Natural Occurring Terpene Cyclic Anhydrides: Biosynthetic Origin and Biological Activities
Abstract
1. Introduction
2. Final Oxidation Pathways and Formation of Terpenic Cyclic Anhydrides
2.1. Route Type A
2.2. Route Type B
2.2.1. Route B1
2.2.2. Route B2
2.3. Route Type C
2.3.1. Route C1
2.3.2. Route C2
2.3.3. Route C3
3. Monoterpenic Anhydrides
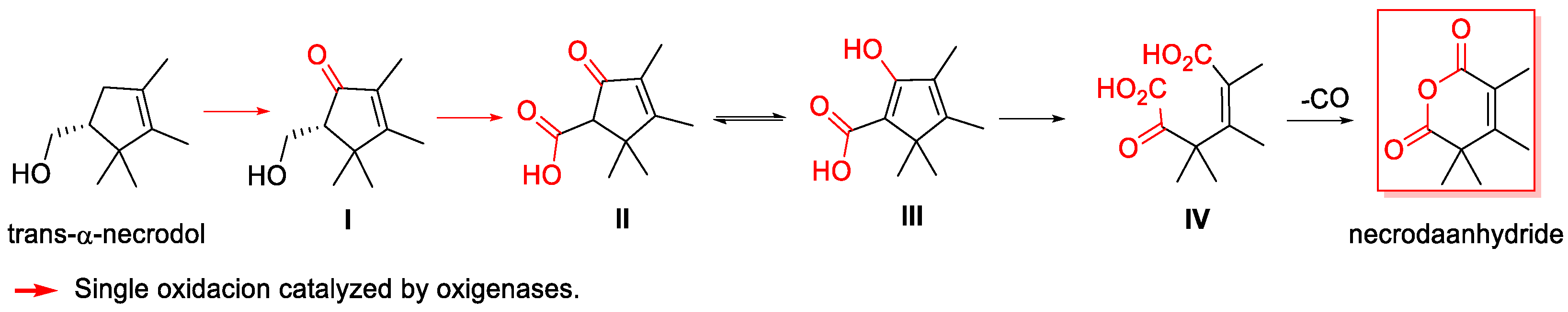
3.1. Necrodanes
3.2. Iridanes
4. Sesquiterpenic Anhydrides
4.1. Norsesquiterpenoids

4.2. Germacranes
4.3. Drimanes
| Compound | Precursor and Route | Source | Reference |
|---|---|---|---|
![]() | Route A ![]() | Drimys winteri D. confertifolia Polygonum hydropiper Dendrodoris carbunculosa | [94,95,96,97] |
![]() | Route A ![]() | Dysidea sp. | [98] |
![]() | Route A ![]() | Dysidea sp. | [98] |
![]() | Route A ![]() | Dendrodoris carbunculosa | [92] |
![]() | Route A ![]() | Dendrodoris carbunculosa | [95] |
![]() | Route A ![]() | Dendrodoris carbunculosa | [95] |
![]() | Route A ![]() | Dendrodoris carbunculosa | [95] |
4.4. 1,3-Cycloeudesmanes
4.5. Guaianes
4.6. Eremophilanes
4.7. Tremulanes
4.8. Bakkanes
4.9. Aristolanes
4.10. Thujopsanes
4.11. Pseudo Sesquiterpenes
5. Diterpenoids
5.1. Labdanes
5.2. Cassanes
5.3. Abietanes
| Compound | Precursor and Route | Source | Reference |
|---|---|---|---|
![]() | Route B ![]() | Chamaecyparis obtusa var. formosana Cladonia rangiferina | [119,120] |
![]() | Route B ![]() | Plectranthus sanguineus | [121] |
![]() | Route B ![]() | Plectranthus sanguineus | [121] |
![]() | Route B ![]() | Salvia miltiorrhiza | [122,123] |
![]() | Route B ![]() | Cryptomeria japónica | [124] |
![]() | Route B ![]() | Taxodium distichum | [125] |
![]() | Route B ![]() | Salvia prionitis | [126,127] |
![]() | Route B ![]() | Salvia miltiorrhiza | [128,129] |
![]() | Route B ![]() | Salvia miltiorrhiza | [128,129] |
![]() | Route B ![]() | Salvia miltiorrhiza | [128,129] |
![]() | Route B ![]() | Salvia miltiorrhiza | [128,129] |
![]() | ![]() | Salvia miltiorrhiza | [130] |
![]() | Route B ![]() | Salvia castanea Salvia grandifolia | [131,132,133] |
![]() | Route B ![]() | Mucor rouxii | [134] |
![]() | Route B ![]() | Mucor rouxii | [134] |
![]() | Route B ![]() | Mucor rouxii | [134] |
![]() | Route B ![]() | Caryopteris mongolica | [135] |
![]() | Route B ![]() | Caryopteris mongolica | [135] |
![]() | Route B ![]() | Caryopteris mongolica | [135] |
![]() | Route B ![]() | Salvia prionitis | [137] |
![]() | Route B ![]() | Salvia prionitis | [138] |
5.4. Pimaranes
5.5. Fusicozanes
5.6. Ent-Kauranes
5.7. Spongianes
5.8. Atisanes
5.9. Phenanthrenone Diterpenoids
5.10. Neoclerodanes
6. Sesterterpenoids
Acyclic Sesterterpenoids
7. Triterpenoids
7.1. Limonoids
7.2. Lanostanes
7.3. Oleananes
7.4. Friedelanes
8. Conclusions
Author Contributions
Funding
Conflicts of Interest
References
- Barton, S.D.; Ollis, W.D. Comprehensive Organic Chemistry Series; Pergamon Press: Oxford, UK, 1979; ISBN 9780080213194. [Google Scholar]
- Smith, M.B. March’s Advanced Organic Chemistry: Reactions, Mechanisms, and Structure; Wiley: Hoboken, NJ, USA, 2021; ISBN 978-0470462591. [Google Scholar]
- Gómez-García, A.; Medina-Franco, J.L. Progress and Impact of Latin American Natural Product Databases. Biomolecules 2022, 12, 1202. [Google Scholar] [CrossRef]
- Sorokina, M.; Steinbeck, C. Review on natural products databases: Where to find data in 2020. J. Cheminform. 2020, 12, 20. [Google Scholar] [CrossRef]
- Connolly, J.D.; Hill, R.A. Dictionary of Terpenoids; Chapman and Hall/CRC: London, UK, 1991; ISBN 978-0412257704. [Google Scholar]
- Vavitsas, K.; Fabris, M.; Vickers, C.E. Terpenoid Metabolic Engineering in Photosynthetic Microorganisms. Genes 2018, 9, 520. [Google Scholar] [CrossRef]
- Zhou, F.; Pichersky, E. The complete functional characterisation of the terpene synthase family in tomato. New Phytol. 2020, 226, 1341–1360. [Google Scholar] [CrossRef]
- Kuzuyama, T.; Hemmi, H.; Takahashi, S. Mevalonate Pathway in Bacteria and Archaea. In Comprehensive Natural Products II; Liu, H.-W., Mander, L., Eds.; Elsevier: Amsterdam, The Netherlands, 2010; pp. 493–516. ISBN 9780080453828. [Google Scholar] [CrossRef]
- Bergman, M.E.; Davis, B.; Phillips, M.A. Medically Useful Plant Terpenoids: Biosynthesis, Occurrence, and Mechanism of Action. Molecules 2019, 24, 3961. [Google Scholar] [CrossRef]
- Xue, D.; Abdallah, I.I.; de Haan, I.E.M.; Sibbald, M.J.J.B.; Quax, W.J. Enhanced C30 carotenoid production in Bacillus subtilis by systematic overexpression of MEP pathway genes. Appl. Microbiol. Biotechnol. 2015, 99, 5907–5915. [Google Scholar] [CrossRef]
- Yoshida, R.; Yoshimura, T.; Hemmi, H. Reconstruction of the “Archaeal” Mevalonate Pathway from the Methanogenic Archaeon Methanosarcina mazei in Escherichia coli Cells. Appl. Environ. Microbiol. 2020, 86, e02889-19. [Google Scholar] [CrossRef]
- Ruzicka, L. Isoprene rule and the biogenesis of terpenic compounds. Experientia 1953, 9, 357–367. [Google Scholar] [CrossRef]
- Zhang, Q.; Tiefenbacher, K. Terpene cyclization catalysed inside a self-assembled cavity. Nat. Chem. 2015, 7, 197–202. [Google Scholar] [CrossRef]
- Bathe, U.; Tissier, A. Cytochrome P450 enzymes: A driving force of plant diterpene diversity. Phytochemistry 2019, 161, 149–161. [Google Scholar] [CrossRef]
- Yang, E.; Yao, Y.; Su, H.; Sun, Z.; Gao, S.-S.; Sureram, S.; Kittakoop, P.; Fan, K.; Pan, Y.; Xu, X.; et al. Two Cytochrome P450 Enzymes Form the Tricyclic Nested Skeleton of Meroterpenoids by Sequential Oxidative Reactions. J. Am. Chem. Soc. 2024, 146, 11457–11464. [Google Scholar] [CrossRef]
- Podust, L.M.; Sherman, D.H. Diversity of P450 enzymes in the biosynthesis of natural products. Nat. Prod. Rep. 2012, 29, 1251–1266. [Google Scholar] [CrossRef]
- Tang, M.C.; Zou, Y.; Watanabe, K.; Walsh, C.T.; Tang, Y. Oxidative Cyclization in Natural Product Biosynthesis. Chem. Rev. 2017, 117, 5226–5333. [Google Scholar] [CrossRef]
- Costas, M.; Mehn, M.P.; Jensen, M.P.; Que, L. Dioxygen Activation at Mononuclear Nonheme Iron Active Sites: Enzymes, Models, and Intermediates. Chem. Rev. 2004, 104, 939–986. [Google Scholar] [CrossRef]
- Efimov, I.; Basran, J.; Thackray, S.J.; Handa, S.; Mowat, C.G.; Raven, E.L. Structure and Reaction Mechanism in the Heme Dioxygenases. Biochemistry. 2011, 50, 2717–2724. [Google Scholar] [CrossRef]
- Murahashi, S.-I.; Zhang, D. Ruthenium catalyzed biomimetic oxidation in organic synthesis inspired by cytochrome P-450. Chem. Soc. Rev. 2008, 37, 1490–1501. [Google Scholar] [CrossRef]
- Liang, Y.; Wei, J.; Qiu, X.; Jiao, N. Homogeneous Oxygenase Catalysis. Chem. Rev. 2018, 118, 4912–4945. [Google Scholar] [CrossRef]
- Hunyadi, A.; Agbadua, O.G.; Takács, G.; Balogh, G.T. Scavengome of an antioxidant. Vitam. Horm. 2023, 121, 81–108. [Google Scholar] [CrossRef]
- Gennaiou, K.; Kelesidis, A.; Zografos, A.L. Climbing the Oxidase Phase Ladder by Using Dioxygen as the Sole Oxidant: The Case Study of Costunolide. Org. Lett. 2024, 26, 2934–2938. [Google Scholar] [CrossRef]
- Petsi, M.; Orfanidou, M.; Zografos, A.L. Organocatalytic epoxidation and allylic oxidation of alkenes by molecular oxygen. Green Chem. 2021, 23, 9172. [Google Scholar] [CrossRef]
- Jaradat, N.; Al-Maharik, N. Fingerprinting, Antimicrobial, oxidant, Anticancer, Cyclooxygenase and Metabolic Enzymes Inhibitory Characteristic Evaluations of Stachys viticina Boiss. Essential Oil. Molecules 2019, 24, 3880. [Google Scholar] [CrossRef]
- Fu, N.; Yang, Z.-L.; Pauchet, Y.; Paetz, C.; Brandt, W.; Boland, W.; Burse, A. A cytochrome P450 from the mustard leaf beetles hydroxylates geraniol, a key step in iridoid biosynthesis. Insect Biochem. Mol. Biol. 2019, 113, 103212. [Google Scholar] [CrossRef]
- Rajagopalan, A.; Lara, M.; Kroutil, W. Oxidative Alkene Cleavage by Chemical and Enzymatic Methods. Adv. Synth. Catal. 2013, 355, 3321–3335. [Google Scholar] [CrossRef]
- Julio, L.F.; Barrero, A.F.; Herrador del Pino, M.M.; Arteaga, J.F.; Burillo, J.; Andres, M.F.; Diaz, C.E.; González-Coloma, A. Phytotoxic and Nematicidal Components of Lavandula luisieri. J. Nat. Prod. 2016, 79, 261–266. [Google Scholar] [CrossRef]
- Fürst, M.J.L.J.; Gran-Scheuch, A.; Aalbers, F.S.; Fraaije, M.W. Baeyer–Villiger Monooxygenases: Tunable Oxidative Biocatalysts. ACS Catal. 2019, 9, 11207–11241. [Google Scholar] [CrossRef]
- Li, H.; Peng, Y.; Zheng, J. Metabolic Activation and Toxicities of Furanoterpenoids. Adv. Mol. Toxicol. 2016, 10, 55–97. [Google Scholar] [CrossRef]
- Flors, C.; Nonell, S. Light and Singlet Oxygen in Plant Defense Against Pathogens: Phototoxic Phenalenone Phytoalexins. Acc. Chem. Res. 2006, 39, 293–300. [Google Scholar] [CrossRef]
- Nagy, V.; Vidal-Meireles, A.; Podmaniczki, A.; Szentmihalyi, K.; Rakhely, G.; Zsigmond, L.; Toth, S.Z. The Mechanism of Photosystem-II Inactivation during Sulphur Deprivation-Induced H2 Production in Chlamydomonas reinhardtii. Plant J. 2018, 94, 548–561. [Google Scholar] [CrossRef]
- Miyaji, A.; Kohno, M.; Inoue, Y.; Baba, T. Singlet Oxygen Generation during the Oxidation of L-Tyrosine and L-Dopa with Mushroom Tyrosinase. Biochem. Biophys. Res. Commun. 2016, 471, 450–453. [Google Scholar] [CrossRef]
- Saito, Y.; Iga, S.; Nakashima, K.; Okamoto, Y.; Gong, X.; Kuroda, C.; Tori, M. Terpenoids from Ligularia virgaurea collected in China: The first example of two bakkane derivatives with an anhydride-type ring C and nineteen new chemical constituents. Tetrahedron 2015, 71, 8428–8435. [Google Scholar] [CrossRef]
- Prantz, K.; Mulzer, J. Synthetic Applications of the Carbonyl Generating Grob Fragmentation. Chem. Rev. 2010, 110, 3741–3766. [Google Scholar] [CrossRef]
- Shibuya, M.; Xiang, T.; Katsube, Y.; Otsuka, M.; Zhang, H.; Ebizuka, Y. Origin of Structural Diversity in Natural Triterpenes: Direct Synthesis of seco-Triterpene Skeletons by Oxidosqualene Cyclase. J. Am. Chem. Soc. 2007, 129, 1450–1455. [Google Scholar] [CrossRef]
- Saito, Y.; Iga, S.; Hoshiyama, K.; Nakashima, K.; Okamoto, Y.; Kuroda, C.; Gong, X.; Tori, M. Eremophilane, bakkane, secoeremophilane, and secobakkane sesquiterpenoids from Ligularia virgaurea collected in China. Tetrahedron 2019, 75, 2626–2634. [Google Scholar] [CrossRef]
- Julio, L.F.; Díaz, C.E.; Aissani, N.; Valcarcel, F.; Burillo, J.; Olmeda, S.; González-Coloma, A. Ixodicidal compounds from pre-domesticated Lavandula luisieri. Ind. Crops Prod. 2017, 110, 83–87. [Google Scholar] [CrossRef]
- Ghaly, N.S.; Mina, S.A.; Younis, N. Schistosomicidal and molluscicidal activities of two Juniper species cultivated in Egypt and the chemical composition of their essential oils. J. Med. Plants Res. 2016, 10, 47–53. [Google Scholar] [CrossRef]
- Sadhu, S.K.; Khan, M.S.; Ohtsuki, T.; Ishibashi, M. Secoiridoid components from Jasminum grandiflorum. Phytochemistry 2007, 68, 1718–1721. [Google Scholar] [CrossRef]
- Arun, M.; Satish, S.; Anima, P. Phytopharmacological Profile of Jasminum grandiflorum Linn. (Oleaceae). Chin. J. Integr. Med. 2016, 22, 311–320. [Google Scholar] [CrossRef]
- Christophoridou, S.; Dais, P.; Tseng, L.-H.; Spraul, M. Separation and Identification of Phenolic Compounds in Olive Oil by Coupling High-Performance Liquid Chromatography with Postcolumn Solid-Phase Extraction to Nuclear Magnetic Resonance Spectroscopy (LC-SPE-NMR). J. Agric. Food Chem. 2005, 53, 4667–4679. [Google Scholar] [CrossRef]
- Somanadhan, B.; Wagner Smitt, U.; George, V.; Pushpangadan, P.; Rajasekharan, S.; Duus, J.Ø.; Nyman, U.; Olsen, C.E.; Jaroszewski, J.W. Angiotensin Converting Enzyme (ACE) Inhibitors from Jasminum azoricum and Jasminum grandiflorum. Planta Med. 1998, 64, 246–250. [Google Scholar] [CrossRef]
- Capinera, J.L.; Gardner, D.R.; Stermitz, F.R. Cantharidin Levels in Blister Beetles (Coleoptera: Meloidae) Associated with Alfalfa in Colorado. J. Econ. Entomol. 1985, 78, 1052–1055. [Google Scholar] [CrossRef]
- Whitman, D.W.; Andrés, M.F.; Martínez-Díaz, R.A.; Ibáñez-Escribano, A.; Olmeda, A.S.; González-Coloma, A. Antiparasitic Properties of Cantharidin and the Blister Beetle Berberomeloe majalis (Coleoptera: Meloidae). Toxins 2019, 11, 234. [Google Scholar] [CrossRef]
- Li, K.-M.; Li, J.-J.; Wan, L.; Cheng, Y.-X. Five new cantharidin derivatives from the insect Mylabris cichorii L. and their potential against kidney fibrosis in vitro. Molecules 2023, 28, 2822. [Google Scholar] [CrossRef]
- Fietz, O.; Dettner, K.; Görls, H.; Klemm, K.; Boland, W. (R)-(+)-Palasonin, a Cantharidin-Related Plant Toxin, Also Occurs in Insect Hemolymph and Tissues. J. Chem. Ecol. 2002, 28, 1315–1327. [Google Scholar] [CrossRef]
- Raj, R.K.; Kurup, P.A. Isolation and characterization of palasonin, an anthelmintic principle of the seeds of Butea frondosa. Indian J. Chem. 1967, 5, 86–87. [Google Scholar]
- Zeng, Y.-B.; Liu, X.-L.; Zhang, Y.; Li, C.-J.; Zhang, D.-M.; Peng, Y.-Z.; Zhou, X.; Du, H.-F.; Tan, C.-B.; Zhang, Y.-Y.; et al. Cantharimide and its derivatives from the blister beetle Mylabris phalerata Palla. J. Nat. Prod. 2016, 79, 2032–2038. [Google Scholar] [CrossRef]
- Nakatani, T.; Jinpo, K.; Noda, N. Cantharimide dimers from the Chinese blister beetle, Mylabris phalerate Pallas. Chem. Pharm. Bull. 2007, 55, 92–94. [Google Scholar] [CrossRef]
- Deng, Y.-Y.; Zhang, W.; Lei, X.-P.; Zhang, D.-M.; He, J.; Wang, L.; Ye, W.C. Four new cantharidin derivatives from the Chinese blister beetles, Mylabris phalerata. Heterocycles 2017, 94, 1573–1581. [Google Scholar] [CrossRef]
- Nakatani, T.; Konishi, T.; Miyahara, K.; Noda, N. Three novel cantharidin-related compounds from the Chinese blister beetle, Mylabris phalerata PALL. Chem. Pharm. Bull. 2004, 52, 807–809. [Google Scholar] [CrossRef]
- Zeng, Y.; Guo, Y.; Zhang, Y.; Wang, X.; Jiang, Y.; Yang, D. Rapid Profiling of Cantharidin Analogs in Mylabris phalerata Pallas by Ultra-Performance Liquid Chromatography–Quadrupole Time-of-Flight–Tandem Mass Spectrometry. Biomed. Chromatogr. 2020, 34, e4801. [Google Scholar] [CrossRef]
- Dettner, K.; Schramm, S.; Seidl, V.; Klemm, K.; Gäde, G.; Fietz, O.; Boland, W. Occurrence of terpene anhydride palasonin and palasoninimide in blister beetle Hycleus lunata (Coleoptera: Meloidae). Comp. Biochem. Physiol. B Biochem. Mol. Biol. 2003, 134, 117–126. [Google Scholar] [CrossRef]
- Guha, P.K.; Poi, R.; Bhattacharyya, A. An imide from the pods of Butea monosperma. Phytochemistry 1990, 29, 2017. [Google Scholar] [CrossRef]
- Deng, Y.-Y.; Zhang, W.; Li, N.-P.; Lei, X.-P.; Gong, X.-Y.; Zhang, D.-M.; Wang, L.; Ye, W.-C. Cantharidin derivatives from the medicinal insect Mylabris phalerata. Tetrahedron 2017, 73, 5932–5939. [Google Scholar] [CrossRef]
- Abtahi, S.M.; Nikbakhtzadeh, M.R.; Vatandoost, H.; Mehdinia, A.; Rahimi-Foroshani, A.; Shayeghi, M. Quantitative characterization of cantharidin in the false blister beetle, Oedemera podagrariae ventralis, of the Southern slopes of Mount Elborz, Iran. J. Insect Sci. 2012, 12, 152. [Google Scholar] [CrossRef]
- Carrel, J.E.; Doom, J.P.; McCormick, J.P. Identification of cantharidin in false blister beetles (Coleoptera, Oedemeridae) from Florida. J. Chem. Ecol. 1986, 12, 741–747. [Google Scholar] [CrossRef]
- Nikbakhtzadeh, M.R.; Tirgari, S. Cantharidin component of Iranian blister beetles (Col: Meloidae) and their differences between Iranian and exotic species. Iran. J. Public Health 2002, 31, 113–117. [Google Scholar]
- Robiquet, P.J. Experiences sur les cantharides. Ann. Chim. 1810, 76, 302–322. [Google Scholar]
- Gadamer, J. The constitution of cantharidin. Arch. Pharm. 1914, 252, 609–632. [Google Scholar] [CrossRef]
- Stork, G.; VAN Tamelen, E.E.; Friedman, L.J.; Burgstahler, A.W. Cantharidin. A stereospecific total synthesis. J. Am. Chem. Soc. 1951, 73, 4501. [Google Scholar] [CrossRef]
- Nikbakhtzadeh, M.R. Transfer and Distribution of Cantharidin within Selected Members of Blister Beetles (Coleoptera: Meloidae) and Its Probable Importance in Sexual Behaviour. Ph.D. Thesis, Universität Bayreuth, Fakultät für Biologie, Chemie und Geowissenschaften, Bayreuth, Germany, 2004; 105p. [Google Scholar]
- Purevsuren, G.; Koblicova, Z.; Trojanek, J. Cantharidinimide, a novel substance from Mylabris mongolica dokht. Cesk. Farm. 1987, 36, 32–34. [Google Scholar]
- Nikbakhtzadeh, M.R.; Ebrahimi, B. Detection of cantharidin-related compounds in Mylabris impressa (Coleoptera: Meloidae). J. Venom. Anim. Toxins Incl. Trop. Dis. 2007, 13, 686–693. [Google Scholar] [CrossRef]
- Nikbakhtzadeh, M.; Vahedi, M.; Vatandoost, H.; Mehdinia, A. Origin, transfer and distribution of cantharidin-related compounds in the blister beetle Hycleus scabiosae. J. Venom. Anim. Toxins Incl. Trop. Dis. 2012, 18, 88–96. [Google Scholar] [CrossRef]
- Carrel, J.E.; Eisner, T. Cantharidin: Potent Feeding Deterrent to Insects. Science 1974, 183, 755–757. [Google Scholar] [CrossRef]
- Wang, G.-S. Medical Uses of Mylabris in Ancient China and Recent Studies. J. Ethnopharmacol. 1989, 26, 147–162. [Google Scholar] [CrossRef]
- Moed, L.; Shwayder, T.A.; Chang, M.W. Cantharidin Revisited: A Blistering Defense of an Ancient Medicine. Arch. Dermatol. 2001, 137, 1357–1360. [Google Scholar] [CrossRef]
- Faiza Naz, F.; Wu, Y.; Zhang, N.; Yang, Z.; Yu, C. Anticancer Attributes of Cantharidin: Involved Molecular Mechanisms and Pathways. Molecules 2020, 25, 3279. [Google Scholar] [CrossRef]
- Ma, Q.; Feng, Y.; Deng, K.; Shao, H.; Sui, T.; Zhang, X.; Sun, X.; Lin, J.; Ma, Z.; Luo, G. Unique Responses of Hepatocellular Carcinoma and Cholangiocarcinoma Cell Lines toward Cantharidin and Norcantharidin. J. Cancer 2018, 9, 2183–2190. [Google Scholar] [CrossRef]
- Xie, J.; Zhang, Y.; Hu, X.; Lv, R.; Xiao, D.; Jiang, L.; Bao, Q. Norcantharidin inhibits Wnt signal pathway via promoter demethylation of WIF-1 in human non-small cell lung cancer. Med. Oncol. 2015, 32, 145. [Google Scholar] [CrossRef]
- Prasad, S.B.; Verma, A.K. Cantharidin-Mediated Ultrastructural and Biochemical Changes in Mitochondria Lead to Apoptosis and Necrosis in Murine Dalton’s Lymphoma. Microsc. Microanal. 2013, 19, 1377–1394. [Google Scholar] [CrossRef]
- Ren, Y.; Kinghorn, A.D. Antitumor potential of the protein phosphatase inhibitor, cantharidin, and selected derivatives. Bioorg. Med. Chem. 2021, 32, 116012. [Google Scholar] [CrossRef]
- Yeh, C.-B.; Su, C.-J.; Hwang, J.-M.; Chou, M.-C. Therapeutic effects of cantharidin analogues without bridging ether oxygen on human hepatocellular carcinoma cells. Eur. J. Med. Chem. 2010, 45, 3981–3985. [Google Scholar] [CrossRef]
- Kaleysa Raj, R.; Kurup, P.A. Anthelmintic activity, toxicity and other pharmacological properties of palasonin, the active principle of Butea frondosa seeds and its piperazine salt. Indian J. Med. Res. 1968, 56, 1818–1825. [Google Scholar]
- Sierra, J.R.; Woggon, W.D.; Schmid, H. Transfer of cantharidin (1) during copulation from the adult male to the female Lytta vesicatoria (‘Spanish flies’). Experientia 1976, 32, 142–144. [Google Scholar] [CrossRef]
- Holz, C.; Streil, G.; Dettner, K.; Dütemeyer, J.; Boland, W. Intersexual Transfer of a Toxic Terpenoid during Copulation and Its Paternal Allocation to Developmental Stages: Quantification of Cantharidin in Cantharidin-Producing Oedemerids (Coleoptera: Oedemeridae) and Canthariphilous Pyrochroids (Coleoptera: Pyrochroidae). Z. Naturforsch. C 1994, 49, 856–864. [Google Scholar] [CrossRef]
- Dettner, K. Inter- and Intraspecific Transfer of Toxic Insect Compound Cantharidin. In Vertical Food Web Interactions, Ecological Studies; Dettner, K., Bauer, G., Völkl, W., Eds.; Springer: Berlin/Heidelberg, Germany, 1997; Volume 130, pp. 115–144. [Google Scholar] [CrossRef]
- Horiuchi, K.; Hashimoto, K.; Hayashi, F. Cantharidin world in air: Spatiotemporal distributions of flying canthariphilous insects in the forest interior. Entomol. Sci. 2018, 21, 306–314. [Google Scholar] [CrossRef]
- Sun, W.; Liu, Z.; Zhang, Y. Cantharidin and Its Anhydride-Modified Derivatives: Relation of Structure to Insecticidal Activity. Int. J. Mol. Sci. 2013, 14, 1–16. [Google Scholar] [CrossRef]
- Guenther, H.; Ramstad, E.; Floss, H.G. On the Biosynthesis of Cantharidin. J. Pharm. Sci. 1969, 58, 1274. [Google Scholar] [CrossRef]
- Peter, M.; Waespe, H.; Woggon, W.; Schmid, H. Incorporation experiments with (3H and 14C) doubly labelled farnesols into cantharidin. Helv. Chim. Acta 1977, 60, 1262–1272. [Google Scholar] [CrossRef]
- Peter, M.G.; Woggon, W.D.; Schmid, H. Identification of farnesol as an intermediate in the biosynthesis of cantharidin from mevalonolactone. Helv. Chim. Acta 1977, 60, 2756–2762. [Google Scholar] [CrossRef]
- Woggon, W.-D.; Hauffe, S.A.; Schmid, H. Biosynthesis of cantharidin: Evidence for the specific incorporation of C-4 and C-11′ of farnesol. J. Chem. Soc. Chem. Commun. 1983, 272–274. [Google Scholar] [CrossRef]
- Huang, Y.; Wang, Z.; Zha, S.; Wang, Y.; Jiang, W.; Liao, Y.; Song, Z.; Qi, Z.; Yin, Y. De Novo Transcriptome and Expression Profile Analysis to Reveal Genes and Pathways Potentially Involved in Cantharidin Biosynthesis in the Blister Beetle Mylabris cichorii. PLoS ONE 2016, 11, e0146953. [Google Scholar] [CrossRef]
- Wu, Y.-M.; Li, J.-R.; Li, J.; Guo, T. Investigation of sex expression profiles and the cantharidin biosynthesis genes in two blister beetles. PLoS ONE 2023, 18, e0290245. [Google Scholar] [CrossRef]
- Jiang, M.; Lü, S.; Zhang, Y. Characterization of Juvenile Hormone Related Genes Regulating Cantharidin Biosynthesis in Epicauta chinensis. Sci. Rep. 2017, 7, 2308. [Google Scholar] [CrossRef]
- Du, C.; Li, W.; Fu, Z.; Yi, C.; Liu, X.; Yue, B. De novo transcriptome assemblies of Epicauta tibialis provide insights into the sexual dimorphism in the production of cantharidin. Arch. Insect Biochem. Physiol. 2021, 106, e21784. [Google Scholar] [CrossRef]
- Watanabe, K. Discovery and investigation of natural Diels–Alderases. J. Nat. Med. 2021, 75, 434–447. [Google Scholar] [CrossRef]
- Gao, L.; Yang, J.; Lei, X. Enzymatic intermolecular Diels-Alder reactions in synthesis: From nature to design. Tetrahedron Chem 2022, 2, 100013. [Google Scholar] [CrossRef]
- Gören, N.; Ulubelen, A.; Jakupovic, J.; Bohlmann, F.; Grenz, M. Sesquiterpene Lactones from the Fruits of Smyrnium rotundifolium. Phytochemistry 1984, 23, 2281–2284. [Google Scholar] [CrossRef]
- Sung, P.-J.; Kao, S.-Y.; Kao, C.-Y.; Chang, Y.-C.; Chen, Y.-H.; Su, Y.-D. Seco-Germacrane Anhydride: Occurrence of a Sesquiterpene Lactone in the Gorgonian Coral Menella sp. (Plexauridae). Biochem. Syst. Ecol. 2012, 40, 53–55. [Google Scholar] [CrossRef]
- Asakawa, Y.; Ludwiczuk, A.; Harinantenaina, L.; Toyota, M.; Nishiki, M.; Bardon, A.; Nii, K. Distribution of Drimane Sesquiterpenoids and Tocopherols in Liverworts, Ferns and Higher Plants: Polygonaceae, Canellaceae and Winteraceae Species. Nat. Prod. Commun. 2012, 7, 685–692. [Google Scholar] [CrossRef]
- Sakio, Y.; Hirano, Y.J.; Hayashi, M.; Komiyama, K.; Ishibashi, M. Dendocarbins A–N, New Drimane Sesquiterpenes from the Nudibranch Dendrodoris carbunculosa. J. Nat. Prod. 2001, 64, 726–731. [Google Scholar] [CrossRef]
- Appel, H.H.; Bond, R.P.M.; Overton, K.H. Sesquiterpenoids—III: The Constitution and Stereochemistry of Valdiviolide, Fuegin, Winterin and Futronolide. Tetrahedron 1963, 19, 635–641. [Google Scholar] [CrossRef]
- Sultana, R.; Hossain, R.; Adhikari, A.; Ali, Z.; Yousuf, S.; Choudhary, M.I.; Ali, M.Y.; Zaman, M.S. Drimane-Type Sesquiterpenes from Polygonum hydropiper. Planta Med. 2011, 77, 1848–1851. [Google Scholar] [CrossRef]
- Khushi, S.; Salim, A.A.; Elbanna, A.H.; Nahar, L.; Bernhardt, P.V.; Capon, R.J. Dysidealactams and Dysidealactones: Sesquiterpene Glycinyl-Lactams, Imides, and Lactones from a Dysidea sp. Marine Sponge Collected in Southern Australia. J. Nat. Prod. 2020, 83, 1577–1584. [Google Scholar] [CrossRef]
- Zhang, C.-F.; Nakamura, N.; Tewtrakul, S.; Hattori, M.; Sun, Q.-S.; Wang, Z.-T.; Fujiwara, T. Sesquiterpenes and alkaloids from Lindera chunii and their inhibitory activities against HIV-1 integrase. Chem. Pharm. Bull. 2002, 50, 1195–1200. [Google Scholar] [CrossRef]
- Chi, J.; Wei, S.; Gao, H.; Xu, D.; Zhang, L.; Xu, W.; Luo, J.; Kong, L. Diverse Chemosensitizing 8,9-Secolindenane-Type Sesquiterpenoid Oligomers and Monomers from Sarcandra glabra. J. Org. Chem. 2019, 84, 9117–9126. [Google Scholar] [CrossRef]
- Ma, Y.-H.; Dou, X.-X.; Tian, X.-H. Natural Disesquiterpenoids: An Overview of Their Chemical Structures, Pharmacological Activities, and Biosynthetic Pathways. Phytochem. Rev. 2020, 19, 983–1043. [Google Scholar] [CrossRef]
- Wang, L.-J.; Xiong, J.; Liu, S.-T.; Liu, X.-H.; Hu, J.-F. Sesquiterpenoids from Chloranthus henryi and Their Anti-neuroinflammatory Activities. Chem. Biodivers. 2014, 11, 919–928. [Google Scholar] [CrossRef]
- Chen, L.-L.; Kong, F.-D.; Wang, P.; Yuan, J.-Z.; Guo, Z.-K.; Wang, H.; Dai, H.-F.; Mei, W.-L. Two new tremulane sesquiterpenes from a mangrove endophytic fungus, Coriolopsis sp. J5. Chin. Chem. Lett. 2017, 28, 222–225. [Google Scholar] [CrossRef]
- Ding, J.H.; Li, Z.H.; Feng, T.; Liu, J.K. A new tremulane sesquiterpenoid from the fungus Irpex lacteus. Nat. Prod. Res. 2018, 33, 316–320. [Google Scholar] [CrossRef]
- Chen, H.P.; Ji, X.; Li, Z.H.; Feng, T.; Liu, J.K. Irlactane and Tremulane Sesquiterpenes from the Cultures of the Medicinal Fungus Irpex lacteus HFG1102. Nat. Prod. Bioprospect. 2020, 10, 89–100. [Google Scholar] [CrossRef]
- Saito, Y.; Takashima, Y.; Kamada, A.; Suzuki, Y.; Suenaga, M.; Okamoto, Y.; Matsunaga, Y.; Hanai, R.; Kawahara, T.; Gong, X.; et al. Chemical and genetic diversity of Ligularia virgaurea collected in northern Sichuan and adjacent areas of China. Isolation of 13 new compounds. Tetrahedron 2012, 68, 10011–10029. [Google Scholar] [CrossRef]
- Chen, Y.P.; Ying, S.S.; Zheng, H.H.; Liu, Y.T.; Wang, Z.P.; Zhang, H.; Deng, X.; Wu, Y.J.; Gao, X.M.; Li, T.X.; et al. Novel serotonin transporter regulators: Natural aristolane- and nardosinane-types of sesquiterpenoids from Nardostachys chinensis Batal. Sci. Rep. 2017, 7, 15114. [Google Scholar] [CrossRef]
- Wang, L.X.; Jiang, X.J.; Li, X.M.; Mao, M.F.; Wei, G.Z.; Wang, F. Aristolane-type Sesquiterpenoids from Nardostachys chinensis and Revised Structure of Aristolanhydride. Nat. Prod. Bioprospect. 2019, 9, 149–155. [Google Scholar] [CrossRef]
- Hwang, J.S.; Lee, S.A.; Hong, S.S.; Han, X.H.; Lee, C.; Lee, D.; Lee, C.K.; Hong, J.T.; Kim, Y.; Lee, M.K.; et al. Inhibitory constituents of Nardostachys chinensis on nitric oxide production in RAW 264.7 macrophages. Bioorg. Med. Chem. Lett. 2012, 22, 706–708. [Google Scholar] [CrossRef]
- Ansarali, S. Identification of Biological Components from Potential Bone Healer Medicinal Plants. J. Drug Deliv. Ther. 2018, 8, 3. [Google Scholar] [CrossRef]
- Itô, S.; Endo, K.; Honma, H.; Ota, K. New constituents of thujopsis dolabrata. Tetrahedron Lett. 1965, 6, 3777–3781. [Google Scholar] [CrossRef]
- Fraga, B.M. Natural sesquiterpenoids. Nat. Prod. Rep. 2003, 20, 392–413. [Google Scholar] [CrossRef]
- Lin, W.H.; Lei, H.M.; Fu, H.Z.; Li, J. A new pseudo sesquiterpenoid from the seeds of Koelreuteria paniculata. Chin. Chem. Lett. 2002, 13, 1067–1068. [Google Scholar]
- Yin, H.; Dan, W.J.; Fan, B.Y.; Guo, C.; Wu, K.; Li, D.; Xian, K.F.; Pescitelli, G.; Gao, J.M. Anti-inflammatory and α-Glucosidase Inhibitory Activities of Labdane and Norlabdane Diterpenoids from the Rhizomes of Amomum villosum. J. Nat. Prod. 2019, 82, 2963–2971. [Google Scholar] [CrossRef]
- Hou, B.; Liu, S.; Huo, R.; Li, Y.; Ren, J.; Wang, W.; Wei, T.; Jiang, X.; Yin, W.; Liu, H.; et al. New diterpenoids and isocoumarin derivatives from the mangrove-derived fungus Hypoxylon sp. Mar. Drugs 2021, 19, 362. [Google Scholar] [CrossRef]
- Zhang, G.D. New Diterpene Compound, and Preparation Method and Medicinal Use Thereof. Chinese Patent CN105461672A, 6 April 2016. [Google Scholar]
- Wu, J.; Chen, G.; Xu, X.; Huo, X.; Wu, S.; Wu, Z.; Gao, H. Seven new cassane furanoditerpenes from the seeds of Caesalpinia minax. Fitoterapia 2014, 92, 168–176. [Google Scholar] [CrossRef]
- Lyu, T. Novel Diterpene Compound for Neuroprotection. Chinese Patent CN105294665A, 3 February 2016. [Google Scholar]
- Kuo, Y.-H.; Chen, C.-H.; Huang, S.-L. New Diterpenes from the Heartwood of Chamaecyparis obtusa var. formosana. J. Nat. Prod. 1998, 61, 829–831. [Google Scholar] [CrossRef]
- Yoshikawa, K.; Kokudo, N.; Tanaka, M.; Nakano, T.; Shibata, H.; Aragaki, N.; Higuchi, T.; Hashimoto, T. Novel Abietane Diterpenoids and Aromatic Compounds from Cladonia rangiferina and Their Antimicrobial Activity against Antibiotics Resistant Bacteria. Chem. Pharm. Bull. 2008, 56, 89–92. [Google Scholar] [CrossRef]
- Matloubi-Moghadam, F.; Rüedi, P.; Eugster, C.H. Drüsefarbstoffe aus Labiaten: Identifizierung von 17 Abietanoiden aus Plectranthus sanguineus BRITTEN. Helv. Chim. Acta 1987, 70, 975–983. [Google Scholar] [CrossRef]
- Ngo, T.M.; Tran, P.T.; Hoang, L.S.; Lee, J.-H.; Min, B.S.; Kim, J.A. Diterpenoids isolated from the root of Salvia miltiorrhiza and their anti-inflammatory activity. Nat. Prod. Res. 2019, 35, 726–732. [Google Scholar] [CrossRef]
- Song, W.; Ma, Y.-Y.; Miao, S.; Yang, R.-P.; Zhu, Y.; Shu, D.; Lu, M.; Ma, R.; Ming, Z.-Y. Pharmacological actions of miltirone in the modulation of platelet function. Acta Pharmacol. Sin. 2019, 40, 199–207. [Google Scholar] [CrossRef]
- Su, W.C.; Fang, J.M.; Cheng, Y.S. Synthesis and structure determination of cryptomanhydride, an uncommon natural terpenic anhydride. Tetrahedron Lett. 1995, 36, 5367–5370. [Google Scholar] [CrossRef]
- Wang, W.L.; Liu, X.Q.; Zhu, D.R.; Chen, C.; Gong, L.J.; Zhu, J.M.; Zhu, T.Y.; Luo, J.G.; Kong, L.Y. Taxodinoids A-D, four heptacyclic C40 diterpene dimers from the seeds of Taxodium distichum. Tetrahedron 2021, 83, 131952. [Google Scholar] [CrossRef]
- Xu, J.; Chang, J.; Zhao, M.; Zhang, J.S. Abietane diterpenoid dimers from the roots of Salvia prionitis. Phytochemistry 2006, 67, 795–799. [Google Scholar] [CrossRef]
- Lin, L.-Z.; Wang, X.-M.; Huang, X.-L.; Huang, Y.; Yang, B.-J. Diterpenoids from Salvia prionitis. Planta Med. 1988, 54, 443–445. [Google Scholar] [CrossRef]
- Ma, S.; Zhang, D.; Lou, H.; Sun, L.; Ji, J. Evaluation of the anti-inflammatory activities of tanshinones isolated from Salvia miltiorrhiza var. alba roots in THP-1 macrophages. J. Ethnopharmacol. 2016, 188, 193–199. [Google Scholar] [CrossRef]
- Hatfield, M.J.; Binder, R.J.; Gannon, R.; Fratt, E.M.; Bowling, J.; Potter, P.M. Potent, Irreversible Inhibition of Human Carboxylesterases by Tanshinone Anhydrides Isolated from Salvia miltiorrhiza (“Danshen”). J. Nat. Prod. 2018, 81, 2410–2418. [Google Scholar] [CrossRef]
- Cao, C.-Q.; Sun, L.; Wang, X.-N. Chemical constituents of Salvia miltiorrhiza f. alba. Chin. Tradit. Herb. Drugs 2009, 40, 173–175. [Google Scholar]
- Pan, Z.-H.; Li, Y.; Wu, X.-D.; He, J.; Chen, X.-Q.; Xu, G.; Peng, L.-Y.; Zhao, Q.-S. Norditerpenoids from Salvia castanea Diels f. pubescens. Fitoterapia 2012, 83, 1072–1075. [Google Scholar] [CrossRef]
- Kang, J.; Li, L.; Wang, D.; Wang, H.; Liu, C.; Li, B.; Chen, R. Isolation and Bioactivity of Diterpenoids from the Roots of Salvia grandifolia. Phytochemistry 2015, 116, 337–348. [Google Scholar] [CrossRef]
- Liu, M.; Li, Y.-G.; Zhang, F.; Yang, L.; Chou, G.-X.; Wang, Z.-T.; Hu, Z.-B. Chromatographic fingerprinting analysis of Danshen root (Salvia miltiorrhiza Radix et Rhizoma) and its preparations using high performance liquid chromatography with diode array detection and electrospray mass spectrometry (HPLC-DAD-ESI/MS). J. Sep. Sci. 2007, 30, 2256–2267. [Google Scholar] [CrossRef]
- He, W.; Li, Y.; Qin, Y.; Tong, X.; Song, Z.; Zhao, Y.; Wei, R.; Li, L.; Dai, H.; Wang, W.; et al. New cryptotanshinone derivatives with anti-influenza A virus activities obtained via biotransformation by Mucor rouxii. Appl. Microbiol. Biotechnol. 2017, 101, 6365–6374. [Google Scholar] [CrossRef]
- Saruul, E.; Murata, T.; Selenge, E.; Sasaki, K.; Yoshizaki, F.; Batkhuu, J. An antibacterial ortho-quinone diterpenoid and its derivatives from Caryopteris mongolica. Bioorg. Med. Chem. Lett. 2015, 25, 2555–2558. [Google Scholar] [CrossRef]
- Novitskiy, I.M.; Kutateladze, A.G. DU8+ Computations Reveal a Common Challenge in the Structure Assignment of Natural Products Containing a Carboxylic Anhydride Moiety. J. Org. Chem. 2021, 86, 17511–17515. [Google Scholar] [CrossRef]
- Jiang, X.J.; Li, X.M.; Wang, L.X.; Wen, S.Z.; Wei, G.Z.; Yang, K.; Wang, F. Novel abietane diterpenoids from Salvia prionitis. J. Asian Nat. Prod. Res. 2019, 22, 989–994. [Google Scholar] [CrossRef]
- Chen, X.; Ding, J.; Ye, Y.M.; Zhang, J.S. Bioactive abietane and seco-abietane diterpenoids from Salvia prionitis. J. Nat. Prod. 2002, 65, 1016–1020. [Google Scholar] [CrossRef]
- Girich, E.V.; Trinh, P.T.H.; Nesterenko, L.E.; Popov, R.S.; Kim, N.Y.; Rasin, A.B.; Menchinskaya, E.S.; Kuzmich, A.S.; Chingizova, E.A.; Minin, A.S.; et al. Absolute Stereochemistry and Cytotoxic Effects of Vismione E from Marine Sponge-Derived Fungus Aspergillus sp. 1901NT-1.2.2. Int. J. Mol. Sci. 2023, 24, 8150. [Google Scholar] [CrossRef]
- Kenmoku, H.; Tada, H.; Oogushi, M.; Esumi, T.; Takahashi, H.; Noji, M.; Sassa, T.; Toyota, M.; Asakawa, Y. Seed dormancy breaking diterpenoids from the liverwort Plagiochila sciophila and their differentiation inducing activity in human promyelocytic leukemia HL-60 cells. Nat. Prod. Commun. 2014, 9, 915–920. [Google Scholar] [CrossRef]
- Li, F.; Lin, S.; Zhang, S.; Hao, X.; Li, X.-N.; Yang, B.; Liu, J.; Wang, J.; Hu, Z.; Zhang, Y. Alterbrassinoids A–D: Fusicoccane-derived diterpenoid dimers featuring different carbon skeletons from Alternaria brassicicola. Org. Lett. 2019, 21, 8353–8357. [Google Scholar] [CrossRef]
- Cross, B.E.; Galt, R.H.B.; Hanson, J.R. New metabolites of Gibberella fujikuroi. Part V. The structures of fujenal and fujenoic acid. J. Chem. Soc. 1963, 5052–5061. [Google Scholar] [CrossRef]
- Hanson, J.R.; Fraga, B.M. Fujenal, a diterpenoid saga of neighbouring group participation. Phytochemistry 2008, 69, 2104–2109. [Google Scholar] [CrossRef]
- Barrero, A.F.; Oltra, J.E.; Cabrera, E.; Herrador, M.M.; Rojas, R.J.; Reyes, J.F.; Godoy, F.; Hypocreales. Gibelactol, a diterpenoid from Gibberella fujikuroi. Nat. Prod. Lett. 1992, 1, 155–160. [Google Scholar] [CrossRef]
- Barrero, A.F.; Oltra, J.E.; Cabrera, E.; Reyes, F.; Álvarez, M. Metabolism of gibberellins and ent-kaurenoids in mutants of Gibberella fujikuroi. Phytochemistry 1999, 50, 1133–1140. [Google Scholar] [CrossRef]
- Makarenko, N.G.; Shmidt, E.N.; Raldugin, V.A.; Dubovenko, Z.V. Effect of terpenoids on infection of clover with nodule bacteria. Izv. Sib. Otd. Akad. Nauk. SSSR Ser. Biol. Nauk. 1982, 44–49. [Google Scholar]
- Kernan, M.R.; Cambie, R.C.; Bergquist, P.R. Chemistry of Sponges, IX. New Diterpenes from the Marine Sponge Dictyodendrilla cavernosa. J. Nat. Prod. 1990, 53, 724–727. [Google Scholar] [CrossRef]
- Cambie, R.C.; Craw, P.A.; Stone, M.J.; Bergquist, P.R. Chemistry of Sponges, IV. Spongian Diterpenes from Hyatella intestinalis. J. Nat. Prod. 1988, 51, 293–297. [Google Scholar] [CrossRef]
- Reina, M.; Madinaveitia, A.; de la Fuente, G.; Rodriguez, M.L.; Brito, I. Cardionide, an unusual C-20 diterpenoid alkaloid from Delphinium cardiopetalum DC. Tetrahedron Lett. 1992, 33, 1661–1662. [Google Scholar] [CrossRef]
- Ichinohe, Y.; Yamaguchi, M.; Katsui, N.; Kakimoto, S. On the structure of miyaconitine. Tetrahedron Lett. 1970, 11, 2323–2326. [Google Scholar] [CrossRef]
- Seephonkai, P.; Pyne, S.G.; Willis, A.C.; Lie, W. Bioactive Compounds from the Roots of Strophioblachia fimbricalyx. J. Nat. Prod. 2013, 76, 1358–1364. [Google Scholar] [CrossRef]
- Yang, C.; Jiang, H.; Mao, H.; Zhang, Y.; Cao, Y.; Zhang, Y.; Yu, H.; Lv, M.; Xu, H.; Dong, X.; et al. Structurally diverse deformed phenanthrenes from Strophioblachia fimbricalyx with cytotoxic activities by inducing cell apoptosis. Phytochemistry 2024, 221, 114035. [Google Scholar] [CrossRef]
- Hu, X.-J.; Wang, Y.-H.; Kong, L.-Y.; He, H.-P.; Gao, S.; Liu, H.-Y.; Ding, J.; Xie, H.; Di, Y.-T.; Hao, X.-J. New phenanthrenes from Trigonostemon lii Y.T. Chang. Tetrahedron Lett. 2009, 50, 2917–2919. [Google Scholar] [CrossRef]
- Ma, Z.; Deng, G.; Lee, D.Y.W. Novel neoclerodane diterpene derivatives from the smoke of salvinorin A. Tetrahedron Lett. 2010, 51, 5207–5209. [Google Scholar] [CrossRef]
- Piao, S.-J.; Zhang, H.-J.; Lu, H.-Y.; Yang, F.; Jiao, W.-H.; Yi, Y.-H.; Chen, W.-S.; Lin, H.-W. Hippolides A–H, acyclic manoalide derivatives from the marine sponge Hippospongia lachne. J. Nat. Prod. 2011, 74, 1248–1254. [Google Scholar] [CrossRef]
- Nakamura, H.; Deng, S.; Kobayashi, J.; Ohizumi, Y.; Hirata, Y. Dictyoceratin-A and -B, Novel Antimicrobial Terpenoids from the Okinawan Marine Sponge Hippospongia sp. Tetrahedron 1986, 42, 4197–4201. [Google Scholar] [CrossRef]
- Wang, N.; Song, J.; Jang, K.H.; Lee, H.-S.; Li, X.; Oh, K.-B.; Shin, J. Sesterterpenoids from the sponge Sarcotragus sp. J. Nat. Prod. 2008, 71, 551–557. [Google Scholar] [CrossRef]
- Gualtieri, M.J.; Malafronte, N.; Vassallo, A.; Braca, A.; Cotugno, R.; Vasaturo, M.; De Tommasi, N.; Dal Piaz, F. Bioactive limonoids from the leaves of Azadirachta indica (Neem). J. Nat. Prod. 2014, 77, 596–602. [Google Scholar] [CrossRef]
- Siddiqui, B.S.; Afshan, F.; Gulzar, T.; Hanif, M. Tetracyclic triterpenoids from the leaves of Azadirachta indica. Phytochemistry 2004, 65, 2363–2367. [Google Scholar] [CrossRef]
- Siddiqui, S.; Ghiasuddin, S.; Siddiqui, B.S.; Faizi, S. Tetranortriterpenoids and steroidal glycosides from the seeds of Azadirachta indica A. Juss. Pak. J. Sci. Ind. Res. 1989, 32, 435–438. [Google Scholar]
- Ashfaq, U.A.; Jalil, A.; ul Qamar, M.T. Antiviral phytochemicals identification from Azadirachta indica leaves against HCV NS3 protease: An in silico approach. Nat. Prod. Res. 2015, 30, 1866–1869. [Google Scholar] [CrossRef]
- Gao, J.; Chen, Y.; Liu, W.; Liu, Y.; Li, M.; Chen, G.; Yuan, T. Applanhydrides A and B, lanostane triterpenoids with unprecedented seven-membered cyclo-anhydride in ring C from Ganoderma applanatum. Tetrahedron 2021, 79, 131839. [Google Scholar] [CrossRef]
- Chen, I.-H.; Du, Y.-C.; Hwang, T.-L.; Chen, I.-F.; Lan, Y.-H.; Yen, H.-F.; Chang, F.-R.; Wu, Y.-C. Anti-inflammatory triterpenoids from the stems of Microtropis fokienensis. Molecules 2014, 19, 4608–4623. [Google Scholar] [CrossRef]
- Rodríguez, F.; Perestelo, N.; Jiménez, I.; Bazzocchi, I. Friedelanes from Crossopetalum lobatum. A New Example of a Triterpene Anhydride. Helv. Chim. Acta 2009, 92, 188–194. [Google Scholar] [CrossRef]
- Gamlath, C.B.; Gunatilaka, A.A.L.; Tezuka, Y.; Kikuchi, T. The structure of celastranhydride: A novel triterpene anhydride of Celastraceae. Tetrahedron Lett. 1988, 29, 109–112. [Google Scholar] [CrossRef]
- Gamlath, C.B.; Gunatilaka, A.A.L.; Tezuka, Y.; Kikuchi, T.; Balasubramaniam, S. Quinone-methide, phenolic and related triterpenoids of plants of Celastraceae: Further evidence for the structure of Celastranhydride. Phytochemistry 1990, 29, 3189–3192. [Google Scholar] [CrossRef]























| Compound | Precursor and Route | Source | Reference |
|---|---|---|---|
![]() | Route B1 ![]() | Lavandula luisierii | [28,38] |
| Compound | Precursor and Route | Source | Reference |
|---|---|---|---|
![]() | Route A ![]() | Stachys viticina Juniperus communis | [25,39] |
![]() | Route A ![]() | Jasminum grandiflorum | [40,41] |
| Compound | Precursor and Route | Source | Reference |
|---|---|---|---|
![]() | Route A ![]() | Coleoptera meloidae C. oedemeridae | [44,45] |
![]() | Route A ![]() | Mylabris cichorii | [46] |
![]() | Route A ![]() | Butea frondosa (Butea monosperma) Blister Beetles | [47,48] |
![]() | Route A ![]() | Mylabris cichorii Blister Beetle | [46,47] |
![]() | Route A ![]() | Mylabris cichorii L. M. phalerate | [46,49,50,51,52,53] |
![]() | Route A ![]() | Mylabris cichorii L. M. phalerate | [46,49,50,53] |
![]() | Route A ![]() | Butea monosperma (Butea frondosa) Hycleus lunata | [54,55] |
![]() | Route A ![]() | Mylabris phalerata | [49,53] |
![]() | Route A ![]() | Mylabris phalerata | [50,53,56] |
| Compound | Precursor and Route | Source | Reference |
|---|---|---|---|
![]() | Route C3 ![]() | Smyrnium rotundifolium Menella sp. | [90,91,92,93] |
| Compound | Precursor and Route | Source | Reference |
|---|---|---|---|
![]() | Route C2 and C3 ![]() | Lindera chunii | [99] |
![]() | Route C3 ![]() | Sarcandra glabra | [100] |
![]() | Route C3 ![]() | Chloranthus japonicus | [101] |
![]() | Route C3 ![]() | Chloranthus multistachys | [101] |
| Compound | Precursor and Route | Source | Reference |
|---|---|---|---|
![]() | Route C3 ![]() | Chloranthus henryi | [102] |
| Compound | Precursor and Route | Source | Reference |
|---|---|---|---|
![]() | Route C3 ![]() | Ligularia virgaurea | [36] |
| Compound | Precursor and Route | Source | Reference |
|---|---|---|---|
![]() | Route A ![]() | Coriolopsis sp. J5 | [103] |
![]() | Route A ![]() | Irpex lacteus | [104,105] |
![]() | Route A ![]() | Irpex lacteus | [104,105] |
![]() | Route A ![]() | Irpex lacteus | [105] |
| Compound | Precursor and Route | Source | Reference |
|---|---|---|---|
![]() | Route C2 ![]() | Ligularia virgaurea | [34] |
![]() | Route C2 ![]() | Ligularia virgaurea | [34] |
| Compound | Precursor and Route | Source | Reference |
|---|---|---|---|
![]() | Route C2 ![]() | Nardostachys chinensis | [107,108] |
![]() | Route C2 ![]() | Nardostachys chinensis | [109] |
| Compound | Precursor and Route | Source | Reference |
|---|---|---|---|
![]() | Route B1 ![]() | Cissus quadrangularis | [110,111] |
| Compound | Precursor and Route | Source | Reference |
|---|---|---|---|
![]() | Koelreuteria paniculata | [112,113] |
| Compound | Precursor and Route | Source | Reference |
|---|---|---|---|
![]() | Route A ![]() | Amomum villosum | [114] |
![]() | Route B ![]() | Hypoxylon sp. (Hsl2-6) | [115] |
| Compound | Precursor and Route | Source | Reference |
|---|---|---|---|
![]() | Route C2–C3 ![]() | Atalantia buxifolia | [116,117] |
![]() | Route C2–C3 ![]() | Ranunculus ternatus | [118] |
| Compound | Precursor and Route | Source | Reference |
|---|---|---|---|
![]() | Route B ![]() | Aspergillus sp. | [139] |
| Compound | Precursor and Route | Source | Reference |
|---|---|---|---|
![]() | Route B ![]() | Plagiochila sciophila | [140] |
![]() | Route B ![]() | Alternaria brassicicola | [141] |
| Compound | Precursor and Route | Source | Reference |
|---|---|---|---|
![]() | Route A ![]() | Gibberella fujikuroi | [142,143,144,145] |
![]() | Route A ![]() | Gibberella fujikuroi | [142,143,144,145] |
| Compound | Precursor and Route | Source | Reference |
|---|---|---|---|
![]() | Route C ![]() | Dictyodendrilla cavernosa | [147,148] |
| Compound | Precursor and Route | Source | Reference |
|---|---|---|---|
![]() | Route B ![]() | Delphinium cardiovphetalum | [149,150] |
| Compound | Precursor and Route | Source | Reference |
|---|---|---|---|
![]() | Route B2 ![]() | Strophioblachia fimbricalyx | [151] |
![]() | Route B2 ![]() | Strophioblachia fimbricalyx | [151,152] |
![]() | Route B2 ![]() | Strophioblachia fimbricalyx | [152] |
![]() | Route B2 ![]() | Trigonostemon lii | [153] |
| Compound | Precursor and Route | Source | Reference |
|---|---|---|---|
![]() | Route B1 ![]() | Salvia divinorum | [154] |
| Compound | Precursor and Route | Source | Reference |
|---|---|---|---|
![]() | Route C1 ![]() | Hippospongia lachne | [155,156] |
![]() | Route C1 ![]() | Hippospongia lachne | [155,156] |
![]() | Route C1 ![]() | Hippospongia lachne | [155,156] |
![]() | Route C1 ![]() | Sarcotragus sp. | [157] |
| Compound | Precursor and Route | Source | Reference |
|---|---|---|---|
![]() | Route C1 ![]() | Azadirachta indica | [158] |
![]() | Route C1 ![]() | Azadirachta indica | [158] |
![]() | Route C1 ![]() | Azadirachta indica | [159] |
![]() | Route C1 ![]() | Azadirachta indica | [160] |
![]() | Route C1 ![]() | Azadirachta indica | [160] |
| Compound | Precursor and Route | Source | Reference |
|---|---|---|---|
![]() | Route B2 ![]() | Ganoderma applanatum | [162] |
![]() | Route B2 ![]() | Ganoderma applanatum | [162] |
| Compound | Precursor and Route | Source | Reference |
|---|---|---|---|
![]() | Route B1 ![]() | Microtropis Fokienensis | [163] |
Disclaimer/Publisher’s Note: The statements, opinions and data contained in all publications are solely those of the individual author(s) and contributor(s) and not of MDPI and/or the editor(s). MDPI and/or the editor(s) disclaim responsibility for any injury to people or property resulting from any ideas, methods, instructions or products referred to in the content. |
© 2024 by the authors. Licensee MDPI, Basel, Switzerland. This article is an open access article distributed under the terms and conditions of the Creative Commons Attribution (CC BY) license (https://creativecommons.org/licenses/by/4.0/).
Share and Cite
Molina Inzunza, D.O.; Martín González, J.E.; Segura Navarro, M.J.; Barrero, A.F.; Quílez del Moral, J.F. Natural Occurring Terpene Cyclic Anhydrides: Biosynthetic Origin and Biological Activities. Biomolecules 2024, 14, 955. https://doi.org/10.3390/biom14080955
Molina Inzunza DO, Martín González JE, Segura Navarro MJ, Barrero AF, Quílez del Moral JF. Natural Occurring Terpene Cyclic Anhydrides: Biosynthetic Origin and Biological Activities. Biomolecules. 2024; 14(8):955. https://doi.org/10.3390/biom14080955
Chicago/Turabian StyleMolina Inzunza, Diego O., Juan E. Martín González, María José Segura Navarro, Alejandro F. Barrero, and José F. Quílez del Moral. 2024. "Natural Occurring Terpene Cyclic Anhydrides: Biosynthetic Origin and Biological Activities" Biomolecules 14, no. 8: 955. https://doi.org/10.3390/biom14080955
APA StyleMolina Inzunza, D. O., Martín González, J. E., Segura Navarro, M. J., Barrero, A. F., & Quílez del Moral, J. F. (2024). Natural Occurring Terpene Cyclic Anhydrides: Biosynthetic Origin and Biological Activities. Biomolecules, 14(8), 955. https://doi.org/10.3390/biom14080955














































































































































































