AutoCellANLS: An Automated Analysis System for Mycobacteria-Infected Cells Based on Unstained Micrograph
Abstract
:1. Introduction
- (1)
- We develop a novel system that automatically detects and analyzes the individual cells based on unstained phase-contrast images, which provides a novel pipeline to distinguish the infected cells that would be indistinguishable to the naked eye.
- (2)
- We optimize the initial contour of the Chan–Vese model by circular Hough transform to achieve adaptive cell detection, which overcomes the shortcomings of manual setting parameters in previous studies.
- (3)
- We establish an end-to-end architecture of a task-specific neural network by boosting the training of transfer learning for accurate classification with higher accuracy, efficiency, and versatility when applied to different cell line datasets.
- (4)
- The experiments demonstrate that our method consistently achieves better results throughout the infection period (2 hpi/12 hpi/24 hpi) and increased the accuracy by more than 11% compared to several other state-of-the art methods.
2. Materials and Methods
2.1. AutoCellANLS
2.2. Cell Culture and Mycobacterial Infection
2.3. The Dataset
2.4. Proposed Method
2.4.1. Unsupervised Cell Detection
2.4.2. Data Augmentation
2.4.3. The Transfer Learning Enabled Cell-Net
3. Results
3.1. Cell Detection
3.2. Morphology Classification
4. Discussion
5. Conclusions
Author Contributions
Funding
Institutional Review Board Statement
Informed Consent Statement
Acknowledgments
Conflicts of Interest
References
- World Health Organization. Global Tuberculosis Report; World Health Organization: Geneva, Switzerland, 2018; pp. 32–41. [Google Scholar]
- Rajaram, M.V.; Arnett, E.; Azad, A.K.; Guirado, E.; Ni, B.; Gerberick, A.D.; He, L.-Z.; Keler, T.; Thomas, L.J.; Lafuse, W.P.; et al. M. tuberculosis-initiated human mannose receptor signaling regulates macrophage recognition and vesicle trafficking by FcRγ-Chain, Grb2, and SHP-1. Cell Rep. 2017, 21, 126–140. [Google Scholar] [CrossRef] [Green Version]
- Forrellad, M.A.; Klepp, L.I.; Gioffré, A.; García, J.S.; Morbidoni, H.R.; de la Paz Santangelo, M.; Cataldi, A.A.; Bigi, F. Virulence factors of the Mycobacterium tuberculosis complex. Virulence 2013, 4, 3–66. [Google Scholar] [CrossRef] [PubMed] [Green Version]
- Simeone, R.; Sayes, F.; Song, O.; Gröschel, M.I.; Brodin, P.; Brosch, R.; Majlessi, L. Cytosolic Access of Mycobacterium tuberculosis: Critical Impact of Phagosomal Acidification Control and Demonstration of Occurrence In Vivo. PLoS Pathog. 2015, 11, e1004650. [Google Scholar] [CrossRef] [Green Version]
- Simeone, R.; Bobard, A.; Lippmann, J.; Bitter, W.; Majlessi, L.; Brosch, R.; Enninga, J. Phagosomal Rupture by Mycobacterium tuberculosis Results in Toxicity and Host Cell Death. PLoS Pathog. 2012, 8, e1002507. [Google Scholar] [CrossRef] [PubMed]
- Peng, X.; Sun, J. Mechanism of ESAT-6 membrane interaction and its roles in pathogenesis of Mycobacterium tuberculosis. Toxicon 2016, 116, 29–34. [Google Scholar] [CrossRef] [Green Version]
- Behr, M.A.; Wilson, M.A.; Gill, W.P.; Salamon, H.; Schoolnik, G.K.; Rane, S.; Small, P.M. Comparative Genomics of BCG Vaccines by Whole-Genome DNA Microarray. Science 1999, 284, 1520–1523. [Google Scholar] [CrossRef]
- Brodin, P.; Rosenkrands, I.; Andersen, P.; Cole, S.T.; Brosch, R. ESAT-6 proteins: Protective antigens and virulence factors? Trends Microbiol. 2004, 12, 500–508. [Google Scholar] [CrossRef] [PubMed]
- Diel, R.; Goletti, D.; Ferrara, G.; Bothamley, G.; Cirillo, D.; Kampmann, B.; Lange, C.; Losi, M.; Markova, R.; Migliori, G.B.; et al. Interferon-γ release assays for the diagnosis of latent Mycobacterium tuberculosis infection: A systematic review and meta-analysis. Eur. Respir. J. 2011, 37, 88–99. [Google Scholar] [CrossRef] [PubMed] [Green Version]
- Fisch, D.H.; Yakimovich, A.; Clough, B.; Wright, J.; Bunyan, M.; Howell, M.; Mercer, J.; Frickel, E.-M. An artificial intelligence workflow for defining host-pathogen interactions. bioRxiv 2018, 408450. [Google Scholar] [CrossRef]
- Krizhevsky, A.; Sutskever, I.; Hinton, G.E. ImageNet classification with deep convolutional neural networks. Adv. Neural Inf. Processing Syst. 2012, 60, 84–90. [Google Scholar] [CrossRef]
- He, K.; Zhang, X.; Ren, S.; Sun, J. Deep residual learning for image recognition. In Proceedings of the 2016 IEEE Conference on Computer Vision and Pattern Recognition (CVPR), Las Vegas, NV, USA, 27–30 June 2016; pp. 770–778. [Google Scholar]
- Huang, G.; Liu, Z.; Van Der Maaten, L.; Weinberger, K.Q. Densely connected convolutional networks. In Proceedings of the 2017 IEEE Conference on Computer Vision and Pattern Recognition (CVPR), Honolulu, HI, USA, 21–26 July 2017; pp. 4700–4708. [Google Scholar]
- Shin, H.C.; Roth, H.R.; Gao, M.; Lu, L.; Xu, Z.; Nogues, I.; Yao, J.; Mollura, D.; Summers, R.M. Deep Convolutional Neural Networks for ComputerAided Detection: CNN Architectures, Dataset Characteristics and Transfer Learning. IEEE Trans. Med. Imaging 2016, 35, 1285. [Google Scholar] [CrossRef] [PubMed] [Green Version]
- Sun, W.; Zheng, B.; Qian, W. Computer aided lung cancer diagnosis with deep learning algorithms. SPIE Med. Imaging 2016, 9785, 97850Z. [Google Scholar]
- Krauß, S.D.; Roy, R.; Yosef, H.K.; Lechtonen, T.; El-Mashtoly, S.F.; Gerwert, K.; Mosig, A.K. Hierarchical deep convolutional neural networks combine spectral and spatial information for highly accurate Raman-microscopy-based cytopathology. Biophotonics 2018, e201800022. [Google Scholar] [CrossRef] [PubMed]
- Senior, A.W.; Evans, R.; Jumper, J.; Kirkpatrick, J.; Sifre, L.; Green, T.; Qin, C.; Žídek, A.; Nelson, A.W.R.; Bridglang, A.; et al. Improved protein structure prediction using potentials from deep learning. Nature 2020, 577, 706–710. [Google Scholar] [CrossRef] [PubMed]
- Suk, H.-I.; Initiative, T.A.D.N.; Lee, S.-W.; Shen, D. Latent feature representation with stacked auto-encoder for AD/MCI diagnosis. Anat. Embryol. 2013, 220, 841–859. [Google Scholar] [CrossRef] [PubMed]
- Cheng, J.-Z.; Ni, D.; Chou, Y.-H.; Qin, J.; Tiu, C.-M.; Chang, Y.-C.; Huang, C.-S.; Shen, D.; Chen, C.-M. Computer-Aided Diagnosis with Deep Learning Architecture: Applications to Breast Lesions in US Images and Pulmonary Nodules in CT Scans. Sci. Rep. 2016, 6, 24454. [Google Scholar] [CrossRef] [PubMed] [Green Version]
- Bao, Y.; Zhao, X.; Wang, L.; Qian, W.; Sun, J. Morphology-based classification of mycobacteria-infected macrophages with convolutional neural network: Reveal EsxA-induced morphologic changes indistinguishable by naked eyes. Transl. Res. 2019, 212, 1–13. [Google Scholar] [CrossRef] [PubMed]
- Tao, T. Detect Circles with Various Radii in Grayscale Image via Hough Transform; University of Maryland: College Park, MD, USA, 2006. [Google Scholar]
- Getreuer, P. Chan-Vese Segmentation. Image Process. Line 2012, 2, 214–224. [Google Scholar] [CrossRef]
- Chan, T.F.; Vese, L.A. Active contours without edges. IEEE Trans. Image Processing 2001, 10, 266–277. [Google Scholar] [CrossRef] [PubMed] [Green Version]
- Zhang, Q.; Wang, D.; Jiang, G.; Liu, W.; Deng, Q.; Li, X.; Qian, W.; Ouellet, H.; Sun, J. EsxA membrane-permeabilizing activity plays a key role in mycobacterial cytosolic translocation and virulence: Effects of single-residue mutations at glutamine. Sci. Rep. 2016, 6, 32618. [Google Scholar] [CrossRef] [PubMed]
- Wang, X.F.; Huang, D.S.; Xu, H. An efficient local Chan–Vese model for image segmentation. Pattern Recognit. 2010, 43, 603–618. [Google Scholar] [CrossRef]
- Simonyan, K.; Zisserman, A. Very deep convolutional networks for large-scale image recognition. arXiv 2014, arXiv:1409.1556. [Google Scholar]
- Cong, W.; Intes, X.; Wang, G. Reconstruction of optical parameters for molecular tomographic imaging. arXiv 2017, arXiv:1707.01197. [Google Scholar]
- Greenspan, H.; van Ginneken, B.; Summers, R.M. Guest Editorial Deep Learning in Medical Imaging: Overview and Future Promise of an Exciting New Technique. IEEE Trans. Med. Imaging 2016, 35, 1153–1159. [Google Scholar] [CrossRef]
- Lin, T.Y.; Goyal, P.; Girshick, R.; He, K.; Dollar, P. Focal loss for dense object detection. In Proceedings of the IEEE International Conference on Computer Vision, Venice, Italy, 22–29 October 2017; pp. 2980–2988. [Google Scholar]
- Christodoulidis, S.; Anthimopoulos, M.; Ebner, L.; Christe, A.; Mougiakakou, S. Multisource Transfer Learning with Convolutional Neural Networks for Lung Pattern Analysis. IEEE J. Biomed. Heal. Inform. 2017, 21, 76–84. [Google Scholar] [CrossRef] [PubMed] [Green Version]
- Pei, J.; Turse, J.E.; Ficht, T.A. Evidence of Brucella abortus OPS dictating uptake and restricting NF-κΒ activation in murine macrophages. Microbes Infect. 2008, 10, 582–590. [Google Scholar] [CrossRef] [Green Version]
- Park, P.-H.; McMullen, M.R.; Huang, H.; Thakur, V.; Nagy, L.E. Short-term treatment of RAW264. 7 macrophages with adiponectin increases tumor necrosis factor-α (TNF-a) expression viaERKl/2 activation andEgr-1 expression role of TNF-α in adiponectin-stimulated interleukin-10 production. J. Biol. Chem. 2007, 282, 21695–21703. [Google Scholar] [CrossRef] [Green Version]
- Hussain, S.; Zwilling, B.S.; Lafuse, W.P. Mycobacterium avium Infection of Mouse Macrophages Inhibits IFN-γ Janus Kinase-STAT Signaling and Gene Induction by Down-Regulation of the IFN-γ Receptor. J. Immunol. 1999, 163, 2041. [Google Scholar]
- Nagabhushanam, V.; Solache, A.; Ting, L.-M.; Escaron, C.J.; Zhang, J.Y.; Ernst, J.D. Innate Inhibition of Adaptive Immunity: Mycobacterium tuberculosis Induced IL-6 Inhibits Macrophage Responses to IFN-γ. J. Immunol. 2003, 171, 4750. [Google Scholar] [CrossRef] [Green Version]
- Abdallah, A.M.; Savage, N.D.L.; van Zon, M.; Wilson, L.; Vandenbroucke-Grauls, C.M.J.E.; van der Wel, N.N.; Ottenhof, T.H.M.; Bitter, W. The ESX-5 Secretion System of Mycobacterium marinum Modulates the Macrophage Response. J. Immunol. 2008, 181, 7166. [Google Scholar] [CrossRef] [Green Version]
- Ronneberger, O.; Fischer, P.; Brox, T. U-Net: Convolutional Networks for Biomedical Image Segmentation. In Proceedings of the International Conference on Medical Image Computing and Computer-Assisted Intervention, Munich, Germany, 5–9 October 2015; pp. 234–241. [Google Scholar]
- Nawaz, W.; Ahmed, S.; Tahir, A.; Khan, H.A. Classification of Breast Cancer Histology Images Using ALEXNET. In Image Analysis and Recognition; Springer: Cham, Switzerland, 2018; pp. 869–876. [Google Scholar]
- Lu, M.; Gao, L.; Guo, X.; Liu, Q.; Yin, J. HEp-2 cell Image Classification Method Based on Very Deep Convolutional Networks with Small Datasets. In Proceedings of the Ninth International Conference on Digital Image Processing (ICDIP 2017), Hong-Kong, China, 19–22 May 2017; Volume 10420, p. 1042040. [Google Scholar]
- Macawile, M.J.P.; Quiñones, V.V.; Ballado, A.; Dela Cruz, J.C.; Caya, M.V. White blood cell classification and counting using convolutional neural network. In Proceedings of the 2018 3rd International Conference on Control and Robotics Engineering (ICCRE), Nagoya, Japan, 20–23 April 2018; pp. 259–263. [Google Scholar]
- Merouane, A.; Rey-Villamizar, N.; Lu, Y.; Liadi, I.; Romain, G.; Lu, J.; Singh, H.; Cooper, L.J.N.; Varadarajan, N.; Roysam, B. Automated profiling of individual cell–cell interactions from high-throughput time-lapse imaging microscopy in nanowellgrids (TIMING). Bioinformatics 2015, 31, 3189–3197. [Google Scholar] [CrossRef] [PubMed] [Green Version]
- Hejna, M.; Jorapur, A.; Song, J.S.; Judson, R.L. High accuracy label-free classification of single-cell kinetic states from holographic cytometry of human melanoma cells. Sci. Rep. 2017, 7, 11943. [Google Scholar] [CrossRef] [PubMed]






| Date | Cell Type | No. of Cells | Total | |
|---|---|---|---|---|
| Time | ||||
| 2 hpi | uninfected | 2782 | 7292 | |
| Mm(ΔEsxAB) | 2324 | |||
| Mm(WT) | 2186 | |||
| 12 hpi | uninfected | 3616 | 10,004 | |
| Mm(ΔEsxAB) | 3378 | |||
| Mm(WT) | 3010 | |||
| 24 hpi | uninfected | 4067 | 11,109 | |
| Mm(ΔEsxAB) | 3798 | |||
| Mm(WT) | 3244 | |||
| Parameters | Range | Description | 
|---|---|---|
| rotation_range | 0.2 | rotation range | 
| rotation_scale | 1/255 | ratio of image magnification | 
| shear_range | 0.2 | range of projection transformation | 
| zoom_range | 0.2 | ratio of randomly zooming image | 
| horizontal_flip | 1 | range of horizontal translation | 
| Image Type | No. of Microscopy | Detection Results | |||||
|---|---|---|---|---|---|---|---|
| No. of Single Cell | Accuracy | Precision | Sensitivity | ||||
| 2 hpi | Uninfected | 60 | 5746 | 19,236 | 94.63% | 99.61% | 94.99% | 
| Mm(ΔEsxAB) | 90 | 8274 | |||||
| Mm(Wt.) | 90 | 5216 | |||||
| 12 hpi | Uninfected | 60 | 5802 | 25,267 | 95.05% | 99.79% | 95.24% | 
| Mm(ΔEsxAB) | 90 | 9958 | |||||
| Mm(WT) | 90 | 9507 | |||||
| 24 hpi | Uninfected | 60 | 7687 | 29,206 | 95.72% | 99.82% | 95.88% | 
| Mm(ΔEsxAB) | 90 | 10,934 | |||||
| Mm(WT) | 90 | 10,585 | |||||
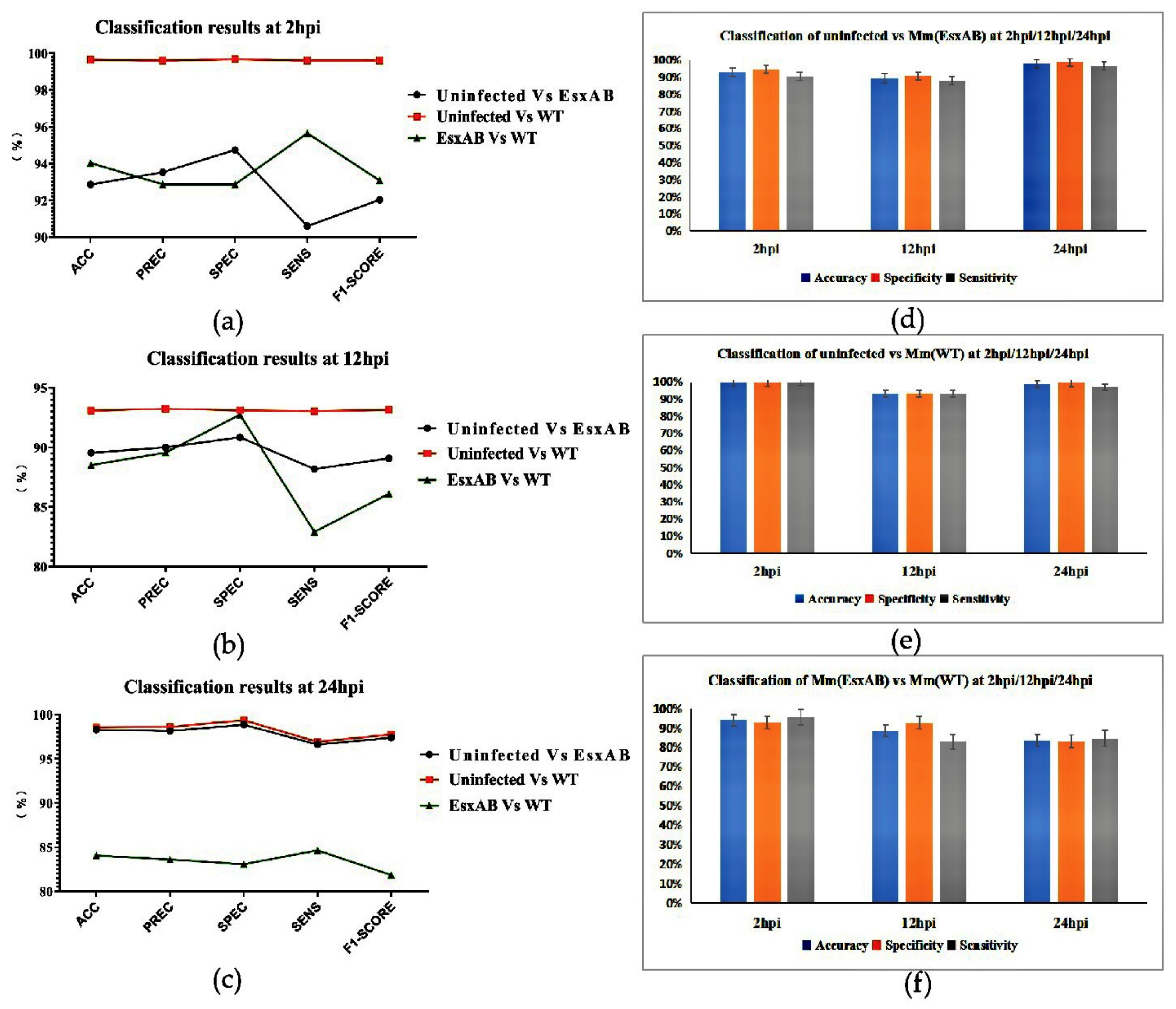
| RAW264.7 Cell Line | Results Evaluation | |||||
|---|---|---|---|---|---|---|
| Accuracy | Precision | Specificity | Sensitivity | F1-Score | ||
| 2 hpi | Uninfected vs. Mm(ΔEsxAB) | 93.32% | 95.87% | 97.03% | 88.56% | 92.07% | 
| Uninfected vs. Mm(WT) | 96.96% | 97.95% | 98.31% | 95.35% | 96.63% | |
| Mm(ΔEsxAB) vs. Mm(WT) | 90.70% | 90.70% | 90.70% | 90.70% | 90.70% | |
| 12 hpi | Uninfected vs. Mm(ΔEsxAB) | 97.79% | 96.50% | 96.32% | 99.23% | 97.85% | 
| Uninfected vs. Mm(WT) | 95.58% | 96.36% | 96.49% | 94.64% | 95.50% | |
| Mm(ΔEsxAB) vs. Mm(WT) | 84.80% | 83.41% | 84.36% | 85.27% | 84.33% | |
| 24 hpi | Uninfected vs. Mm(ΔEsxAB) | 97.18% | 97.57% | 97.57% | 96.79% | 97.18% | 
| Uninfected vs. Mm(WT) | 97.94% | 96.99% | 97.03% | 98.89% | 97.93% | |
| Mm(ΔEsxAB) vs. Mm(WT) | 88.54% | 93.10% | 94.12% | 82.73% | 87.61% | |
| THP-1 Cell Line | Accuracy | ||||
|---|---|---|---|---|---|
| Resnet_50 | Inception_V3 | Xception | AutoCellANLS | ||
| 2 hpi | Uninfected vs. Mm(ΔEsxAB) | 75.17% | 76.01% | 74.76% | 92.86% | 
| Uninfected vs. Mm(WT) | 84.16% | 83.20% | 83.36% | 99.65% | |
| Mm(ΔEsxAB) vs. Mm(WT) | 71.26% | 68.27% | 70.10% | 94.04% | |
| 12 hpi | Uninfected vs. Mm(ΔEsxAB) | 68.39% | 67.90% | 68.47% | 89.55% | 
| Uninfected vs. Mm(WT) | 80.00% | 76.02% | 77.39% | 93.07% | |
| Mm(ΔEsxAB) vs. Mm(WT) | 70.87% | 68.35% | 68.83% | 88.52% | |
| 24 hpi | Uninfected vs. Mm(ΔEsxAB) | 85.32% | 83.88% | 84.48% | 97.99% | 
| Uninfected vs. Mm(WT) | 91.09% | 89.30% | 90.77% | 98.56% | |
| Mm(ΔEsxAB) vs. Mm(WT) | 72.11% | 70.92% | 73.23% | 83.75% | |
| Publisher’s Note: MDPI stays neutral with regard to jurisdictional claims in published maps and institutional affiliations. | 
© 2022 by the authors. Licensee MDPI, Basel, Switzerland. This article is an open access article distributed under the terms and conditions of the Creative Commons Attribution (CC BY) license (https://creativecommons.org/licenses/by/4.0/).
Share and Cite
Zhuang, Y.; Zhao, X.; Huang, Z.; Han, L.; Chen, K.; Lin, J. AutoCellANLS: An Automated Analysis System for Mycobacteria-Infected Cells Based on Unstained Micrograph. Biomolecules 2022, 12, 240. https://doi.org/10.3390/biom12020240
Zhuang Y, Zhao X, Huang Z, Han L, Chen K, Lin J. AutoCellANLS: An Automated Analysis System for Mycobacteria-Infected Cells Based on Unstained Micrograph. Biomolecules. 2022; 12(2):240. https://doi.org/10.3390/biom12020240
Chicago/Turabian StyleZhuang, Yan, Xinzhuo Zhao, Zhongbing Huang, Lin Han, Ke Chen, and Jiangli Lin. 2022. "AutoCellANLS: An Automated Analysis System for Mycobacteria-Infected Cells Based on Unstained Micrograph" Biomolecules 12, no. 2: 240. https://doi.org/10.3390/biom12020240
APA StyleZhuang, Y., Zhao, X., Huang, Z., Han, L., Chen, K., & Lin, J. (2022). AutoCellANLS: An Automated Analysis System for Mycobacteria-Infected Cells Based on Unstained Micrograph. Biomolecules, 12(2), 240. https://doi.org/10.3390/biom12020240
 
         
                                                


 
       