Investigating the Effect of Tyrosine Kinase Inhibitors on the Interaction between Human Serum Albumin by Atomic Force Microscopy
Abstract
:1. Introduction
2. Materials and Methods
2.1. Materials
2.2. Functionalization of Substrate
2.3. Protein Immobilization
2.4. Functionalization of Gold-Coated Tips
2.5. AFM Imaging and Force Measurements
2.6. Molecular Docking
2.7. Statistics
3. Results and Discussion
3.1. Adhesion Event Measurement
3.2. HSA Imaged by AFM in Solution
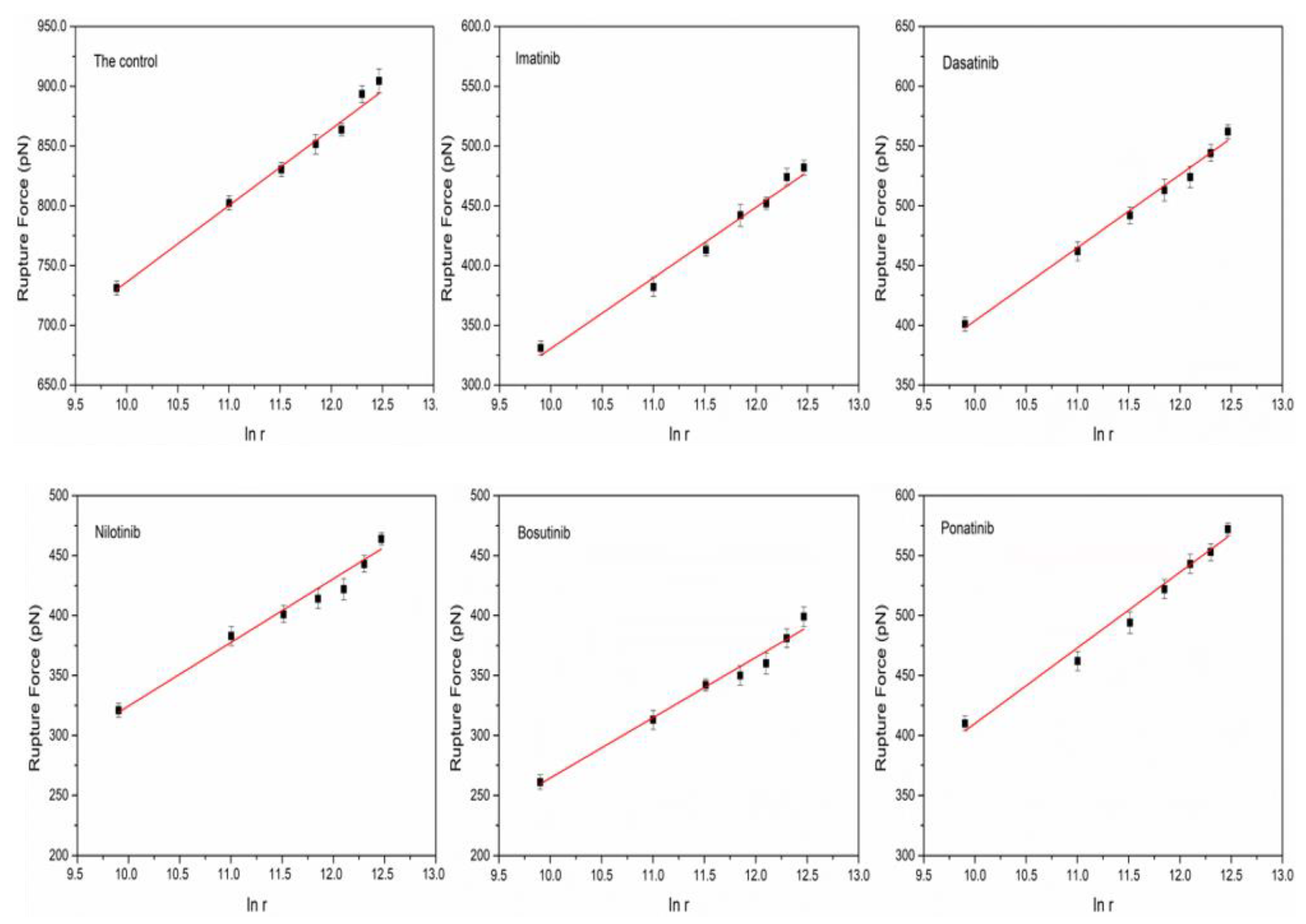
3.3. Determination of Dynamic Force Spectrum (DFS) of HSA
3.4. Molecular Docking Analysis
4. Conclusions
Author Contributions
Funding
Institutional Review Board Statement
Informed Consent Statement
Acknowledgments
Conflicts of Interest
References
- Bier, D.; Thiel, P.; Briels, J.; Ottmann, C. Stabilization of Protein-Protein Interactions in chemical biology and drug discovery. Prog. Biophys. Mol. Biol. 2015, 119, 10–19. [Google Scholar] [CrossRef] [PubMed]
- Seychell, B.C.; Beck, T. Molecular basis for protein-protein interactions. Beilstein J. Org. Chem. 2021, 17, 1–10. [Google Scholar] [CrossRef] [PubMed]
- Elhabashy, H.; Merino, F.; Alva, V.; Kohlbacher, O.; Lupas, A.N. Exploring protein-protein interactions at the proteome level. Structure 2022, 30, 462–475. [Google Scholar] [CrossRef] [PubMed]
- Amir, M.; Qureshi, M.A.; Javed, S. Biomolecular interactions and binding dynamics of tyrosine kinase inhibitor erdafitinib, with human serum albumin. J. Biomol. Struct. Dyn. 2021, 39, 3934–3947. [Google Scholar] [CrossRef]
- Kabir, M.Z.; Feroz, S.R.; Mukarram, A.K.; Alias, Z.; Mohamad, S.B.; Tayyab, S. Interaction of a tyrosine kinase inhibitor, vandetanib with human serum albumin as studied by fluorescence quenching and molecular docking. J. Biomol. Struct. Dyn. 2016, 34, 1693–1704. [Google Scholar] [CrossRef]
- Wani, T.A.; Alanazi, M.M.; Alsaif, N.A.; Bakheit, A.H.; Zargar, S.; Alsalami, O.M.; Khan, A.A. Interaction Characterization of a Tyrosine Kinase Inhibitor Erlotinib with a Model Transport Protein in the Presence of Quercetin: A Drug-Protein and Drug-Drug Interaction Investigation Using Multi-Spectroscopic and Computational Approaches. Molecules 2022, 27, 1265. [Google Scholar] [CrossRef]
- Olah, J.; Szenasi, T.; Lehotzky, A.; Norris, V.; Ovadi, J. Challenges in Discovering Drugs That Target the Protein-Protein Interactions of Disordered Proteins. Int. J. Mol. Sci. 2022, 23, 1550. [Google Scholar] [CrossRef]
- Yan, Y.; Huang, S.Y. Accurate prediction of inter-protein residue-residue contacts for homo-oligomeric protein complexes. Brief. Bioinform. 2021, 22, bbab038. [Google Scholar] [CrossRef]
- Kuusk, A.; Boyd, H.; Chen, H.; Ottmann, C. Small-molecule modulation of p53 protein-protein interactions. Biol. Chem. 2020, 401, 921–931. [Google Scholar] [CrossRef]
- Yan, J.; Wu, D.; Sun, P.; Ma, X.; Wang, L.; Li, S.; Xu, K.; Li, H. Binding mechanism of the tyrosine-kinase inhibitor nilotinib to human serum albumin determined by 1H STD NMR, 19F NMR, and molecular modeling. J. Pharm. Biomed. Anal. 2016, 124, 1–9. [Google Scholar] [CrossRef]
- Tian, X.; Zhang, H.; Heimbach, T.; He, H.; Buchbinder, A.; Aghoghovbia, M.; Hourcade-Potelleret, F. Clinical Pharmacokinetic and Pharmacodynamic Overview of Nilotinib, a Selective Tyrosine Kinase Inhibitor. J. Clin. Pharmacol. 2018, 58, 1533–1540. [Google Scholar] [CrossRef] [PubMed] [Green Version]
- Cheng, M.; Yang, F.; Liu, J.; Yang, D.; Zhang, S.; Yu, Y.; Jiang, S.; Dong, M. Tyrosine Kinase Inhibitors-Induced Arrhythmias: From Molecular Mechanisms, Pharmacokinetics to Therapeutic Strategies. Front. Cardiovasc. Med. 2021, 8, 758010. [Google Scholar] [CrossRef] [PubMed]
- Tang, Z.; Takahashi, Y. Analysis of Protein-Protein Interaction by Co-IP in Human Cells. Methods Mol. Biol. 2018, 1794, 289–296. [Google Scholar] [CrossRef] [PubMed]
- Xing, S.; Wallmeroth, N.; Berendzen, K.W.; Grefen, C. Techniques for the Analysis of Protein-Protein Interactions in Vivo. Plant Physiol. 2016, 171, 727–758. [Google Scholar] [CrossRef] [Green Version]
- Louche, A.; Salcedo, S.P.; Bigot, S. Protein-Protein Interactions: Pull-Down Assays. Methods Mol. Biol. 2017, 1615, 247–255. [Google Scholar] [CrossRef]
- Han, S.W.; Morita, K.; Simona, P.; Kihara, T.; Miyake, J.; Banu, M.; Adachi, T. Probing actin filament and binding protein interaction using an atomic force microscopy. J. Nanosci. Nanotechnol. 2014, 14, 5654–5657. [Google Scholar] [CrossRef]
- Srivastava, R.; Alam, M.S. Influence of micelles on protein’s denaturation. Int. J. Biol. Macromol. 2020, 145, 252–261. [Google Scholar] [CrossRef]
- Carvalho, A.M.; Fernandes, E.; Goncalves, H.; Giner-Casares, J.J.; Bernstorff, S.; Nieder, J.B.; Real Oliveira, M.; Lucio, M. Prediction of paclitaxel pharmacokinetic based on in vitro studies: Interaction with membrane models and human serum albumin. Int. J. Pharm. 2020, 580, 119222. [Google Scholar] [CrossRef]
- Karacsony, O.; Akhremitchev, B.B. On the detection of single bond ruptures in dynamic force spectroscopy by AFM. Langmuir 2011, 27, 11287–11291. [Google Scholar] [CrossRef]
- Reiter-Scherer, V.; Cuellar-Camacho, J.L.; Bhatia, S.; Haag, R.; Herrmann, A.; Lauster, D.; Rabe, J.P. Force Spectroscopy Shows Dynamic Binding of Influenza Hemagglutinin and Neuraminidase to Sialic Acid. Biophys. J. 2019, 116, 1037–1048. [Google Scholar] [CrossRef] [Green Version]
- Zocher, M.; Roos, C.; Wegmann, S.; Bosshart, P.D.; Dotsch, V.; Bernhard, F.; Muller, D.J. Single-molecule force spectroscopy from nanodiscs: An assay to quantify folding, stability, and interactions of native membrane proteins. ACS Nano 2012, 6, 961–971. [Google Scholar] [CrossRef] [PubMed]
- Marcuello, C.; de Miguel, R.; Lostao, A. Molecular Recognition of Proteins through Quantitative Force Maps at Single Molecule Level. Biomolecules 2022, 12, 594. [Google Scholar] [CrossRef] [PubMed]
- Marcuello, C.; de Miguel, R.; Martinez-Julvez, M.; Gomez-Moreno, C.; Lostao, A. Mechanostability of the Single-Electron-Transfer Complexes of Anabaena Ferredoxin-NADP(+) Reductase. ChemPhysChem 2015, 16, 3161–3169. [Google Scholar] [CrossRef] [PubMed]
- Burmistrova, A.; Fresch, B.; Sluysmans, D.; De Pauw, E.; Remacle, F.; Duwez, A.S. Force measurements reveal how small binders perturb the dissociation mechanisms of DNA duplex sequences. Nanoscale 2016, 8, 11718–11726. [Google Scholar] [CrossRef]
- Green, N.H.; Williams, P.M.; Wahab, O.; Davies, M.C.; Roberts, C.J.; Tendler, S.J.; Allen, S. Single-molecule investigations of RNA dissociation. Biophys. J. 2004, 86, 3811–3821. [Google Scholar] [CrossRef] [Green Version]
- Marcuello, C.; Foulon, L.; Chabbert, B.; Aguie-Beghin, V.; Molinari, M. Atomic force microscopy reveals how relative humidity impacts the Young’s modulus of lignocellulosic polymers and their adhesion with cellulose nanocrystals at the nanoscale. Int. J. Biol. Macromol. 2020, 147, 1064–1075. [Google Scholar] [CrossRef]
- Dufrene, Y.F.; Ando, T.; Garcia, R.; Alsteens, D.; Martinez-Martin, D.; Engel, A.; Gerber, C.; Muller, D.J. Imaging modes of atomic force microscopy for application in molecular and cell biology. Nat. Nanotechnol. 2017, 12, 295–307. [Google Scholar] [CrossRef]
- Lv, Z.; Wang, J.; Chen, G.; Deng, L. Probing specific interaction forces between human IgG and rat anti-human IgG by self-assembled monolayer and atomic force microscopy. Nanoscale Res. Lett. 2010, 5, 1032–1038. [Google Scholar] [CrossRef] [Green Version]
- Yang, J.; Petitjean, S.J.L.; Koehler, M.; Zhang, Q.; Dumitru, A.C.; Chen, W.; Derclaye, S.; Vincent, S.P.; Soumillion, P.; Alsteens, D. Molecular interaction and inhibition of SARS-CoV-2 binding to the ACE2 receptor. Nat. Commun. 2020, 11, 4541. [Google Scholar] [CrossRef]
- Hane, F.T.; Attwood, S.J.; Leonenko, Z. Comparison of three competing dynamic force spectroscopy models to study binding forces of amyloid-beta (1–42). Soft Matter 2014, 10, 1924–1930. [Google Scholar] [CrossRef]
- Lupidi, G.; Scire, A.; Camaioni, E.; Khalife, K.H.; De Sanctis, G.; Tanfani, F.; Damiani, E. Thymoquinone, a potential therapeutic agent of Nigella sativa, binds to site I of human serum albumin. Phytomedicine 2010, 17, 714–720. [Google Scholar] [CrossRef] [PubMed]
- Francis, J.A.; Shalauddin, M.; Ridzwan, N.F.W.; Mohamad, S.B.; Basirun, W.J.; Tayyab, S. Interaction mechanism of an antimalarial drug, sulfadoxine with human serum albumin. Spectrosc. Lett. 2020, 53, 391–405. [Google Scholar] [CrossRef]
- Mic, M.; Pîrnău, A.; Floare, C.G.; Marc, G.; Franchini, A.H.; Oniga, O.; Vlase, L.; Bogdan, M. Synthesis and molecular interaction study of a diphenolic hidrazinyl-thiazole compound with strong antioxidant and antiradical activity with HSA. J. Mol. Struct. 2021, 1244, 131278. [Google Scholar] [CrossRef]
- Alsteens, D.; Gaub, H.E.; Newton, R.; Pfreundschuh, M.; Gerber, C.; Müller, D.J. Atomic force microscopy-based characterization and design of biointerfaces. Nat. Rev. Mater. 2017, 2, 17008. [Google Scholar] [CrossRef]
- Wildling, L.; Rankl, C.; Haselgrubler, T.; Gruber, H.J.; Holy, M.; Newman, A.H.; Zou, M.F.; Zhu, R.; Freissmuth, M.; Sitte, H.H.; et al. Probing binding pocket of serotonin transporter by single molecular force spectroscopy on living cells. J. Biol. Chem. 2012, 287, 105–113. [Google Scholar] [CrossRef] [PubMed] [Green Version]
- Noy, A.; Friddle, R.W. Practical single molecule force spectroscopy: How to determine fundamental thermodynamic parameters of intermolecular bonds with an atomic force microscope. Methods 2013, 60, 142–150. [Google Scholar] [CrossRef] [PubMed]
- Piergies, N.; Dazzi, A.; Deniset-Besseau, A.; Mathurin, J.; Oćwieja, M.; Paluszkiewicz, C.; Kwiatek, W.M. Nanoscale image of the drug/metal mono-layer interaction: Tapping AFM-IR investigations. Nano Res. 2020, 13, 1020–1028. [Google Scholar] [CrossRef] [Green Version]
- Chen, Y.; Busscher, H.J.; van der Mei, H.C.; Norde, W. Statistical analysis of long- and short-range forces involved in bacterial adhesion to substratum surfaces as measured using atomic force microscopy. Appl. Environ. Microbiol. 2011, 77, 5065–5070. [Google Scholar] [CrossRef] [Green Version]
- Abu-Lail, N.I.; Camesano, T.A. Specific and nonspecific interaction forces between Escherichia coli and silicon nitride, determined by Poisson statistical analysis. Langmuir 2006, 22, 7296–7301. [Google Scholar] [CrossRef]
- Qin, F. A study of specific interaction of the transcription factor and the DNA element by atomic force microscopy. Chin. Sci. Bull. 2004, 49, 1376. [Google Scholar] [CrossRef]
- Lee, C.K.; Wang, Y.M.; Huang, L.S.; Lin, S. Atomic force microscopy: Determination of unbinding force, off rate and energy barrier for protein-ligand interaction. Micron 2007, 38, 446–461. [Google Scholar] [CrossRef] [PubMed]
- Desmeules, P.; Grandbois, M.; Bondarenko, V.A.; Yamazaki, A.; Salesse, C. Measurement of Membrane Binding between Recoverin, a Calcium-Myristoyl Switch Protein, and Lipid Bilayers byAFM-Based Force Spectroscopy. Biophys. J. 2002, 82, 3343–3350. [Google Scholar] [CrossRef] [Green Version]
- Kalhor, N.F.; Saeidifar, M.; Ramshini, H.; Saboury, A.A. Interaction, cytotoxicity and sustained release assessment of a novel anti-tumor agent using bovine serum albumin nanocarrier. J. Biomol. Struct. Dyn. 2020, 38, 2546–2558. [Google Scholar] [CrossRef]
- Naveenraj, S.; Anandan, S. Binding of serum albumins with bioactive substances—Nanoparticles to drugs. J. Photochem. Photobiol. C Photochem. Rev. 2013, 14, 53–71. [Google Scholar] [CrossRef]
- Mitsakakis, K.; Lousinian, S.; Logothetidis, S. Early stages of human plasma proteins adsorption probed by Atomic Force Microscope. Biomol. Eng. 2007, 24, 119–124. [Google Scholar] [CrossRef] [PubMed]
- Wang, Y.; Wang, J.; Huang, S.; Liu, C.; Fu, Y. Evaluating the effect of aminoglycosides on the interaction between bovine serum albumins by atomic force microscopy. Int. J. Biol. Macromol. 2019, 134, 28–35. [Google Scholar] [CrossRef]
- Zheng, Y.; Wang, Q.; Yang, X.; Li, Z.; Gao, L.; Zhang, H.; Nie, W.; Geng, X.; Wang, K. Investigation of the interactions between aptamer and misfolded proteins: From monomer and oligomer to fibril by single-molecule force spectroscopy. J. Mol. Recognit. 2018, 31, e2686. [Google Scholar] [CrossRef]
- Li, D.; Ji, B. Predicted rupture force of a single molecular bond becomes rate independent at ultralow loading rates. Phys. Rev. Lett. 2014, 112, 078302. [Google Scholar] [CrossRef]
- Paananen, A.; Weich, S.; Szilvay, G.R.; Leitner, M.; Tappura, K.; Ebner, A. Quantifying biomolecular hydrophobicity: Single molecule force spectroscopy of class II hydrophobins. J. Biol. Chem. 2021, 296, 100728. [Google Scholar] [CrossRef]
- Perez-Dominguez, S.; Caballero-Mancebo, S.; Marcuello, C.; Martinez-Julvez, M.; Medina, M.; Lostao, A. Nanomechanical Study of Enzyme: Coenzyme Complexes: Bipartite Sites in Plastidic Ferredoxin-NADP(+) Reductase for the Interaction with NADP(+). Antioxidants 2022, 11, 537. [Google Scholar] [CrossRef]
- Harder, A.; Walhorn, V.; Dierks, T.; Fernandez-Busquets, X.; Anselmetti, D. Single-molecule force spectroscopy of cartilage aggrecan self-adhesion. Biophys. J. 2010, 99, 3498–3504. [Google Scholar] [CrossRef] [PubMed] [Green Version]
- Lebed, K.; Kulik, A.J.; Forro, L.; Lekka, M. Atomic force microscopy and quartz crystal microbalance study of the lectin-carbohydrate interaction kinetics. Acta Phys. Pol. A 2007, 111, 273–286. [Google Scholar] [CrossRef]
- Sletmoen, M.; Dam, T.K.; Gerken, T.A.; Stokke, B.T.; Brewer, C.F. Single-molecule pair studies of the interactions of the alpha-GalNAc (Tn-antigen) form of porcine submaxillary mucin with soybean agglutinin. Biopolymers 2009, 91, 719–728. [Google Scholar] [CrossRef] [PubMed] [Green Version]
- Di Muzio, E.; Polticelli, F.; Trezza, V.; Fanali, G.; Fasano, M.; Ascenzi, P. Imatinib binding to human serum albumin modulates heme association and reactivity. Arch. Biochem. Biophys. 2014, 560, 100–112. [Google Scholar] [CrossRef]
- Pawar, S.K.; Naik, R.S.; Seetharamappa, J. Exploring the binding of two potent anticancer drugs bosutinib and imatinib mesylate with bovine serum albumin: Spectroscopic and molecular dynamic simulation studies. Anal. Bioanal. Chem. 2017, 409, 6325–6335. [Google Scholar] [CrossRef]
- Tayyab, S.; Sam, S.E.; Kabir, M.Z.; Ridzwan, N.F.W.; Mohamad, S.B. Molecular interaction study of an anticancer drug, ponatinib with human serum albumin using spectroscopic and molecular docking methods. Spectrochim. Acta A Mol. Biomol. Spectrosc. 2019, 214, 199–206. [Google Scholar] [CrossRef] [PubMed]
- Domotor, O.; Pelivan, K.; Borics, A.; Keppler, B.K.; Kowol, C.R.; Enyedy, E.A. Comparative studies on the human serum albumin binding of the clinically approved EGFR inhibitors gefitinib, erlotinib, afatinib, osimertinib and the investigational inhibitor KP2187. J. Pharm. Biomed. Anal. 2018, 154, 321–331. [Google Scholar] [CrossRef] [Green Version]








| Location | μm (pN) | σ2m (pN2) | Size of Set (N) |
|---|---|---|---|
| 1 | 712.2 | 28.6 | 47 |
| 2 | 783.3 | 31.4 | 49 |
| 3 | 827.7 | 34.0 | 50 |
| 4 | 868.9 | 36.1 | 45 |
| 5 | 932.2 | 39.2 | 48 |
| 6 | 963.4 | 40.1 | 47 |
| Sample | μ (nm) | sa (nm) |
|---|---|---|
| The control | 15.42 ± 0.13 | 1.640 ± 0.023 |
| Imatinib | 14.30 ± 0.07 | 1.311 ± 0.020 |
| Dasatinib | 14.20 ± 0.12 | 1.318 ± 0.013 |
| Nilotinib | 14.07 ± 0.15 | 1.302 ± 0.018 |
| Bosutinib | 14.11 ± 0.09 | 1.330 ± 0.021 |
| Ponatinib | 14.19 ± 0.16 | 1.298 ± 0.015 |
| Group | Retraction Velocity | Loading Rate | Rupture Force |
|---|---|---|---|
| (PBS) | (nm/s) | (pN/s) | (pN) |
| 1 | 100.0 | 2.0 × 104 | 731.1 |
| 2 | 300.0 | 6.0 × 104 | 802.3 |
| 3 | 500.0 | 1.0 × 105 | 830.3 |
| 4 | 700.0 | 1.4 × 105 | 851.5 |
| 5 | 900.0 | 1.8 × 105 | 863.7 |
| 6 | 1100.0 | 2.2 × 105 | 893.4 |
| 7 | 1300.0 | 2.6 × 105 | 904.5 |
| Sample | koff (s−1) | xβ (nm) | τ (s) |
|---|---|---|---|
| The control | 0.106 | 0.063 | 9.433 |
| Imatinib | 0.256 | 0.059 | 3.906 |
| Nilotinib | 0.197 | 0.052 | 5.076 |
| Dasatinib | 0.200 | 0.060 | 5.000 |
| Bosutinib | 0.242 | 0.050 | 4.132 |
| Ponatinib | 0.213 | 0.062 | 4.695 |
Publisher’s Note: MDPI stays neutral with regard to jurisdictional claims in published maps and institutional affiliations. |
© 2022 by the authors. Licensee MDPI, Basel, Switzerland. This article is an open access article distributed under the terms and conditions of the Creative Commons Attribution (CC BY) license (https://creativecommons.org/licenses/by/4.0/).
Share and Cite
Fu, Y.; Wang, J.; Wang, Y.; Sun, H. Investigating the Effect of Tyrosine Kinase Inhibitors on the Interaction between Human Serum Albumin by Atomic Force Microscopy. Biomolecules 2022, 12, 819. https://doi.org/10.3390/biom12060819
Fu Y, Wang J, Wang Y, Sun H. Investigating the Effect of Tyrosine Kinase Inhibitors on the Interaction between Human Serum Albumin by Atomic Force Microscopy. Biomolecules. 2022; 12(6):819. https://doi.org/10.3390/biom12060819
Chicago/Turabian StyleFu, Yuna, Jianhua Wang, Yan Wang, and Heng Sun. 2022. "Investigating the Effect of Tyrosine Kinase Inhibitors on the Interaction between Human Serum Albumin by Atomic Force Microscopy" Biomolecules 12, no. 6: 819. https://doi.org/10.3390/biom12060819
APA StyleFu, Y., Wang, J., Wang, Y., & Sun, H. (2022). Investigating the Effect of Tyrosine Kinase Inhibitors on the Interaction between Human Serum Albumin by Atomic Force Microscopy. Biomolecules, 12(6), 819. https://doi.org/10.3390/biom12060819

