Time-Course Transcriptome Analysis of the Lungs of Mice Challenged with Aerosols of Methicillin-Resistant Staphylococcus aureus USA300 Clone Reveals Inflammatory Balance
Abstract
1. Introduction
2. Materials and Methods
2.1. Bacterial Strain and Growth Conditions
2.2. Animal Infection and Sample Acquisition
2.3. Histopathological Validation
2.4. RNA Extraction, Library Preparation, and Sequencing
2.5. Screening and Functional Analysis of DEGs
2.6. Time-Series Gene Clustering
2.7. Construction of WGCNA and Core Gene Extraction
2.8. Flow Cytometric Analysis
2.9. Protein Interaction Network Analysis
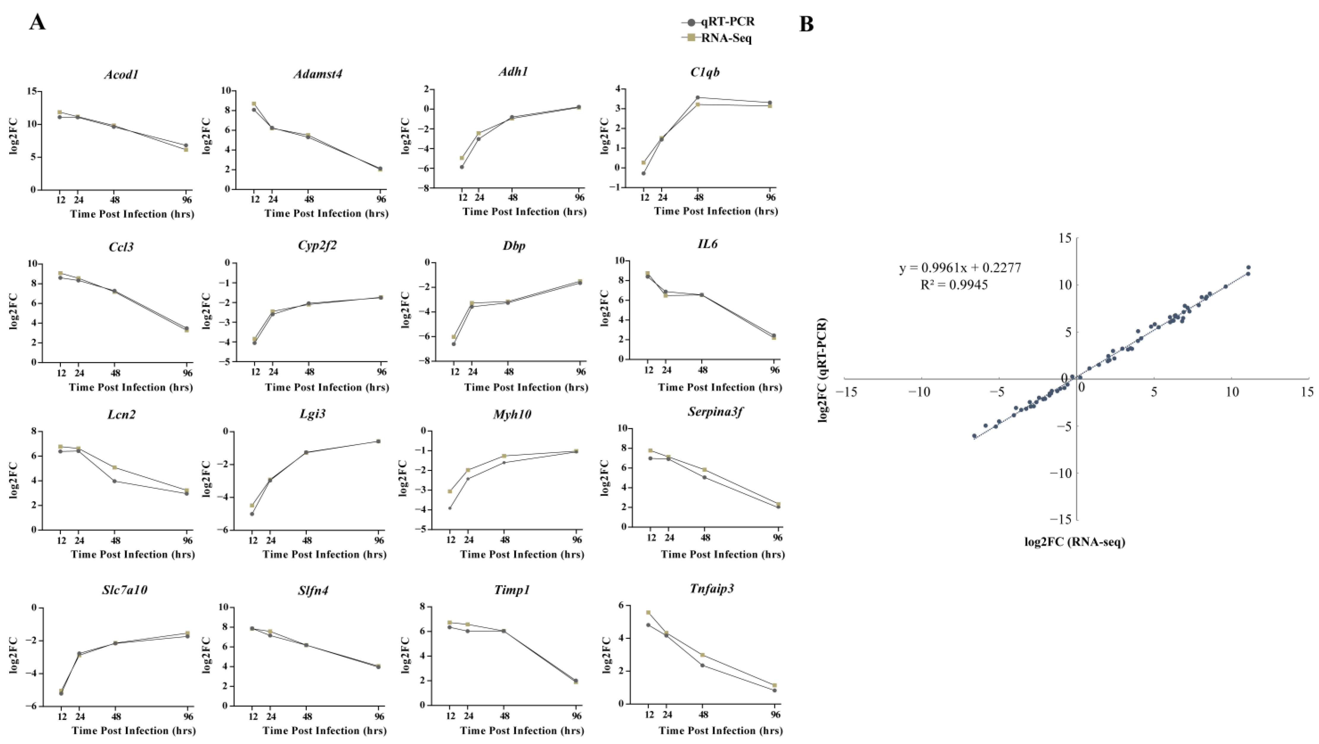
2.10. Contrast qRT-PCR with RNA-Seq
2.11. Statistical Analysis
3. Results
3.1. Observations of Symptoms and Histopathology
3.2. Identifications of Differential Genes and Enrichment Pathways
3.3. Analysis of Expression Patterns of DEGs
3.4. Network Analysis Identifies Functional Modules
3.5. Cytoscape Extracts Core Genes
3.6. Analysis of Immune Cells and PPI Network
3.7. Quantitative RT-PCR Verification
4. Discussion
4.1. Inflammatory Initiation Stage
4.2. Inflammatory Response Stage
4.3. Inflammatory Recovery Stage
5. Conclusions
Supplementary Materials
Author Contributions
Funding
Institutional Review Board Statement
Informed Consent Statement
Data Availability Statement
Acknowledgments
Conflicts of Interest
References
- David, M.Z.; Daum, R.S. Community-Associated Methicillin-Resistant Staphylococcus Aureus: Epidemiology and Clinical Consequences of an Emerging Epidemic. Clin. Microbiol. Rev. 2010, 23, 616–687. [Google Scholar] [CrossRef] [PubMed]
- He, H.; Wunderink, R.G. Staphylococcus Aureus Pneumonia in the Community. Semin. Respir. Crit. Care Med. 2020, 41, 470–479. [Google Scholar] [CrossRef]
- DeLeo, F.R.; Otto, M. An Antidote for Staphylococcus Aureus Pneumonia? J. Exp. Med. 2008, 205, 271–274. [Google Scholar] [CrossRef] [PubMed]
- Athanassa, Z.; Siempos, I.I.; Falagas, M.E. Impact of Methicillin Resistance on Mortality in Staphylococcus Aureus Vap: A Systematic Review. Eur. Respir. J. 2008, 31, 625–632. [Google Scholar] [CrossRef] [PubMed]
- Kuehnert, M.J.; Hill, H.A.; Kupronis, B.A.; Tokars, J.I.; Solomon, S.L.; Jernigan, D.B. Methicillin-Resistant-Staphylococcus Aureus Hospitalizations, United States. Emerg. Infect. Dis. 2005, 11, 868–872. [Google Scholar] [CrossRef] [PubMed]
- Lee, A.S.; de Lencastre, H.; Garau, J.; Kluytmans, J.; Malhotra-Kumar, S.; Peschel, A.; Harbarth, S. Methicillin-Resistant Staphylococcus Aureus. Nat. Rev. Dis. Primers 2018, 4, 18033. [Google Scholar] [CrossRef]
- Gajdács, M. The Continuing Threat of Methicillin-Resistant. Antibiotics 2019, 8, 52. [Google Scholar] [CrossRef]
- Thurlow, L.R.; Joshi, G.S.; Richardson, A.R. Virulence Strategies of the Dominant Usa300 Lineage of Community-Associated Methicillin-Resistant Staphylococcus Aureus (Ca-Mrsa). FEMS Immunol. Med. Microbiol. 2012, 65, 5–22. [Google Scholar] [CrossRef]
- Chen, J.; Luo, Y.; Zhang, S.; Liang, Z.; Wang, Y.; Zhang, Y.; Zhou, G.; Jia, Y.; Chen, L.; She, D. Community-Acquired Necrotizing Pneumonia Caused by Methicillin-Resistant Staphylococcus Aureus Producing Panton-Valentine Leukocidin in a Chinese Teenager: Case Report and Literature Review. Int. J. Infect. Dis. IJID Off. Publ. Int. Soc. Infect. Dis. 2014, 26, 17–21. [Google Scholar] [CrossRef]
- Nimmo, G.R. Usa300 Abroad: Global Spread of a Virulent Strain of Community-Associated Methicillin-Resistant Staphylococcus Aureus. Clin. Microbiol. Infect. Off. Publ. Eur. Soc. Clin. Microbiol. Infect. Dis. 2012, 18, 725–734. [Google Scholar] [CrossRef] [PubMed]
- Masuta, K.; Oba, Y.; Iwata, K. Linezolid Versus Vancomycin for Methicillin-Resistant Staphylococcus Aureus Nosocomial Pneumonia: Controversy Continues. Clin. Infect. Dis. Off. Publ. Infect. Dis. Soc. Am. 2012, 55, 161. [Google Scholar] [CrossRef]
- Wunderink, R.G.; Niederman, M.S.; Kollef, M.H.; Shorr, A.F.; Kunkel, M.J.; Baruch, A.; McGee, W.T.; Reisman, A.; Chastre, J. Linezolid in Methicillin-Resistant Staphylococcus Aureus Nosocomial Pneumonia: A Randomized, Controlled Study. Clin. Infect. Dis. Off. Publ. Infect. Dis. Soc. Am. 2012, 54, 621–629. [Google Scholar] [CrossRef] [PubMed]
- Mandell, L.A.; Wunderink, R. Methicillin-Resistant Staphylococcus Aureus and Community-Acquired Pneumonia: An Evolving Relationship. Clin. Infect. Dis. Off. Publ. Infect. Dis. Soc. Am. 2012, 54, 1134–1136. [Google Scholar] [CrossRef] [PubMed]
- Anwar, S.; Prince, L.R.; Foster, S.J.; Whyte, M.K.B.; Sabroe, I. The Rise and Rise of Staphylococcus Aureus: Laughing in the Face of Granulocytes. Clin. Exp. Immunol. 2009, 157, 216–224. [Google Scholar] [CrossRef] [PubMed]
- Kobayashi, S.D.; Braughton, K.R.; Palazzolo-Ballance, A.M.; Kennedy, A.D.; Sampaio, E.; Kristosturyan, E.; Whitney, A.R.; Sturdevant, D.E.; Dorward, D.W.; Holland, S.M.; et al. Rapid Neutrophil Destruction Following Phagocytosis of Staphylococcus Aureus. J. Innate Immun. 2010, 2, 560–575. [Google Scholar] [CrossRef] [PubMed]
- Graves, S.F.; Kobayashi, S.D.; DeLeo, F.R. Community-Associated Methicillin-Resistant Staphylococcus Aureus Immune Evasion and Virulence. J. Mol. Med. 2010, 88, 109–114. [Google Scholar] [CrossRef]
- Yajjala, V.K.; Thomas, V.C.; Bauer, C.; Scherr, T.D.; Fischer, K.J.; Fey, P.D.; Bayles, K.W.; Kielian, T.; Sun, K. Resistance to Acute Macrophage Killing Promotes Airway Fitness of Prevalent Community-Acquired Staphylococcus Aureus Strains. J. Immunol. 2016, 196, 4196–4203. [Google Scholar] [CrossRef]
- Martin, F.J.; Parker, D.; Harfenist, B.S.; Soong, G.; Prince, A. Participation of Cd11c(+) Leukocytes in Methicillin-Resistant Staphylococcus Aureus Clearance from the Lung. Infect. Immun. 2011, 79, 1898–1904. [Google Scholar] [CrossRef]
- Oliveira, D.; Borges, A.; Simões, M. Toxins and Their Molecular Activity in Infectious Diseases. Toxins 2018, 10, 252. [Google Scholar] [CrossRef]
- Liu, Z.-Z.; Yang, Y.-J.; Zhou, C.-K.; Yan, S.-Q.; Ma, K.; Gao, Y.; Chen, W. Sting Contributes to Host Defense against Pneumonia through Suppressing Necroptosis. Front. Immunol. 2021, 12, 636861. [Google Scholar] [CrossRef]
- Feng, J.; Hu, X.; Fu, M.; Dai, L.; Yu, Y.; Luo, W.; Zhao, Z.; Lu, Z.; Du, Z.; Zhou, D.; et al. Enhanced Protection against Q Fever in Balb/C Mice Elicited by Immunization of Chloroform-Methanol Residue of Coxiella Burnetii Via Intratracheal Inoculation. Vaccine 2019, 37, 6076–6084. [Google Scholar] [CrossRef] [PubMed]
- Kim, D.; Langmead, B.; Salzberg, S.L. Hisat: A Fast Spliced Aligner with Low Memory Requirements. Nat. Methods 2015, 12, 357–360. [Google Scholar] [CrossRef] [PubMed]
- Mortazavi, A.; Williams, B.A.; McCue, K.; Schaeffer, L.; Wold, B. Mapping and Quantifying Mammalian Transcriptomes by Rna-Seq. Nat. Methods 2008, 5, 621–628. [Google Scholar] [CrossRef] [PubMed]
- Robinson, M.D.; McCarthy, D.J.; Smyth, G.K. Edger: A Bioconductor Package for Differential Expression Analysis of Digital Gene Expression Data. Bioinformatics 2010, 26, 139–140. [Google Scholar] [CrossRef]
- Wu, T.; Hu, E.; Xu, S.; Chen, M.; Guo, P.; Dai, Z.; Feng, T.; Zhou, L.; Tang, W.; Zhan, L.; et al. Clusterprofiler 4.0: A Universal Enrichment Tool for Interpreting Omics Data. Innovation 2021, 2, 100141. [Google Scholar] [CrossRef]
- Kumar, L.; Futschik, M. Mfuzz: A Software Package for Soft Clustering of Microarray Data. Bioinformation 2007, 2, 5–7. [Google Scholar] [CrossRef]
- Futschik, M.E. and Carlisle, B. Noise-Robust Soft Clustering of Gene Expression Time-Course Data. J. Bioinform. Comput. Biol. 2005, 3, 965–988. [Google Scholar] [CrossRef]
- Langfelder, P.; Horvath, S. Wgcna: An R Package for Weighted Correlation Network Analysis. BMC Bioinform. 2008, 9, 559. [Google Scholar] [CrossRef]
- Shannon, P.; Markiel, A.; Ozier, O.; Baliga, N.S.; Wang, J.T.; Ramage, D.; Amin, N.; Schwikowski, B.; Ideker, T. Cytoscape: A Software Environment for Integrated Models of Biomolecular Interaction Networks. Genome Res. 2003, 13, 2498–2504. [Google Scholar] [CrossRef]
- Beauchemin, K.J.; Wells, J.M.; Kho, A.T.; Philip, V.M.; Kamir, D.; Kohane, I.S.; Graber, J.H.; Bult, C.J. Temporal Dynamics of the Developing Lung Transcriptome in Three Common Inbred Strains of Laboratory Mice Reveals Multiple Stages of Postnatal Alveolar Development. PeerJ 2016, 4, e2318. [Google Scholar] [CrossRef]
- Diep, B.A.; Chan, L.; Tattevin, P.; Kajikawa, O.; Martin, T.R.; Basuino, L.; Mai, T.T.; Marbach, H.; Braughton, K.R.; Whitney, A.R.; et al. Polymorphonuclear Leukocytes Mediate Staphylococcus Aureus Panton-Valentine Leukocidin-Induced Lung Inflammation and Injury. Proc. Natl. Acad. Sci. USA 2010, 107, 5587–5592. [Google Scholar] [CrossRef] [PubMed]
- Kitur, K.; Parker, D.; Nieto, P.; Ahn, D.S.; Cohen, T.S.; Chung, S.; Wachtel, S.; Bueno, S.; Prince, A. Toxin-Induced Necroptosis Is a Major Mechanism of Staphylococcus Aureus Lung Damage. PLoS Pathog. 2015, 11, e1004820. [Google Scholar] [CrossRef] [PubMed]
- Zhang, Q.; Chen, L.-H.; Yang, H.; Fang, Y.-C.; Wang, S.-W.; Wang, M.; Yuan, Q.-T.; Wu, W.; Zhang, Y.-M.; Liu, Z.-J.; et al. Gpr84 Signaling Promotes Intestinal Mucosal Inflammation Via Enhancing Nlrp3 Inflammasome Activation in Macrophages. Acta Pharmacol. Sin. 2022, 43, 2042–2054. [Google Scholar] [CrossRef]
- Plesch, E.; Chen, C.-C.; Butz, E.; Rosato, A.S.; Krogsaeter, E.K.; Yinan, H.; Bartel, K.; Keller, M.; Robaa, D.; Teupser, D.; et al. Selective Agonist of Trpml2 Reveals Direct Role in Chemokine Release from Innate Immune Cells. ELife 2018, 7, e39720. [Google Scholar] [CrossRef]
- Goetz, D.H.; Holmes, M.A.; Borregaard, N.; Bluhm, M.E.; Raymond, K.N.; Strong, R.K. The Neutrophil Lipocalin Ngal Is a Bacteriostatic Agent That Interferes with Siderophore-Mediated Iron Acquisition. Mol. Cell 2002, 10, 1033–1043. [Google Scholar] [CrossRef]
- Scarl, R.T.; Lawrence, C.M.; Gordon, H.M.; Nunemaker, C.S. Steap4: Its Emerging Role in Metabolism and Homeostasis of Cellular Iron and Copper. J. Endocrinol. 2017, 234, R123–R134. [Google Scholar] [CrossRef]
- Kalliolias, G.D.; Ivashkiv, L.B. Tnf Biology, Pathogenic Mechanisms and Emerging Therapeutic Strategies. Nat. Rev. Rheumatol. 2016, 12, 49–62. [Google Scholar] [CrossRef] [PubMed]
- Gaffen, S.L. Structure and Signalling in the Il-17 Receptor Family. Nat. Rev. Immunol. 2009, 9, 556–567. [Google Scholar] [CrossRef] [PubMed]
- Han, W.; Fessel, J.P.; Sherrill, T.; Kocurek, E.G.; Yull, F.E.; Blackwell, T.S. Enhanced Expression of Catalase in Mitochondria Modulates Nf-Κb-Dependent Lung Inflammation through Alteration of Metabolic Activity in Macrophages. J. Immunol. 2020, 205, 1125–1134. [Google Scholar] [CrossRef] [PubMed]
- Li, L.-L.; Dai, B.; Sun, Y.-H.; Zhang, T.-T. The Activation of Il-17 Signaling Pathway Promotes Pyroptosis in Pneumonia-Induced Sepsis. Ann. Transl. Med. 2020, 8, 674. [Google Scholar] [CrossRef]
- McGeachy, M.J.; Cua, D.J.; Gaffen, S.L. The Il-17 Family of Cytokines in Health and Disease. Immunity 2019, 50, 892–906. [Google Scholar] [CrossRef] [PubMed]
- Shibue, Y.; Kimura, S.; Kajiwara, C.; Iwakura, Y.; Yamaguchi, K.; Tateda, K. Role of Interleukin-17 in a Murine Community-Associated Methicillin-Resistant Staphylococcus Aureus Pneumonia Model. Microbes Infect. 2019, 21, 33–39. [Google Scholar] [CrossRef] [PubMed]
- Tojima, Y.; Fujimoto, A.; Delhase, M.; Chen, Y.; Hatakeyama, S.; Nakayama, K.; Kaneko, Y.; Nimura, Y.; Motoyama, N.; Ikeda, K.; et al. Nak Is an Ikappab Kinase-Activating Kinase. Nature 2000, 404, 778–782. [Google Scholar] [CrossRef] [PubMed]
- Bergstrøm, B.; Aune, M.H.; Awuh, J.A.; Kojen, J.F.; Blix, K.J.; Ryan, L.; Flo, T.H.; Mollnes, T.E.; Espevik, T.; Stenvik, J. Tlr8 Senses Staphylococcus Aureus Rna in Human Primary Monocytes and Macrophages and Induces Ifn-Β Production Via a Tak1-Ikkβ-Irf5 Signaling Pathway. J. Immunol. 2015, 195, 1100–1111. [Google Scholar] [CrossRef] [PubMed]
- Hébert, A.; Sayasith, K.; Sénéchal, S.; Dubreuil, P.; Lagacé, J. Demonstration of Intracellular Staphylococcus Aureus in Bovine Mastitis Alveolar Cells and Macrophages Isolated from Naturally Infected Cow Milk. FEMS Microbiol. Lett. 2000, 193, 57–62. [Google Scholar] [CrossRef] [PubMed]
- Kubica, M.; Guzik, K.; Koziel, J.; Zarebski, M.; Richter, W.; Gajkowska, B.; Golda, A.; Maciag-Gudowska, A.; Brix, K.; Shaw, L.; et al. A Potential New Pathway for Staphylococcus Aureus Dissemination: The Silent Survival of S. Aureus Phagocytosed by Human Monocyte-Derived Macrophages. PLoS ONE 2008, 3, e1409. [Google Scholar] [CrossRef]
- Peignier, A.; Parker, D. Impact of Type I Interferons on Susceptibility to Bacterial Pathogens. Trends Microbiol. 2021, 29, 823–835. [Google Scholar] [CrossRef]
- Yamada, M.; JGomez, C.; Chugh, P.E.; Lowell, C.A.; Dinauer, M.C.; Dittmer, D.P.; Doerschuk, C.M. Interferon-Γ Production by Neutrophils During Bacterial Pneumonia in Mice. Am. J. Respir. Crit. Care Med. 2011, 183, 1391–1401. [Google Scholar] [CrossRef]
- Nguyen, Q.-T.; Furuya, Y.; Roberts, S.; Metzger, D.W. Role of Interleukin-12 in Protection against Pulmonary Infection with Methicillin-Resistant Staphylococcus Aureus. Antimicrob. Agents Chemother. 2015, 59, 6308–6316. [Google Scholar] [CrossRef]
- Verma, A.K.; Bauer, C.; Palani, S.; Metzger, D.W.; Sun, K. Ifn-Γ Drives Tnf-A Hyperproduction and Lethal Lung Inflammation During Antibiotic Treatment of Postinfluenza Pneumonia. J. Immunol. 2021, 207, 1371–1376. [Google Scholar] [CrossRef]
- Kaplan, A.; Lee, M.W.; Wolf, A.J.; Limon, J.J.; Becker, C.A.; Ding, M.; Murali, R.; Lee, E.Y.; Liu, G.Y.; Wong, G.C.L.; et al. Direct Antimicrobial Activity of Ifn-Β. J. Immunol. 2017, 198, 4036–4045. [Google Scholar] [CrossRef] [PubMed]
- John, S.P.; Sun, J.; Carlson, R.J.; Cao, B.; Bradfield, C.J.; Song, J.; Smelkinson, M.; Fraser, I.D.C. Ifit1 Exerts Opposing Regulatory Effects on the Inflammatory and Interferon Gene Programs in Lps-Activated Human Macrophages. Cell Rep. 2018, 25, 1. [Google Scholar] [CrossRef] [PubMed]
- Heinz, L.X.; Baumann, C.L.; Köberlin, M.S.; Snijder, B.; Gawish, R.; Shui, G.; Sharif, O.; Aspalter, I.M.; Müller, A.C.; Kandasamy, R.K.; et al. The Lipid-Modifying Enzyme Smpdl3b Negatively Regulates Innate Immunity. Cell Rep. 2015, 11, 1919–1928. [Google Scholar] [CrossRef]
- Zhang, W.; Wei, Y.; Zhang, H.; Liu, J.; Zong, Z.; Liu, Z.; Zhu, S.; Hou, W.; Chen, Y.; Deng, H. Structural Alternation in Heat Shock Proteins of Activated Macrophages. Cells 2021, 10, 3507. [Google Scholar] [CrossRef]
- Hamidzadeh, K.; Christensen, S.M.; Dalby, E.; Chandrasekaran, P.; Mosser, D.M. Macrophages and the Recovery from Acute and Chronic Inflammation. Annu. Rev. Physiol. 2017, 79, 567–592. [Google Scholar] [CrossRef] [PubMed]
- Shimp, S.K.; Parson, C.D.; Regna, N.L.; Thomas, A.N.; Chafin, C.B.; Reilly, C.M.; Rylander, M.N. Hsp90 Inhibition by 17-Dmag Reduces Inflammation in J774 Macrophages through Suppression of Akt and Nuclear Factor-Κb Pathways. Inflamm. Res. Off. J. Eur. Histamine Res. Soc. 2012, 61, 521–533. [Google Scholar] [CrossRef] [PubMed]
- Ammanath, A.V.; Jarneborn, A.; Nguyen, M.-T.; Wessling, L.; Tribelli, P.; Nega, M.; Beck, C.; Luqman, A.; Selim, K.; Kalbacher, H.; et al. From a Hsp90-Binding Protein to a Peptide Drug. microLife 2022, 4, uqac023. [Google Scholar] [CrossRef]
- Jan, R.-L.; Yang, S.-C.; Liu, Y.-C.; Yang, R.-C.; Tsai, S.-P.; Huang, S.-E.; Yeh, J.-L.; Hsu, J.-H. Extracellular Heat Shock Protein Hsc70 Protects against Lipopolysaccharide-Induced Hypertrophic Responses in Rat Cardiomyocytes. Biomed. Pharmacother. Biomed. Pharmacother. 2020, 128, 110370. [Google Scholar] [CrossRef]
- Shi, Y.; Tu, Z.; Tang, D.; Zhang, H.; Liu, M.; Wang, K.; Calderwood, S.K.; Xiao, X. The Inhibition of Lps-Induced Production of Inflammatory Cytokines by Hsp70 Involves Inactivation of the Nf-Kappab Pathway but Not the Mapk Pathways. Shock 2006, 26, 277–284. [Google Scholar] [CrossRef]
- Zhang, X.; Feng, T.; Zhou, X.; Sullivan, P.M.; Hu, F.; Lou, Y.; Yu, J.; Feng, J.; Liu, H.; Chen, Y. Inactivation of Tmem106a Promotes Lipopolysaccharide-Induced Inflammation Via the Mapk and Nf-Κb Signaling Pathways in Macrophages. Clin. Exp. Immunol. 2021, 203, 125–136. [Google Scholar] [CrossRef]
- Wynn, T.A.; Vannella, K.M. Macrophages in Tissue Repair, Regeneration, and Fibrosis. Immunity 2016, 44, 450–462. [Google Scholar] [CrossRef] [PubMed]
- Rupprecht, T.A.; Angele, B.; Klein, M.; Heesemann, J.; Pfister, H.-W.; Botto, M.; Koedel, U. Complement C1q and C3 Are Critical for the Innate Immune Response to Streptococcus Pneumoniae in the Central Nervous System. J. Immunol. 2007, 178, 1861–1869. [Google Scholar] [CrossRef] [PubMed]
- Kang, Y.-S.; Do, Y.; Lee, H.-K.; Park, S.H.; Cheong, C.; Lynch, R.M.; Loeffler, J.M.; Steinman, R.M.; Park, C.G. A Dominant Complement Fixation Pathway for Pneumococcal Polysaccharides Initiated by Sign-R1 Interacting with C1q. Cell 2006, 125, 47–58. [Google Scholar] [CrossRef] [PubMed]
- Sharif, O.; Gawish, R.; Warszawska, J.M.; Martins, R.; Lakovits, K.; Hladik, A.; Doninger, B.; Brunner, J.; Korosec, A.; Schwarzenbacher, R.E.; et al. The Triggering Receptor Expressed on Myeloid Cells 2 Inhibits Complement Component 1q Effector Mechanisms and Exerts Detrimental Effects During Pneumococcal Pneumonia. PLoS Pathog. 2014, 10, e1004167. [Google Scholar] [CrossRef] [PubMed]
- Bohlson, S.S.; Sean, D.O.; Hulsebus, H.J.; Ho, M.-M.; Fraser, D.A. Complement, C1q, and C1q-Related Molecules Regulate Macrophage Polarization. Front. Immunol. 2014, 5, 402. [Google Scholar] [CrossRef]
- West, E.E.; Kolev, M.; Kemper, C. Complement and the Regulation of T Cell Responses. Annu. Rev. Immunol. 2018, 36, 309–338. [Google Scholar] [CrossRef]
- Killick, J.; Morisse, G.; Sieger, D.; Astier, A.L. Complement as a Regulator of Adaptive Immunity. Semin. Immunopathol. 2018, 40, 37–48. [Google Scholar] [CrossRef]








| Module 1 | Module 2 | Module 3 | Module 5 | ||||
|---|---|---|---|---|---|---|---|
| Gene | Dgree | Gene | Dgree | Gene | Dgree | Gene | Dgree | 
| Mpeg1 | 23 | Rab20 | 24 | Ambp | 36 | C330027C09Rik | 30 | 
| Eno1 | 22 | Smpdl3b | 21 | Plscr1 | 20 | Birc5 | 30 | 
| Tmem106a | 21 | Ccl3 | 17 | Mcoln2 | 17 | Tpx2 | 29 | 
| X4930430E12Rik | 19 | Igtp | 14 | Dbn1 | 16 | Iqgap3 | 16 | 
| Ms4a6c | 19 | Gbp2 | 14 | Ptx3 | 16 | Mybl2 | 12 | 
| Ccr5 | 18 | Ifi47 | 14 | Sdc4 | 16 | Foxm1 | 12 | 
| Gba | 16 | Wars | 13 | Cyp27b1 | 13 | Parpbp | 12 | 
| Fcgr1 | 15 | Gbp11 | 13 | Ccl17 | 13 | Kif22 | 12 | 
| Ms4a6d | 13 | Rnd3 | 12 | Il1bos | 10 | Ncapg | 11 | 
| Gla | 12 | Parp12 | 11 | Adm | 10 | Kifc1 | 10 | 
| Slc7a8 | 11 | F10 | 11 | Rdh12 | 8 | Cep55 | 10 | 
| Tlr9 | 10 | Cxcl9 | 10 | Alx4 | 8 | Top2a | 9 | 
| Tgfbi | 10 | Sod2 | 10 | Gm45774 | 8 | Bub1b | 9 | 
| Cln3 | 10 | Nos2 | 9 | Calcr | 7 | Kif15 | 8 | 
| Fbn1 | 9 | Cd274 | 8 | Ddn | 7 | Nuf2 | 8 | 
| AB124611 | 9 | Gbp4 | 8 | Ngp | 6 | Gm38411 | 7 | 
| Bpifb5 | 8 | Snx10 | 8 | Hdx | 6 | Tcrg.C1 | 7 | 
| Gm15931 | 7 | Tgtp1 | 7 | Avpr1a | 6 | Trdc | 7 | 
| Scimp | 7 | Batf2 | 6 | Inhbb | 6 | Gm43434 | 7 | 
| Hsp90b1 | 6 | Fam26e | 6 | Trem1 | 5 | Apol7b | 7 | 
| Disclaimer/Publisher’s Note: The statements, opinions and data contained in all publications are solely those of the individual author(s) and contributor(s) and not of MDPI and/or the editor(s). MDPI and/or the editor(s) disclaim responsibility for any injury to people or property resulting from any ideas, methods, instructions or products referred to in the content. | 
© 2023 by the authors. Licensee MDPI, Basel, Switzerland. This article is an open access article distributed under the terms and conditions of the Creative Commons Attribution (CC BY) license (https://creativecommons.org/licenses/by/4.0/).
Share and Cite
Zhao, Y.; Zhai, L.; Qin, T.; Hu, L.; Wang, J.; Zhang, Z.; Sui, C.; Zhang, L.; Zhou, D.; Lv, M.; et al. Time-Course Transcriptome Analysis of the Lungs of Mice Challenged with Aerosols of Methicillin-Resistant Staphylococcus aureus USA300 Clone Reveals Inflammatory Balance. Biomolecules 2023, 13, 347. https://doi.org/10.3390/biom13020347
Zhao Y, Zhai L, Qin T, Hu L, Wang J, Zhang Z, Sui C, Zhang L, Zhou D, Lv M, et al. Time-Course Transcriptome Analysis of the Lungs of Mice Challenged with Aerosols of Methicillin-Resistant Staphylococcus aureus USA300 Clone Reveals Inflammatory Balance. Biomolecules. 2023; 13(2):347. https://doi.org/10.3390/biom13020347
Chicago/Turabian StyleZhao, Yue, Lina Zhai, Tongtong Qin, Lingfei Hu, Jiazhen Wang, Zhijun Zhang, Chengyu Sui, Lili Zhang, Dongsheng Zhou, Meng Lv, and et al. 2023. "Time-Course Transcriptome Analysis of the Lungs of Mice Challenged with Aerosols of Methicillin-Resistant Staphylococcus aureus USA300 Clone Reveals Inflammatory Balance" Biomolecules 13, no. 2: 347. https://doi.org/10.3390/biom13020347
APA StyleZhao, Y., Zhai, L., Qin, T., Hu, L., Wang, J., Zhang, Z., Sui, C., Zhang, L., Zhou, D., Lv, M., & Yang, W. (2023). Time-Course Transcriptome Analysis of the Lungs of Mice Challenged with Aerosols of Methicillin-Resistant Staphylococcus aureus USA300 Clone Reveals Inflammatory Balance. Biomolecules, 13(2), 347. https://doi.org/10.3390/biom13020347
 
        



 
       