1 | Q3 | p Value | 
|---|---|---|---|---|---|
| Tissue Type | |||||
| Tumour | 320 | 3.848 | 2.457 | 4.919 | 0.7288 a | 
| Normal | 175 | 2.939 | 1.224 | 14.679 | |
| Gender | 0.4147 a | ||||
| Male | 228 | 3.778 | 2.173 | 4.903 | |
| Female | 92 | 4.155 | 2.611 | 5.092 | |
| T stage | 0.121 b | ||||
| T1 | 16 | 4.21 | 2.653 | 4.97 | |
| T2 | 26 | 4.589 | 3.114 | 5.357 | |
| T3 | 41 | 3.445 | 1.855 | 4.622 | |
| T4 | 229 | 3.847 | 2.07 | 4.911 | |
| 0.0421 a | |||||
| T1 + T2 | 42 | 4.356 | 3.079 | 5.155 | |
| T3 + T4 | 270 | 3.783 | 1.99 | 4.855 | |
| Nodal involvement | 0.859 b | ||||
| N0 | 70 | 4.154 | 2.059 | 5.054 | |
| N1 | 48 | 3.836 | 1.9 | 5.068 | |
| N2 | 65 | 3.847 | 2.44 | 5.005 | |
| N3 | 131 | 3.786 | 2.666 | 4.775 | |
| Metastasis status | 0.9494 a | ||||
| M0 | 278 | 3.9 | 2.327 | 4.909 | |
| M1 | 41 | 3.807 | 2.487 | 5.09 | |
| TNM stage | 0.596 b | ||||
| TNM1 | 25 | 4.352 | 2.983 | 5.047 | |
| TNM2 | 60 | 3.977 | 1.735 | 5.245 | |
| TNM3 | 217 | 3.786 | 2.487 | 4.798 | |
| TNM4 | 9 | 5.09 | 0.35 | 5.46 | |
| Borrmann classification | 0.342 b | ||||
| BorrmannII | 9 | 4.231 | -1.122 | 4.58 | |
| BorrmannIII | 19 | 4.335 | 2.97 | 5.238 | |
| BorrmannIV | 7 | 1.29 | -0.93 | 5.18 | |
| 0.364 a | |||||
| BorrmannII + III | 28 | 4.283 | 1.742 | 5.042 | |
| BorrmannIV | 7 | 1.291 | -0.933 | 5.178 | |
| Histopathologic type | 0.45 b | ||||
| Adenocarcinoma | 236 | 3.976 | 2.668 | 4.913 | |
| Signet ring cell Carcinoma | 5 | 4.235 | 1.768 | 5.146 | |
| Mixed | 47 | 3.359 | 1.884 | 4.775 | |
| Differentiation | 0.239 b | ||||
| High | 1 | −6.666 | - | - | |
| High-Mid | 6 | 4.555 | 4.03 | 5.525 | |
| Mid | 61 | 4.045 | 2.208 | 5.132 | |
| Mid-Low | 81 | 4.147 | 2.734 | 4.826 | |
| Low | 136 | 3.752 | 2.488 | 5.032 | |
| Survival status | 0.3168 a | ||||
| Alive | 134 | 3.848 | 2.175 | 5.1 | |
| Death | 183 | 3.807 | 2.455 | 4.739 | |
| 0.387 b | |||||
| Disease Free | 119 | 3.847 | 2.666 | 5.131 | |
| Metastasis | 15 | 4.032 | 1.723 | 4.906 | |
| Died of gastric cancer | 183 | 3.807 | 2.455 | 4.739 | 
| Characteristic | Sample Number (n) | Median Transcript Expression | Q1 | Q3 | p Value | 
|---|---|---|---|---|---|
| Tissue Type | |||||
| Tumour | 78 | 1.135 | 0.325 | 1.816 | <0.001 a | 
| Paratumour | 80 | 2.73 | 2.255 | 3.921 | |
| Gender | 0.9867 a | ||||
| Male | 56 | 1.118 | 0.32 | 1.827 | |
| Female | 22 | 1.16 | 0.334 | 1.816 | |
| Borrmann classification | 0.258 b | ||||
| BormannI | 3 | 1.806 | 1.479 | 2.266 | |
| BormannII | 12 | 1.676 | 1.125 | 1.898 | |
| BormannIII | 31 | 1.162 | 0.15 | 1.923 | |
| BormannIV | 7 | 1.038 | 0.958 | 1.109 | |
| 0.071 a | |||||
| BormannI + II | 15 | 1.796 | 1.277 | 1.902 | |
| BormannIII + IV | 38 | 1.04 | 0.5404 | 1.818 | |
| D2 Surgery status | 0.9192 a | ||||
| No D2 Surgery | 21 | 1.212 | 0.473 | 1.809 | |
| D2 Surgery | 57 | 1.109 | 0.152 | 1.83 | |
| Diameter length | 0.5512 a | ||||
| Diameter length > 50mm | 36 | 0.976 | 0.152 | 1.74 | |
| Diameter length < 50mm | 32 | 1.298 | 0.386 | 1.801 | |
| T stage | 0.541 a | ||||
| T1 + T2 | 7 | 1.877 | −0.605 | 1.902 | |
| T3 + T4 | 70 | 1.092 | 0.325 | 1.796 | |
| Nodal involvement | 0.0979 a | ||||
| Node negative | 12 | 1.707 | 1.195 | 1.946 | |
| Node positive | 66 | 1.028 | 0.277 | 1.8 | |
| TNM stage | 0.57 b | ||||
| TNM1 | 3 | 1.877 | −0.605 | 2.266 | |
| TNM2a | 3 | 1.761 | 1.556 | 2.234 | |
| TNM2b | 8 | 1.196 | 0.082 | 1.632 | |
| TNM3a | 8 | 0.549 | −0.505 | 1.793 | |
| TNM3b | 11 | 0.903 | −0.053 | 1.797 | |
| TNM3c | 21 | 1.017 | 0.235 | 1.768 | |
| TNM4 | 23 | 1.438 | 0.348 | 1.875 | |
| 0.113 a | |||||
| TNM1 + 2a | 6 | 1.819 | 1.016 | 2.242 | |
| TNM2b,3,4 | 71 | 1.042 | 0.3169 | 1.797 | |
| Recurrence status | 0.269 a | ||||
| No recurrence | 53 | 1.318 | 0.473 | 1.881 | |
| Recurrence | 24 | 0.93 | 0.064 | 1.781 | |
| Survival status | 0.3935 a | ||||
| Alive | 26 | 1.334 | 0.451 | 1.879 | |
| Death | 52 | 1.04 | 0.198 | 1.801 | |
| NAC response | 0.3217 a | ||||
| Response to NAC | 26 | 1.504 | 0.486 | 1.906 | |
| No response to NAC | 52 | 1.04 | 0.32 | 1.804 | 
| Analysis | Dependent Variable | OS | DFS | 
|---|---|---|---|
| p Value | |||
| Univariate analysis | EPLIN | 0.067 | 0.025 | 
| Multivariate analysis | TNM stage | <0.001 | <0.001 | 
| T stage | <0.001 | <0.001 | |
| Nodal involvement | <0.001 | <0.001 | |
| Metastasis | <0.001 | <0.001 | |
| Histology | 0.188 | 0.268 | |
| Invasion | <0.001 | <0.001 | |
| Embolism | <0.001 | <0.001 | |
| Differentiation | 0.32 | 0.306 | |
| EPLIN | 0.024 | 0.015 | |
| Publisher’s Note: MDPI stays neutral with regard to jurisdictional claims in published maps and institutional affiliations. | 
© 2021 by the authors. Licensee MDPI, Basel, Switzerland. This article is an open access article distributed under the terms and conditions of the Creative Commons Attribution (CC BY) license (https://creativecommons.org/licenses/by/4.0/).
Share and Cite
Gong, W.; Zeng, J.; Ji, J.; Jia, Y.; Jia, S.; Sanders, A.J.; Jiang, W.G. EPLIN Expression in Gastric Cancer and Impact on Prognosis and Chemoresistance. Biomolecules 2021, 11, 547. https://doi.org/10.3390/biom11040547
Gong W, Zeng J, Ji J, Jia Y, Jia S, Sanders AJ, Jiang WG. EPLIN Expression in Gastric Cancer and Impact on Prognosis and Chemoresistance. Biomolecules. 2021; 11(4):547. https://doi.org/10.3390/biom11040547
Chicago/Turabian StyleGong, Wenjing, Jianyuan Zeng, Jiafu Ji, Yongning Jia, Shuqin Jia, Andrew J. Sanders, and Wen G. Jiang. 2021. "EPLIN Expression in Gastric Cancer and Impact on Prognosis and Chemoresistance" Biomolecules 11, no. 4: 547. https://doi.org/10.3390/biom11040547
APA StyleGong, W., Zeng, J., Ji, J., Jia, Y., Jia, S., Sanders, A. J., & Jiang, W. G. (2021). EPLIN Expression in Gastric Cancer and Impact on Prognosis and Chemoresistance. Biomolecules, 11(4), 547. https://doi.org/10.3390/biom11040547
 
         
                                                


 
       