Araufuranone: A New Phytotoxic Tetrasubstituted Dihydrofuro[3,2-b]furan-2(5H)-One Isolated from Ascochyta araujiae
Abstract
:1. Introduction
2. Materials and Methods
2.1. General Experimental Procedures
2.2. Fungal Isolates and Culture Conditions
2.3. Extraction and Purification of A. araujiae Metabolites
2.4. Phytotoxic Assays
2.4.1. Bioassay on Phelipanche ramosa Seeds
2.4.2. Bioassay on Punctured Leaves
2.4.3. Bioassay on Garden Cress (Lepidium sativus L.) Seeds
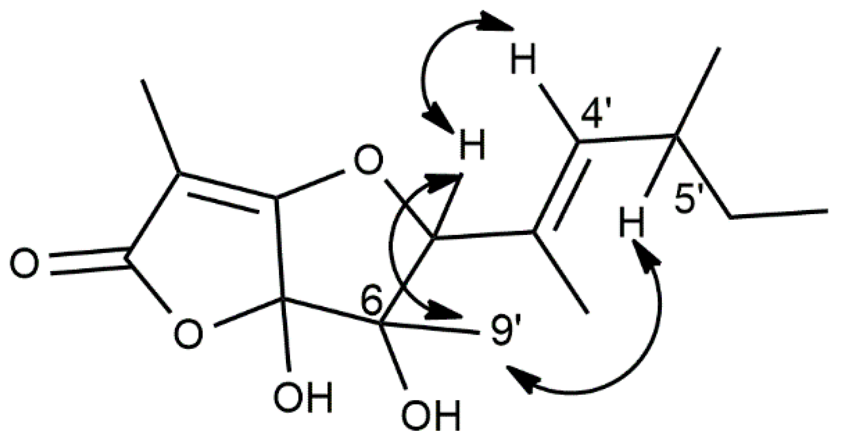
3. Results and Discussion
4. Conclusions
Supplementary Materials
Author Contributions
Funding
Institutional Review Board Statement
Informed Consent Statement
Acknowledgments
Conflicts of Interest
References
- Csurhes, S.; Edwards, R. Potential Environmental Weeds in Australia: Candidate Species for Preventative Control; Queensland Department of Natural Resources: Canberra, Australia, 1998; p. 208. [Google Scholar]
- Bayón, N.D.; Arambarri, A.M. Anatomy andethnobotany of the medicinal species of the Pampean province: Asclepiadaceae. Acta Farm. Bonaer 1999, 18, 23–31. [Google Scholar]
- Endress, M.E.; Bruyns, P.V. A revised classification of the Apocynaceae sl. Bot. Rev. 2000, 66, 1–56. [Google Scholar] [CrossRef]
- Elorza, M.S.; Sánchez, E.D.D.; Sobrino Vesperinas, E. Atlas de las Plantas Alóctonas Invasoras en España; Dirección General para la Biodiversidad: Madrid, Spain, 2004. [Google Scholar]
- Bucciarelli, A.; Cambi, V.N.; Villamil, C.B. Morphoanatomy of Araujia hortorum E. Fourn. (Asclepiadaceae), native species with medicinal interest. Phyton Buenos Aires 2008, 77, 283–295. [Google Scholar]
- Champion, P.D.; James, T.K.; Dawson, M.I. New names for New Zealand weeds. N. Z. Plant Prot. 2010, 63, 72–77. [Google Scholar] [CrossRef]
- Coombs, G.; Peter, C.I. The invasive ‘mothcatcher’ (Araujia sericifera Brot.; Asclepiadoideae) co-opts native honeybees as its primary pollinator in South Africa. AoB Plants 2010, 2010, plq021. [Google Scholar] [CrossRef] [PubMed]
- Winks, C.J.; Fowler, S.V. Prospects for Biological Control of Moth Plant, Araujia sericifera (Asclepiadaceae); Landcare Research: Auckland, New Zealand, 2000. [Google Scholar]
- Waipara, N.W.; Winks, C.J.; Gianotti, A.F.; Villamil, C.B.; Villamil, S.C.; Delhey, R.; Kiehr, M.; Traversa, M.G.; Carpintero, D.L. Surveys for potential biocontrol agents for moth plant in New Zealand and Argentina. N. Z. Plant Prot. 2006, 59, 18–22. [Google Scholar] [CrossRef]
- Anderson, F.E.; Santos López, S.P.; Sánchez, R.M.; Reinoso Fuentealba, C.G.; Barton, J. Puccinia araujiae, a promising classical biocontrol agent for moth plant in New Zealand: Biology, host range and hyperparasitism by Cladosporium uredinicola. Biol. Control 2016, 95, 23–30. [Google Scholar] [CrossRef]
- Ramírez, G.H.; Anderson, F.E. Characterization of an Ascochyta disease of the invasive vine Araujia hortorum E. Fourn. (Apocynaceae). J. King Saud Univ. Sci. 2019, 31, 1366–1372. [Google Scholar] [CrossRef]
- Ramírez, G.H.; María Virginia Bianchinotti, V.; Anderson, F.E. Single and combined effect of two fungal diseases on growth of moth plant, Araujia hortorum (Apocynaceae). N. Z. J. Bot. 2022, 60, 88–106. [Google Scholar] [CrossRef]
- Berger, S.; Braun, S. 200 and More Basic NMR Experiments: A Practical Course, 1st ed.; Wiley-VCH: Weinheim, Germany, 2004. [Google Scholar]
- Spegazzini, C.L. Fungi argentini additis nonnullis brasiliensibus montevideensibusque. Pugillus Quartus An. Soc. Cient. Argent. 1882, 13, 1–35. [Google Scholar]
- de Hoog, G.S.; Gerrits van den Ende, A.H.G. Molecular diagnostics of clinical strains of filamentous Basidiomycetes. Mycoses 1998, 41, 183–189. [Google Scholar] [CrossRef] [PubMed]
- White, T.J.; Bruns, T.; Lee, S.; Taylor, J. Amplification and direct sequencing of fungal ribosomal RNA genes for phylogenetics. In PCR Protocols: A Guide to Methods and Amplifications; Innis, M.A., Gelfand, D.H., Sninsky, J.J., White, T.J., Eds.; Academic Press: San Diego, CA, USA, 1990; pp. 315–322. [Google Scholar]
- Rehner, S.A.; Samuels, G.J. Taxonomy and phylogeny of Gliocladium analysed from nuclear large subunit ribosomal DNA sequences. Mycol. Res. 1994, 98, 625–634. [Google Scholar] [CrossRef]
- Vilgalys, R.; Hester, M. Rapid genetic identification and mapping of enzymatically amplified ribosomal DNA from several Cryptococcus species. J. Bacteriol. 1990, 172, 4238–4246. [Google Scholar] [CrossRef] [PubMed]
- Pinkerton, F.; Strobel, G.A. Serinol as an activator of toxin production in attenuated cultures of Heliminthosporium sacchari. Proc. Natl. Acad. Sci. USA 1976, 73, 4007–4011. [Google Scholar] [CrossRef] [PubMed]
- Vurro, M.; Boari, A.; Pilgeram, A.L.; Sands, D.C. Exogenous amino acids inhibit seed germination and tubercle formation by Orobanche ramosa (broomrape): Potential application for management of parasitic weeds. Biol. Control 2006, 36, 258–265. [Google Scholar] [CrossRef]
- Pretsch, E.; Buhlmann, P.; Affolter, C. Structure Determination of Organic Compounds Tables of Spectral Data, 3rd ed.; Springer: Berlin, Germany, 2000; pp. 161–243. [Google Scholar]
- Breitmaier, E.; Voelter, W. Carbon-13 NMR Spectroscopy; VCH: Weinheim, Germany, 1987; pp. 183–280. [Google Scholar]
- Nakanishi, K.; Solomon, P.H. Infrared Absorption Spectroscopy, 2nd ed.; Holden Day: Oakland, UK, 1977; pp. 17–44. [Google Scholar]
- Turner, W.B.; Aldridge, D.C. Fungal Metabolite II; Academic Press: London, UK, 1983. [Google Scholar]
- Dewick, P.M. Medicinal Natural Products: A Biosynthetic Approach, 3rd ed.; Wiley: Hoboken, NJ, USA, 2006. [Google Scholar]
- Evidente, A.; Kornienko, A.; Lefranc, F.; Cimmino, A.; Dasari, R.; Evidente, M.; Mathieu, V.; Kiss, R. Sesterterpenoids with anticancer activity. Curr. Med. Chem. 2015, 22, 3502–3522. [Google Scholar] [CrossRef]
- Masi, M.; Maddau, L.; Linaldeddu, B.T.; Scanu, B.; Evidente, A.; Cimmino, A. Bioactive metabolites from pathogenic and endophytic fungi of forest trees. Curr. Med. Chem. 2018, 25, 208–252. [Google Scholar] [CrossRef]
- Gabriele, B.; Chimento, A.; Mancuso, R.; Pezzi, V.; Ziccarelli, I.; Sirianni, R. Preparation of Dihydrofurofuranone Derivatives for Use as Antitumor Agents. EP 3428169A1, 16 January 2019. [Google Scholar]
- Nakajima, H.; Nishimura, K.; Hamasaki, T.; Kimura, Y.; Udagawa, S. Structure of neovasinin a new metabolite produced by the fungus, Neocosmospora vasinfecta E.F. Smith, and its biological activity to lettuce seedlings. Agric. Biol. Chem. 1987, 51, 2831–2833. [Google Scholar] [CrossRef]
- Domsch, K.H.; Grams, W.; Anderson, T.H. Compendium of Soil Fungi; Academic Press: London, UK, 1980; Volume 1–2, pp. 859, 405. [Google Scholar]
- Nakajima, H.; Nishimura, K.; Hamasaki, T.; Kimura, Y.; Yokota, T.; Udagawa, S.I. Structure of neovasinone, a new α-pyrone plant growth regulator produced by the fungus, Neocosmospora vasinfecta EF Smith. Agric. Biol. Chem. 1987, 51, 1221–1224. [Google Scholar]
- Ballantine, J.A.; Hassall, C.H.; Jones, B.D. The biosynthesis of phenols—XVII: Some phenolic metabolites of mutant strains of Aspergillus regulosus. Phytochemistry 1968, 7, 1529–1534. [Google Scholar] [CrossRef]
- Nakajima, H.; Fujuyama, K.; Kimura, Y.; Hamasaki, T. Absolute stereochemistry of neovasinin, a phytotoxin produced by the fungus, Neocosmospora vasinfecta. Biosci. Biotech. Biochem. 1992, 56, 1148–1149. [Google Scholar] [CrossRef] [PubMed]
- Feng, Q.M.; Li, X.Y.; Li, B.X.; Zhang, T.Y.; Wang, H.F.; Zhang, M.Y.; Wu, Y.Y.; Chen, G.; Zhang, Y.X.; Pei, Y.H. Isolation and identification of two new compounds from the Penicillium sp. SYPF7381. Nat. Prod. Res. 2020, 34, 2007–2013. [Google Scholar] [CrossRef] [PubMed]
- Yu, R.; Li, M.; Wang, Y.; Bai, X.; Chen, J.; Li, X.; Wang, H.; Zhang, H. Chemical investigation of a co-culture of Aspergillus fumigatus D and Fusarium oxysporum R1. Rec. Nat. Prod. 2021, 15, 130–135. [Google Scholar] [CrossRef]
- Ma, Y.; Wen, Y.; Cheng, H.; Deng, J.; Peng, Y.; Bahetejiang, Y.; Huang, H.; Wu, C.; Yang, X.; Pang, K. Penpolonins A–E, cytotoxic α-pyrone derivatives from Penicillium polonicum. Bioorg. Med. Chem. Lett. 2021, 40, 127921. [Google Scholar] [CrossRef] [PubMed]
- Weon, J.B.; Jung, Y.S.; Ma, C.J. Neuroprotective activity of compounds of Clematis mandshurica against glutamate-induced cell death in HT22 cells. Planta Med. 2016, 82, P1100. [Google Scholar] [CrossRef]



| Position | δC c | δH (J in Hz) | HMBC |
|---|---|---|---|
| 2 | 166.5 C | - | CH3-1′ |
| 3 | 98.4 C | - | CH3-1′ |
| 3a | 157.0 C | - | CH3-9′ |
| 5 | 80.3 CH | 4.37 s | CH3-9′, CH3-2′ |
| 6 | 68.1 C | - | H-5, CH3-9′ |
| 6a | 94.8 C | - | H-5 |
| 1′ | 7.2 CH3 | 1.90 s | - |
| 2′ | 12.4 CH3 | 1.81 br s | H-5, H-4′ |
| 3′ | 130.5 C | - | H-5, CH3-2′ |
| 4′ | 138.0 CH | 5.22 dd (9.4, 1.2) | H-5, CH3-2′, CH3-8′ |
| 5′ | 33.5 CH | 2.43 m | CH3-7′, CH3-8′ |
| 6′ | 29.9 CH2 | 1.29 m | CH3-7′, CH3-8′ |
| 7′ | 11.3 CH3 | 0.91 t (7.3) | H-4′ |
| 8′ | 19.7 CH3 | 0.98 d (6.9) | H2C-6′ |
| 9′ | 18.5 CH3 | 1.38 s | H-5 |
Publisher’s Note: MDPI stays neutral with regard to jurisdictional claims in published maps and institutional affiliations. |
© 2022 by the authors. Licensee MDPI, Basel, Switzerland. This article is an open access article distributed under the terms and conditions of the Creative Commons Attribution (CC BY) license (https://creativecommons.org/licenses/by/4.0/).
Share and Cite
Masi, M.; Boari, A.; Sautua, F.; Carmona, M.A.; Vurro, M.; Evidente, A. Araufuranone: A New Phytotoxic Tetrasubstituted Dihydrofuro[3,2-b]furan-2(5H)-One Isolated from Ascochyta araujiae. Biomolecules 2022, 12, 1274. https://doi.org/10.3390/biom12091274
Masi M, Boari A, Sautua F, Carmona MA, Vurro M, Evidente A. Araufuranone: A New Phytotoxic Tetrasubstituted Dihydrofuro[3,2-b]furan-2(5H)-One Isolated from Ascochyta araujiae. Biomolecules. 2022; 12(9):1274. https://doi.org/10.3390/biom12091274
Chicago/Turabian StyleMasi, Marco, Angela Boari, Francisco Sautua, Marcelo Anibal Carmona, Maurizio Vurro, and Antonio Evidente. 2022. "Araufuranone: A New Phytotoxic Tetrasubstituted Dihydrofuro[3,2-b]furan-2(5H)-One Isolated from Ascochyta araujiae" Biomolecules 12, no. 9: 1274. https://doi.org/10.3390/biom12091274
APA StyleMasi, M., Boari, A., Sautua, F., Carmona, M. A., Vurro, M., & Evidente, A. (2022). Araufuranone: A New Phytotoxic Tetrasubstituted Dihydrofuro[3,2-b]furan-2(5H)-One Isolated from Ascochyta araujiae. Biomolecules, 12(9), 1274. https://doi.org/10.3390/biom12091274

